Next Article in Journal
Structural Characterization and Molecular Model Construction of Lignite: A Case of Xianfeng Coal
Next Article in Special Issue
Willow, Poplar, and Black Locust Debarked Wood as Feedstock for Energy and Other Purposes
Previous Article in Journal
Analysis of Fine Fault Electrothermal Characteristics of Converter Transformer Reduced-Scale Model
Previous Article in Special Issue
Biocatalyzed Transesterification of Waste Cooking Oil for Biodiesel Production Using Lipase from the Amazonian Fungus Endomelanconiopsis endophytica
 
 
Font Type:
Arial Georgia Verdana
Font Size:
Aa Aa Aa
Line Spacing:
Column Width:
Background:
Review

Comparative Analysis of Acidic and Alkaline Pretreatment Techniques for Bioethanol Production from Perennial Grasses

by
Lovisa Panduleni Johannes
1 and
Tran Dang Xuan
1,2,3,*
1
Transdisciplinary Science and Engineering Program, Graduate School of Advanced Science and Engineering, Hiroshima University, 1 Chome-3-2 Kagamiyama, Hiroshima 739-0046, Japan
2
The IDEC Institute, Hiroshima University, 1 Chome-3-2 Kagamiyama, Hiroshima 739-0046, Japan
3
Faculty of Smart Agriculture, Graduate School of Innovation and Practice for Smart Society, Hiroshima University, Hiroshima 739-8529, Japan
*
Author to whom correspondence should be addressed.
Energies 2024, 17(5), 1048; https://doi.org/10.3390/en17051048
Submission received: 1 January 2024 / Revised: 19 February 2024 / Accepted: 20 February 2024 / Published: 22 February 2024
(This article belongs to the Special Issue Biomass and Bio-Energy—2nd Edition)

Abstract

This review paper examines acid and alkaline pretreatments on perennial grasses for second-generation (2G) bioethanol production, a relatively unexplored area in this field. It compares the efficiency of these pretreatments in producing fermentable sugar and bioethanol yield. This study finds that alkaline pretreatment is more effective than acidic pretreatment in removing lignin and increasing sugar yield, leading to higher ethanol yields. However, it is costlier and requires longer reaction times than acidic pretreatment, while acidic pretreatment often leads to the formation of inhibitory compounds at higher temperatures, which is undesirable. The economic and environmental impacts of lignocellulosic biomass (LCB) are also assessed. It is revealed that LCB has a lower carbon but higher water footprint and significant costs due to pretreatment compared to first-generation biofuels. This review further explores artificial intelligence (AI) and advanced technologies in optimizing bioethanol production and identified the gap in literature regarding their application to pretreatment of perennial grasses. This review concludes that although perennial grasses hold promise for 2G bioethanol, the high costs and environmental challenges associated with LCB necessitate further research. This research should focus on integrating AI to optimize the pretreatment of LCB, thereby improving efficiency and sustainability in 2G biofuel production.

1. Introduction

The widespread reliance on fossil fuels globally, driven by the growing need for energy, has given rise to environmental concerns such as climate change, global warming, and air pollution. On a global scale, carbon dioxide ( C O 2 ) emissions from the transportation industry increased by 24% in 2019, reaching a cumulative figure of 8.2 gigatons. Projections indicate that the number of vehicles is expected to reach 1.3 billion by 2030 and 2 billion by 2050 [1]. The projection spanning 2010 to 2040 indicates a 26.2% increase in global oil consumption. It is feasible that some of these increasing energy needs could be satisfied by harnessing renewable energy sources [2]. Therefore, there has been substantial interest within the scientific community in the exploration of renewable and sustainable energy sources. Biomass, as a renewable energy source, has been gaining increasing attention as a potential replacement for fossil fuels, primarily because of its carbon-neutral characteristics and its status as the most abundant renewable resource worldwide [3,4].
Biomass-derived biofuels include biodiesel, biogas, and bioethanol. These fuels offer potential benefits in reducing carbon emissions and enhancing energy security [5,6,7]. The worldwide production of bioethanol increased by 10% in 2018, reaching 154 billion liters, and is forecasted to increase by 25% by 2024 [1]. Presently, the foremost global bioethanol producers include the United States and Brazil, followed by the European Union, China, and other nations, as shown in Figure 1. These countries incorporated bioethanol into gasoline blends as a strategic measure to mitigate the costs associated with gasoline imports. Blends currently incorporated include E5, E10, E15, and E85, denoting bioethanol and gasoline ratios of 5:95, 10:90, 15:85, and 85:15, respectively. The utilization of these blends does not necessitate any modifications to the engine; however, the E85 blend is exclusively compatible with flex-fuel engines [8,9,10,11]. Bioethanol is currently derived through the fermentation of first generation (1G) starch-based crops, including corn starch, sugarcane, and sugar beet, a practice that raises significant concerns about its impact on food security [12]. Consequently, there is growing interest in exploring second generation (2G) lignocellulosic biomass (LCB), characterized by its non-food origin and widespread availability, as a promising alternative for biofuel production compared to the utilization of 1G crops [13].
Perennial grasses, recognized as 2G LCB, are emerging as favored energy crops for several reasons [14]. However, converting 2G LCB into bioethanol faces challenges, notably higher costs than 1G ethanol production. A typical process for converting LCB into bioethanol involves four main stages: pre-treatment, enzymatic hydrolysis, fermentation, and distillation. Throughout the process, pretreatment is the most crucial step, given its significant impact on the overall efficiency of the bioconversion process [15,16].
To optimize the reducing sugar yield and minimize degradation products from LCB, it is imperative to employ specific pretreatment methods or combinations thereof. Among these, chemical pretreatment methods utilizing acid and alkaline reagents have been extensively investigated and are currently at the forefront of commercialization. Alkaline pretreatment, particularly notable for its efficiency in lignin removal and lower energy requirements, outperforms alternative techniques across various feedstocks such as agricultural residues and forages. The hydrolysis of cellulose and hemicellulose polymers in LCB to fermentable sugars is achieved using either dilute or concentrated acids [17].
As the pursuit of sustainable and economically viable biofuel production intensifies, a nuanced understanding of the application of acid and alkaline pretreatment to LCB is imperative for well-informed decision-making.
Given the prominence of chemical pretreatment using acid and alkaline reagents in the commercial landscape, this review paper conducts a comparative analysis of acidic and alkaline pretreatments, specifically applied to perennial grasses. The primary aim is to evaluate their impact on fermentable sugar production and bioethanol yield while identifying the optimal operational conditions and limitations for each pretreatment approach. Additionally, this paper emphasizes the techno-economic assessment of pretreatment steps, including a life cycle assessment of the overall conversion process. Furthermore, the adoption of smart approaches, emphasizing the integration of advanced technologies such as big data and AI in the context of bioethanol production from biomass, is explored.

2. Lignocellulosic Biomass

2.1. Perennial Grasses

Perennial grasses, also known as native or herbaceous crops, stand out for their straightforward cultivation compared to annual crops; they offer advantages in terms of cost-effective cultivation, minimal water, fertilizer, and pesticide requirements, and adaptability to various climates, including marginal lands with poor soil quality, thus making them highly cost-effective [18,19,20,21,22]. Perennial grasses offer the potential to mitigate concerns related to land use, competition between food and fuel production, and other environmental threats compared to annual crops [23]. Moreover, at the end of their growth cycle, they exhibit impressively low moisture content and feature high cellulose content compared with other plant varieties [18]. Therefore, they hold significant promise as bioenergy crops because of their substantial carbohydrate content. The average annual production yields of several perennial grasses commonly investigated in the literature for their bioethanol potential are summarized in Table 1.
Biotechnological methods have been used to explore perennial grasses for various applications, including bioethanol and biomethane production, as well as utilizing cellulose and hemicellulose for material synthesis [23]. Despite extensive research on different pretreatment techniques to enhance digestibility and fermentability, hydrolyzing perennial grasses and other lignocellulosic biomass into fermentable sugars remains a challenge because of LCB recalcitrance [24].
Table 1. Perennial grasses and their annual production.
Table 1. Perennial grasses and their annual production.
Grass CharacteristicsAnnual ProductionReference
Bermuda grass (Cynodon dactylon)Grows in tropical and subtropical regions. High carbohydrate content.6–27 t/ha[25]
Napier/elephant grass (Pennisetum purpureum schum)Fodder crop native to tropical and subtropical regions. Fast growing46.2 t/ha[26,27,28]
Silver grass (Miscanthus floridulus)Exhibits excellent resilience to saline conditions and drought. High lignocellulose yield.27.0–38.0 t/ha[29]
Switchgrass (Panicum virgatum)Flourishes in different soil types with minimal fertilizer requirement. Potential for soil carbon sequestration.14.8–37.1 t/ha[21]
Fountain grass (Pennisetum alopecuroides)Can withstand salinity and drought.40–50.2 t/ha[30]
Palisade grass (Brachiaria brizantha)High photosynthesis efficiency40 t/ha[23,31]
Giant reed (Arundo donax)Helps mitigate soil erosion.3.00–37.00 t/ha[32,33,34]
King grass (Pennisetum hybridum)Fast growing, high yield. Grows in a variety of soil conditions40–60 t/ha[35]
Cogongrass (Imperata cylindrical)Globally distributed weed, ecological threat to upland crops, requires minimal water and thrives well in unfertile soil.8–20 t/ha[36]

2.2. Lignocellulosic Biomass Composition

LCB is characterized by the predominant presence of three biopolymers: cellulose, hemicellulose, and lignin. These constituents collectively contribute to a complex and rigid structure, rendering LCB resistant to degradation by microorganisms and enzymes without prior pretreatment [37]. LCB is the most abundant biomass globally, with an estimated annual production of approximately 200 billion tons, which constitutes approximately 90% of the overall plant material production and is derived mainly from agricultural and forestry residues, horticultural waste, and economically valuable crops [38,39,40,41]. An estimated 8–20 billion tons of readily available LCB has biotechnological potential [42].
Typical LCB comprise cellulose (35–55%), hemicellulose (20–40%), and lignin (10–25%) as the main components along with trace proteins, pectin, ash, and other substances, such as inorganic materials, waxes, fats, and phenolics [43,44,45,46]. However, the composition varies among plant species owing to factors such as age, harvesting season, and cultivation conditions. LCB is classified into four primary categories: hardwood, softwood, agricultural residues, and grass [47].
Accurate compositional analysis of LCB is vital for biofuel production, impacting parameters such as ethanol yield, recovery rates, and techno-economic assessments [48,49]. Reliable analytical techniques, such as those provided by the National Renewable Energy Laboratory (NREL) and the Chesson standard method, are employed for quantifying carbohydrates, lignin, and ash in biomass [49,50,51,52,53,54]. Table 2 summarizes the composition of commonly employed grasses in the biofuel industry, as documented in the literature.

2.2.1. Cellulose

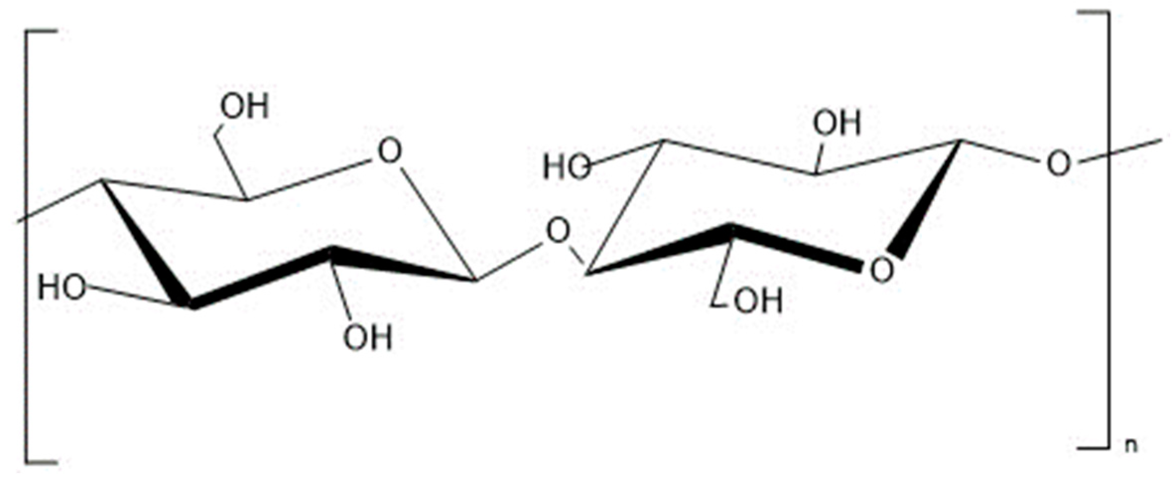
Cellulose, a linear polymer composed of D-glucose subunits covalently linked to β-(1,4)-glycosidic bonds, forms chains comprising 500–1400 D-glucose units, resulting in microfibrils that are tightly packed together to form cellulose fibrils [60,61]. The crystalline structure of cellulose is attributed to intra- and intermolecular hydrogen bonds and van der Waals bonds among the hydroxyl groups on its chains [62,63]. It is insoluble in most common solvents, including water, owing to its robust intermolecular and intramolecular hydrogen bonds [64]. Amorphous cellulose is particularly prone to enzymatic degradation, owing to its more accessible and less compact nature unlike crystalline cellulose [61]. The structure of cellulose is shown in Figure 2.

2.2.2. Hemicellulose

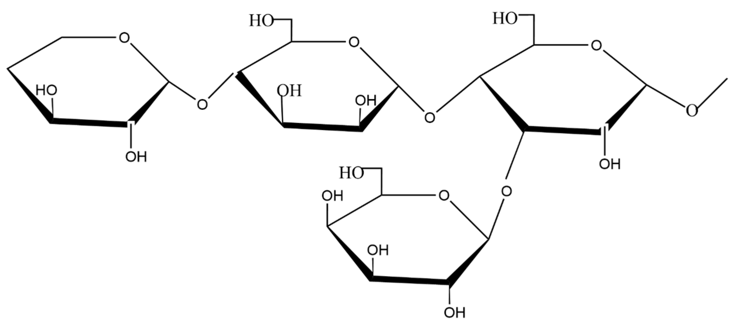
Hemicellulose is a carbohydrate composed of branched structures featuring short lateral chains that include a blend of monosaccharides, including pentoses (e.g., xylose and arabinose), hexoses (mannose, glucose, and galactose), and sugar acids [61]. Sugars comprising hemicellulose are interconnected by β-1,4-glycosidic bonds, and sometimes by β-1,3-glycosidic bonds [66]. In contrast to cellulose, hemicelluloses do not exhibit chemical homogeneity. Hemicellulose typically exhibits a lower degree of polymerization, consisting of only a few hundred units, compared to cellulose. The lower degree of polymerization and hydrophilic nature of hemicellulose make it more susceptible to hydrolysis [67]. The structure of hemicellulose is shown in Figure 3.

2.2.3. Lignin

Lignin is a heterogeneous biopolymer consisting of multiple cross-linked phenyl propanoids of which p-coumaryl alcohol, coniferyl alcohol, and sinapyl alcohol exist as its monomers [61]. The resulting structure is a hydrophobic molecule with high carbon content and high energy value, exhibiting significant resistance to biological degradation [69,70]. The predominant interconnections in the lignin structure are β-O-4 aryl ethers, which contribute to the formation of its highly branched aromatic structure. This characteristic renders lignin a valuable resource for the production of aromatic-based chemicals [71,72]. Generally, herbaceous plants, such as grasses, tend to have the lowest lignin content, whereas softwoods, such as coniferous trees, typically have the highest lignin content among various plant biomasses. The structure of lignin is shown in Figure 4.

2.3. Pretreatment of Biomass

LCB exhibits inherent resistance to hydrolysis owing to the crystallinity and dense packing of cellulose, hemicellulose, and lignin, posing a critical bottleneck in industrial processes. Effective pretreatment is essential to enhance enzymatic hydrolysis, involving lignin breakdown, disruption of cellulose crystalline structure, and increased accessibility of carbohydrate polymers to enzymes [12,73,74,75].
A successful pretreatment process should optimize biomass porosity for enhanced enzyme penetration, while simultaneously reducing lignin content and crystallinity to alleviate physical barriers [62,76]. This results in a cellulose-rich residue that not only facilitates efficient hydrolysis but also minimizes the formation of inhibitory compounds, such as furfural, 5-hydroxymethylfurfural (5-HMF), and acetic acid, which could impede the activity of cellulases and fermenting yeast [77]. Efficient pretreatment can substantially reduce the amount of enzyme cocktail required for cellulose hydrolysis, leading to significant cost savings [78]. To achieve the desired pretreatment outcomes, the conditions must be environmentally friendly, cost-effective, and economically feasible [79]. It is crucial to acknowledge that a one-size-fits-all pretreatment technique does not exist for all types of LCB; rather, the specific approach depends on the biomass type and the intended final products [47].
Pretreatment methods include (1) physical methods, such as milling, grinding, and extrusion; (2) chemical methods, involving the utilization of alkalis, acids, and ionic liquids; (3) biological methods, which make use of microorganisms; and (4) physico-chemical methods, which involve steam explosion and ammonia fiber explosion [80,81,82,83,84]. Chemical pretreatment methods have emerged as popular choices for LCB due to their efficiency, potential cost-effectiveness, and effectiveness in degrading more complex structured substrates [16,85].

2.3.1. Acidic Pretreatment

Acidic pretreatment facilitates the degradation of hemicellulose and reduces the crystalline structure of cellulose by disrupting the covalent bonds, hydrogen bonds, and van der Waals forces that hold cellulose, hemicellulose, and lignin in association [86]. Commonly utilized acids include sulfuric acid ( H 2 S O 4 ), hydrochloric acid ( H C l ), nitric acid ( H N O 3 ), maleic acid ( C 4 H 4 O 4 ), formic acid ( H C O O H ), phosphoric acid ( H 3 P O 4 ), and others. Among these options, H 2 S O 4 stands out as the most widely used [87,88,89]. The utilization of acids such as H N O 3 , H C O O H , and H C l has been explored; however, their application is constrained by their limited effectiveness in removing lignin [70]. Extensive research has been conducted on acid pretreatment, and it is presently regarded as the leading pretreatment technology at the forefront of commercialization for the conversion of LCB [90].
Concentrated acid pretreatment makes use of highly concentrated acids, typically exceeding 30% (v/v), and relatively moderate temperatures, generally below 100 °C. The primary objective of this approach is to achieve higher sugar yields without subsequent enzymatic saccharification [91]. The process commences by extracting hemicellulose during the pre-hydrolysis phase, followed by disruption of cellulose to generate cellooligosaccharides. Subsequently, these cellooligosaccharides are enzymatically hydrolyzed to yield monomeric sugars. In the initial two stages, the crystalline structure of cellulose transforms into its amorphous form, which enhances its transformation into value-added products [92]. Despite its efficiency, concentrated acid pretreatment has several drawbacks, including elevated inhibitory compound levels, salt formation, reactor corrosion, increased acid catalyst costs, and safety concerns [91,93].
Dilute acid pretreatment, considered the most suitable for commercialization, is known for its simplicity, cost-effectiveness, and high efficiency [91]. Dilute acid pretreatment typically involves a solid-to-liquid ratio of 1:10, operation at relatively high temperatures (120–215 °C), moderate pressures (ranging from 2 to 10 atm), and low acid concentrations of up to 5% (v/v), and residence time in this process can vary from 10 to 120 min [90]. Dilute acid pretreatment primarily focuses on the hydrolysis of hemicellulose, particularly targeting xylan removal from the hemicellulose fraction and some degree of lignin solubilization owing to degradation by acid-catalyzed hydrolysis [26,58,94]. Employing dilute acid pretreatment at high temperatures is often preferred for enhanced cellulose hydrolysis compared to concentrated acid pretreatment at milder temperatures [16].

2.3.2. Alkaline Pretreatment

Alkaline pretreatment involves the utilization of alkaline bases such as sodium hydroxide ( N a O H ), potassium ( K O H ), calcium hydroxide ( C a ( O H ) 2 ) , and ammonia hydroxide ( N H 4 O H ), among others. A notable feature is its operation under mild temperature and pressure conditions, minimizing sugar degradation and inhibitory compounds formation [12,95]. The primary outcome of alkaline pretreatment is disintegration of the cell wall, which is achieved by dissolving polysaccharides and inducing chemical swelling, leading to the disruption of linkages between lignin and carbohydrates, ultimately removing lignin. This, in turn, leads to an increased surface area and increased porosity of the biomass, while decreasing the degree of polymerization. These alterations enhance the accessibility and reactivity of structural carbohydrates to enzymes, facilitating their conversion to fermentable sugars [96,97,98]. N H 4 O H has been reported to selectively remove lignin and hemicellulose while preserving the cellulose fraction, thereby improving enzymatic hydrolysis [99]. N a O H , extensively studied, is effective in disrupting and removing lignin from LCB as well [77]. C a ( O H ) 2 with its prolonged reaction time that may span weeks, offers benefits, such as reduced cost, easier handling, and the absence of residual sodium salts. However, its slow reaction time may pose a limitation when fast biofuel production is required [4,100].

3. Enzymatic Hydrolysis and Fermentation

During the enzymatic hydrolysis of pretreated biomass, cellulase enzymes catalyze the depolymerization of cellulose and hemicellulose, playing a crucial role in converting cellulose to glucose. The three primary categories of cellulase enzymes responsible for cellulose hydrolysis are endo-glucanase, exo-glucanase or cellobiohydrolase, and β-glucosidase or cellobiase. These enzymes target different glycosidic bonds within cellulose, leading to the formation of cello-oligosaccharides, cellobiose, and glucose, respectively [16,39]. Hemicellulose hydrolysis relies on endo-β-1-4 xylanase, exoxylanase, and β-xylosidase to produce xylooligosaccharides, xylobiose, and xylose, respectively [16].
Cellulase enzymes exhibit peak efficiency at temperatures between 45–55 °C, a pH level of 4 to 5, and a time frame of 48 to 72 h [101]. Various additional enzymes, including acetylesterase, glucoronide, galactomannase, and glucomannase, sourced from fungi and bacteria contribute to hemicellulose breakdown with different cellulolytic mechanisms [102].
Saccharomyces cerevisiae is a commonly employed microorganism for ethanol fermentation because of its high tolerance to various conditions. Other microorganisms such as Pichia stipitis, Zymomonas mobilis, Mucor indicus, Escherichia coli, Penicillium, and Aspergillus are utilized in the fermentation process [103,104,105,106]. Enzymatic hydrolysis and fermentation can be conducted simultaneously in one step (simultaneous saccharification and fermentation; SSF) or sequentially (separate hydrolysis and fermentation; SHF).

4. Effect of Acidic and Alkaline Pretreatments of Perennial Grasses

4.1. Biomass Composition before and after Pretreatment

Assessment of pretreatment efficacy involves analyzing changes in biomass composition before and after the pretreatment process. Generally, pretreatment induces alterations in biomass composition, leading to an increase in cellulose content and a decrease in hemicellulose and lignin contents. Table 3 outlines the compositional changes in different grasses before and after acid and alkaline pretreatments. Alkaline pretreatments, particularly with N a O H , consistently result in higher cellulose content and lower lignin content than acidic pretreatments in perennial grasses.
Napier grass, for example, exhibits a substantial increase in cellulose content and a significant decrease in lignin content after alkaline pretreatment with N a O H . Cellulose content increased from 41.80 ± 2.20% in the untreated sample to 67.60% in the pretreated sample [26], and from 36.67 ± 0.17% in the untreated sample to percentages ranging beween 55.83 ± 0.13% to 72.30 ± 0.17% in the pretreated sample depending on the concentration of N a O H [107]. The lignin composition in Napier grass decreased from 19.40% in the untreated sample to 6.30% in the pretreated sample [12] and from 19.33% to percentages ranging between 4.33 ± 0.07% to 7.00 ± 0.23% with N a O H [107]. However, the superiority of alkaline pretreatment in compositional changes is not consistent across all grass types, as observed by [35] for Napier grass, whereby H 2 S O 4 pretreatment resulted in higher cellulose content compared to the alkaline pretreatments, although it was associated with lower lignin removal. A notable reduction in carbohydrates in switchgrass occurred after N a O H pretreatment, which was linked with increased lignin reduction and pretreatment severity. Despite the subsequent ease of enzymatic saccharification due to enhanced cellulose exposure and reduced lignin, high sugar recovery was not guaranteed, as the solubilization of carbohydrates results in the loss of solids [108].
Alkaline pretreatment can also increase the hemicellulose content, as observed for Napier grass and Para grass pretreatment in studies by [12,35,58]. This increase is attributed to significant lignin loss, leading to a relative increase in hemicellulose content [109]. Alkaline pretreatment enhances hemicellulose solubilization and increases lignin removal by disrupting ester bonds and glycosidic chains, resulting in increased cellulose crystallinity. Efficient lignin removal is associated with enhanced biomass porosity and cellulose accessibility [110,111], whereas acid pretreatment dissolves the hemicellulose fraction by altering bonds within the biomass [86,110].

4.2. Morphology and Crystallinity before and after Acidic and Alkaline Pretreatment

The objective of biomass pretreatment is to disrupt the compact and organized cell wall structure, making it more susceptible to enzymatic hydrolysis [23]. Scanning electron microscopy (SEM) analysis is commonly employed to visualize the effects of pretreatment on the cell wall structure of the biomass.
Morphological alterations in perennial grasses have been observed before and after acid and alkaline pretreatment in many studies [23,107,109]. The untreated biomass initially displays a compact structure, whereas the biomass subjected to pretreatment exhibits thinner and distorted fibers, indicating potential lignin removal or the formation of lignin–hemicellulose complexes. Alkaline pretreatment, particularly with increasing concentrations, results in notable disruptions, including the formation of hollow spaces and increased breakage of cellulosic chains within the biomass following pretreatment [107]. Similarly with acidic pretreatment, the cell wall structure of raw biomass is generally compact. After undergoing acidic pretreatment, the structure becomes partially deconstructed as observed for B. brizantha with H 2 S O 4 . The severity of the acid treatment played a crucial role in this process [23]. Morphological alterations in Napier grass were examined following various alkaline pretreatments. N a O H treatment resulted in significant disruption of the fibers, displaying eroded and ruptured surfaces, which is indicative of substantial lignin removal. C a ( O H ) 2 , N H 3 , and a H 2 O 2 pretreatments partially maintained fiber integrity but induced surface deformation. C a ( O H ) 2 treatment resulted in fiber loosening, revealing inner rough-textured surfaces, possibly indicating lignin redeposition in the form of small spheres. N H 3 treatment caused surface disruption, disintegration, and increased porosity. a H 2 O 2 pretreatment weakened and ruptured fibers, with certain sections breaking into separate fibers [109]. The structural modifications induced by acidic and alkaline pretreatment on lignocellulosic biomass (LCB) are crucial for enhancing the accessibility and reactivity of the biomass for subsequent enzymatic hydrolysis or fermentation.
Cellulose microfibrils exhibit crystalline and amorphous regions, with cellulose crystallinity recognized as a significant factor influencing hydrolysis rates [112]. Crystallinity assessment is often conducted using X-ray diffractometry, and the crystallinity index (Crl) is determined using Equation (1):
C r l % = I 002 I 001 I 002 × 100
I 002 (2θ = 22°) is the peak intensity of the crystalline peak.
I 001 (2θ = 16°) is the peak intensity of the amorphous zone in the diffractogram [109].
Various pretreatment methods applied to grass consistently resulted in an enhanced crystallinity index in the treated biomass compared to the untreated biomass as outlined in Table 4. Pretreatments including acid, alkaline, and ionic liquids were applied to Napier grass, leading to notable changes in its Crl. Initially, the Crl of fresh Napier grass was 33%. Post-treatment, the Crl increased 1.51-fold with acid pretreatment and, more significantly, 1.94-fold with alkaline pretreatment [113]. The rigorous reaction conditions during pretreatment result in the release of amorphous hemicellulose and lignin, leading to significant improvement in cellulose crystallinity, as well as its Crl. Alkaline pretreatment surpasses acidic pretreatment in enhancing biomass Crl by effectively solubilizing hemicellulose and removing lignin. This process disrupts the cellulose–hemicellulose–lignin network, exposing more crystalline cellulose and reducing amorphous components. Unlike acid treatments that can hydrolyze cellulose, alkaline pretreatment is gentler, preserving the cellulose structure and significantly improving its crystallinity [58,114].

4.3. Effect of Temperature, Residence Time, and Acid/Alkaline Concentration on the Pretreatment Yield

Assessing the impact of temperature, residence time, and pretreatment chemical concentrations on the pretreatment yield is critical for optimizing bioethanol production from biomass. This optimization is essential for enhancing the efficiency of the pretreatment process, crucial for the effective breakdown of biomass and the release of fermentable sugars. Optimizing these parameters contributes to the cost-effectiveness and energy efficiency of the overall process, reducing environmental impacts and maximizing the final ethanol yield [14,116].
Temperature significantly influences the efficiency of biomass pre-treatment, making it imperative to investigate the impact of different temperatures to determine the optimal conditions for efficient biomass conversion. In a comparative study involving acid, alkaline, and two-stage acid–alkaline pretreatment, Napier grass underwent pretreatment with H 2 S O 4 at concentrations of 1%, 5%, and 10% (w/v) at temperatures of 120 °C, 150 °C, and 180 °C for 90 min. Additionally, N a O H at a concentration of 10% (w/v) was applied at 90 °C for 60 min. Higher temperatures and prolonged pretreatment times were positively correlated with increased release of sugars. Specifically, a pretreatment temperature of 120 °C resulted in higher sugar yields (both glucose and xylose), reaching 24.0% g/g of dried biomass, compared with a higher temperature of 180 °C. At 180 °C, only the glucose yield increased to 16.3% g/g of dried biomass, whereas at 120 °C, it was approximately 6.3% g/g dried biomass. Consequently, the study identified optimal conditions for dilute acid pretreatment of Napier grass: H 2 S O 4 concentration of 1% (w/v), a solid-to-liquid ratio of 1:10, a reaction temperature of 120 °C, and a reaction duration of 60 min [26]. In a comprehensive study on perennial grasses as a substrate for bioethanol production, [14] found that although glucose concentrations and hydrolysis efficiencies remained consistent across various temperatures, the ethanol yield notably decreased with an increase in pretreatment temperature.
Coastal Bermuda grass underwent N a O H pretreatment with varied concentrations ranging from 0.5% to 3% (w/v) and reaction times of 15, 30, 60, and 90 min at 121 °C [96]. The results indicated that 30 min pretreatment time effectively removed a substantial amount of total lignin (up to 86%), particularly for N a O H concentrations of 1% and higher. The use of 1% and 2% N a O H led to higher total reducing sugar production, ranging between 400–440 mg/g raw biomass, compared to 3% N a O H , which achieved total reducing sugar between 340–360 mg/g raw biomass at earlier pretreatment times of 15 and 30 min. Extended pretreatment times of 60 and 90 min resulted in decreased reducing sugar production for all N a O H concentrations due to reduced solid recovery despite higher lignin removal. The optimal conditions for coastal Bermuda grass pretreatment were identified as 0.75% N a O H concentration with a 15-min pretreatment time at 121 °C [96]. In a comparable N a O H pretreatment of Napier grass, a 2% (w/v) N a O H solution effectively delignified the biomass, achieving a maximum delignification of 81.0% after 60 min, outperforming 1% and 3% N a O H concentrations. The 2% N a O H treatment resulted in the highest glucose (368 mg/g of dry biomass) and xylose (64 mg/g of dry biomass) production during enzymatic hydrolysis, with glucan and xylan conversions of 50.6% and 32.2%, respectively [107], comparable to those observed in Bermuda grass pretreatment by [117]. However, increasing acid or alkali concentration alone does not always yield better results, but their synergistic effect is crucial [118].
When evaluating the efficacy of K O H , N a O H , and C a ( O H ) 2 as pretreatment agents for switchgrass and Miscanthus under a solid loading of 40% dry matter content and mild temperatures of 20 °C and 50 °C [20], it was observed that K O H and N a O H were more effective than C a ( O H ) 2 in altering the biomass composition after pretreatment. The delignification achieved by K O H and N a O H was higher at both temperatures, ranging from 30% to 37% for switchgrass and 32% to 47% for Miscanthus, while C a ( O H ) 2 achieved delignification of 13% to 21% for switchgrass and 14% to 20% for Miscanthus. Cellulose conversion rates ranged between 56.1% and 70.5% with either N a O H or K O H for switchgrass at both temperatures, whereas for Miscanthus, cellulose conversion ranged between 59.0% and 80.5%. These cellulose conversion rates were higher compared to those achieved using C a ( O H ) 2 (38.9% to 44.9% for switchgrass and 23.0% to 32.0% for Miscanthus). The lower performance of C a ( O H ) 2 can be attributed to its low solubility (173 g in 100 mL of water at 20 °C and 0.133 g at 50 °C), requiring longer treatment times for comparable digestibility rates as those achieved with K O H and N a O H . Despite being inferior to other alkalis, C a ( O H ) 2 as a pretreatment agent still possesses desirable qualities, considering aspects such as cost-effectiveness, recovery after pretreatment, and safe handling [20,119]. At temperatures below 50 °C and extended residence times, alkali effectiveness, particularly soaking in aqueous ammonia (SAA), was highlighted by [17]. SAA demonstrated high efficacy in lignin removal with minimal hemicellulose loss, maintaining biomass cellulose content. However, at increased biomass loading from 10% to 20%, lignin removal efficiency decreased from 48% to 31% during SAA pretreatment. Higher biomass loading posed challenges, including inhibition, limited mass transfer due to low free water content, and handling difficulties with viscous materials [120]. This process took a relatively long time, specifically 40 days [17]. This extended duration could be considered a drawback of SAA as a pretreatment method, especially in situations where faster processing times are desired.

4.4. Acidic, Alkaline, and Two-Stage Acid–Alkaline/Alkaline–Acid Pretreatment of Perennial Grasses

Coastal Bermuda grass and switchgrass underwent pretreatment using N a O H , C a ( O H ) 2 , and H 2 S O 4 [16]. Alkaline pretreatment with N a O H and C a ( O H ) 2 at milder temperatures (50 °C) yielded greater sugar recovery during enzymatic hydrolysis compared to acid pretreatment with H 2 S O 4 at higher temperature of 121 °C (see Table 5). Alkaline pretreatment, especially with N a O H , demonstrated higher sugar yields (56.8% to 129% greater), attributed to its effectiveness even at lower temperatures. This efficiency is linked to a significant retention of carbohydrates in the solid residue, promoting additional hydrolysis, unlike high-temperature acid pretreatments where carbohydrates dissolve into the solution, interacting with inhibitory degradation products. N a O H proved more efficient than C a ( O H ) 2 , achieving a reducing sugar yield of 86% of the theoretical yield [16].
The augmentation of pretreatment efficiency can be achieved through the implementation of a two-stage acid–alkaline pretreatment. During the initial stage, hemicellulose hydrolysis is effectively carried out through diluted acid pretreatment and in the second stage, alkaline pretreatment is employed. This dual-stage methodology improves the overall removal rate of lignin, preserving cellulose within the solid fraction. The alkaline solution serves to dissolve lignin from the biomass, thereby contributing to a more comprehensive and efficient pretreatment process [26]. In a comparison of acid ( H 2 S O 4 ), alkali ( N a O H ), and two-stage acid–alkali ( H 2 S O 4 - N a O H ) pretreatment of Napier grass, it was found that all three methods were effective to some extent in removing non-cellulosic components from the biomass. The two-stage acid–alkaline pretreatment exhibited the highest reducing sugar yields, 56.9 g/L glucose and 4.2 g/L xylose, followed by N a O H pretreatment with reducing sugar yields of 51.6 g/L glucose and 13.5 g/L xylose, and finally, H 2 S O 4 pretreatment with yields of 29.2 g/L glucose and 5.1 g/L xylose [26]. In a comparable context of sequential acid–alkaline pretreatments involving H 2 S O 4 , F e C l 3 , N a O H , and a two-stage F e C l 3 - N a O H process for Arundo donax by [29], the combined acid–alkaline treatment outperformed individual acid and alkaline pretreatments. The total soluble sugars obtained from H 2 S O 4 and F e C l 3 pretreatments were in the lower range of 236.2 to 255.9 mg/g of reducing sugar, as opposed to N a O H treatment, which achieved a maximum of 379.7 mg/g of reducing sugar. The two-stage F e C l 3 - N a O H pretreatment resulted in the highest maximum reducing sugar yield of 420.4 mg/g, surpassing the one-step N a O H and F e C l 3 pretreatments by 111% and 164%, respectively. While F e C l 3 effectively dissolves hemicellulose and recovers soluble sugars, it falls short in enhancing enzymatic hydrolysis. Further treatment with N a O H in the second step enhanced delignification, improving the efficiency of enzymatic hydrolysis [29]. Similarly in two-stage pretreatment of Miscanthus using acid and lime, higher recoveries of both glucose (>80%) and xylose (>70%) were observed, outperforming the results of single-stage pretreatments [121].
Pre-treating kans grass with different alkalis followed by concentrated acid hydrolysis was employed, and this method was found to enhance the interaction between acid and cellulose/hemicellulose. It promoted a more effective hydrolysis process, leading to increased yields of monomeric sugars. A promising approach for generating monomeric sugars from kans grass involved SAA pretreatment, followed by concentrated H 2 S O 4 pretreatment, which resulted in the highest concentrations of total reducing sugars, reaching up to 580.3 mg/g (see Table 5). The recovery of ammonia from the pre-treatment liquor was possible, allowing for its subsequent reuse [17]. Alkaline pretreatment provides benefits, including the ability to be recycled up to five times without any loss of effectiveness, which leads to cost savings on chemicals, as demonstrated in the case of cogon grass using a 10 wt.% N a O H [122]. The advantages and disadvantages of both acidic and alkaline pretreatment are summarized in Table 6.
Alkali pretreatment, specifically using N a O H , significantly enhances the production of fermentable sugars compared to acid pretreatment [12,16,26,30,35,98,123]. This chemical process is common and proves effective in improving cellulose digestibility by removing lignin. At the same time, alkali pretreatment can hinder the enzyme’s access to the cellulose and can also absorb the cellulase enzymes, which can lead to low sugar release compared to dilute acid pretreatment, which removes less lignin [58]. However, in contrast to this, substantial lignin removal does not necessarily correlate with the quantity of total reducing sugars produced during enzymatic hydrolysis. This is because the dispersed residual lignin may still hinder enzyme access to the amorphous portion of cellulose, thereby influencing the efficiency of enzymatic hydrolysis in terms of total reducing sugar production [12]. This inconsistency underscores the complexity of lignin modification and its relationship with enzymatic hydrolysis efficiency.
Table 5. Total reducing sugar and bioethanol yields from acidic and alkaline pretreatments on perennial grasses.
Table 5. Total reducing sugar and bioethanol yields from acidic and alkaline pretreatments on perennial grasses.
BiomassPretreatment Efficiency % [w/w]Enzymatic Hydrolysis and FermentationHydrolysis Efficiency/Total Reducing Sugar ConcentrationBioethanol YieldReference
Napier grassAlkaline ( N a O H )
CR: 62.1 ± 2.7%
HR: 67.1 ± 0.2%
LR: 63.0 ± 3.2%
Cellulases Cellic CTec2 and HTec2
12 FPU/g. S. cerevisiae
SSF
Glucose: 51.60 g/L
Xylose: 13.50 g/L
Glucose yield: 75.4 ± 2.9%
0.143 ± 0.006 g/g[26]
Acidic ( H 2 S O 4 )
CR: 47.8%
HR: 81.1%
LR: 46.2%
Glucose: 29.20 g/L
Xylose: 5.10 g/L
Glucose yield: 55.4 ± 6.5%
0.075 ± 0.003 g/g
Acidic-Alkaline H 2 S O 4 N a O H
CR: 67.6%
HR: 93.4%
LR: 74.1%
Glucose: 56.90 g/L
Xylose: 4.20 g/L
Glucose yield: 76.4 ± 5.0%
0.116 ± 0.006 g/g
VetiverAcidic-Alkaline ( H 2 S O 4 N a O H ) Cellulase (8 U/g), β-glucosidase (120 U/g).
S. cerevisiae
SSF
Glucose: 11.08–13.56%
Xylose: 44.21–47.84%
Arabinose: 15.41–16.34%
Galactose: 6.51–7.88%
0.142–0.151 g/g[59]
Napier grassAlkaline ( N a O H )
CR: 96.5–99%
HR: 19.7–82.7%
LR: 76.2–88.4%
Accellerase 1500,
30 FPU/g.
S. cerevisiae
SSF
TRS: 146.90 mg/g 0.142 g/g
(With N a O H )
[12]
Acidic ( H 2 S O 4 )TRS: 80.00–90.00 mg/g
Alkaline (aqueous N H 3 )TRS: 133.60 mg/g
Alkaline (Alkaline peroxide)TRS: 20.00–30.00 mg/g
King grassAlkaline ( N a O H )
CR: 55.8–92.8%
HR: 22.6–98.4%
LR: 53.00–94.00%
Accellerase 1500,
30 FPU/g.
S. cerevisiae
SSF
TRS: 268.00 mg/g 0.166 g/g
With N a O H
[35]
Acidic ( H 2 S O 4 )TRS: ~120.00 mg/g
Alkaline (aqueous N H 3 )TRS: 179.40 mg/g
Alkaline (Alkaline peroxide)TRS: ~50.00 mg/g
SwitchgrassAlkaline Aqueous N H 3
LR: 40.0–50.0%
Cellulase β-glucosidase, 26–77 FPU/mL.
S. cerevisiae
SSF
Glucose: ~6.40 g/L
Xylose: ~7.90 g/L
Cellobiose: ~3.80 g/L
22.00 g/L[99]
Napier grassAlkaline ( N a O H )
LR: 63.79–81.03%
Cellulase
20 FPU/g
Glucose: 18.40 g/L
Glucose yield: 45.2–50.6%
Xylose yield: 24.0–32.2%
-[107]
Para grassAcidic ( H 2 S O 4 )Commercial Cellulase 20 FPU/g.
S. cerevisiae
SHF
TRS: 660.00 mg/g-[58]
Alkaline ( N a O H )TRS: 696.00 mg/g71.8%
Kans grass2-stage N a O H H 2 S O 4
LR: 47.9%
Yeast strain Scheffersomyces stipitis CBS 6054TR: 44.30–373.60 mg/g 0.35 g/g[17]
2-stage N a O H + urea– H 2 S O 4
LR: 51.0%
TRS: 75.20–448.30 mg/g
2-stage Aqueous N H 3 H 2 S O 4
LR: 48.0%
TRS: 159.70–580.30 mg/g
B. brizanthaAcidic ( H 2 S O 4 )
HR: 73.3%
Commercial cellulase, 20 FPU/g. S. cerevisiae
SSF
TRS: 0.19–0.54 g/g
Saccharification efficiency: 46.0%
~6.50 g/L[23]
Bermuda grassAcidic ( H 2 S O 4 )
LR: 20.0–30.0%
Cellulase, NS50013 (40 FPU/g) and cellobiase NS50010 (70 CBU/g).
S. cerevisiae
TRS: 464.80 mg/g
TRS yield: 80.00–97.00%
52.00–83.00% [110]
Bermuda grass Acidic ( H 2 S O 4 )Cellulases (25 FPU/g) and β -glucosidase (75IU/g)TRS: 203.70–229.30 mg/g
Glucose conversion rate; 46.1–83.1%
-[124]
Rye strawAcidic ( H 2 S O 4 )Cellulases (25 FPU/g) and β -glucosidase (75IU/g)TRS: 125.00–197.10 mg/g
Glucose yield: 29.9–52.3%
-[124]
Cogon grassAlkaline ( N a O H )Accellerase 150 (0.15-0.25 mL/g-WIS).
S. cerevisiae
SSF
-19.08 g/L
(76.2%)
[122]
Napier grassAlkaline ( N a O H )cellulase Cellic® CTec2 (5–40 FPU/g).
S. cerevisiae
SHF and SSF
TRS: ~90.00 g/L maximum (SSF)30.60 ± 0.40 g/L (SHF)
28.50 ± 2.30 g/L (SSF)
[125]
SwitchgrassAcidic ( H 2 S O 4 )
HR: >80.0%
NS 50013 (20 FPU/g) + NS 50010 (10 CBU/g)TRS: 188.70 mg/g -[16]
Celli CTec (20 FPU/g)TRS: 207.50 mg/g
Alkaline ( N a O H )
LR: >55.0%
NS 50013 (15 FPU/g) + NS 50010 (20 CBU/g)TRS: 431.40 mg/g
Cellic CTec (15 FPU/g) + Cellic HTec (25 FXU/g)TRS: 399.00 mg/g
Alkaline ( C a ( O H ) 2 )NS 50013 (20 FPU/g) + NS 50010 (20 CBU/g)TRS: 433.00 mg/g
Cellic CTec (20 FPU/g) + Cellic HTec (25 FXU/g)TRS: 412.30 mg/g
Bermuda grassAcidic ( H 2 S O 4 )NS 50013 (20 FPU/g) + NS 50010 (10 CBU/g)TRS: 232.10 mg/g
Celli CTec (20 FPU/g)TRS: 242.10 mg/g
Alkaline ( N a O H )NS 50013 (15 FPU/g) + NS 50010 (10 CBU/g)TRS: 396.00 mg/g
Cellic CTec (10 FPU/g) + Cellic HTec (25 FXU/g)TRS: 379.50 mg/g
Alkaline ( C a ( O H ) 2 ) NS 50013 (20 FPU/g) + NS 50010 (10 CBU/g)TRS: 426.40 mg/g
Cellic CTec (15 FPU/g) + Cellic HTec (50 FXU/g)TRS: 429.70 mg/g
Miscanthus floridulusAlkaline ( N a O ) at RT.
HR: 51.5%
LR: 73.7%
Accellerase 1000, 10 FPU/g-WIS. S. cerevisiae
SSF
0.071 g/g (48.9%) [126]
Alkaline ( N a O ) at 90 °C.
HR: 85.1%
LR: 61.5%
0.124 g/g (78.4%)
CR: Cellulose recovery; HR: Hemicellulose removal; LR: Lignin removal; TRS: Total reducing sugar; SSF: Simultaneous saccharification and fermentation; SHF: Separate hydrolysis and fermentation; RT: room temperature; FPU: Filter paper unit; FXU: Fungal xylanase unit; CBU: Cellobiase unit.
Table 6. Advantages and disadvantages of acid and alkaline pretreatments.
Table 6. Advantages and disadvantages of acid and alkaline pretreatments.
PretreatmentAdvantagesDisadvantagesReferences
AcidicShort residence times.
Mild temperatures and low-pressure operations.
Eliminating the need for enzymatic hydrolysis is possible sometimes, as the pretreated feedstock is directly hydrolyzed into fermentable sugars.
Achieves high rates of cellulose hydrolysis.
The generation of inhibitory compounds is very high.
Requires washing and neutralizing of the acid in the feedstock before enzymatic hydrolysis.
High cost to design reactors due to acid-resistant material.
Need to recover the acid used.
Corrosive.
Toxic.
[47,75,112,127]
AlkalineLess degradation of sugars.
Low temperature and low-pressure operation.
Enhances enzymatic hydrolysis.
Low inhibitory compounds generation.
Reuse of alkaline solution.
Ideal for low lignin content biomass.
Difficult to neutralize.
High cost.
Extended reaction time.
[38,47,70,112,122,128]

4.5. Perennial Grasses Pretreatment Comparison with Other LCB

Comparing the hydrolysis of perennial grasses to other lignocellulosic biomass feedstocks, silver grass, rice straw, and bagasse were pretreated with dilute H 2 S O 4 at 121 °C for 30 min. The xylose yield from silver grass (70–75%) was comparable to rice straw and bagasse. Following fermentation with Candida shehatae, all three hydrolysates yielded ethanol in the range of 64–66%, indicating that silver grass is as viable as bagasse and rice straw for bioethanol production [129]. Bermuda grass exhibited dominance over rye straw during pretreatment with H 2 S O 4 , showing an increased glucose yield ranging from 46% to 81% of the theoretical potential. In contrast, rye straw consistently yielded lower glucose, ranging from 30% to 52% of the theoretical potential across various pretreatment conditions. Discrepancies in biomass structure, culture season, and duration between the winter-grown rye and summer-cultured Bermuda grass may contribute to variations in acid pretreatment and enzymatic hydrolysis outcomes, as indicated by [124].
Four different strong inorganic acids, namely, H C l , H 3 P O 4 , H N O 3 , and H 2 S O 4 were evaluated in fractional hydrolysis to achieve maximum sugar recovery with minimal toxic by-products from three different feedstocks: kans grass, sugarcane bagasse, and wheat straw. Among these acids, H 2 S O 4 proved to be the most effective, resulting in the highest extraction of pentose and hexose sugars from kans grass biomass without significant toxic by-products. The saccharification percentages were as follows: kans grass (84.88%), sugarcane bagasse (82.55%), and wheat straw (81.66%). This study successfully achieved 82.45% of the maximum theoretical ethanol production from the kans grass hydrolysate, providing validation for the common use of H 2 S O 4 due to its superior performance compared to other acids [56]. These findings demonstrate that perennial grasses possess the potential to achieve conversion yields suitable for bioethanol production, comparable to or even surpassing those of other biomass feedstocks, further affirming their viability for 2G bioethanol production due to their greater susceptibility to saccharification.

4.6. Inhibitory Compounds Production

The generation of by-products during pretreatment predominantly stems from the solubilization and degradation of pentoses, hexoses, and lignin. Elevated concentrations of these by-products, particularly notable in acid pretreatment, exert inhibitory effects on fermenting microorganisms, including yeast and bacteria, as evidenced in the existing literature [23,26,121].
In the pretreatment of Napier grass, different methods including acid, alkaline and 2-stage acid-alkaline methods were investigated [26]. The use of H 2 S O 4 revealed that elevated concentrations and prolonged pretreatment times resulted in the formation of inhibitory compounds, specifically furfural and acetic acid. The concentrations of furfural increased from approximately 1 g/g biomass at 120 °C to about 4 g/g biomass at 180 °C, while acetic acid concentrations rose from 4 g/g biomass at 120 °C to 16 g/g biomass at 180 °C [26]. Similar observations of acetic acid and furfural were reported in the pretreatment of switchgrass by [129] after a longer pretreatment time of 180 min using H 2 S O 4 , with acetic acid concentrations of 3.5 g/L and furfural 1.0 g/L. Acetic acid is produced through the release of the acetyl group from hemicellulose hydrolysis, whereas furfural is formed via the dehydration of pentose sugars [129,130]. A lower H 2 S O 4 concentration of 1% (w/v) was considered suitable for the prevention of inhibitory compounds in contrast to concentrations of 5% and 10% (w/v) [26].
Comparing acid hydrolysis of silver grass with that of sugarcane bagasse and rice straw, silver grass exhibited an acetic acid concentration of 3.5 g/L while sugarcane bagasse and rice straw exhibited 6.2 g/L and 1.7 g/L, respectively. The acetic acid concentrations were lower in silver grass and rice straw because of their lower acetyl group contents compared to sugarcane bagasse [129]. At 180 °C, degradation of hemicellulose to produce 2-furaldehyde and 5-hydroxymethyl-furaldehyde was observed for three grasses (Panicum maximum, Pennisetum purpureum, and Brachiaria brizantha), sugarcane bagasse, and bark residues. Sugarcane bagasse and bark residues exhibited higher susceptibility to cellulose dehydration, while perennial grasses demonstrated hydroxymethyl–furfural levels below 20 μg/per gram of biomass. The soluble fraction from perennial grasses was the primary source of C5 conversion into 2-furaldehyde, with B. brizantha showing heightened production under acid pretreatment [131]. Comparing B. brizantha with sugarcane bagasse, the effects of H 2 S O 4 pretreatment at concentrations of 0.5%, 1%, and 2% (v/v) were assessed. Under the most extreme conditions, sugarcane bagasse released furfural in amounts 1.7 times higher than B. brizantha, while HMF from sugarcane bagasse (4.268 g/L) was remarkably 9.4 times greater than that of B. brizantha (0.454 g/L). Optimal conditions for B. brizantha, 1% or 2% acid concentration for 60 min, not only maximized carbohydrate content but also kept inhibitor concentrations at acceptable levels. Additionally, B. brizantha exhibited superior efficiency, achieving a 46% conversion of released glucose to ethanol compared to sugarcane bagasse’s, which was 33% [23]. Similar results of the generation of inhibitory compounds at elevated temperatures were observed in the dilute acid pretreatment of Bermuda grass, where the maximum total sugar yield was 97% [110]. The severity of the pretreatment process influences the formation of inhibitory products, as demonstrated by [121] in their study on Miscanthus. With increasing pretreatment severity (two-stage acidic–alkaline), they observed a rise in the concentration of inhibitory compounds, yielding 3.8–15.2 g/L of acetic acid, 0.9–13.2 g/L of furfural, and 0–3.0 g/L of HMF.
Kans grass, previously treated with ammonia, underwent a three-fold concentration of acid pretreatment and subsequent detoxification using charcoal (5 g/L) [17]. While the total reducing sugars were conserved post-concentration, a notable decrease in xylose content occurred, leading to the formation of furfural, which increased in concentration from 4.56 to 20.35 mM. A slight reduction in phenolics was observed during the concentration phase. The detoxification process resulted in a 0.76 g/L total reducing sugar loss, along with reductions in furfural and phenolics concentrations from 20.35 to 15.53 mM and 253.03 to 79.47 mg/L, respectively. Notably, the detoxification process exhibited a more pronounced reduction in phenolics compared to furfural [17]. Organisms, including specific strains of S. cerevisiae capable of converting furfural and HMF into less toxic compounds (furfural alcohol and 2,5-bis-hydroxymethylfuran, respectively) and Pichia stipitis, exhibiting resilience to furfural, can be utilized for detoxification [132]. This approach helps alleviate the toxic effects of inhibitory compounds generated during pretreatment.

4.7. Effect of Enzymatic Hydrolysis and Fermentation on Reducing Sugar Concentrations and Ethanol Yields

Enzymatic saccharification aims to induce structural changes in cellulose and other carbohydrate polymers within pretreated biomass, ultimately converting them into fermentable sugars [133]. The efficiency of enzymatic saccharification depends on various factors, including biomass chemical composition, the effectiveness of the pretreatment method, and the mode of enzyme action, among others [134].
The glucose yields obtained from CTec2 enzyme saccharification of Napier grass pretreated with dilute acid, alkaline, and two-stage acid-alkaline methods were 55.4%, 75.4%, and 76.4% (w/w), respectively. The cellulase CTec2 enzyme exhibited similar efficiency on alkaline-pretreated and two-stage-pretreated biomass, but less efficiency on dilute acid-pretreated biomass. Effective lignin removal facilitated cellulase access to cellulose, significantly enhancing glucan and xylan hydrolysis. Glucose yields after enzymatic saccharification for acid, alkaline, and two-stage acid-alkaline pretreatments were 55.4%, 75.4%, and 76.4%, respectively. Alkaline pretreatment of Napier grass outperformed dilute acid pretreatment and two-stage pretreatment (see Table 5). This superiority is attributed to higher lignin and hemicellulose removal while retaining a greater amount of glucan [26].
The enzymatic hydrolysis of switchgrass and coastal Bermuda grass following pretreatment with H 2 S O 4 , N a O H , and C a ( O H ) 2 was assessed using two enzyme combinations with varying activities [16]. Combination 1, comprising cellulases from Trichoderma reesei (NS 50013 cellulase complex) and cellobiase from Aspergillus niger (NS 50010 β-glucosidase). Combination 2, comprising Cellic Ctec (aggressive cellulases and high level of β-glucosidase) and Cellic Htec (endoxylanase). Using the first enzyme combination (NS 50013 + NS 50010), sugar yields from switchgrass and Bermuda grass pretreatments ranged between 188.7–433.0 mg/g raw biomass. For the second enzyme combination (Cellic Ctec + Cellic Htec), sugar yields ranged between 207.5–429.7 mg/g raw biomass. The Cellic Ctec + Cellic Htec enzyme combination was identified as the preferred choice, considering the same unit cost due to its higher enzyme activity. It exhibited superior hydrolysis of coastal Bermuda grass over switchgrass (See Table 5) [16].
Cellulose hydrolysis in untreated Chinese Pennisetum (CP) and Hybrid Pennisetum (HP) using Celluclast 1.5 L and Novozyme 188 showed low yields, reaching as low as 19.0% for CP and 29.6% for HP, even at high cellulase loadings (up to 60 FPU/g dry biomass). Increasing cellulase loading positively impacted the hydrolysis of mild pretreated CP and HP, notably improving glucose yields from 1 to 20 FPU/g dry biomass (29.5% to 40.0% for CP and from 80.0% to 82.0% for HP). Beyond 20 FPU/g, the enhancement in glucose yields weakened for SAA-pretreated CP and HP. Xylan hydrolysis increased up to 20 FPU/g, but higher cellulase dosages had limited impact. Hence, cellulase loadings greater than 20 FPU/g dry biomass were deemed unnecessary for the hydrolysis of pretreated CP and HP, indicating a weak impact on cellulose and xylan hydrolysis with higher cellulase supplementation [115]. Optimum cellulase enzyme loading of 20 FPU/g for HP was also reported by [135] after pretreatment with oxygen-aqueous alkaline 1-ethyl-3-methylimidazolium acetate ([Emim]Ac) media (OEA) and aqueous alkaline [Emim]Ac media (EA). OEA treatment resulted in the highest glucose concentration at 11.2 g/L, a significant 9.1-fold increase compared to untreated biomass (1.25 g/L), achieving a 96.6% yield. In contrast, EA pretreatment yielded only about 3 g/L glucose. Overall, OEA pretreatment proves to be an effective and economically viable method for biofuel production, marked by a short reaction period, low thermal energy requirements, and reduced enzyme usage [135].
The yield of reducing sugars from various grass species under identical alkaline pretreatment conditions can differ due to factors such as composition, growth, and harvest conditions. In a comparative study involving switchgrass, silver grass, and hemp, silver grass was the most promising feedstock for high total reducing sugar (TSR) yield, achieving 79% enzymatic conversion with N a O H pretreatment. TRS yields obtained were 39.55 ± 0.30 g/L for silver grass, 34.49 ± 0.03 g/L for switchgrass, and 30.49 ± 0.49 g/L for hemp using a combination of Cellic CTec and Viscozyme-L enzymes (0.5 FPU/g) [41]. The TRS for silver grass aligned with a previous study that reported 40 g/L TRS after alkaline pretreatment [136]. The variation in cellulose content among different grasses, such as 44.1% for silver grass and 36.5% for switchgrass, is the contributing factor to the difference TRS. Despite hemp fiber having a reported significantly higher cellulose content, the sugar concentration was lower due to the reduced effectiveness of delignification, potentially diminishing the accessibility of enzymes to cellulose fibers [41].
The incorporation of certain compounds, such as proteins and surfactants after pretreatment can enhance the efficiency of enzymatic hydrolysis by establishing hydrophobic interactions with lignin residues [137]. Napier grass, pretreated with 5% (w/v) H 2 S O 4 and cellulase complex (NS50013) with enzyme loading of 5 FPU/g of dry matter, exhibited improved yields in enzymatic hydrolysis with the incorporation of bovine serum albumin (BSA), polyethylene glycol 6000 (PEG 6000), Tween 80, as surfactants, and β-glucosidase (10 CBU/g dry matter). The addition of β-glucosidase significantly enhanced cellulose conversion. While BSA had no impact on cellulose hydrolysis, the inclusion of PEG 6000 and Tween 80 increased the hydrolysis yield after 140 h to 41% and 42%, respectively, surpassing the 32% obtained with a higher cellulase enzyme loading of 25 FPU/g of dry matter [138].
The potential for bioethanol production from Andropogon gayanus, also known as gamba grass, was evaluated using 5% (v/v) and 10% (v/v) H 2 S O 4 at 50 °C for 30 min, followed by fermentation with cultured bacteria (Zymomonas mobilis) and yeast (S. cerevisiae) [139]. With yeast, higher acid concentration (10%) resulted in bioethanol yields ranging from 37.80% to 38.50%, whereas 5% acid hydrolysis bioethanol yields were 36.50% to 36.70%. These outcomes are relatively close, especially considering that the acid concentrations differ by a factor of two. Similar trends were observed with Z.mobilis whereby hydrolysis with 10% H 2 S O 4 led to slightly higher ethanol yields compared to 5% H 2 S O 4 [139].

4.8. Water Consumption of the Pretreatment Process

While specific studies focusing directly on quantifying water consumption in the pretreatment of perennial grasses are limited, related research provides valuable insights into the broader context of bioethanol production and its water use implications.
The production of bioethanol from 2G LCB significantly increases water usage, especially during the pretreatment phase. The increased water consumption is attributed to the need for water in removing inhibitory compounds and neutralizing the feedstock after chemical pretreatment (see Table 7). The water-insoluble nature of LCB necessitates additional water for mass transfer during various stages, including pretreatment, saccharification, and fermentation, making 2G biomass conversion more water-intensive than 1G biomass processes. Combined with the challenges in commercial realization, such as the massive collection of raw biomass and high production costs, coupled with excessive wastewater generation from pretreatment. These factors raise concern about the economic viability and sustainability of bioethanol production from LCB, particularly in regions with limited water resources [140,141,142]. Therefore, minimizing water consumption of 2G ethanol production especially in the pretreatment stage is necessary to ensure sustainability.
Higher solid loadings in the pretreatment stage significantly reduce estimated water consumption. Increasing solid loading from 10% to 15% (w/w) can lower the estimated water consumption from 9 tons to 5.7 tons of water per ton of biomass, with further reductions at 20% loading [140]. While increasing the solid loading in biomass pretreatment can reduce water usage, it has some drawbacks. These include less effective pretreatment, increased generation of byproducts, and higher viscosity, all of which can impact the overall efficiency of the biofuel conversion process [142]. It has been found that while increasing the volume of water for washing pretreated biomass raises production costs, an optimal balance was achieved using 5.5 g of water per g of ionic liquid. This method proved to be cost-effective, minimizing the total recovery cost of ionic liquid to USD 16 per kg of biomass [143].
Besides increasing biomass loading to enhance water efficiency in LCB pretreatment, several strategies have been proposed. These include adopting alternative methods such as alkali pretreatment to reduce the formation of inhibitory compounds, recycling the liquid fraction post-pretreatment, employing physicochemical detoxification, omitting water-washing post solid–liquid separation, and using calcium oxide ( C a O ) in pretreatment with subsequent acid neutralization [142,144]. Additionally, seawater has emerged as a viable solution for water conservation during pretreatment processes in lignocellulose biorefineries. Research indicates that seawater yields similar amounts of digestible and fermentable solids during pretreatment as compared to freshwater [145]. This suggests that seawater holds potential as a sustainable water source in lignocellulose biorefineries, offering comparable efficacy to freshwater. These strategies collectively aim to minimize water usage and contribute to the sustainability of the bioethanol production process.
Table 7. Studies relating to water overconsumption from different pretreatments.
Table 7. Studies relating to water overconsumption from different pretreatments.
BiomassPretreatmentWater usage after TreatmentReference
Miscanthus H N O 3 Solid residues washed thoroughly with water until neutral pH.[146]
SwitchgrassHot waterPretreated residue washed with 10 g of distilled water per gram of solids four times; wastewater was discarded.[147]
BambooGlacial acetic acidPretreated biomass was washed with tap water; wastewater was discarded.[148]
Hybrid Pennisetum γ -valerolactone, tetrahydrofurfuryl alcohol, ethanol, and acetone assisted by H 2 S O 4 Pretreated biomass was first washed with an equal volume of the organic solvent at least three times then washed to neutral with water; wastewater was discarded.[149]
Hybrid PennisetumFeCl3 in ChCl/glycerolPretreated biomass was washed with 50% acetone/water (100 mL) until the filtrate was colorless.[150]
Napier grass H 2 S O 4 and NaOHPretreated biomass was washed with tap water until the pH became neutral.[26]
Cogon grassNaOHPretreated biomass washed with 300 mL of water in 3 stages[36]

5. Techno-Economic and Environmental Analysis of Bioethanol Production from Perennial Grasses

Techno-economic analysis (TEA) for bioethanol production involves evaluating both the technological aspects and economic feasibility of producing bioethanol, typically from biomass. This analysis includes examining the costs associated with production processes, such as growing biomass, pretreatment, fermentation, and distillation. It also involves assessing the potential revenue, economic viability, and overall efficiency of the bioethanol production process [151]. Life cycle assessment (LCA) considers factors such as energy use, greenhouse gas emissions, water use, and pollution. The goal is to understand the overall environmental footprint of bioethanol production and to identify areas where improvements can be made for more sustainable production [152].

5.1. Production Costs

5.1.1. Production Cost of Perennial Grasses

As of 2018, the global capacity of commercially operational advanced 2G ethanol facilities was relatively modest, at around 10 million liters annually. This figure constituted only a small fraction of the total fuel ethanol consumption, which stood at 126 billion liters [120]. With most new plant projects being at the demonstration stage, there is a clear need for the expansion and improvement of advanced biofuels to meet growing energy demands and sustainability goals.
The economic evaluation of biofuel production entails a thorough examination of the feasibility of feedstocks and the overall production expenses. Unlike 1G feedstocks, the market worth of 2G feedstocks remains uncertain due to underdeveloped residue markets in numerous countries. Moreover, the restricted commercial production of energy crops, such as switchgrass, in developing nations makes it challenging to establish their market value. Consequently, the cost analysis for 2G biofuels primarily hinges on production expenses, covering everything from land preparation to biomass harvesting, incorporating labor, materials, land rent, fertilizers, and other supplies [132].
The economic viability of cultivating perennial grasses like giant reed, miscanthus, and switchgrass in South Europe’s marginal lands was found challenging. Cultivation, harvesting, and transportation costs exceeded the expected selling price of EUR 65/dry ton, making it financially unattractive for farmers. The reduced yields in marginal lands further diminished profitability. With substantial initial investments (around EUR 3000/ha for giant reed) and a nearly 10-year payback period, the financial returns did not sufficiently cover the risks involved. The seasonal harvesting (September to February) necessitated long-term storage, adding to the complexity. Given these factors, and the uncertainty in energy prices, the narrow profit margins did not incentivize farmers to cultivate these grasses without subsidies. State or biomass user-provided financial incentives and long-term contracts were proposed to mitigate the risks and encourage cultivation [153].
Bioeconomic GIS-based simulation modeling was used to analyze yields and break-even prices of perennial grasses to address the uncertainty surrounding investments in biomass feedstocks in North Dakota, USA. Cordgrass, switchgrass, and Miscanthus state average yields were 4.9 t/ha, 5.8 t/ha, and 4.0 t/ha with break-even prices of USD 274/t, USD 271/t, and USD 272/t, respectively. The average yields were lower, whereas the break-even prices were higher compared to those of the same biomass for other states such as Illinois which had a break-even price of USD 98/t for switchgrass and Minnesota with USD 144/t–USD 188/t. The findings suggest challenges for large-scale investments in perennial grass biomass in North Dakota, due to high break-even prices [154]. In a European study by [155], Miscanthus, compared to willow and poplar, exhibited notably higher production costs, averaging EUR 909 (~USD 987) per hectare annually. This cost was about 70% higher than that of willow and poplar, which had similar costs slightly above EUR 500 (~USD 543) per hectare. Despite these cost differences, revenue distribution was similar across these crops, with willow and poplar yielding around EUR 200 (~USD 217) per hectare, and Miscanthus generating approximately EUR 400 (~USD 434) per hectare. The market price for biomass was consistent across these crops suggesting that production conditions, rather than the crop type, primarily influenced economic outcomes [155]. The results highlight the critical need to comprehend each crop’s specific production requirements, as these factors significantly influence the potential for generating expected revenue.
The economic prospects for bioenergy crops cultivated in marginal lands are not definitively established. To gain a more comprehensive understanding of the economic feasibility of using perennial grass biomass for bioethanol production on a global scale, a broader evaluation is necessary. This is because local variables can have a considerable impact on economic results.

5.1.2. Cost of Pretreatment

The cost of 1G ethanol, derived from corn and sugarcane, is on average about 43% less than that of 2G ethanol. While 1G ethanol costs range from USD 0.30/L to USD 0.90/L, 2G ethanol produced from sugarcane bagasse and Asian rice straws ranges from USD 1.33/L to USD 1.66/L [85,151]. Given the broad spectrum of cost estimations, 2G ethanol is generally regarded as less competitive in comparison to 1G ethanol [151].
Constituting 18–33% of the total production cost, pretreatment is acknowledged as the most expensive step in 2G ethanol production [156,157]. The predominant operating expenses in most pretreatment processes stem from energy and the expenditures associated with chemicals. Chemical expenditures related to glucose production via alkaline pretreatment of switchgrass and Miscanthus, employing N a O H , K O H , and C a ( O H ) 2 , were examined. N a O H , recognized for its superior cellulose conversion and relatively reduced chemical expenses, emerged as the most economically efficient for sugar production, with costs ranging from USD 0.11 to USD 0.19 per kilogram of glucose. Conversely, C a ( O H ) 2 exhibited a slightly elevated glucose cost, fluctuating between USD 0.18–USD 0.45 per kilogram of glucose, reflecting the lower cellulose conversion observed. K O H incurred the highest glucose cost, ranging from USD 0.45 to USD 0.70 per kilogram of glucose, primarily attributable to its elevated cost [20]. Acid and alkaline (using C a ( O H ) 2 ) pretreatment methods were similarly found to be costlier compared to other techniques in 2G ethanol production, according to [156]. Steam explosion and liquid hot water pretreatment methods exhibited lower costs due to the absence of specialized chemical requirements. Steam explosion, with a reported cost of USD 0.18 per gallon of ethanol stands out for its minimal energy consumption and economic efficiency, surpassing, liquid hot water (USD 0.23/gallon), ammonia fiber explosion (USD 0.28/gallon), dilute acid pretreatment (USD 0.28/gallon), and alkali pretreatment utilizing C a ( O H ) 2 (USD 0.55/gallon) [156]. While C a ( O H ) 2 was recognized as a more expensive pretreatment option, it facilitates calcium recovery via C O 2 addition and presents a safer handling alternative compared to N a O H and K O H [4,20]. It is relevant to analyze the relationship between its higher cost and environmental benefits. This evaluation could determine if the increased expense of using C a ( O H ) 2 for pretreatment is offset by its environmental advantages, thereby justifying its use in terms of sustainability.
The capital costs associated with fermentation in bioethanol production exhibit variations with unit capital costs spanning USD 0.55 to USD 2.35 per liter of ethanol, contingent upon the choice of feedstock and pretreatment method. A major challenge is the pronounced cost of enzymes. On-site enzyme production is a potential solution through co-location to minimize expenses related to enzyme stabilizers and transportation. Ref. [151] underscored the economic advantage of on-site enzymes, reporting a cost of USD 0.08 per liter of ethanol, in contrast to purchased enzymes at USD 0.13 per liter of ethanol. Additionally, the prospect of economically beneficial recovery and reuse of yeast emerges as a noteworthy consideration for the optimization of biochemical biorefineries. The assessed minimum fuel selling price for 2G ethanol exhibited considerable variation, spanning from USD 0.23 to USD 1.58 per liter. The average, standing at USD 0.70 ± USD 0.29 per liter, falls within a range comparable to the average retail prices of regular gasoline in the U.S. during the period from 2015 to 2020 [151]. These findings not only deepen our understanding of the economic factors related to 2G ethanol but also emphasize the need for comprehensive governmental policies. Financial incentives, mandates, and assistance programs are crucial elements to support and enhance the thriving development of the 2G ethanol industry.

5.2. Life Cyle Assessemnt

In 2010, the global liquid biofuel sector’s environmental footprint was 0.29 billion global hectares (gha). By 2050, this is projected to increase to approximately 2.57 billion gha. The largest portion of this footprint in 2050 is expected to come from land use, contributing 48%, followed by the carbon footprint at 23%, embodied energy at 16%, and the water footprint at 9% [158]. This growth is a matter of concern, reflecting the expanding influence and potential environmental consequences of the liquid biofuel sector.

5.2.1. Water Footprint

By 2050, the global water usage for biomass production in biofuel manufacturing is anticipated to increase significantly. The conversion of land, especially the transition from native agricultural lands or grasslands to perennial crops will substantially affect regional water cycles. These changes will have profound impacts on several key hydrological processes, such as evapotranspiration, surface runoff, water yield, and soil water storage, thereby altering the regional water balance [159]. However, perennial grasses like switchgrass and Miscanthus, when compared to traditional bioenergy crops such as corn, exhibit a reduced impact on hydrology and soil health. Corn has a high fertilizer requirement, which results in nitrate pollution in the soil and ends up in waterways [159]. Additionally, corn demonstrates lower water use efficiency for biomass production compared to switchgrass and Miscanthus, as detailed by [160]. In a modeling of the effects of land use change from cotton to perennial grasses on watershed hydrology and water quality under changing climate by [161], median irrigation water use for cotton was projected to decrease by 41–61%, while switchgrass showed an even greater reduction of 62–89%. In terms of environmental impact, perennial grasses demonstrated a decrease of 30–40% more in median total nitrogen load compared to future cotton land use [161]. This indicates that perennial grasses might be a more sustainable option for bioenergy cultivation in terms of soil and water conservation.
Simulations have shown that cultivating bioenergy crops on marginal land not only decreases streamflow but also mitigates nutrient losses [162]. The minimal pesticide requirement of growing perennial grasses also contributes to improvements in water quality. Addressing water-related issues is feasible through careful selection of crop species and effective management practices. This includes optimizing harvest rates, implementation of suitable irrigation techniques, and employing appropriate fertilization methods [162,163]. With proper management, a balance can be achieved between bioenergy production and the protection of water resources.

5.2.2. Carbon Footprint

LCA investigations have demonstrated that the production of 1G ethanol results in a reduction of GHG emissions ranging from 39% to 52% when compared to gasoline, while the production of 2G ethanol can achieve a more substantial reduction of 90–103% [164,165,166,167]. The GHG reductions in 2G ethanol production are attributed to the predominant utilization of 2G biomass, primarily derived from residues of agricultural crops or energy crops such as perennial grasses cultivated on marginal land [151]. The U.S. renewable fuel standard requires that 2G biofuel must achieve a 60% reduction in greenhouse gas (GHG) emissions compared with the conventional gasoline (93.3 g CO2 eq./MJgasoline). Therefore, bioethanol derived from 2G biomass should have a GHG emission of less than 37g CO2 eq./MJethanol for it to be environmentally sustainable [152].
An environmental assessment of the bioethanol production process from switchgrass in a facility in Uruguay was conducted using two models. The first model, the “ethanol and electricity” process, involved ethanol production and electricity generation from burning lignin, biogas, and sludge. The second, the “biorefinery” model, produced ethanol, furfural, acetic acid, and formic acid, alongside surplus electricity. GHG emissions were significantly lower in both models compared to fossil fuels. The biorefinery model exhibited superior environmental performance, and the produced biofuel met the GHG reduction requirements. The GHG emissions for the modeled cases were as follows: switchgrass to ethanol and electricity (67 g CO2 eq./MJethanol), switchgrass biorefinery (21 g CO2 eq./MJethanol), switchgrass biorefinery with low enzyme dosage (−19 g CO2 eq./MJethanol), switchgrass biorefinery with high xylan content (9 g CO2 eq./MJethanol), switchgrass biorefinery, optimal condition for cellulose enzymatic hydrolysis (2 g CO2 eq./MJethanol) [152]. The environmental performance of cultivating Miscanthus, switchgrass, and reed canary grass on abandoned cropland in Europe was also assessed, considering rainfed and irrigation conditions. Under rainfed conditions, the climate change impacts were determined as follows: Miscanthus (10 Mt. C O 2 eq./yr), switchgrass (31 Mt. C O 2 eq./yr), and reed canaray grass (34 Mt. C O 2 eq./yr). Irrigation conditions achieved the most carbon-intensive impacts, switchgrass (84 Mt. C O 2 eq/yr), reed canary grass (66 Mt. C O 2 eq./yr), and Miscanthus (51 Mt. C O 2 eq./yr). The increase in climate change impact from rainfed to irrigation conditions was due to the energy requirement for irrigation [168].
Impact categories such as acidification, eutrophication, photochemical oxidation demand, and marine and human ecotoxicity for the production of ethanol from switchgrass using four chemical pretreatment processes, ( N H 3 , N a O H , C H 3 O H , and H 2 S O 4 ) with 1 mol/L concentrations were evaluated [165]. H 2 S O 4 and N a O H pretreatments had the highest quantity of emissions on all environmental indicators, and in general, N H 3 and C H 3 O H pretreatments showed the lowest environmental impacts to soil, water, and air. Pretreatment employing N a O H exhibited the highest yield of GHG emissions measuring 14.71 kg CO2 eq./100 kg ethanol. N H 3 pretreatment produced the second highest quantity of GHG emissions of 12.03 kg CO2 eq./100 kg ethanol and pretreatment using H 2 S O 4 , 7.77 kg CO2 eq./100 kg−1 ethanol [165].
The production and use of cellulosic enzymes in the saccharification process for 2G ethanol vary in their CO2 emissions, impacting the overall global warming potential (GWP). Ref. [169] found a contribution of 1 kg CO2 eq./L of ethanol from switchgrass, accounting for 27% of 2G ethanol’s GWP. Slightly lower emissions of 0.08 kg CO2 eq./L of ethanol were reported by [170]. However, it is believed that CO2 emissions from enzymes are significantly higher than those reported, ranking as the second highest GWP contributor after pretreatment in 2G ethanol production [171].
The environmental sustainability of a biorefinery utilizing perennial grasses was evaluated with focus on reducing material consumption and waste by employing emergy analysis. The emergy analysis considers both economic and environmental factors by examining all the inputs, encompassing both natural inputs (such as solar, wind, rain, geothermal, etc.) and economic inputs (materials, labor, etc.) utilized in product development. It quantifies these inputs in units of solar equivalent joules (sej). A system’s emergy input is determined by multiplying raw data inputs with the energy conversion factor, unit emergy value (UEV). The UEV represents the emergy needed to produce a unit of products in sej/J, sej/kg, or sej/L [172]. Table 8 summarizes the emergy analysis and the global renewable fraction (Rglobal) of some perennial grasses with and without labor. R g l o b a l is the indicator used to identify the fraction of global renewable resources used in the process. The UEV of Napier grass, excluding labor, is the most economical among the three grasses, indicating that fewer resources are utilized to generate one joule of Napier grass biomass. However, the global renewable fraction of Napier grass is comparatively lower, which is considered less desirable [172].

6. Artificial Intelligence Application in Bioethanol Production from LCB

Despite its significance, current bioenergy technologies face inefficiencies leading to economic drawbacks. To overcome these challenges and propel bioenergy advancements, comprehensive research employing smart approaches is imperative utilizing big data analytics and artificial intelligence (AI). These smart approaches harness vast datasets of parameters collected from various resources aimed to design, optimize, and scale up conversion systems to improve bioenergy generation efficiency [175,176,177].
Previous research has focused on characterizing biomass for energy applications, resulting in substantial data generation. However, much of these data remain untapped, and the field relies heavily on traditional trial-and-error methods. AI could revolutionize this by enabling more efficient biomass screening and improving processes like pretreatment, enzymatic hydrolysis, and fermentation, leading to better sugar yield predictions. This optimizes resource use and promotes sustainable biomass conversion [178].
Artificial neural networks (ANNs), serving as mathematical or computational models, excel in identifying and controlling complex, non-linear systems. Widely applied in bioethanol production prediction, ANNs have effectively forecasted ethanol concentrations from molasses, utilizing variables like sugar concentration and live/dead yeast cell counts. For example, one dataset with a specific sugar concentration and yeast cell count showed a slight variance between actual and predicted ethanol concentrations, illustrating the model’s high predictive accuracy, evidenced by a correlation coefficient (R2) of 0.928 [179]. Such effectiveness extends to predicting yields from sugar beet processing intermediates and byproducts, with ANNs achieving an R2 value of 0.999 for ethanol content, showcasing minimal prediction errors, less than 5% for thin juice substrates and under 10% for others, thereby affirming the reliability of ANNs across various substrates and operational conditions [180]. Further research, including ANNs and random forests (RF), into bioethanol yields from diverse biomasses like buckwheat straw, using ionic liquids in pretreatment, has validated a hybrid model’s accuracy (R2 of 0.961) [181].
The logistic and modified Gompertz models accurately predicted biomass and bioethanol production dynamics from yeast fermentation of raw sugar beet juice, validated by an R2 value of 0.997. Key findings include a bioethanol yield of 0.48 g/g and a sugar conversion rate of 92.8%, with peak fermentation efficiency observed at 10 h. Pilot scale validation showed an ethanol concentration of 67.02 g/L, demonstrating applicability of the models in an industrial setting [182].
The dynamic hybrid modeling study for fuel ethanol production, integrating a biomass concentration prediction model based on extreme gradient boosting and ANN with a traditional mechanism model, showcased significant advancement in predicting the fermentation process using S. cerevisiae. The model remarkably predicted biomass, ethanol, and glucose concentrations with root mean square errors (RMSEs) of 0.3323, 1.9295, and 3.0540, respectively, outperforming traditional unstructured kinetic models [183]. The varied RMSEs indicate the differing levels of challenge in accurately predicting each parameter, with glucose concentration being the most difficult due to its dynamic nature and multiple influencing factors. This study not only exemplifies the potential of hybrid modeling techniques in bioprocessing applications but also exemplifies the importance of integrating data-driven models to enhance prediction accuracy and optimize fuel ethanol production, despite the challenges in uniformly predicting all fermentation process aspects.
Collectively, these studies demonstrate machine learning, especially ANN’s significant potential in improving bioethanol production’s predictability and efficiency across various substrates and conditions. The high R2 values and low errors suggest that the models can be trusted for accurate predictions, which can save both time and resources in the biofuel production industry.
Geographical Information Systems (GIS) play a key role in handling intricate databases and offering real-time monitoring capabilities. They assist in identifying the best locations for biomass availability, collection, and transportation infrastructure. Additionally, GIS aids in optimizing raw material use, estimating bioenergy potential, and performing cost-benefit analyses [123,184,185]. Ref. [184] highlight GIS’s capability in overcoming traditional LCA limitations in data collection, variations in biomass management, and the complexities in accurately modeling environmental impacts by integrating spatial LCA, which accounts for the spatial distribution of biomass and its environmental impacts, thereby enhancing sustainability assessments. This integration not only refines traditional LCA by enabling more precise environmental impact assessments on a spatial scale but also significantly enhances the assessment’s scope. Through the incorporation of geographical data and site-specific conditions, spatial LCA offers a more detailed and reliable framework for assessing the sustainability of bioenergy systems. Ref. [185] further illustrate GIS’s pivotal role in bioethanol potential estimation from agricultural residues, utilizing satellite data for precise resource mapping. Both studies advocate for GIS integration into agricultural practices, marking a significant shift towards smarter farming and improved renewable energy production efficiency.
Various machine learning (ML) tools, including deep learning (DL), extreme learning machines (ELM), cuckoo search algorithms, and RF, have been reported to enhance bioenergy production. These tools optimize photobioreactor operations, predict biodiesel yield, and improve lignocellulosic biomass processing, demonstrating significant advancements in prediction accuracy and the optimization of bioenergy production processes [186]. ML and mathematical models such as negative emission technology cooperation model (NETCOM) have been employed to analyze data for supply chain optimization and techno-economic assessments of bioenergy production [187,188]. Prediction and optimization assessment (POA) significantly aids sustainable bioenergy production by enabling decision makers to evaluate and balance economic and environmental tradeoffs, identify regions requiring sustainability enhancements, and navigate uncertainties in bioenergy processes. This approach supports the formulation of optimal policy options, focusing on key variables like water, land, and energy and guides efforts towards improving agricultural system’s sustainability. By offering alternative decisions amidst uncertainties, POA plays a crucial role in scaling bioenergy production efficiently and sustainably [176].
Despite the existing use of AI models in optimizing biofuel production, their application in the pretreatment stage of LCB, especially with perennial grasses, remains limited. As pretreatment is determined to be one of the most expensive stages in 2G ethanol production, applying AI in this phase could significantly advance 2G bioethanol production.

7. Challenges and Prospects

The production of 2G bioethanol from perennial grasses poses both challenges and opportunities in terms of chemical pretreatment methods and economic viability. Both acidic and alkaline pretreatments have been applied to perennial grasses, yielding successful results in terms of reducing sugar and ethanol production. The alkaline method has shown superiority over the acidic method. However, achieving consistent yields across various grass species and feedstock types remains a significant hurdle, necessitating the optimization of pretreatment to balance lignin removal and cellulose accessibility effectively. This optimization includes developing strategies to decrease enzyme binding and improve enzymatic hydrolysis, especially for managing residual lignin.
The economic viability of perennial grasses as 2G crops is a concern due to their higher costs compared to 1G crops, largely attributed to the high production and pretreatment costs. While they offer a lower carbon footprint, the potential for a higher water footprint presents additional environmental challenges. The role of artificial intelligence (AI) and big data in bioethanol production has primarily focused on analyzing input variables, such as sugar concentration, to predict bioethanol yield. With the growing interest in perennial grasses as energy crops for 2G bioethanol, research focused on improving pretreatment methods of 2G LCB through AI is limited.
There is an urgent need for further research to develop techniques that not only optimize the pretreatment process of 2G crops, but also make it economically viable. Such advancements could lead to more efficient biofuel production, effectively addressing both environmental and economic challenges associated with 2G ethanol production.

8. Conclusions

Perennial grasses are gaining popularity as second-generation (2G) bioethanol energy crops due to their minimal fertilizer needs and ability to grow on marginal lands. In the chemical pretreatment of lignocellulosic biomass (LCB), acidic and alkaline reagents play a crucial role. Among various chemicals, sulfuric acid ( H 2 S O 4 ) and sodium hydroxide ( N a O H ) are the widely applied reagents in acidic and alkaline pretreatments, respectively. N a O H has been reported to outperform H 2 S O 4 , particularly in achieving higher sugar yields, better performance at lower temperatures, preserving carbohydrates, and more effective lignin removal. From an economic and environmental perspective, the pretreatment of LCB presents a dilemma. While it incurs higher costs than first-generation (1G) crops, primarily due to the high cost of pretreatment, it offers the benefit of a lower carbon footprint. However, there are concerns over a potentially higher water footprint. The integration of AI, through ANNs and spatial LCA with GIS amongst others, offers considerable potential for advancing bioethanol production from various sources. These technologies could optimize processes, by predicting accurate yields and precise environmental impacts. However, their application to perennial grasses remains underexplored, specifically in the pretreatment stage. Future research must focus on AI-driven models tailored to these grasses, facilitating sustainable and economically viable bioethanol production.

Author Contributions

L.P.J., conceptualization, writing—original draft, editing, visualization; T.D.X., conceptualization, writing—review, editing, and supervision. All authors have read and agreed to the published version of the manuscript.

Funding

This research received no external funding.

Data Availability Statement

Not applicable.

Acknowledgments

I would like to extend my heartfelt gratitude to Hoang Anh La, Van Quan Nguyen, and Samuel Kihembo for their guidance and insightful feedback, which greatly enriched the content of this paper.

Conflicts of Interest

The authors declare no conflicts of interest.

References

  1. Raj, T.; Chandrasekhar, K.; Naresh Kumar, A.; Rajesh Banu, J.; Yoon, J.-J.; Kant Bhatia, S.; Yang, Y.-H.; Varjani, S.; Kim, S.-H. Recent Advances in Commercial Biorefineries for Lignocellulosic Ethanol Production: Current Status, Challenges and Future Perspectives. Bioresour. Technol. 2022, 344, 126292. [Google Scholar] [CrossRef] [PubMed]
  2. de Carvalho, D.M.; Sevastyanova, O.; Penna, L.S.; da Silva, B.P.; Lindström, M.E.; Colodette, J.L. Assessment of Chemical Transformations in Eucalyptus, Sugarcane Bagasse and Straw during Hydrothermal, Dilute Acid, and Alkaline Pretreatments. Ind. Crops Prod. 2015, 73, 118–126. [Google Scholar] [CrossRef]
  3. Papathoti, N.K.; Laemchiab, K.; Megavath, V.S.; Keshav, P.K.; Numparditsub, P.; Le Thanh, T.; Buensanteai, N. Augmented Ethanol Production from Alkali-Assisted Hydrothermal Pretreated Cassava Peel Waste. Energy Sources Part A Recovery Util. Environ. Eff. 2021, 1–11. [Google Scholar] [CrossRef]
  4. Takkellapati, S.; Li, T.; Gonzalez, M.A. An Overview of Biorefinery Derived Platform Chemicals from a Cellulose and Hemicellulose Biorefinery. Clean Technol. Environ. Policy 2018, 20, 1615–1630. [Google Scholar] [CrossRef] [PubMed]
  5. Xiang, H.; Xin, R.; Prasongthum, N.; Natewong, P.; Sooknoi, T.; Wang, J.; Reubroycharoen, P.; Fan, X. Catalytic Conversion of Bioethanol to Value-Added Chemicals and Fuels: A Review. Resour. Chem. Mater. 2022, 1, 47–68. [Google Scholar] [CrossRef]
  6. Swain, M.R.; Singh, A.; Sharma, A.K.; Tuli, D.K. Bioethanol production from rice-and wheat straw: An overview. In Bioethanol Production from Food Crops; Ray, R.C., Ramachandran, S., Eds.; Academic Press: Cambridge, MA, USA, 2019; pp. 213–231. [Google Scholar] [CrossRef]
  7. Malode, S.J.; Prabhu, K.K.; Mascarenhas, R.J.; Shetti, N.P.; Aminabhavi, T.M. Recent Advances and Viability in Biofuel Production. Energy Convers. Manag. X 2021, 10, 100070. [Google Scholar] [CrossRef]
  8. Deshavath, N.; Goud, V.; Dasu, V. Commercialization of 2G Bioethanol as a Transportation Fuel for the Sustainable Energy, Environment, and Economic Growth of India: Theoretical and Empirical Assessment of Bioethanol Potential from Agriculture Crop Residues. Biomass Convers. Biorefin. 2022, 14, 3551–3563. [Google Scholar] [CrossRef]
  9. Owusu, W.A.; Marfo, S.A. Artificial Intelligence Application in Bioethanol Production. Int. J. Energy Res. 2023, 2023, 7844835. [Google Scholar] [CrossRef]
  10. Bušić, A.; Marđetko, N.; Kundas, S.; Morzak, G.; Belskaya, H.; Ivančić Šantek, M.; Komes, D.; Novak, S.; Šantek, B. Bioethanol Production from Renewable Raw Materials and Its Separation and Purification: A Review. Food Technol. Biotechnol. 2018, 56, 289–311. [Google Scholar] [CrossRef] [PubMed]
  11. Jeyakumar, N.; Hoang, A.T.; Nižetić, S.; Balasubramanian, D.; Kamaraj, S.; Lakshmana Pandian, P.; Sirohi, R.; Nguyen, P.Q.P.; Nguyen, X.P. Experimental Investigation on Simultaneous Production of Bioethanol and Biodiesel from Macro-Algae. Fuel 2022, 329, 125362. [Google Scholar] [CrossRef]
  12. Eliana, C.; Jorge, R.; Juan, P.; Luis, R. Effects of the Pretreatment Method on Enzymatic Hydrolysis and Ethanol Fermentability of the Cellulosic Fraction from Elephant Grass. Fuel 2014, 118, 41–47. [Google Scholar] [CrossRef]
  13. Santos, C.C.; de Souza, W.; Sant’Anna, C.; Brienzo, M. Elephant Grass Leaves Have Lower Recalcitrance to Acid Pretreatment than Stems, with Higher Potential for Ethanol Production. Ind. Crops Prod. 2018, 111, 193–200. [Google Scholar] [CrossRef]
  14. Raud, M.; Kikas, T. Perennial Grasses as a Substrate for Bioethanol Production. Environ. Clim. Technol. 2020, 24, 32–40. [Google Scholar] [CrossRef]
  15. Kamzon, M.A.; Abderafi, S.; Bounahmidi, T. Promising Bioethanol Processes for Developing a Biorefinery in the Moroccan Sugar Industry. Int. J. Hydrogen Energy 2016, 41, 20880–20896. [Google Scholar] [CrossRef]
  16. Xu, J.; Wang, Z.; Sharma-Shivappa, R.; Cheng, J. Enzymatic Hydrolysis of Switchgrass and Coastal Bermuda Grass Pretreated Using Different Chemical Methods. Bioresources 2011, 6, 2990–3003. [Google Scholar] [CrossRef]
  17. Chaudhary, G.; Singh, L.K.; Ghosh, S. Alkaline Pretreatment Methods Followed by Acid Hydrolysis of Saccharum Spontaneum for Bioethanol Production. Bioresour. Technol. 2012, 124, 111–118. [Google Scholar] [CrossRef] [PubMed]
  18. García, J.C.; Alfaro, A.; Loaiza, J.M.; Lozano-Calvo, S.; López, F. Cold Alkaline Extraction of Elephant Grass for Optimal Subsequent Extraction of Hemicelluloses and Energy Production. Biomass Convers. Biorefin. 2022, 1–14. [Google Scholar] [CrossRef]
  19. Larran, A.; Jozami, E.; Vicario, L.; Feldman, S.R.; Podestá, F.E.; Permingeat, H.R. Evaluation of Biological Pretreatments to Increase the Efficiency of the Saccharification Process Using Spartina Argentinensis as a Biomass Resource. Bioresour. Technol. 2015, 194, 320–325. [Google Scholar] [CrossRef]
  20. Soares Rodrigues, C.I.; Jackson, J.J.; Montross, M.D. A Molar Basis Comparison of Calcium Hydroxide, Sodium Hydroxide, and Potassium Hydroxide on the Pretreatment of Switchgrass and Miscanthus under High Solids Conditions. Ind. Crops Prod. 2016, 92, 165–173. [Google Scholar] [CrossRef]
  21. Tye, Y.; Lee, K.T.; Wan Nadiah, W.; Peng, L.C. The World Availability of Non-Wood Lignocellulosic Biomass for the Production of Cellulosic Ethanol and Potential Pretreatments for the Enhancement of Enzymatic Saccharification. Renew. Sust. Energ. Rev. 2016, 60, 155–172. [Google Scholar] [CrossRef]
  22. Jozami, E.; Mele, F.D.; Piastrellini, R.; Civit, B.M.; Feldman, S.R. Life Cycle Assessment of Bioenergy from Lignocellulosic Herbaceous Biomass: The Case Study of Spartina Argentinensis. Energy 2022, 254, 124215. [Google Scholar] [CrossRef]
  23. Rodrigues, R.S.; de Almeida, M.N.; Maitan-Alfenas, G.P.; Ventorim, R.Z.; Sartori, S.R.; Visser, E.M.; Guimarães, V.M.; de Rezende, S.T. Brachiaria Brizantha Grass as a Feedstock for Ethanol Production. Braz. Arch. Biol. Technol. 2021, 64, 1–13. [Google Scholar] [CrossRef]
  24. Himmel, M.E.; Ding, S.-Y.; Johnson, D.K.; Adney, W.S.; Nimlos, M.R.; Brady, J.W.; Foust, T.D. Biomass Recalcitrance: Engineering Plants and Enzymes for Biofuels Production. Science (1979) 2007, 315, 804–807. [Google Scholar] [CrossRef] [PubMed]
  25. Xu, J.; Wang, Z.; Cheng, J.J. Bermuda Grass as Feedstock for Biofuel Production: A Review. Bioresour. Technol. 2011, 102, 7613–7620. [Google Scholar] [CrossRef] [PubMed]
  26. Tsai, M.-H.; Lee, W.-C.; Kuan, W.-C.; Sirisansaneeyakul, S.; Savarajara, A. Evaluation of Different Pretreatments of Napier Grass for Enzymatic Saccharification and Ethanol Production. Energy Sci. Eng. 2018, 6, 683–692. [Google Scholar] [CrossRef]
  27. da Silva, V.; Daher, R.F.; de Souza, Y.P.; da Silva Menezes, B.R.; Azevedo Santos, E.; Souza Freitas, R.; da Silva Oliveira, E.; Francesconi Stida, W.; Cassaro, S. Assessment of Energy Production in Full-Sibling Families of Elephant Grass by Mixed Models. Renew. Energy 2020, 146, 744–749. [Google Scholar] [CrossRef]
  28. Collazzo, G.C.; Broetto, C.C.; Perondi, D.; Junges, J.; Dettmer, A.; Dornelles Filho, A.A.; Foletto, E.L.; Godinho, M. A Detailed Non-Isothermal Kinetic Study of Elephant Grass Pyrolysis from Different Models. Appl. Therm. Eng. 2017, 110, 1200–1211. [Google Scholar] [CrossRef]
  29. Tang, S.; Cao, Y.; Xu, C.; Wu, Y.; Li, L.; Ye, P.; Luo, Y.; Gao, Y.; Liao, Y.; Yan, Q.; et al. One-Step or Two-Step Acid/Alkaline Pretreatments to Improve Enzymatic Hydrolysis and Sugar Recovery from Arundo Donax L. Energies 2020, 13, 948. [Google Scholar] [CrossRef]
  30. Tang, S.; Xu, C.; Vu, L.T.K.; Liu, S.; Ye, P.; Li, L.; Wu, Y.; Chen, M.; Xiao, Y.; Wu, Y.; et al. Enhanced Enzymatic Hydrolysis of Pennisetum Alopecuroides by Dilute Acid, Alkaline and Ferric Chloride Pretreatments. Molecules 2019, 24, 1751. [Google Scholar] [CrossRef]
  31. Umami, N.; Widodo, S.; Suhartanto, B.; Suwignyo, B.; Suseno, N.; Noviandi, C. The Effect of Planting Material on Nutrient Quality and Production of Brachiaria Spp. in Yogyakarta, Indonesia. Pak. J. Nutr. 2018, 17, 671–676. [Google Scholar] [CrossRef]
  32. Ask, M.; Olofsson, K.; Di Felice, T.; Ruohonen, L.; Penttilä, M.; Lidén, G.; Olsson, L. Challenges in Enzymatic Hydrolysis and Fermentation of Pretreated Arundo Donax Revealed by a Comparison between SHF and SSF. Process Biochem. 2012, 47, 1452–1459. [Google Scholar] [CrossRef]
  33. Lewandowski, I.; Scurlock, J.M.O.; Lindvall, E.; Christou, M. The Development and Current Status of Perennial Rhizomatous Grasses as Energy Crops in the US and Europe. Biomass Bioenergy 2003, 25, 335–361. [Google Scholar] [CrossRef]
  34. Chandel, A.K.; Singh, O.V. Weedy Lignocellulosic Feedstock and Microbial Metabolic Engineering: Advancing the Generation of “Biofuel”. Appl. Microbiol. Biotechnol. 2011, 89, 1289–1303. [Google Scholar] [CrossRef] [PubMed]
  35. Cardona, E.; Rios, J.; Peña, J.; Peñuela, M.; Rios, L. King Grass: A Very Promising Material for the Production of Second Generation Ethanol in Tropical Countries. Biomass Bioenergy 2016, 95, 206–213. [Google Scholar] [CrossRef]
  36. Goshadrou, A. Bioethanol Production from Cogongrass by Sequential Recycling of Black Liquor and Wastewater in a Mild-Alkali Pretreatment. Fuel 2019, 258, 116141. [Google Scholar] [CrossRef]
  37. Chen, W.-H.; Nižetić, S.; Sirohi, R.; Huang, Z.; Luque, R.; M.Papadopoulos, A.; Sakthivel, R.; Phuong Nguyen, X.; Tuan Hoang, A. Liquid Hot Water as Sustainable Biomass Pretreatment Technique for Bioenergy Production: A Review. Bioresour. Technol. 2022, 344, 126207. [Google Scholar] [CrossRef]
  38. Zhao, L.; Sun, Z.-F.; Zhang, C.-C.; Nan, J.; Ren, N.-Q.; Lee, D.-J.; Chen, C. Advances in Pretreatment of Lignocellulosic Biomass for Bioenergy Production: Challenges and Perspectives. Bioresour. Technol. 2022, 343, 126123. [Google Scholar] [CrossRef] [PubMed]
  39. Ilić, N.; Milić, M.; Beluhan, S.; Dimitrijević-Branković, S. Cellulases: From Lignocellulosic Biomass to Improved Production. Energies 2023, 16, 3598. [Google Scholar] [CrossRef]
  40. Kang, Q.; Tan, T. Exergy and CO2 Analyses as Key Tools for the Evaluation of Bio-Ethanol Production. Sustainability 2016, 8, 76. [Google Scholar] [CrossRef]
  41. Sebastian, J.; Rouissi, T.; Brar, S.K. Miscanthus Sp. Perennial Lignocellulosic Biomass as Feedstock for Greener Fumaric Acid Bioproduction. Ind. Crops Prod. 2022, 175, 114248. [Google Scholar] [CrossRef]
  42. Saini, J.K.; Saini, R.; Tewari, L. Lignocellulosic Agriculture Wastes as Biomass Feedstocks for Second-Generation Bioethanol Production: Concepts and Recent Developments. 3 Biotech 2015, 5, 337–353. [Google Scholar] [CrossRef]
  43. Rajesh Banu, J.; Preethi; Kavitha, S.; Tyagi, V.K.; Gunasekaran, M.; Karthikeyan, O.P.; Kumar, G. Lignocellulosic Biomass Based Biorefinery: A Successful Platform towards Circular Bioeconomy. Fuel 2021, 302, 121086. [Google Scholar] [CrossRef]
  44. Xu, Z.; Huang, F. Pretreatment Methods for Bioethanol Production. Appl. Biochem. Biotechnol. 2014, 174, 43–62. [Google Scholar] [CrossRef] [PubMed]
  45. Pendse, D.S.; Deshmukh, M.; Pande, A. Different Pre-Treatments and Kinetic Models for Bioethanol Production from Lignocellulosic Biomass: A Review. Heliyon 2023, 9, 16604. [Google Scholar] [CrossRef] [PubMed]
  46. Putro, J.N.; Soetaredjo, F.E.; Lin, S.-Y.; Ju, Y.-H.; Ismadji, S. Pretreatment and Conversion of Lignocellulose Biomass into Valuable Chemicals. RSC Adv. 2016, 6, 46834–46852. [Google Scholar] [CrossRef]
  47. Hassan, S.S.; Williams, G.A.; Jaiswal, A.K. Emerging Technologies for the Pretreatment of Lignocellulosic Biomass. Bioresour. Technol. 2018, 262, 310–318. [Google Scholar] [CrossRef] [PubMed]
  48. Karimi, K.; Taherzadeh, M.J. A Critical Review of Analytical Methods in Pretreatment of Lignocelluloses: Composition, Imaging, and Crystallinity. Bioresour. Technol. 2016, 200, 1008–1018. [Google Scholar] [CrossRef]
  49. Sluiter, J.B.; Ruiz, R.O.; Scarlata, C.J.; Sluiter, A.D.; Templeton, D.W. Compositional Analysis of Lignocellulosic Feedstocks. 1. Review and Description of Methods. J. Agric. Food Chem. 2010, 58, 9043–9053. [Google Scholar] [CrossRef]
  50. Chesson, A. Effects of Sodium Hydroxide on Cereal Straws in Relation to the Enhanced Degradation of Structural Polysaccharides by Rumen Microorganisms. J. Sci. Food Agric. 1981, 32, 745–758. [Google Scholar] [CrossRef]
  51. Novia, N.; Hasanudin, H.; Hermansyah, H.; Fudholi, A. Kinetics of Lignin Removal from Rice Husk Using Hydrogen Peroxide and Combined Hydrogen Peroxide–Aqueous Ammonia Pretreatments. Fermentation 2022, 8, 157. [Google Scholar] [CrossRef]
  52. Hermansyah, H.; Cahyadi, H.; Fatma, F.; Miksusanti, M.; Kasmiarti, G.; Panagan, A.T. Delignification of Lignocellulosic Biomass Sugarcane Bagasse by Using Ozone as Initial Step to Produce Bioethanol. Pol. J. Environ. Stud. 2021, 30, 4405–4411. [Google Scholar] [CrossRef]
  53. Sluiter, A.; Hames, B.; Ruiz, R.; Scarlata, C.; Sluiter, J.; Templeton, D.; Crocker, D. Determination of Structural Carbohydrates and Lignin in Biomass, in: Laboratory Analytical Procedure (LAP). Natl. Renew. Energy Lab. 2008, 1617, 1–16. [Google Scholar]
  54. Sluiter, A.; Sluiter, J.; Wolfrum, E.J. Methods for Biomass Compositional Analysis. In Catalysis for the Conversion of Biomass and Its Derivatives; Max-Planck-Gesellschaft zur Förderung der Wissenschaften: Berlin, Germany, 2013; p. 476. ISBN 978-3-945561-19-5. [Google Scholar]
  55. Sun, Y.; Cheng, J. Hydrolysis of Lignocellulosic Materials for Ethanol Production: A Review. Bioresour. Technol. 2002, 83, 1–11. [Google Scholar] [CrossRef] [PubMed]
  56. Mishra, A.; Ghosh, S. Bioethanol Production from Various Lignocellulosic Feedstocks by a Novel “Fractional Hydrolysis” Technique with Different Inorganic Acids and Co-Culture Fermentation. Fuel 2019, 236, 544–553. [Google Scholar] [CrossRef]
  57. Raud, M.; Tutt, M.; Olt, J.; Kikas, T. Dependence of the Hydrolysis Efficiency on the Lignin Content in Lignocellulosic Material. Int. J. Hydrogen Energy 2016, 41, 16338–16343. [Google Scholar] [CrossRef]
  58. Sahoo, D.; Ummalyma, S.B.; Okram, A.K.; Sukumaran, R.K.; George, E.; Pandey, A. Potential of Brachiaria mutica (Para Grass) for Bioethanol Production from Loktak Lake. Bioresour. Technol. 2017, 242, 133–138. [Google Scholar] [CrossRef] [PubMed]
  59. Neve, S.; Sarkar, D.; Zhang, Z.; Datta, R. Optimized Production of Second-Generation Bioethanol from a Spent C4 Grass: Vetiver (Chrysopogon zizanioides). Energies 2022, 15, 9597. [Google Scholar] [CrossRef]
  60. Zoghlami, A.; Paës, G. Lignocellulosic Biomass: Understanding Recalcitrance and Predicting Hydrolysis. Front. Chem. 2019, 7, 874. [Google Scholar] [CrossRef] [PubMed]
  61. Kumar, P.; Barrett, D.M.; Delwiche, M.J.; Stroeve, P. Methods for Pretreatment of Lignocellulosic Biomass for Efficient Hydrolysis and Biofuel Production. Ind. Eng. Chem. Res. 2009, 48, 3713–3729. [Google Scholar] [CrossRef]
  62. Hallac, B.B.; Ragauskas, A.J. Analyzing Cellulose Degree of Polymerization and Its Relevancy to Cellulosic Ethanol. Biofuels Bioprod. Biorefin. 2011, 5, 215–225. [Google Scholar] [CrossRef]
  63. Hosseini Koupaie, E.; Dahadha, S.; Bazyar Lakeh, A.A.; Azizi, A.; Elbeshbishy, E. Enzymatic Pretreatment of Lignocellulosic Biomass for Enhanced Biomethane Production—A Review. J. Environ. Manag. 2019, 233, 774–784. [Google Scholar] [CrossRef]
  64. Galbe, M.; Zacchi, G. Pretreatment: The Key to Efficient Utilization of Lignocellulosic Materials. Biomass Bioenergy 2012, 46, 70–78. [Google Scholar] [CrossRef]
  65. Eo, M.; Fan, H.; Cho, Y.; Kim, S.; Lee, S. Cellulose Membrane as a Biomaterial: From Hydrolysis to Depolymerization with Electron Beam. Biomater. Res. 2016, 20, 16. [Google Scholar] [CrossRef]
  66. Sharma, H.K.; Xu, C.; Qin, W. Biological Pretreatment of Lignocellulosic Biomass for Biofuels and Bioproducts: An Overview. Waste Biomass Valorization 2019, 10, 235–251. [Google Scholar] [CrossRef]
  67. Saha, B. Hemicellulose Bioconversion. J. Ind. Microbiol. Biotechnol. 2003, 30, 279–291. [Google Scholar] [CrossRef] [PubMed]
  68. Muktham, R.; Bhargava, S.; Bankupalli, S.; Ball, A. A Review on 1st and 2nd Generation Bioethanol Production-Recent Progress. J. Sustain. Bioenergy Syst. 2016, 6, 72–92. [Google Scholar] [CrossRef]
  69. Zhang, Z.; Donaldson, A.A.; Ma, X. Advancements and Future Directions in Enzyme Technology for Biomass Conversion. Biotechnol. Adv. 2012, 30, 913–919. [Google Scholar] [CrossRef] [PubMed]
  70. Kumari, D.; Singh, R. Pretreatment of Lignocellulosic Wastes for Biofuel Production: A Critical Review. Renew. Sustain. Energy Rev. 2018, 90, 877–891. [Google Scholar] [CrossRef]
  71. Wang, M.; Zhang, X.; Li, H.; Lu, J.; Liu, M.; Wang, F. Carbon Modification of Nickel Catalyst for Depolymerization of Oxidized Lignin to Aromatics. ACS Catal. 2018, 8, 1614–1620. [Google Scholar] [CrossRef]
  72. Xu, Y.; Zhang, M.; Roozeboom, K.; Wang, D. Integrated Bioethanol Production to Boost Low-Concentrated Cellulosic Ethanol without Sacrificing Ethanol Yield. Bioresour. Technol. 2018, 250, 299–305. [Google Scholar] [CrossRef] [PubMed]
  73. Digman, M.F.; Shinners, K.; Muck, R.E.; Dien, B. Pilot-Scale On-Farm Pretreatment of Perennial Grasses with Dilute Acid and Alkali for Fuel Ethanol Production. Trans. ASABE 2010, 53, 1007–1014. [Google Scholar] [CrossRef]
  74. Lee, J.; Kim, S.; You, S.; Park, Y.-K. Bioenergy Generation from Thermochemical Conversion of Lignocellulosic Biomass-Based Integrated Renewable Energy Systems. Renew. Sustain. Energy Rev. 2023, 178, 113240. [Google Scholar] [CrossRef]
  75. Soltanian, S.; Aghbashlo, M.; Almasi, F.; Hosseinzadeh-Bandbafha, H.; Nizami, D.A.-S.; Ok, Y.S.; Lam, S.S.; Tabatabaei, M. A Critical Review of the Effects of Pretreatment Methods on the Exergetic Aspects of Lignocellulosic Biofuels. Energy Convers. Manag. 2020, 212, 112792. [Google Scholar] [CrossRef]
  76. Kim, J.S.; Lee, Y.Y.; Kim, T.H. A Review on Alkaline Pretreatment Technology for Bioconversion of Lignocellulosic Biomass. Bioresour. Technol. 2016, 199, 42–48. [Google Scholar] [CrossRef] [PubMed]
  77. Kapoor, M.; Raj, T.; Vijayaraj, M.; Chopra, A.; Gupta, R.P.; Tuli, D.K.; Kumar, R. Structural Features of Dilute Acid, Steam Exploded, and Alkali Pretreated Mustard Stalk and Their Impact on Enzymatic Hydrolysis. Carbohydr. Polym. 2015, 124, 265–273. [Google Scholar] [CrossRef] [PubMed]
  78. Sannigrahi, P.; Pu, Y.; Ragauskas, A. Cellulosic Biorefineries—Unleashing Lignin Opportunities. Curr. Opin. Environ. Sustain. 2010, 2, 383–393. [Google Scholar] [CrossRef]
  79. Ravindran, R.; Jaiswal, A.K. A Comprehensive Review on Pre-Treatment Strategy for Lignocellulosic Food Industry Waste: Challenges and Opportunities. Bioresour. Technol. 2016, 199, 92–102. [Google Scholar] [CrossRef] [PubMed]
  80. Banu, J.R.; Sugitha, S.; Kavitha, S.; Kannah, R.Y.; Merrylin, J.; Kumar, G. Lignocellulosic Biomass Pretreatment for Enhanced Bioenergy Recovery: Effect of Lignocelluloses Recalcitrance and Enhancement Strategies. Front. Energy Res. 2021, 9, 646057. [Google Scholar] [CrossRef]
  81. Galbe, M.; Wallberg, O. Pretreatment for Biorefineries: A Review of Common Methods for Efficient Utilisation of Lignocellulosic Materials. Biotechnol. Biofuels 2019, 12, 294. [Google Scholar] [CrossRef]
  82. Anukam, A.; Berghel, J. Biomass Pretreatment and Characterization: A Review. In Biotechnological Applications of Biomass; Basso, T.P., Basso, T.O., Basso, L.C., Eds.; IntechOpen: Rijeka, Croatia, 2020; pp. 1–17. ISBN 978-1-83881-182-2. [Google Scholar] [CrossRef]
  83. Kumar, A.K.; Sharma, S. Recent Updates on Different Methods of Pretreatment of Lignocellulosic Feedstocks: A Review. Bioresour. Bioprocess. 2017, 4, 7. [Google Scholar] [CrossRef]
  84. Vasco-Correa, J.; Zuleta-Correa, A.; Gómez-León, J.; Pérez-Taborda, J.A. Advances in Microbial Pretreatment for Biorefining of Perennial Grasses. Appl. Microbiol. Biotechnol. 2023, 107, 5281–5300. [Google Scholar] [CrossRef]
  85. Beluhan, S.; Mihajlovski, K.; Šantek, B.; Ivančić Šantek, M. The Production of Bioethanol from Lignocellulosic Biomass: Pretreatment Methods, Fermentation, and Downstream Processing. Energies 2023, 16, 7003. [Google Scholar] [CrossRef]
  86. Xu, J.; Cheng, J.J.; Sharma-Shivappa, R.R.; Burns, J.C. Lime Pretreatment of Switchgrass at Mild Temperatures for Ethanol Production. Bioresour. Technol. 2010, 101, 2900–2903. [Google Scholar] [CrossRef]
  87. Rezania, S.; Oryani, B.; Cho, J.; Talaiekhozani, A.; Sabbagh, F.; Hashemi, B.; Rupani, P.F.; Mohammadi, A.A. Different Pretreatment Technologies of Lignocellulosic Biomass for Bioethanol Production: An Overview. Energy 2020, 199, 117457. [Google Scholar] [CrossRef]
  88. Han, S.H.; Cho, D.H.; Kim, Y.H.; Shin, S.J. Biobutanol Production from 2-Year-Old Willow Biomass by Acid Hydrolysis and Acetone–Butanol–Ethanol Fermentation. Energy 2013, 61, 13–17. [Google Scholar] [CrossRef]
  89. Alvira, P.; Tomás-Pejó, E.; Ballesteros, M.; Negro, M.J. Pretreatment Technologies for an Efficient Bioethanol Production Process Based on Enzymatic Hydrolysis: A Review. Bioresour. Technol. 2010, 101, 4851–4861. [Google Scholar] [CrossRef] [PubMed]
  90. Solarte-Toro, J.C.; Romero-García, J.M.; Martínez-Patiño, J.C.; Ruiz-Ramos, E.; Castro-Galiano, E.; Cardona-Alzate, C.A. Acid Pretreatment of Lignocellulosic Biomass for Energy Vectors Production: A Review Focused on Operational Conditions and Techno-Economic Assessment for Bioethanol Production. Renew. Sustain. Energy Rev. 2019, 107, 587–601. [Google Scholar] [CrossRef]
  91. Hoon-Jung, Y.; Heon-Kim, K. Acidic Pretreatment. In Pretreatment of Biomass: Processes and Technologies; Academic Press: Cambridge, MA, USA, 2015; pp. 27–50. [Google Scholar]
  92. Chiaramonti, D.; Prussi, M.; Ferrero, S.; Oriani, L.; Ottonello, P.; Torre, P.; Cherchi, F. Review of Pretreatment Processes for Lignocellulosic Ethanol Production, and Development of an Innovative Method. Biomass Bioenergy 2012, 46, 25–35. [Google Scholar] [CrossRef]
  93. Romero-García, J.M.; Niño, L.; Martínez-Patiño, C.; Álvarez, C.; Castro, E.; Negro, M.J. Biorefinery Based on Olive Biomass. State of the Art and Future Trends. Bioresour. Technol. 2014, 159, 421–432. [Google Scholar] [CrossRef] [PubMed]
  94. Chiranjeevi, T.; Mattam, A.J.; Vishwakarma, K.K.; Uma, A.; Peddy, V.C.R.; Gandham, S.; Ravindra Velankar, H. Assisted Single-Step Acid Pretreatment Process for Enhanced Delignification of Rice Straw for Bioethanol Production. ACS Sustain. Chem. Eng. 2018, 6, 8762–8774. [Google Scholar] [CrossRef]
  95. Fuertez, J.; Acosta-Pavas, J.; Ruiz, A. Alkaline Delignification of Lignocellulosic Biomass for the Production of Fermentable Sugar Syrups. Dyna 2021, 88, 168–177. [Google Scholar] [CrossRef]
  96. Wang, Z.; Keshwani, D.R.; Redding, A.P.; Cheng, J.J. Sodium Hydroxide Pretreatment and Enzymatic Hydrolysis of Coastal Bermuda Grass. Bioresour. Technol. 2010, 101, 3583–3585. [Google Scholar] [CrossRef] [PubMed]
  97. Wen, Z.; Wu, M.; Lin, Y.; Yang, L.; Lin, J.; Cen, P. Artificial Symbiosis for Acetone-Butanol-Ethanol (ABE) Fermentation from Alkali Extracted Deshelled Corn Cobs by Co-Culture of Clostridium Beijerinckii and Clostridium Cellulovorans. Microb. Cell Fact. 2014, 13, 92. [Google Scholar] [CrossRef] [PubMed]
  98. Zdeb, M.; Pawłowska, M.; Skóra, A. Influence of Temperature and Reaction Time on the Efficiency of Alkaline Pretreatment of Hay Biomass. J. Ecol. Eng. 2021, 22, 120–127. [Google Scholar] [CrossRef]
  99. Isci, A.; Himmelsbach, J.N.; Pometto, A.L.; Raman, D.R.; Anex, R.P. Aqueous Ammonia Soaking of Switchgrass Followed by Simultaneous Saccharification and Fermentation. Appl. Biochem. Biotechnol. 2008, 144, 69–77. [Google Scholar] [CrossRef] [PubMed]
  100. Digman, M.F.; Shinners, K.J.; Casler, M.D.; Dien, B.S.; Hatfield, R.D.; Jung, H.-J.G.; Muck, R.E.; Weimer, P.J. Optimizing On-Farm Pretreatment of Perennial Grasses for Fuel Ethanol Production. Bioresour. Technol. 2010, 101, 5305–5314. [Google Scholar] [CrossRef] [PubMed]
  101. Talebnia, F.; Karakashev, D.; Angelidaki, I. Production of Bioethanol from Wheat Straw: An Overview on Pretreatment, Hydrolysis and Fermentation. Bioresour. Technol. 2010, 101, 4744–4753. [Google Scholar] [CrossRef] [PubMed]
  102. Devi, A.; Singh, A.; Bajar, S.; Pant, D.; Din, Z.U. Ethanol from Lignocellulosic Biomass: An in-Depth Analysis of Pre-Treatment Methods, Fermentation Approaches and Detoxification Processes. J. Environ. Chem. Eng. 2021, 9, 105798. [Google Scholar] [CrossRef]
  103. Zabed, H.; Sahu, J.N.; Suely, A.; Boyce, A.N.; Faruq, G. Bioethanol Production from Renewable Sources: Current Perspectives and Technological Progress. Renew. Sustain. Energy Rev. 2017, 71, 475–501. [Google Scholar] [CrossRef]
  104. Miyuranga, K.A.V.; De Silva, S.J.; Arachchige, U.; Jayasinghe, R.A.; Weerasekara, N.A. Comparison of the Properties of Biodiesel-Bioethanol-Diesel Blended Fuel. Asian J. Chem. 2022, 34, 1809–1813. [Google Scholar] [CrossRef]
  105. Olson, D.G.; McBride, J.E.; Joe Shaw, A.; Lynd, L.R. Recent Progress in Consolidated Bioprocessing. Curr. Opin. Biotechnol. 2012, 23, 396–405. [Google Scholar] [CrossRef]
  106. Sharma, S.; Tsai, M.L.; Sharma, V.; Sun, P.-P.; Nargotra, P.; Bajaj, B.K.; Chen, C.-W.; Dong, C.-D. Environment Friendly Pretreatment Approaches for the Bioconversion of Lignocellulosic Biomass into Biofuels and Value-Added Products. Environments 2023, 10, 6. [Google Scholar] [CrossRef]
  107. Haldar, D.; Purkait, M.K. Thermochemical Pretreatment Enhanced Bioconversion of Elephant Grass (Pennisetum purpureum): Insight on the Production of Sugars and Lignin. Biomass Convers. Biorefin. 2022, 12, 1125–1138. [Google Scholar] [CrossRef]
  108. Xu, J.; Cheng, J.J.; Sharma-Shivappa, R.R.; Burns, J.C. Sodium Hydroxide Pretreatment of Switchgrass for Ethanol Production. Energy Fuels 2010, 24, 2113–2119. [Google Scholar] [CrossRef]
  109. Phitsuwan, P.; Sakka, K.; Ratanakhanokchai, K. Structural Changes and Enzymatic Response of Napier Grass (Pennisetum purpureum) Stem Induced by Alkaline Pretreatment. Bioresour. Technol. 2016, 218, 247–256. [Google Scholar] [CrossRef]
  110. Redding, A.; Wang, Z.; Keshwani, D.; Cheng, J. High Temperature Dilute Acid Pretreatment of Coastal Bermuda Grass for Enzymatic Hydrolysis. Bioresour. Technol. 2010, 102, 1415–1424. [Google Scholar] [CrossRef]
  111. Kaschuk, J.; Santos, D.; Frollini, E.; Canduri, F.; Porto, A. Influence of PH, Temperature, and Sisal Pulp on the Production of Cellulases from Aspergillus Sp. CBMAI 1198 and Hydrolysis of Cellulosic Materials with Different Hemicelluloses Content, Crystallinity, and Average Molar Mass. Biomass Convers. Biorefin. 2020, 10, 483–494. [Google Scholar] [CrossRef]
  112. Maurya, D.P.; Singla, A.; Negi, S. An Overview of Key Pretreatment Processes for Biological Conversion of Lignocellulosic Biomass to Bioethanol. 3 Biotech 2015, 5, 597–609. [Google Scholar] [CrossRef] [PubMed]
  113. Chinwatpaiboon, P.; Doolayagovit, I.; Boonsombuti, A.; Savarajara, A.; Luengnaruemitchai, A. Comparison of Acid-, Alkaline-, and Ionic Liquid–Treated Napier Grass as an Immobilization Carrier for Butanol Production by Clostridium Beijerinckii JCM 8026. Biomass Convers. Biorefin. 2020, 10, 1071–1082. [Google Scholar] [CrossRef]
  114. Reddy, K.O.; Maheswari, C.U.; Reddy, D.J.P.; Rajulu, A.V. Thermal Properties of Napier Grass Fibers. Mater. Lett. 2009, 63, 2390–2392. [Google Scholar] [CrossRef]
  115. Wang, J.; Xin, D.; Hou, X.; Wu, J.; Fan, X.; Li, K.; Zhang, J. Structural Properties and Hydrolysabilities of Chinese Pennisetum and Hybrid Pennisetum: Effect of Aqueous Ammonia Pretreatment. Bioresour. Technol. 2016, 199, 211–219. [Google Scholar] [CrossRef]
  116. Martínez-Patiño, J.C.; Ruiz, E.; Romero, I.; Cara, C.; López-Linares, J.C.; Castro, E. Combined Acid/Alkaline-Peroxide Pretreatment of Olive Tree Biomass for Bioethanol Production. Bioresour. Technol. 2017, 239, 326–335. [Google Scholar] [CrossRef]
  117. Guo, Y.; Wang, S.Z.; Xu, D.H.; Gong, Y.M.; Ma, H.H.; Tang, X.Y. Review of Catalytic Supercritical Water Gasification for Hydrogen Production from Biomass. Renew. Sust. Energ. Rev. 2010, 14, 334–343. [Google Scholar] [CrossRef]
  118. Gong, J.; Su, J.; Cai, J.; Zou, L.; Chen, Y.; Jiang, Y.; Hu, B. Enhanced Enzymolysis and Bioethanol Yield from Tobacco Stem Waste Based on Mild Synergistic Pretreatment. Front. Energy Res. 2023, 10, 989393. [Google Scholar] [CrossRef]
  119. Bales, G.L.; Kellogg, D.W.; Miller, D.D. Comparison of Ammonium, Potassium, Sodium, Chloride and Hydroxyl Ions on in Vitro Dry Matter Disappearance of Milo Stalks1. J. Anim. Sci. 1979, 49, 1324–1330. [Google Scholar] [CrossRef]
  120. Larnaudie, V.; Ferrari, M.D.; Lareo, C. Switchgrass as an Alternative Biomass for Ethanol Production in a Biorefinery: Perspectives on Technology, Economics and Environmental Sustainability. Renew. Sust. Energ. Rev. 2022, 158, 112115. [Google Scholar] [CrossRef]
  121. Guo, B.; Zhang, Y.; Yu, G.; Lee, W.-H.; Jin, Y.; Morgenroth, E. Two-Stage Acidic–Alkaline Hydrothermal Pretreatment of Lignocellulose for the High Recovery of Cellulose and Hemicellulose Sugars. Appl. Biochem. Biotechnol. 2013, 169, 1069–1087. [Google Scholar] [CrossRef] [PubMed]
  122. Lin, Y.; Lee, W.-C. Simultaneous Saccharification and Fermentation of Alkali-Pretreated Cogongrass for Bioethanol Production. Bioresources 2011, 6, 2744–2756. [Google Scholar] [CrossRef]
  123. Sahoo, K.; Mani, S.; Das, L.; Bettinger, P. GIS-Based Assessment of Sustainable Crop Residues for Optimal Siting of Biogas Plants. Biomass Bioenergy 2018, 110, 63–74. [Google Scholar] [CrossRef]
  124. Sun, Y.; Cheng, J. Dilute Acid Pretreatment of Rye Straw and Bermudagrass for Ethanol Production. Bioresour. Technol. 2005, 96, 1599–1606. [Google Scholar] [CrossRef]
  125. Kongkeitkajorn, M.B.; Yaemdeeka, R.; Chaiyota, I.; Hamsupo, K.; Oraintara, A.; Reungsang, A. Bioethanol from Napier Grass Employing Different Fermentation Strategies to Evaluate a Suitable Operation for Batch Bioethanol Production. Energy Convers. Manag. X 2021, 12, 100143. [Google Scholar] [CrossRef]
  126. Yeh, R.H.; Lin, Y.S.; Wang, T.H.; Kuan, W.C.; Lee, W.C. Bioethanol Production from Pretreated Miscanthus Floridulus Biomass by Simultaneous Saccharification and Fermentation. Biomass Bioenergy 2016, 94, 110–116. [Google Scholar] [CrossRef]
  127. Taherzadeh, M.J.; Karimi, K. Enzymatic-Based Hydrolysis Processes for Ethanol from Lignocellulosic Materials: A Review. Bioresources 2007, 2, 707–738. [Google Scholar] [CrossRef]
  128. Balat, M.; Balat, H.; Öz, C. Progress in Bioethanol Processing. Prog. Energy. Combust. Sci. 2008, 34, 551–573. [Google Scholar] [CrossRef]
  129. Guo, G.-L.; Chen, W.-H.; Chen, W.-H.; Men, L.-C.; Hwang, W.-S. Characterization of Dilute Acid Pretreatment of Silvergrass for Ethanol Production. Bioresour. Technol. 2008, 99, 6046–6053. [Google Scholar] [CrossRef]
  130. Vieira, S.; Barros, M.V.; Sydney, A.C.N.; Piekarski, C.M.; de Francisco, A.C.; Vandenberghe, L.P.d.S.; Sydney, E.B. Sustainability of Sugarcane Lignocellulosic Biomass Pretreatment for the Production of Bioethanol. Bioresour. Technol. 2020, 299, 122635. [Google Scholar] [CrossRef] [PubMed]
  131. Lima, M.A.; Gomez, L.D.; Steele-King, C.G.; Simister, R.; Bernardinelli, O.D.; Carvalho, M.A.; Rezende, C.A.; Labate, C.A.; deAzevedo, E.R.; McQueen-Mason, S.J.; et al. Evaluating the Composition and Processing Potential of Novel Sources of Brazilian Biomass for Sustainable Biorenewables Production. Biotechnol. Biofuels 2014, 7, 10. [Google Scholar] [CrossRef] [PubMed]
  132. Mohapatra, S.; Mishra, C.; Behera, S.S.; Thatoi, H. Application of Pretreatment, Fermentation and Molecular Techniques for Enhancing Bioethanol Production from Grass Biomass—A Review. Renew. Sust. Energ. Rev. 2017, 78, 1007–1032. [Google Scholar] [CrossRef]
  133. Yang, B.; Dai, Z.; Ding, S.-Y.; Wyman, C.E. Enzymatic Hydrolysis of Cellulosic Biomass. Biofuels 2011, 2, 421–449. [Google Scholar] [CrossRef]
  134. Pothiraj, C.; Arumugam, R.; Gobinath, M. Sustaining Ethanol Production from Lime Pretreated Water Hyacinth Biomass Using Mono and Co-Cultures of Isolated Fungal Strains with Pichia Stipitis. Bioresour. Bioprocess. 2014, 1, 27. [Google Scholar] [CrossRef]
  135. Wang, S.; Chen, J.; Yang, G.; Gao, W.; Chen, K. Efficient Conversion of Hubrid Pennisetum to Glucose by Oxygen-Aqueous Alkaline Ionic Liquid Media Pretreatment under Benign Conditions. Bioresour. Technol. 2017, 243, 335–338. [Google Scholar] [CrossRef]
  136. Gao, F.; Yang, F.; De, Y.; Tao, Y.; Ta, N.; Wang, H.; Sun, Q. Dilute Alkali Pretreatment and Subsequent Enzymatic Hydrolysis of Amur Silvergrass for Ethanol Production. Bioresources 2020, 15, 4823–4834. [Google Scholar] [CrossRef]
  137. Singh, A.; Bishnoi, N.R. Optimization of Enzymatic Hydrolysis of Pretreated Rice Straw and Ethanol Production. Appl. Microbiol. Biotechnol. 2012, 93, 1785–1793. [Google Scholar] [CrossRef] [PubMed]
  138. Camesasca, L.; Ramírez, M.; Guigou, M.; Ferrari, M.; Lareo, C. Evaluation of Dilute Acid and Alkaline Pretreatments, Enzymatic Hydrolysis and Fermentation of Napiergrass for Fuel Ethanol Production. Biomass Bioenergy 2015, 74, 193–201. [Google Scholar] [CrossRef]
  139. Bagudo, B.U.; Dangoggo, S.M.; Usman, J. Bioethanol Production Potential of Andropogon Gayanus. Ann. Biol. Res. 2014, 5, 106–111. Available online: https://api.semanticscholar.org/CorpusID:82882507 (accessed on 18 December 2023).
  140. Yuan, H.; Tan, L.; Kida, K.; Morimura, S.; Sun, Z.-Y.; Tang, Y.-Q. Potential for Reduced Water Consumption in Biorefining of Lignocellulosic Biomass to Bioethanol and Biogas. J. Biosci. Bioeng. 2021, 131, 461–468. [Google Scholar] [CrossRef] [PubMed]
  141. Modenbach, A.A.; Nokes, S.E. The Use of High-Solids Loadings in Biomass Pretreatment—A Review. Biotechnol. Bioeng. 2012, 109, 1430–1442. [Google Scholar] [CrossRef] [PubMed]
  142. Zhao, J.; Lee, J.; Wang, D. A Critical Review on Water Overconsumption in Lignocellulosic Biomass Pretreatment for Ethanol Production through Enzymic Hydrolysis and Fermentation. Energy Fuels 2023, 37, 2667–2680. [Google Scholar] [CrossRef]
  143. Ovejero-Pérez, A.; Ayuso, M.; Rigual, V.; Domínguez, J.C.; García, J.; Alonso, M.V.; Oliet, M.; Rodriguez, F. Technoeconomic Assessment of a Biomass Pretreatment + Ionic Liquid Recovery Process with Aprotic and Choline Derived Ionic Liquids. ACS Sustain. Chem. Eng. 2021, 9, 8467–8476. [Google Scholar] [CrossRef]
  144. Wang, W.; Wang, Q.; Tan, X.; Qi, W.; Yu, Q.; Zhou, G.; Zhuang, X.; Yuan, Z. High Conversion of Sugarcane Bagasse into Monosaccharides Based on Sodium Hydroxide Pretreatment at Low Water Consumption and Wastewater Generation. Bioresour. Technol. 2016, 218, 1230–1236. [Google Scholar] [CrossRef]
  145. Fang, C.; Thomsen, M.H.; Brudecki, G.P.; Cybulska, I.; Frankær, C.G.; Bastidas-Oyanedel, J.-R.; Schmidt, J.E. Seawater as Alternative to Freshwater in Pretreatment of Date Palm Residues for Bioethanol Production in Coastal and/or Arid Areas. ChemSusChem 2015, 8, 3823–3831. [Google Scholar] [CrossRef] [PubMed]
  146. Skiba, E.A.; Ovchinnikova, E.V.; Budaeva, V.V.; Banzaraktsaeva, S.P.; Kovgan, M.A.; Chumachenko, V.A.; Mironova, G.F.; Kortusov, A.N.; Parmon, V.N.; Sakovich, G.V. Miscanthus Bioprocessing Using HNO3-Pretreatment to Improve Productivity and Quality of Bioethanol and Downstream Ethylene. Ind. Crops Prod. 2022, 177, 114448. [Google Scholar] [CrossRef]
  147. Larnaudie, V.; Ferrari, M.D.; Lareo, C. Enzymatic Hydrolysis of Liquid Hot Water-Pretreated Switchgrass at High Solid Content. Energy Fuels 2019, 33, 4361–4368. [Google Scholar] [CrossRef]
  148. Song, Y.; Lee, Y.-G.; Cho, E.; Bae, H.-J. Production of Xylose, Xylulose, Xylitol, and Bioethanol from Waste Bamboo Using Hydrogen Peroxicde-Acetic Acid Pretreatment. Fuel 2020, 278, 118247. [Google Scholar] [CrossRef]
  149. Tan, X.; Zhang, Q.; Wang, W.; Zhuang, X.; Deng, Y.; Yuan, Z. Comparison Study of Organosolv Pretreatment on Hybrid Pennisetum for Enzymatic Saccharification and Lignin Isolation. Fuel 2019, 249, 334–340. [Google Scholar] [CrossRef]
  150. Wang, Z.-K.; Li, H.; Lin, X.-C.; Tang, L.; Chen, J.-J.; Mo, J.-W.; Yu, R.-S.; Shen, X.-J. Novel Recyclable Deep Eutectic Solvent Boost Biomass Pretreatment for Enzymatic Hydrolysis. Bioresour. Technol. 2020, 307, 123237. [Google Scholar] [CrossRef]
  151. Aui, A.; Wang, Y.; Wright, M. Evaluating the Economic Feasibility of Cellulosic Ethanol: A Meta-Analysis of Techno-Economic Analysis Studies. Renew. Sust. Energ. Rev. 2021, 145, 111098. [Google Scholar] [CrossRef]
  152. Larnaudie, V.; Ferrari, M.D.; Lareo, C. Life Cycle Assessment of Ethanol Produced in a Biorefinery from Liquid Hot Water Pretreated Switchgrass. Renew. Energy 2021, 176, 606–616. [Google Scholar] [CrossRef]
  153. Soldatos, P. Economic Aspects of Bioenergy Production from Perennial Grasses in Marginal Lands of South Europe. Bioenergy Res. 2015, 8, 1562–1573. [Google Scholar] [CrossRef]
  154. De Laporte, A.V.; Ripplinger, D.G. Economic Viability of Perennial Grass Biomass Feedstock in Northern Climates. Ind. Crops Prod. 2019, 128, 213–220. [Google Scholar] [CrossRef]
  155. Olba-Zięty, E.; Stolarski, M.J.; Krzyżaniak, M. Economic Evaluation of the Production of Perennial Crops for Energy Purposes—A Review. Energies 2021, 14, 7147. [Google Scholar] [CrossRef]
  156. Conde-Mejía, C.; Jiménez-Gutiérrez, A.; El-Halwagi, M. A Comparison of Pretreatment Methods for Bioethanol Production from Lignocellulosic Materials. Process Saf. Environ. Prot. 2012, 90, 189–202. [Google Scholar] [CrossRef]
  157. Sindhu, R.; Binod, P.; Pandey, A. Biological Pretreatment of Lignocellulosic Biomass—An Overview. Bioresour. Technol. 2016, 199, 76–82. [Google Scholar] [CrossRef] [PubMed]
  158. Hammond, G.P.; Li, B. Environmental and Resource Burdens Associated with World Biofuel Production out to 2050: Footprint Components from Carbon Emissions and Land Use to Waste Arisings and Water Consumption. GCB Bioenergy 2016, 8, 894–908. [Google Scholar] [CrossRef] [PubMed]
  159. Wu, Y.; Zhao, F.; Liu, S.; Wang, L.; Qiu, L.; Alexandrov, G.; Jothiprakash, V. Bioenergy Production and Environmental Impacts. Geosci. Lett. 2018, 5, 14. [Google Scholar] [CrossRef]
  160. VanLoocke, A.; Twine, T.E.; Zeri, M.; Bernacchi, C.J. A Regional Comparison of Water Use Efficiency for Miscanthus, Switchgrass and Maize. Agric. For. Meteorol. 2012, 164, 82–95. [Google Scholar] [CrossRef]
  161. Chen, Y.; Ale, S.; Rajan, N.; Srinivasan, R. Modeling the Effects of Land Use Change from Cotton (Gossypium hirsutum L.) to Perennial Bioenergy Grasses on Watershed Hydrology and Water Quality under Changing Climate. Agric. Water. Manag. 2017, 192, 198–208. [Google Scholar] [CrossRef]
  162. Guo, T.; Cibin, R.; Chaubey, I.; Gitau, M.; Arnold, J.G.; Srinivasan, R.; Kiniry, J.R.; Engel, B.A. Evaluation of Bioenergy Crop Growth and the Impacts of Bioenergy Crops on Streamflow, Tile Drain Flow and Nutrient Losses in an Extensively Tile-Drained Watershed Using SWAT. Sci. Total Environ. 2018, 613–614, 724–735. [Google Scholar] [CrossRef] [PubMed]
  163. Hoekman, S.K.; Broch, A.; Liu, X. (Vivian) Environmental Implications of Higher Ethanol Production and Use in the U.S.: A Literature Review. Part I—Impacts on Water, Soil, and Air Quality. Renew. Sust. Energ. Rev. 2018, 81, 3140–3158. [Google Scholar] [CrossRef]
  164. Spatari, S.; Bagley, D.M.; MacLean, H.L. Life Cycle Evaluation of Emerging Lignocellulosic Ethanol Conversion Technologies. Bioresour. Technol. 2010, 101, 654–667. [Google Scholar] [CrossRef]
  165. Smullen, E.; Finnan, J.; Dowling, D.; Mulcahy, P. The Environmental Performance of Pretreatment Technologies for the Bioconversion of Lignocellulosic Biomass to Ethanol. Renew. Energy 2019, 142, 527–534. [Google Scholar] [CrossRef]
  166. Parajuli, R.; Sperling, K.; Dalgaard, T. Environmental Performance of Miscanthus as a Fuel Alternative for District Heat Production. Biomass Bioenergy 2015, 72, 104–116. [Google Scholar] [CrossRef]
  167. Bai, Y.; Luo, L.; van der Voet, E. Life Cycle Assessment of Switchgrass-Derived Ethanol as Transport Fuel. Int. J. Life Cycle Assess. 2010, 15, 468–477. [Google Scholar] [CrossRef]
  168. Iordan, C.-M.; Giroux, B.; Næss, J.S.; Hu, X.; Cavalett, O.; Cherubini, F. Energy Potentials, Negative Emissions, and Spatially Explicit Environmental Impacts of Perennial Grasses on Abandoned Cropland in Europe. Environ. Impact Assess. Rev. 2023, 98, 106942. [Google Scholar] [CrossRef]
  169. Dunn, J.B.; Mueller, S.; Wang, M.; Han, J. Energy Consumption and Greenhouse Gas Emissions from Enzyme and Yeast Manufacture for Corn and Cellulosic Ethanol Production. Biotechnol. Lett. 2012, 34, 2259–2263. [Google Scholar] [CrossRef]
  170. MacLean, H.L.; Spatari, S. The Contribution of Enzymes and Process Chemicals to the Life Cycle of Ethanol. Environ. Res. Lett. 2009, 4, 014001. [Google Scholar] [CrossRef]
  171. Yusof, S.J.H.M.; Roslan, A.M.; Ibrahim, K.N.; Abdullah, S.S.S.; Zakaria, M.R.; Hassan, M.A.; Shirai, Y. Environmental Performance of Bioethanol Production from Oil Palm Frond Petiole Sugars in an Integrated Palm Biomass Biorefinery. IOP Conf. Ser. Mater. Sci. Eng. 2018, 368, 012004. [Google Scholar] [CrossRef]
  172. Nimmanterdwong, P.; Chalermsinsuwan, B.; Østergård, H.; Piumsomboon, P. Environmental Performance Assessment of Napier Grass for Bioenergy Production. J. Clean. Prod. 2017, 165, 645–655. [Google Scholar] [CrossRef]
  173. Morandi, F.; Perrin, A.; Østergård, H. Miscanthus as Energy Crop: Environmental Assessment of a Miscanthus Biomass Production Case Study in France. J. Clean. Prod. 2016, 137, 313–321. [Google Scholar] [CrossRef]
  174. Felix, E.; Tilley, D.R. Integrated Energy, Environmental and Financial Analysis of Ethanol Production from Cellulosic Switchgrass. Energy 2009, 34, 410–436. [Google Scholar] [CrossRef]
  175. Culaba, A.; Mayol, A.P.; San Juan, J.L.; Vinoya, C.; Concepcion Ii, R.; Bandala, A.; Vicerra, R.; Ubando, A.; Chen, W.-H.; Chang, J.-S. Smart Sustainable Biorefineries for Lignocellulosic Biomass. Bioresour. Technol. 2022, 344, 126215. [Google Scholar] [CrossRef] [PubMed]
  176. Meena, M.; Shubham, S.; Paritosh, K.; Pareek, N.; Vivekanand, V. Production of Biofuels from Biomass: Predicting the Energy Employing Artificial Intelligence Modelling. Bioresour. Technol. 2021, 340, 125642. [Google Scholar] [CrossRef]
  177. Cioffi, R.; Travaglioni, M.; Piscitelli, G.; Petrillo, A.; De Felice, F. Artificial Intelligence and Machine Learning Applications in Smart Production: Progress, Trends, and Directions. Sustainability 2020, 12, 492. [Google Scholar] [CrossRef]
  178. Liao, M.; Yao, Y. Applications of Artificial Intelligence-Based Modeling for Bioenergy Systems: A Review. GCB Bioenergy 2021, 13, 774–802. [Google Scholar] [CrossRef]
  179. Ahmadian-Moghadam, H.; Elegado, F.B.; Nayve, R. Prediction of Ethanol Concentration in Biofuel Production Using Artificial Neural Networks. Int. J. Model. Optim. 2013, 1, 31–35. [Google Scholar] [CrossRef]
  180. Grahovac, J.; Jokić, A.; Dodić, J.; Vučurović, D.; Dodić, S. Modelling and Prediction of Bioethanol Production from Intermediates and Byproduct of Sugar Beet Processing Using Neural Networks. Renew. Energy 2016, 85, 953–958. [Google Scholar] [CrossRef]
  181. Smuga-Kogut, M.; Kogut, T.; Markiewicz, R.; Słowik, A. Use of Machine Learning Methods for Predicting Amount of Bioethanol Obtained from Lignocellulosic Biomass with the Use of Ionic Liquids for Pretreatment. Energies 2021, 14, 243. [Google Scholar] [CrossRef]
  182. Dodić, J.M.; Vučurović, D.G.; Dodić, S.N.; Grahovac, J.A.; Popov, S.D.; Nedeljković, N.M. Kinetic Modelling of Batch Ethanol Production from Sugar Beet Raw Juice. Appl. Energy 2012, 99, 192–197. [Google Scholar] [CrossRef]
  183. Li, X.; Dong, Y.; Chang, L.; Chen, L.; Wang, G.; Zhuang, Y.; Yan, X. Dynamic Hybrid Modeling of Fuel Ethanol Fermentation Process by Integrating Biomass Concentration XGBoost Model and Kinetic Parameter Artificial Neural Network Model into Mechanism Model. Renew. Energy 2023, 205, 574–582. [Google Scholar] [CrossRef]
  184. Hiloidhari, M.; Baruah, D.C.; Singh, A.; Kataki, S.; Medhi, K.; Kumari, S.; Ramachandra, T.V.; Jenkins, B.M.; Thakur, I.S. Emerging Role of Geographical Information System (GIS), Life Cycle Assessment (LCA) and Spatial LCA (GIS-LCA) in Sustainable Bioenergy Planning. Bioresour. Technol. 2017, 242, 218–226. [Google Scholar] [CrossRef]
  185. Bharti, A.; Paritosh, K.; Mandla, V.R.; Chawade, A.; Vivekanand, V. GIS Application for the Estimation of Bioenergy Potential from Agriculture Residues: An Overview. Energies 2021, 14, 898. [Google Scholar] [CrossRef]
  186. Wang, Z.; Peng, X.; Xia, A.; Shah, A.A.; Huang, Y.; Zhu, X.; Zhu, X.; Liao, Q. The Role of Machine Learning to Boost the Bioenergy and Biofuels Conversion. Bioresour. Technol. 2022, 343, 126099. [Google Scholar] [CrossRef] [PubMed]
  187. Negri, V.; Galán-Martín, Á.; Pozo, C.; Fajardy, M.; Reiner, D.M.; Mac Dowell, N.; Guillén-Gosálbez, G. Life Cycle Optimization of BECCS Supply Chains in the European Union. Appl. Energy 2021, 298, 117252. [Google Scholar] [CrossRef]
  188. Riahi, Y.; Saikouk, T.; Gunasekaran, A.; Badraoui, I. Artificial Intelligence Applications in Supply Chain: A Descriptive Bibliometric Analysis and Future Research Directions. Expert Syst. Appl. 2021, 173, 114702. [Google Scholar] [CrossRef]
Figure 1. Bioethanol production in 2020. Adapted from [5].
Figure 1. Bioethanol production in 2020. Adapted from [5].
Energies 17 01048 g001
Figure 2. Cellulose structure. Adapted from [65].
Figure 2. Cellulose structure. Adapted from [65].
Energies 17 01048 g002
Figure 3. Hemicellulose structure. Adapted from [68].
Figure 3. Hemicellulose structure. Adapted from [68].
Energies 17 01048 g003
Figure 4. Lignin structure. Adapted from [68].
Figure 4. Lignin structure. Adapted from [68].
Energies 17 01048 g004
Table 2. Composition of different perennial grasses.
Table 2. Composition of different perennial grasses.
BiomassCellulose (%)Hemicellulose (%)Lignin (%)References
Switchgrass45.0031.4012.00[55]
Switchgrass32.0017.9021.40[16]
Bermuda grass25.6015.9019.30[16]
Bermuda grass25.0035.706.40[55]
Napier grass41.80 ± 2.2023.20 ± 1.1025.00 ± 0.30[26]
Kans grass44.0021.5028.50[56]
Miscanthus52.1025.8012.60[44]
Bamboo46.5018.8025.70[47]
Rye42.8327.866.51[57]
Reed49.4031.508.74[57]
Amur silver grass42.0030.157.00[57]
Natural hay44.9031.4012.00[47]
Para grass42.00 ± 1.9020.00 ± 0.2019.00 ± 0.20[58]
Vetiver34.4835.0714.34[59]
Cogongrass41.5022.5020.40[36]
Table 3. Composition of perennial grasses before and after acid and alkaline pretreatment.
Table 3. Composition of perennial grasses before and after acid and alkaline pretreatment.
BiomassPretreatmentCellulose [%]Hemicellulose [%]Lignin [%]Reference
Napier grassUntreated41.80 ± 2.2023.20 ± 1.3025.00 ± 0.30[26]
Alkaline ( N a O H )62.10 ± 2.7016.10 ± 0.8019.50 ± 1.70
Acidic ( H 2 S O 4 )47.808.5026.80
Acidic-Alkaline
( H 2 S O 4 N a O H )
67.604.0017.00
Bermuda grassUntreated25.5915.8819.33[96]
Alkaline ( N a O H )25.01–23.1113.60–6.2716.93–2.82
B. brizanthaUntreated42.1512.7018.80[23]
Acidic ( H 2 S O 4 )42.85 ± 2.25–54.63 ± 0.634.07 ± 0.13–12.10 ± 0.10 -
Napier grassUntreated22.6020.9019.40[12]
Alkaline ( N a O H )31.2021.906.80
Acidic ( H 2 S O 4 )24.0013.5013.40
Alkaline (aqueous N H 3 )35.5025.409.20
Alkaline ( a H 2 O 2 )39.2010.5011.00
King grassUntreated31.60 ± 2.5015.2 ± 0.9015.40 ± 1.00[35]
Alkaline ( N a O H )35.70 ± 0.3021.60 ± 0.906.80 ± 1.90
Acidic ( H 2 S O 4 )43.80 ± 2.3013.10 ± 1.1017.20 ± 1.70
Alkaline (aqueous N H 3 )36.10 ± 0.4023.30 ± 1.309.90 ± 0.80
Alkaline ( a H 2 O 2 )37.90 ± 0.9019.80 ± 0.5014.10 ± 0.60
Giant reed
(Arundo donax)
Untreated33.00 ± 0.7029.70 ± 0.9023.00 ± 1.11[29]
Acidic ( H 2 S O 4 )55.10 ± 1.30–58.30 ± 0.9012.30 ± 0.70–18.20 ± 1.7018.10 ± 1.30–21.10 ± 1.50
Acidic ( F e C l 3 )52.90 ± 1.30–62.90 ± 1.2010.60 ± 1.40–15.40 ± 0.9015.80 ± 0.70–20.30 ± 2.10
Alkaline ( N a O H )48.90 ± 0.50–62.70 ± 0.7016.20 ± 0.40–24.40 ± 0.2013.70 ± 0.8–17.90 ± 0.90
Napier grassUntreated36.67 ± 0.1720.23 ± 0.0919.33 ± 0.33[107]
Alkaline ( N a O H )55.83 ± 0.13–72.30 ± 0.1715.45 ± 0.06–20.30 ± 0.124.33 ± 0.07–7.00 ± 0.23
Para grassUntreated42.00 ± 1.9020.00 ± 0.2019.00 ± 0.20[58]
Alkaline ( N a O H )58.13 ± 0.6021.68 ± 0.2010.09 ± 0.10
Acidic ( H 2 S O 4 )55.61 ± 0.309.48 ± 0.0519.01 ± 0.00
Table 4. Crystallinity index of grasses before and after pretreatment.
Table 4. Crystallinity index of grasses before and after pretreatment.
BiomassPretreatmentCrl before [%]Crl after [%]Reference
Para grassAlkaline33.4058.60[58]
Para grassAcid33.4054.30[58]
Napier grassAlkaline33.0064.02[113]
Napier grassAcidic33.0049.83[113]
Chinese PennisetumAlkaline49.5060.60–63.40[115]
Hybrid PennisetumAlkaline43.4056.80–58.60[115]
Table 8. Emergy and global renewable fraction of perennial grasses.
Table 8. Emergy and global renewable fraction of perennial grasses.
FeedstockUEV [sej/J] R g l o b a l [%]Reference
Napier grass (with L) 1.35   ×   10 4 39[172]
Napier grass (w/o L) 9.35   ×   10 3 51
Miscanthus (with L) 1.42   ×   10 4 96[173]
Miscanthus (w/o L) 1.42   ×   10 4 96
Switchgrass (with L) 2.12   ×   10 4 37[174]
Switchgrass (w/o L) 1.72   ×   10 4 40
Disclaimer/Publisher’s Note: The statements, opinions and data contained in all publications are solely those of the individual author(s) and contributor(s) and not of MDPI and/or the editor(s). MDPI and/or the editor(s) disclaim responsibility for any injury to people or property resulting from any ideas, methods, instructions or products referred to in the content.

Share and Cite

MDPI and ACS Style

Johannes, L.P.; Xuan, T.D. Comparative Analysis of Acidic and Alkaline Pretreatment Techniques for Bioethanol Production from Perennial Grasses. Energies 2024, 17, 1048. https://doi.org/10.3390/en17051048

AMA Style

Johannes LP, Xuan TD. Comparative Analysis of Acidic and Alkaline Pretreatment Techniques for Bioethanol Production from Perennial Grasses. Energies. 2024; 17(5):1048. https://doi.org/10.3390/en17051048

Chicago/Turabian Style

Johannes, Lovisa Panduleni, and Tran Dang Xuan. 2024. "Comparative Analysis of Acidic and Alkaline Pretreatment Techniques for Bioethanol Production from Perennial Grasses" Energies 17, no. 5: 1048. https://doi.org/10.3390/en17051048

APA Style

Johannes, L. P., & Xuan, T. D. (2024). Comparative Analysis of Acidic and Alkaline Pretreatment Techniques for Bioethanol Production from Perennial Grasses. Energies, 17(5), 1048. https://doi.org/10.3390/en17051048

Note that from the first issue of 2016, this journal uses article numbers instead of page numbers. See further details here.

Article Metrics

Back to TopTop