Research of Proton Exchange Membrane Fuel Cell Modeling on Concentration Polarization under Variable-Temperature Operating Conditions
Abstract
1. Introduction
2. Model Description
2.1. Concentration Overvoltage Model
2.2. Limiting Current Density
2.3. Mass Transport Resistance
2.4. Parameter Sensitivity of Oxygen Transport Resistances under Operating Conditions
2.5. Method for Measuring Oxygen Transport Resistance
2.6. Structural Parameter Analysis and Optimization for Ionomer Permeation Resistance
3. Electrochemical Model of PEMFC
4. Result and Discussion
4.1. Oxygen Transport Resistance Numerical Simulation
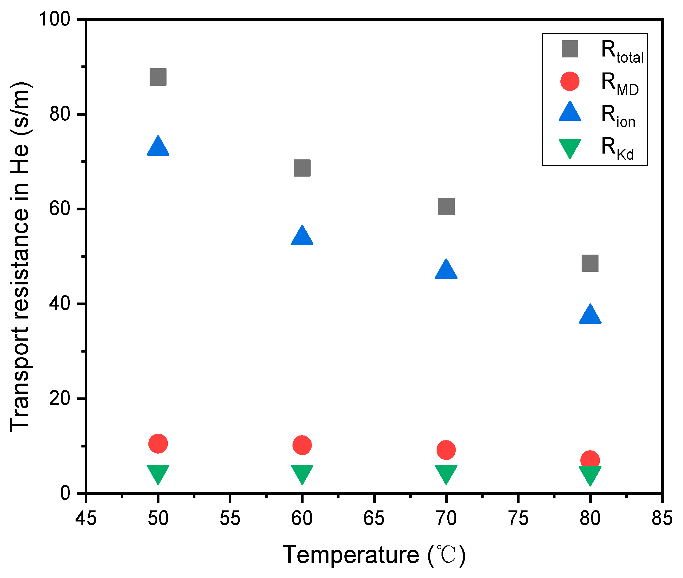
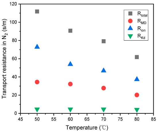
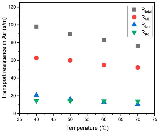
4.2. Experiment
4.3. The Effect of Variable-Temperature Operating Conditions on PEMFC Concentration Polarization
5. Conclusions
Supplementary Materials
Author Contributions
Funding
Data Availability Statement
Conflicts of Interest
Nomenclature
| effective area of MEA (m2) | |
| effective ionomer film area for unit area of MEA (m2/m2) | |
| oxygen concentration in flow channel (mol/m3) | |
| oxygen concentration on platinum surface of catalyst (mol/m3) | |
| binary molecular diffusion coefficient between gas species A and B (m2/s) | |
| ionic diffusion coefficient (m2/s) | |
| diffusion coefficient of oxygen in air (m2/s) | |
| effective molecular diffusion coefficient of oxygen (m2/s) | |
| effective Knudsen diffusion coefficient of catalyst layer (m2/s) | |
| Knudsen diffusion coefficient of oxygen (m2/s) | |
| diffusion coefficient of oxygen through ionomer film (m2/s) | |
| Nernst reversible voltage of fuel cell (V) | |
| Faraday constant (C/mol) | |
| thickness of gas diffusion layer (m) | |
| thickness of catalyst layer (m) | |
| effective thickness of catalyst layer (m) | |
| Henry constant of oxygen dissolved in ionomer (Pa m3/mol) | |
| limiting current density (mA/cm2) | |
| diffusion flux (mol/m2·s) | |
| thickness of proton exchange membrane r | |
| volume fraction of ionomer in catalyst layer | |
| volume fraction of ionomer in agglomerates | |
| Pt/C particle volume fraction | |
| , | binary diffusion gas A and B molar weight (g/mol) |
| oxygen molar weight (g/mol) | |
| air molar weight (g/mol) | |
| vapor molar weight (g/mol) | |
| nitrogen molar weight (g/mol) | |
| cathode inlet gas molar weight (g/mol) | |
| Number of agglomerates for unit catalyst volume | |
| partial pressure of water oxygen (kPa) | |
| partial pressure of water vapor (kPa) | |
| partial pressure of hydrogen (kPa) | |
| cathode pressure (kPa) | |
| vapor saturation pressure (kPa) | |
| catalyst pore radius (m) | |
| effective agglomerate radius (m) | |
| molecular diffusion resistance (s/m) | |
| Knudsen diffusion resistance (s/m) | |
| oxygen permeation resistance (s/m) | |
| equivalent resistance of proton exchange membrane (Ω) | |
| electronic resistance (Ω) | |
| surface area of a single agglomerate (m2) | |
| temperature (K) | |
| , | binary gas A and B diffusion volume (cm3/mol) |
| activation overpotential (V) | |
| ohmic overpotential (V) | |
| concentration overpotential (V) | |
| nitrogen mass flow rate (g/s) | |
| vapor mass flow rate (g/s) | |
| cathode inlet gas mass flow rate (g/s) | |
| mole fraction of gas j in multiple mixture gases | |
| oxygen mole fraction | |
| oxygen mass content in dry air | |
| nitrogen mass content in dry air | |
| Greek Symbols | |
| diffusion distance (m) | |
| thickness of the Nernst layer (m) | |
| effective thickness of the ionomer film (m) | |
| difference in oxygen concentration (mol/m3) | |
| difference in cathode overpotential (V) | |
| pore volume fraction of catalyst layer | |
| water content of proton exchange membrane | |
| ionic conductivity (m2/(V·s)) | |
| (n = 1~4) activation loss related semi-empirical coefficients | |
| relative humidity | |
| oxygen permeation coefficient (mol/s·m·Pa) | |
| cathode specific humidity | |
| charge transfer coefficient | |
| ORR reaction order related to oxygen partial pressure | |
| Abbreviations | |
| PEMFC | proton exchange membrane fuel cell |
| MEA | membrane electrode assembly |
References
- Ananthachar, V.; Duffy, J.J. Efficiencies of hydrogen storage systems onboard fuel cell vehicles. Sol. Energy 2005, 78, 687–694. [Google Scholar] [CrossRef]
- Chang, X.; Ma, T.; Wu, R. Impact of urban development on residents’ public transportation travel energy consumption in China: An analysis of hydrogen fuel cell vehicles alternatives. Int. J. Hydrogen Energy 2019, 44, 16015–16027. [Google Scholar] [CrossRef]
- Gröger, O.; Gasteiger, H.A.; Suchsland, J. Review-Electromobility: Batteries or Fuel Cells? J. Electrochem. SOC 2015, 162, A2605–A2622. [Google Scholar] [CrossRef]
- Oh, H.; Lee, Y.I.; Lee, G.; Min, K.; Yi, J.S. Experimental dissection of oxygen transport resistance in the components of a polymer electrolyte membrane fuel cell. J. Power Sources 2017, 345, 67–77. [Google Scholar] [CrossRef]
- Iden, H.; Takaichi, S.; Furuya, Y.; Mashio, T.; Ono, Y.; Ohma, A. Relationship between gas transport resistance in the catalyst layer and effective surface area of the catalyst. J. Electroanal. Chem. 2013, 694, 37–44. [Google Scholar] [CrossRef]
- Shan, Y.; Choe, S. Modeling and simulation of a PEM fuel cell stack considering temperature effects. J. Power Sources 2006, 158, 274–286. [Google Scholar] [CrossRef]
- Larminie, J.; Dicks, A. Fuel Cell Systems Explained, 2nd ed.; John Wiley & Sons Ltd.: Chichester, UK, 2003. [Google Scholar]
- Atkins, P.; De Paula James, J. Atkins’ Physical Chemistry, 8th ed.; W. H. Freeman and Company: New York, NY, USA, 2006. [Google Scholar]
- Srinivasan, S.; Enayetullah, M.A.; Somasundaram, S.; Swan, D.H.; Manko, D.; Koch, H.; Appleby, A.J. Recent advances in solid polymer electrolyte fuel cell technology with low platinum loading electrodes. In Proceedings of the 24th Intersociety Energy Conversion Engineering Conference IEEE, Washington, DC, USA, 6–11 August 1989; pp. 1623–1629. [Google Scholar]
- Kim, J. Modeling of Proton Exchange Membrane Fuel Cell Performance with an Empirical Equation. J. Electrochem. Soc. 1995, 142, 2670. [Google Scholar] [CrossRef]
- Amphlett, J.C.; Baumert, R.M.; Mann, R.F.; Peppley, B.A.; Roberge, P.R.; Harris, T.J. Performance modeling of the Ballard Mark IV solid polymer electrolyte fuel cell: I: Mechanistic model development. J. Electrochem. Soc. 1995, 142, 1. [Google Scholar] [CrossRef]
- Amphlett, J.C.; Baumert, R.M.; Mann, R.F.; Peppley, B.A.; Roberge, P.R.; Harris, T.J. Performance modeling of the Ballard Mark IV solid polymer electrolyte fuel cell: II. Empirical model development. J. Electrochem. Soc. 1995, 142, 9. [Google Scholar] [CrossRef]
- Mann, R.; Amphlett, J.; Hooper, M. Development and application of a generalised steady-state electrochemical model for a PEM fuel cell. J. Power Sources 2000, 86, 173–180. [Google Scholar] [CrossRef]
- Squadrito, G.; Maggio, G.; Passalacqua, E.; Lufrano, F.; Patti, A. Empirical equation for polymer electrolyte fuel cell (PEFC) behaviour. J. Appl. Electrochem. 1999, 29, 1449–1455. [Google Scholar] [CrossRef]
- Kulikovsky, A.A. Semi-analytical 1D+1D model of a polymer electrolyte fuel cell. Electrochem. Commun. 2004, 6, 969–977. [Google Scholar] [CrossRef]
- Yin, J.H.; Cao, J. Modeling of Pem Fuel Cells with Finite-Thickness Catalysts. Mod. Phys. Lett. B Condens. Matter Phys. Stat. Phys. Appl. Phys. 2009, 23, 537–540. [Google Scholar] [CrossRef]
- Chakraborty, U. Reversible and Irreversible Potentials and an Inaccuracy in Popular Models in the Fuel Cell Literature. Energies 2018, 11, 1851. [Google Scholar] [CrossRef]
- Liu, J.X.; Guo, H.; Ye, F.; Ma, C.F. Two-dimensional analytical model of a proton exchange membrane fuel cell. Energy 2017, 119, 299–308. [Google Scholar] [CrossRef]
- Baricci, A.; Casalegno, A. A novel (ex situ) method to quantify oxygen diffusion coefficient of polymer fuel cells backing and catalyst layers. J. Power Sources 2016, 325, 664–669. [Google Scholar] [CrossRef]
- O’Neil, K.; Meyers, J.P.; Darling, R.M.; Perry, M.L. Oxygen gain analysis for proton exchange membrane fuel cells. Int. J. Hydrogen Energy 2012, 37, 373–382. [Google Scholar] [CrossRef]
- Nonoyama, N.; Okazaki, S.; Weber, A.Z.; Ikogi, Y.; Yoshida, T. Analysis of Oxygen-Transport Diffusion Resistance in Proton-Exchange-Membrane Fuel Cells. J. Electrochem. Soc. 2011, 158, B416. [Google Scholar] [CrossRef]
- Wan, Z.; Liu, S.; Zhong, Q.; Jin, A.; Pan, M. Mechanism of improving oxygen transport resistance of polytetrafluoroethylene in catalyst layer for polymer electrolyte fuel cells. Int. J. Hydrogen Energy 2018, 43, 7456–7464. [Google Scholar] [CrossRef]
- Epting, W.K.; Litster, S. Effects of an agglomerate size distribution on the PEFC agglomerate model. Int. J. Hydrogen Energy 2012, 37, 8505–8511. [Google Scholar] [CrossRef]
- Li, S.; Yuan, J.; Xie, G.; Sundén, B. Effects of agglomerate model parameters on transport characterization and performance of PEM fuel cells. Int. J. Hydrogen Energy 2018, 43, 8451–8463. [Google Scholar] [CrossRef]
- Reshetenko, T.V.; St-Pierre, J. Separation Method for Oxygen Mass Transport Coefficient in Gas and Ionomer Phases in PEMFC GDE. J. Electrochem. Soc. 2014, 161, F1089–F1100. [Google Scholar] [CrossRef]
- Spingler, F.B.; Phillips, A.; Schuler, T.; Tucker, M.C.; Weber, A.Z. Investigating fuel-cell transport limitations using hydrogen limiting current. Int. J. Hydrogen Energy 2017, 42, 13960–13969. [Google Scholar] [CrossRef]
- Vijay Babu, A.R.; Manoj Kumar, P.; Srinivasa Rao, G. Parametric study of the proton exchange membrane fuel cell for investigation of enhanced performance used in fuel cell vehicles. Alex. Eng. J. 2018, 57, 3953–3958. [Google Scholar] [CrossRef]
- Correa, J.M.; Farret, F.A.; Popov, V.A.; Simoes, M.G. Sensitivity Analysis of the Modeling Parameters Used in Simulation of Proton Exchange Membrane Fuel Cells. IEEE Trans. Energy Conver 2005, 20, 211–218. [Google Scholar] [CrossRef]
- Ozen, D.N.; Timurkutluk, B.; Altinisik, K. Effects of operation temperature and reactant gas humidity levels on performance of PEM fuel cells. Renew. Sustain. Energy Rev. 2016, 59, 1298–1306. [Google Scholar] [CrossRef]
- Ettihir, K.; Higuita Cano, M.; Boulon, L.; Agbossou, K. Design of an adaptive EMS for fuel cell vehicles. Int. J. Hydrogen Energ. 2017, 42, 1481–1489. [Google Scholar] [CrossRef]
- Kandidayeni, M.; Macias, A.; Amamou, A.A.; Boulon, L.; Kelouwani, S. Comparative Analysis of Two Online Identification Algorithms in a Fuel Cell System. Fuel Cells 2018, 18, 347–358. [Google Scholar] [CrossRef]
- Kandidayeni, M.; Macias, A.; Amamou, A.A.; Boulon, L.; Kelouwani, S.; Chaoui, H. Overview and benchmark analysis of fuel cell parameters estimation for energy management purposes. J. Power Sources 2018, 380, 92–104. [Google Scholar] [CrossRef]
- Ye, M.; Wang, X.; Xu, Y. Parameter identification for proton exchange membrane fuel cell model using particle swarm optimization. Int. J. Hydrogen Energy 2009, 34, 981–989. [Google Scholar] [CrossRef]
- Riascos, L.A.M.; Pereira, D.D. Limit Operating Temperature in Polymer Electrolyte Membrane Fuel Cells. J. Electrochem. Soc. 2009, 156, B1051. [Google Scholar] [CrossRef]
- Myles, T.D.; Kim, S.; Maric, R.; Mustain, W.E. Application of a Coated Film Catalyst Layer Model to a High Temperature Polymer Electrolyte Membrane Fuel Cell with Low Catalyst Loading Produced by Reactive Spray Deposition Technology. Catalysts 2015, 5, 1673–1691. [Google Scholar] [CrossRef]
- He, P.; Mu, Y.; Park, J.W.; Tao, W. Modeling of the effects of cathode catalyst layer design parameters on performance of polymer electrolyte membrane fuel cell. Appl. Energy 2020, 277, 115555. [Google Scholar] [CrossRef]
- Freiberg, A.T.S.; Tucker, M.C.; Weber, A.Z. Polarization loss correction derived from hydrogen localresistance measurement in low Pt-loaded polymer-electrolyte fuel cells. Electrochem. Commun. 2017, 79, 14–17. [Google Scholar] [CrossRef]
- Kudo, K.; Jinnouchi, R.; Morimoto, Y. Humidity and Temperature Dependences of Oxygen Transport Resistance of Nafion Thin Film on Platinum Electrode. Electrochim. Acta 2016, 209, 682–690. [Google Scholar] [CrossRef]
- Shukla, S.; Stanier, D.; Saha, M.S.; Stumper, J.; Secanell, M. Analysis of Inkjet Printed PEFC Electrodes with Varying Platinum Loading. J. Electrochem. Soc. 2016, 163, F677–F687. [Google Scholar] [CrossRef]
- Hao, L.; Moriyama, K.; Gu, W.; Wang, C. Modeling and Experimental Validation of Pt Loading and Electrode Composition Effects in PEM Fuel Cells. J. Electrochem. Soc. 2015, 162, F854–F867. [Google Scholar] [CrossRef]
- Hou, Y.; Deng, H.; Pan, F.; Chen, W.; Du, Q.; Jiao, K. Pore-scale investigation of catalyst layer ingredient and structure effect in proton exchange membrane fuel cell. Appl. Energy 2019, 253, 113561. [Google Scholar] [CrossRef]
- Gao, Y.; Zhang, X. Geometrical structures of catalyst layer and their impact on oxygen reduction in proton exchange membrane fuel cell. Electrochim. Acta 2016, 218, 101–109. [Google Scholar] [CrossRef]
- Inoue, G.; Kawase, M. Effect of porous structure of catalyst layer on effective oxygen diffusion coefficient in polymer electrolyte fuel cell. J. Power Sources 2016, 327, 1–10. [Google Scholar] [CrossRef]
- Zhang, X.; Gao, Y. Impact of liquid water on oxygen reaction in cathode catalyst layer of proton exchange membrane fuel cell: A simple and physically sound model. J. Power Sources 2016, 318, 251–263. [Google Scholar] [CrossRef]
- Zhang, X.; Gao, Y.; Ostadi, H.; Jiang, K.; Chen, R. Method to improve catalyst layer model for modeling proton exchange membrane fuel cell. J. Power Sources 2015, 289, 114–128. [Google Scholar] [CrossRef]
- Zhang, X.; Ostadi, H.; Jiang, K.; Chen, R. Reliability of the spherical agglomerate models for catalyst layer in polymer electrolyte membrane fuel cells. Electrochim. Acta 2014, 133, 475–483. [Google Scholar] [CrossRef][Green Version]
- Yan, S.; Yang, M.; Sun, C.; Xu, S. Liquid Water Characteristics in the Compressed Gradient Porosity Gas Diffusion Layer of Proton Exchange Membrane Fuel Cells Using the Lattice Boltzmann Method. Energies 2023, 16, 6010. [Google Scholar] [CrossRef]
- Striednig, M.; Cochet, M.; Boillat, P.; Schmidt, T.J.; Büchi, F.N. A model based investigation of evaporative cooling for polymer electrolyte fuel cells—Stack level analysis. J. Power Sources 2022, 517, 230706. [Google Scholar] [CrossRef]
- Zihrul, P.; Hartung, I.; Kirsch, S.; Huebner, G.; Hasché, F.; Gasteiger, H.A. Voltage Cycling Induced Losses in Electrochemically Active Surface Area and in H2/Air-Performance of PEM Fuel Cells. J. Electrochem. Soc. 2016, 163, F492–F498. [Google Scholar] [CrossRef]
- Baker, D.R.; Caulk, D.A.; Neyerlin, K.C.; Murphy, M.W. Measurement of Oxygen Transport Resistance in PEM Fuel Cells by Limiting Current Methods. J. Electrochem. Soc. 2009, 156, B991. [Google Scholar] [CrossRef]
- Schuler, T.; Chowdhury, A.; Freiberg, A.T.; Sneed, B.; Spingler, F.B.; Tucker, M.C.; More, K.L.; Radke, C.J.; Weber, A.Z. Fuel-Cell Catalyst-Layer Resistance via Hydrogen Limiting-Current Measurements. J. Electrochem. Soc. 2019, 166, F3020–F3031. [Google Scholar] [CrossRef]
- Beuscher, U. Experimental Method to Determine the Mass Transport Resistance of a Polymer Electrolyte Fuel Cell. J. Electrochem. Soc. 2006, 153, A1788. [Google Scholar] [CrossRef]








| Transport Resistance | Temperature Sensitivity |
|---|---|
Disclaimer/Publisher’s Note: The statements, opinions and data contained in all publications are solely those of the individual author(s) and contributor(s) and not of MDPI and/or the editor(s). MDPI and/or the editor(s) disclaim responsibility for any injury to people or property resulting from any ideas, methods, instructions or products referred to in the content. |
© 2024 by the authors. Licensee MDPI, Basel, Switzerland. This article is an open access article distributed under the terms and conditions of the Creative Commons Attribution (CC BY) license (https://creativecommons.org/licenses/by/4.0/).
Share and Cite
Teng, T.; Zhang, X.; Xue, Q.; Zhang, B. Research of Proton Exchange Membrane Fuel Cell Modeling on Concentration Polarization under Variable-Temperature Operating Conditions. Energies 2024, 17, 730. https://doi.org/10.3390/en17030730
Teng T, Zhang X, Xue Q, Zhang B. Research of Proton Exchange Membrane Fuel Cell Modeling on Concentration Polarization under Variable-Temperature Operating Conditions. Energies. 2024; 17(3):730. https://doi.org/10.3390/en17030730
Chicago/Turabian StyleTeng, Teng, Xin Zhang, Qicheng Xue, and Baodi Zhang. 2024. "Research of Proton Exchange Membrane Fuel Cell Modeling on Concentration Polarization under Variable-Temperature Operating Conditions" Energies 17, no. 3: 730. https://doi.org/10.3390/en17030730
APA StyleTeng, T., Zhang, X., Xue, Q., & Zhang, B. (2024). Research of Proton Exchange Membrane Fuel Cell Modeling on Concentration Polarization under Variable-Temperature Operating Conditions. Energies, 17(3), 730. https://doi.org/10.3390/en17030730

