Power Generation Mix Optimization under Auction Mechanism for Carbon Emission Rights
Abstract
1. Introduction
2. Literature Review
3. Methodology
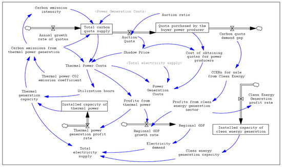
3.1. System Dynamics Model
3.2. Multi-Objective Linear Programming
- (1)
- Objective function
- (2)
- Constraint conditions
4. Data and Empirical Results
4.1. Data Collection
- (1)
- Through the sensitivity analysis, the Output results of the simulation model of the electric carbon industry based on the carbon quota auction ratio passed the test and proved the accuracy, and the simulation values of some of the variables could not be compared with the historical values, so the data results from similar studies were chosen to compare with the simulation values. By comparing with existing studies [24,31], it is found that the simulation results of the model on the shadow price of carbon allowances are reasonable under different auction ratios. The shadow prices of carbon allowances under different auction ratios are shown below (Figure 5). Comparing with similar studies and the transaction prices under the carbon allowances auction ratio at 60% in EUETS, it can be observed that the pricing model constructed in this study exhibits higher accuracy and smaller deviation in terms of the auction transaction prices in established carbon markets (Figure 6). There are many methods for model sensitivity analysis, and this research mainly adopts the methods of scene analysis and historical data comparison. As shown in Figure 7 and Figure 8, we selected three variables from the model and conducted an error analysis on these three variables. These three variables are the shadow prices of carbon allowances under different auction ratios, the total electricity supply, and carbon emissions from thermal power generation, respectively. We observed the absolute errors between the simulated values and the actual values of these variables from 2013 to 2021, further validating the effectiveness of the model. By comparison, the maximum absolute errors for these three key variables are all within 5% to 10%, falling within an acceptable range. This verifies the sensitivity of the model to past events and indicates the reliability and credibility of the simulation results of the carbon emission rights pricing model.
- (2)
- (3)
- Other data that were used in the study, including basic operating costs, power generation subsidies, and carbon emission coefficients, are shown in Table 3. The basic operating costs include depreciation expenses, operating costs, and daily operating expenses, of which the depreciation expenses are measured using the straight-line depreciation method, and the daily operating expenses mainly include fuel costs and labor costs. The data on power generation subsidy refer to the benchmark on-grid tariff published on the government website. The data on average carbon price is obtained from Polaris Power Network.
- (4)
- The environmental cost is measured by Equation (5) and presented in Figure 9. It can be found that the environmental cost of thermal power generation and outsourced electricity increases the most as the auction ratio grows, while the maximum environmental cost of other energy generation technologies does not exceed 0.1 Yuan/kWh.
4.2. Empirical Results
- (1)
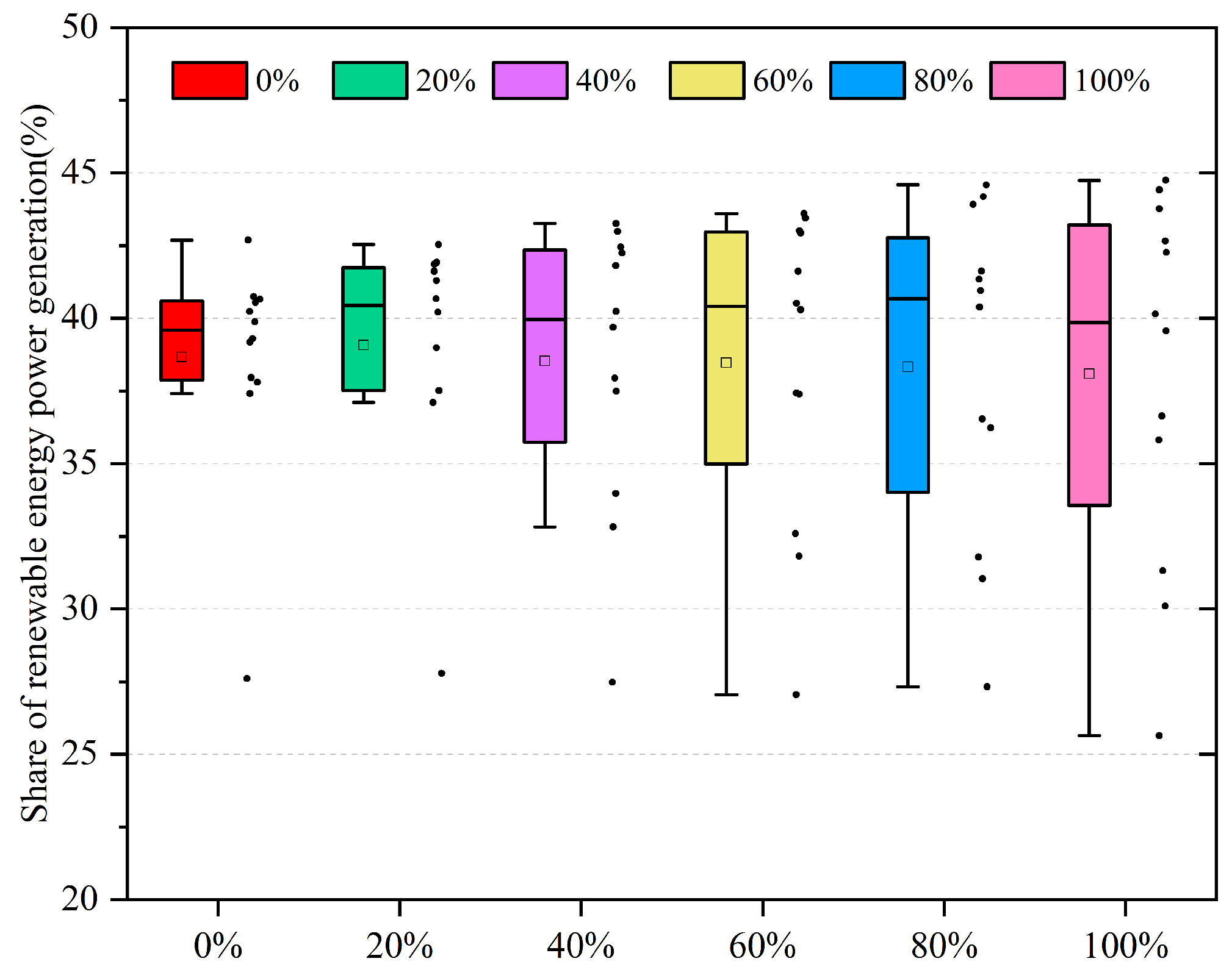
- Optimization results of the power generation mix
- (2)
- Results of cost indicators
5. Conclusion and Policy Implication
5.1. Discussion
5.2. Conclusions
5.3. Policy Implication
Author Contributions
Funding
Data Availability Statement
Conflicts of Interest
References
- Gao, J. Research on the Forecast and Optimization of Power Supply Structure in Jiangsu Considering Renewable Energy Power. Master’s Thesis, China University of Mining and Technology, Beijing, China, 2019. [Google Scholar]
- Udara Willhelm Abeydeera, L.H.; Wadu Mesthrige, J.; Samarasinghalage, T.I. Global Research on Carbon Emissions: A Scientometric Review. Sustainability 2019, 11, 3972. [Google Scholar] [CrossRef]
- Wu, F. Analysis and optimization of power supply structure in Guangdong in the 14th Five-Year Plan. China Energy 2021, 43, 64–73. [Google Scholar] [CrossRef]
- Cai, J.; Zheng, H.; Vardanyan, M.; Shen, Z. Achieving carbon neutrality through green technological progress: Evidence from China. Energy Policy 2023, 173, 113397. [Google Scholar] [CrossRef]
- Zhang, S.; Zhao, T.; Xie, B.-C. What is the optimal power generation mix of China? An empirical analysis using portfolio theory. Appl. Energy 2018, 229, 522–536. [Google Scholar] [CrossRef]
- Miao, Y. Research on Optimization System of Carbon Abatement Costs in Guangdong Province under Paid Allowance. Master’s Thesis, North China Electric Power University, Beijing, China, 2019. [Google Scholar]
- Li, Z.; Wu, L.; Xu, Y.; Wang, L.; Yang, N. Distributed tri-layer risk-averse stochastic game approach for energy trading among multi-energy microgrids. Appl. Energy 2023, 331, 120282. [Google Scholar] [CrossRef]
- Ao, Z.; Fei, R.; Jiang, H.; Cui, L.; Zhu, Y. How can China achieve its goal of peaking carbon emissions at minimal cost? A research perspective from shadow price and optimal allocation of carbon emissions. J. Environ. Manag. 2023, 325, 116458. [Google Scholar] [CrossRef] [PubMed]
- Zhao, J.J.; Gan, Y.H.; Ma, X.Q.; Yang, Z.L. The cost of electric power generation in Guangdong Province. Energy Sources Part B Econ. Plan. Policy 2016, 11, 1014–1019. [Google Scholar] [CrossRef]
- Jin, J.; Zhou, P.; Li, C.; Guo, X.; Zhang, M. Low-carbon power dispatch with wind power based on carbon trading mechanism. Energy 2019, 170, 250–260. [Google Scholar] [CrossRef]
- Latif, S.N.A.; Chiong, M.S.; Rajoo, S.; Takada, A.; Chun, Y.-Y.; Tahara, K.; Ikegami, Y. The Trend and Status of Energy Resources and Greenhouse Gas Emissions in the Malaysia Power Generation Mix. Energies 2021, 14, 2200. [Google Scholar] [CrossRef]
- Chen, H.; Tang, B.-J.; Liao, H.; Wei, Y.-M. A multi-period power generation planning model incorporating the non-carbon external costs: A case study of China. Appl. Energy 2016, 183, 1333–1345. [Google Scholar] [CrossRef]
- Cai, W.; Wang, C.; Wang, K.; Zhang, Y.; Chen, J. Scenario analysis on CO2 emissions reduction potential in China’s electricity sector. Energy Policy 2007, 35, 6445–6456. [Google Scholar] [CrossRef]
- Cheng, R.; Xu, Z.; Liu, P.; Wang, Z.; Li, Z.; Jones, I. A multi-region optimization planning model for China’s power sector. Appl. Energy 2015, 137, 413–426. [Google Scholar] [CrossRef]
- Chen, Y.; Xu, X. Research Report on Carbon Trading Pilot in Seven Provinces and Cities of China. Mod. Bus. 2016, 53–54, preprint. [Google Scholar] [CrossRef]
- Wang, H.; Feng, T.; Zhong, C. Effectiveness of CO2 cost pass-through to electricity prices under “electricity-carbon” market coupling in China. Energy 2023, 266, 126387. [Google Scholar] [CrossRef]
- Zhou, X.; Fan, L.W.; Zhou, P. Marginal CO2 abatement costs: Findings from alternative shadow price estimates for Shanghai industrial sectors. Energy Policy 2015, 77, 109–117. [Google Scholar] [CrossRef]
- Lee, J.-D.; Park, J.-B.; Kim, T.-Y. Estimation of the shadow prices of pollutants with production/environment inefficiency taken into account: A nonparametric directional distance function approach. J. Environ. Manag. 2002, 64, 365–375. [Google Scholar] [CrossRef] [PubMed]
- Sun, B. A multi-objective optimization model for fast electric vehicle charging stations with wind, PV power and energy storage. J. Clean. Prod. 2021, 288, 125564. [Google Scholar] [CrossRef]
- Stringer, T.; Joanis, M.; Abdoli, S. Power generation mix and electricity price. Renew. Energy 2024, 221, 119761. [Google Scholar] [CrossRef]
- Matsuo, Y.; Endo, S.; Nagatomi, Y.; Shibata, Y.; Komiyama, R.; Fujii, Y. A quantitative analysis of Japan’s optimal power generation mix in 2050 and the role of CO2-free hydrogen. Energy 2018, 165, 1200–1219. [Google Scholar] [CrossRef]
- Niknam, T.; Firouzi, B.B.; Mojarrad, H.D. A new evolutionary algorithm for non-linear economic dispatch. Expert Syst. Appl. 2011, 38, 13301–13309. [Google Scholar] [CrossRef]
- Xu, X.; Niu, D.; Qiu, J.; Wang, P.; Chen, Y. Analysis and Optimization of Power Supply Structure Based on Markov Chain and Error Optimization for Renewable Energy from the Perspective of Sustainability. Sustainability 2016, 8, 634. [Google Scholar] [CrossRef]
- Zhao, E.-D.; Song, J.-C.; Chen, J.-M.; Liu, L.-W.; Chen, M.-S. Will auctioning promote the renewable energy generation in China? Adv. Clim. Chang. Res. 2022, 13, 107–117. [Google Scholar] [CrossRef]
- Hsiao, C.-T.; Liu, C.-S.; Chang, D.-S.; Chen, C.-C. Dynamic modeling of the policy effect and development of electric power systems: A case in Taiwan. Energy Policy 2018, 122, 377–387. [Google Scholar] [CrossRef]
- Zhang, D.; Liu, P.; Ma, L.; Li, Z.; Ni, W. A Multi-Period Modelling and Optimization Approach to the Planning of China’s Power Sector with Consideration of Carbon Dioxide Mitigation. Comput. Chem. Eng. 2012, 37, 227–247. [Google Scholar] [CrossRef]
- Yu, S.; Zhou, S.; Zheng, S.; Li, Z.; Liu, L. Developing an Optimal Renewable Electricity Generation Mix for China Using a Fuzzy Multi-Objective Approach. Renew. Energy 2019, 139, 1086–1098. [Google Scholar] [CrossRef]
- Yu, X.; Chen, Z.; Liu, Y. Research on Power Grid Development Strategy in Pearl River Delta Region. South. Power Syst. Technol. 2010, 4, 37–39. [Google Scholar] [CrossRef]
- Wei, Y.; Ye, Q.; Ding, Y.; Ai, B.; Tan, Q.; Song, W. Optimization model of a thermal-solar-wind power planning considering economic and social benefits. Energy 2021, 222, 119752. [Google Scholar] [CrossRef]
- Zhang, Y.; Wang, J.; Zhang, L.; Liu, J.; Zheng, H.; Fang, J.; Hou, S.; Chen, S. Optimization of China’s electric power sector targeting water stress and carbon emissions. Appl. Energy 2020, 271, 115221. [Google Scholar] [CrossRef]
- Liu, L.; Sun, X.; Chen, C.; Zhao, E. How will auctioning impact on the carbon emission abatement cost of electric power generation sector in China? Appl. Energy 2016, 168, 594–609. [Google Scholar] [CrossRef]
- Fang, Y. An analysis of the estimation of environmental value criteria for emission reduction of pollutants in thermal power generation industry. Technol. Innov. 2017, 41, preprint. [Google Scholar] [CrossRef]
- Li, Z.; Fang, T.; Chen, C. Research on Environmental Cost from the Perspective of Coal-Fired Power Plant. Pol. J. Environ. Stud. 2021, 30, 1695–1705. [Google Scholar] [CrossRef]
- Song, H.; Qu, H.; Zhang, Z.; Wang, Z. Analyzing Carbon Emissions from Nuclear Power Generation from a Life Cycle Perspective. In China Nuclear Science and Technology Progress Report (Volume II)—Proceedings of the 2011 Annual Academic Conference of the Chinese Nuclear Society, Volume 10 (Nuclear Intelligence (Including Computer Technology) Sub-Volume, Nuclear Technology Economics and Management Modernization Sub-Volume); China Nuclear Society: Beijing, China, 2011; Volume 2, pp. 233–239. [Google Scholar]
- Fan, J.; Sun, J.; Zhao, R. Carbon Emission and Carbon Circulation Map of China’s Coal Industry in the Whole Life Cycle. Coal Econ. Res. 2017, 37, 34–37. [Google Scholar] [CrossRef]
- Jacobson, M.Z. Evaluation of Nuclear Power as a Proposed Solution to Global Warming, Air Pollution, and Energy Security; Cambridge University Press: Cambridge, UK, 2020. [Google Scholar]
- Wang, Y.; Sun, T. Life Cycle Assessment of CO2 Emissions from Wind Power Plants: Methodology and Case Studies. Renew. Energy 2012, 43, 30–36. [Google Scholar] [CrossRef]















| Index | Explanation |
|---|---|
| The set of electricity generation types; | |
| Every month from January to December; | |
| Carbon quota auction ratio; | |
| The set of pollutant types generated by power generation. | |
| Parameter | Explanation |
| CO2 emissions per unit of energy generated; | |
| Subsidized unit price for technology ; | |
| Unit output coefficient for technology ; | |
| 0–1 variables, indicates that no subsidy policy is considered for technology ; When , it means the opposite situation; | |
| Carbon emission intensity coefficient for technology during equipment operation; | |
| Regional grid average CO2 emission factor; | |
| Average emission factor of pollutant P generated by electricity generation for technology ; | |
| Plant electricity consumption rate of generator set for technology ; | |
| Line loss rate of generator set for technology ; | |
| Power reserve ratio; | |
| Minimum weighted responsibility for renewable energy power integration; | |
| Peak shaving depth of thermal power generators. | |
| Variable | Explanation |
| The amount of power generation by technology in month ; | |
| The outsourced electricity in month ; | |
| Total economic cost; | |
| Total generation cost of various power generation technologies; | |
| Total carbon abatement cost of various power generation technologies; | |
| Cost of atmospheric pollution emissions; | |
| Net cost of the outsourced electricity; | |
| Unit cost of electricity generation by technology in month ; | |
| Total subsidy of electricity generation for technology in month ; | |
| Basic operating costs for technology ; | |
| Environmental costs for technology in month ; | |
| Depreciation cost of thermal power generation units; | |
| Fuel cost of thermal power generation; | |
| Operation and maintenance costs of thermal power generation; | |
| The shadow price of carbon emissions when the carbon quota auction ratio is ; | |
| Average carbon price in carbon emission trading market in month ; | |
| Carbon emission quota allocated to thermal power units in month ; | |
| Environmental costs of pollutant ; | |
| Average transaction price of the outsourced electricity in month ; | |
| Average transaction price of the exported electricity in month ; | |
| The exported electricity in month ; | |
| Total social electricity demand in month ; | |
| Maximum electricity load demand in month ; | |
| Peak-to-valley difference of grid load; | |
| Exported electricity load; | |
| Available installed capacity; | |
| Output power fluctuation range; | |
| Grid load peak-to-valley difference; | |
| The proportion of the -th energy generation in the t-th month to the annual generation; | |
| Non-fossil energy generation as a percentage of total electricity generation; | |
| Non-hydro renewable energy generation as a percentage of total electricity generation; | |
| Carbon emissions from the power generation sector; | |
| Carbon emission cap for the power generation sector; | |
| Historical average installed capacity; | |
| Minimum utilization hours for technology in month ; | |
| Maximum utilization hours for technology in month ; | |
| Historical average installed capacity of the outsourced electricity; | |
| Minimum utilization hours for the outsourced electricity in month ; | |
| Maximum utilization hours for the outsourced electricity in month . |
| Pollutants | Unit | ||||
|---|---|---|---|---|---|
| Average emission factor for thermal power generation | g/kWh | 1.65 | 6.36 | 0.5 | 1.06 |
| Average emission factor for biomass power generation | g/kWh | 0.357 | 0.742 | / | 0.103 |
| Environmental costs | Yuan/kg | 6 | 8 | 2.2 | 0.12 |
| Power Generation Technology | Useful Life (Year) | The Basic Operating Costs (Yuan/kWh) | Power Generation Subsidy (Yuan/kWh) | Carbon Emission Coefficients (g/kWh) |
|---|---|---|---|---|
| Thermal | 25 | 0.3363 | 0 | 822 |
| Hydro | 50 | 0.0966 | 0 | 20 |
| Wind | 20 | 0.4150 | 0.192 | 13 |
| Nuclear | 45 | 0.3420 | 0 | 66 |
| Solar | 30 | 0.7000 | 0.1377 | 45 |
| Biomass | 25 | 0.4648 | 0.1795 | 35 |
Disclaimer/Publisher’s Note: The statements, opinions and data contained in all publications are solely those of the individual author(s) and contributor(s) and not of MDPI and/or the editor(s). MDPI and/or the editor(s) disclaim responsibility for any injury to people or property resulting from any ideas, methods, instructions or products referred to in the content. |
© 2024 by the authors. Licensee MDPI, Basel, Switzerland. This article is an open access article distributed under the terms and conditions of the Creative Commons Attribution (CC BY) license (https://creativecommons.org/licenses/by/4.0/).
Share and Cite
Zhao, E.; Chen, J.; Lan, J.; Liu, L. Power Generation Mix Optimization under Auction Mechanism for Carbon Emission Rights. Energies 2024, 17, 617. https://doi.org/10.3390/en17030617
Zhao E, Chen J, Lan J, Liu L. Power Generation Mix Optimization under Auction Mechanism for Carbon Emission Rights. Energies. 2024; 17(3):617. https://doi.org/10.3390/en17030617
Chicago/Turabian StyleZhao, Erdong, Jianmin Chen, Junmei Lan, and Liwei Liu. 2024. "Power Generation Mix Optimization under Auction Mechanism for Carbon Emission Rights" Energies 17, no. 3: 617. https://doi.org/10.3390/en17030617
APA StyleZhao, E., Chen, J., Lan, J., & Liu, L. (2024). Power Generation Mix Optimization under Auction Mechanism for Carbon Emission Rights. Energies, 17(3), 617. https://doi.org/10.3390/en17030617
