Abstract
Aiming at the load fluctuation problem caused by a high proportion of new energy grid connections, a reactive power optimization method based on deep reinforcement learning (DRL) considering topological characteristics is proposed. The proposed method transforms the reactive power optimization problem into a Markov decision process and models and solves it through the deep reinforcement learning framework. The Dueling Double Deep Q-Network (D3QN) algorithm is adopted to improve the accuracy and efficiency of calculation. Aiming at the problem that deep reinforcement learning algorithms are difficult to simulate the topological characteristics of power flow, the Graph Convolutional Dueling Double Deep Q-Network (GCD3QN) algorithm is proposed. The graph convolutional neural network (GCN) is integrated into the D3QN model, and the information aggregation of topological nodes is realized through the graph convolution operator, which solves the calculation problem of deep learning algorithms in non-European space and improves the accuracy of reactive power optimization. The IEEE standard node system is used for simulation analysis, and the effectiveness of the proposed method is verified.
1. Introduction
In recent years, the high penetration of renewable energy into the grid has significantly increased the uncertainty factors within power systems, drastically raising the difficulty of reactive power optimization and posing enormous challenges. Traditional reactive power optimization methods urgently require updates.
Reactive power optimization methods in power systems aim to determine the reactive power output required from various reactive power compensation devices to minimize voltage deviation and maximize the economic efficiency of the power grid, all while ensuring a safe power supply [1]. Existing studies primarily adopt classical mathematical optimization methods [2,3,4] and intelligent optimization approaches. Classical mathematical optimization methods include Newton’s method [5], quadratic programming [6], and interior-point methods, among others. Although these methods can yield results, they are computationally complex, involve significant computational workloads, and naturally require long processing times. Furthermore, these methods rely on relatively precise mathematical models for calculation.
To address the above issues, numerous studies have adopted artificial intelligence algorithms to replace classical mathematical optimization methods. Artificial intelligence algorithms include Genetic Algorithms (GA) [7,8], Particle Swarm Optimization (PSO) [9,10], Ant Colony Optimization, and others. These methods eliminate the need for precise mathematical models during computation, but the problem of long computation times remains inadequately resolved. The performance of artificial intelligence algorithms heavily depends on the selection of their initial values; unreasonable initial values can easily result in excessively long computation times or lead the results into local optima [11,12].
However, with the continuous development of artificial intelligence, deep learning and reinforcement learning have drawn the attention of researchers. Scholars across various fields have begun applying deep reinforcement learning to their respective studies. In the power grid domain, deep reinforcement learning is primarily used in areas such as load forecasting, microgrid research, and renewable energy prediction [13,14,15,16].
Reference [17] proposes a distributed deep reinforcement learning method (DDRLA) based on the actor–critic (AC) model, which optimizes the reactive power in distribution networks with distributed generation sources such as photovoltaic and wind power while ensuring voltage stability. This method allows real-time optimization of distribution network resource scheduling, minimizing reactive power and network losses.
Reference [18] introduces a dynamic reactive power optimization framework for the energy internet, based on multi-agent deep reinforcement learning (DRL) and Graph Attention Network (GAT). This framework combines high-frequency PMU data with low-frequency SCADA data, uses the Graph Attention Network to extract features, and employs multi-agent DRL to coordinate reactive power compensation devices, ensuring voltage stability.
Reference [19] proposes a two-time-scale hybrid voltage control strategy. At the slow time scale, mixed-integer second-order cone programming is used to optimize the active and reactive power of capacitor banks, voltage regulators, and energy storage systems. At the fast time scale, an experience-enhanced multi-agent actor–critic (EA-MAAC) algorithm is used to coordinate the power of photovoltaic inverters and charging piles to mitigate short-term voltage fluctuations. The strategy is validated on IEEE test distribution lines, showing high sample efficiency, robustness, and effectiveness.
Reference [20] proposes a reinforcement learning-based voltage regulation framework for distributed photovoltaic grids that does not require communication, enabling a fully decentralized strategy. By jointly controlling active and reactive power, it maximizes solar power generation while significantly improving the voltage profile.
To address voltage fluctuation issues in the grid, Reference [21] introduces a two-time-scale voltage regulation scheme. At the fast time scale, optimization algorithms are used to control smart inverters; at the slow time scale, deep reinforcement learning is used to configure parallel capacitors, which is validated in real-world power grids.
2. Mathematical Model for Reactive Power Optimization in Power Grids
2.1. Objective Function
The objective of reactive power optimization in power grids is to minimize active power losses while ensuring voltage stability.
The objective function for reactive power optimization in power grids is defined as follows:
where represents the number of command cycles within one day and represents the normalized active power network loss at the i-th time point, as shown in the following formula:
where represents the number of system nodes; represents the branch admittance between node and ; and the voltages and at nodes and at the i-th time point are represented by their respective voltage magnitudes. represents the voltage phase angle difference between nodes and at the i-th time point.
2.2. Constraints
The equality constraints are the power flow constraints, which satisfy the power system flow equations. The inequality constraints are the variable constraints, mainly including the upper and lower limits of generator active and reactive power output; the safe operating limits of node voltages; the adjustment range of transformer tap changers; and the upper and lower limits of reactive power compensation device capacity.
where and represent the active and reactive power output of the power source at node , respectively; and represent the active and reactive power demand at node , respectively; represents the reactive power compensation at node ; and represent the conductance and admittance between nodes and , respectively; , , and , represent the active power output of the generator and its upper and lower limits, respectively; , , and , represent the reactive power output of the generator and its upper and lower limits, respectively; , , and represent the voltage at the load node and its upper and lower limits, respectively; , , and represent the tap position of the transformer and its upper and lower limits, respectively; and , , and represent the reactive power compensation capacity and its upper and lower limits, respectively.
3. Graph Convolutional—Dueling Double Deep Q-Network Algorithm
3.1. Double DQN Algorithm
As shown in Figure 1, Double DQN consists of two identical neural network models: the evaluation network and the target network. However, their weight parameters differ. The weight parameters of the evaluation network are updated continuously in real-time, whereas the weight parameters of the target network are updated periodically. At regular intervals, the target network copies the weight parameters from the evaluation network.
Figure 1.
Algorithm structure of double DQN.
The evaluation network is used to estimate the of taking action in the current state , while the target network is used to estimate the of the resulting state after taking action . This combination significantly slows down the fluctuation of the estimated compared to the true value.
Additionally, the DQN framework incorporates a replay buffer, allowing offline learning from past experiences. The loss function of the model is defined as the mean squared error (MSE), and gradient descent is used for backpropagation to update the evaluation network’s parameters. After sampling from the replay buffer for several iterations, the weight parameters of the evaluation network are transferred to the target network. This process enables Double DQN to learn autonomously.
In DQN, there is only a single neural network model, which can sometimes lead to overestimated Q-values. This occurs because the DQN model, during learning, defaults to selecting the optimal action based on the current policy. However, this action is not always the actual action ultimately chosen, and there may be slight discrepancies. These small discrepancies can lead to overestimated Q-values. Double DQN is designed to address this issue.
The final representation of the target value in the Double DQN algorithm is as follows:
where and represent the network parameters of the evaluation network and the target network, respectively; is the reward function; is the discount factor; is the value estimated by the evaluation network; and is the value estimated by the target network.
3.2. Dueling DQN Algorithm
Dueling DQN introduces the advantage function on top of the standard DQN. This function enables the independent estimation of the Q-value of a state without considering specific actions.
In DQN, to estimate the Q-value of a state accurately, it is necessary to collect data for all discrete actions associated with that state. However, for some states, the Q-value does not vary significantly—or is not affected at all—by different discrete actions. In such cases, Dueling DQN requires data for only one discrete action to provide an accurate estimation. When such states are prevalent, Dueling DQN achieves a learning efficiency far superior to that of DQN.
In simple terms, Dueling DQN separates the learning of state and action, resulting in more precise and efficient learning. The network structure of Dueling DQN is shown in Figure 2. The upper network represents the traditional DQN, while the lower network represents the Dueling DQN. The key difference between the two is that the Dueling DQN has intermediate hidden layers that separately output the value function (V) and the advantage function (A).
Figure 2.
Algorithm structure of dueling DQN.
In the Dueling DQN algorithm, the Q-value corresponding to each action is
where represents the current state; represents the selected action; represents the shared network parameters of the two functions; represents the network parameters of the advantage function; represents the network parameters of the value function; represents the value function; and represents the advantage function for the selected action in the given state.
3.3. Dueling Double DQN Algorithm
The Dueling Double Deep Q Network (D3QN) algorithm combines the advantages of the two previously mentioned algorithms and improves upon their limitations. D3QN enhances the learning efficiency by not only comparing the Q-values of the evaluation and target networks to achieve more accurate Q-value estimates but also analyzing both the state and the action, thereby reducing their interdependence.
In the D3QN algorithm, the Q-value corresponding to each action is
The final representation of the target value in the D3QN algorithm is as follows:
The parameters have all been defined earlier in the text.
3.4. Graph Convolutional—Dueling Double Deep Q-Network Algorithm
The algorithms introduced earlier in this section are currently mainstream deep reinforcement learning algorithms. Through various tests, these algorithms have been shown to have the ability to solve problems quickly and accurately. They are well-suited for addressing uncertain decision-making control issues and can be applied to the reactive power optimization problem in power grids, which is full of uncertainties after the integration of renewable energy. However, considering the indispensable topological characteristics of power grids, these mainstream deep reinforcement learning algorithms can still be further improved and optimized when used to solve the reactive power optimization problem in power grids.
Compared to more common deep reinforcement learning algorithms that combine Convolutional Neural Networks (CNN) with traditional Q-learning in RL, the Graph Convolutional Dueling Double DQN (GCD3QN) algorithm proposed in this paper combines Graph Convolutional Networks (GCN) with the D3QN algorithm. It uses GCN to account for the topology of the power grid, making the optimization results more rational and the optimization effect better.
As shown in Figure 3, Figure 4 and Figure 5, by replacing the evaluation network model and target network model in the Double DQN algorithm with the improved Dueling DQN algorithm’s model structure, the GCD3QN algorithm’s model and training process are obtained. Replacing CNN with GCN addresses the shortcomings of DQN-related algorithms in processing power grid information with topological structures, thereby improving the optimization results while maintaining a certain level of computational efficiency.
Figure 3.
Model structure of DQN.
Figure 4.
Convolution diagram.
Figure 5.
Model structure of GCD3QN.
4. Deep Reinforcement Learning Modeling and Optimization Process for Reactive Power Optimization in Power Grids Based on the GCD3QN Algorithm
4.1. Markov Decision Process (MDP)
Although an accurate model can provide more precise results for reactive power optimization in power grids, the operation of the grid is filled with uncertainties, such as the continuous changes in load demand driven by the construction of large factories, as well as the randomness of power generation after the integration of renewable energy. These factors make it difficult to achieve the goal of constructing a highly accurate model. Reinforcement learning has a strong ability to address uncertainty problems, so reinforcement learning methods, using the Markov Decision Process (MDP), can be applied to solve the reactive power optimization problem.
For any MDP problem, it can be described by a tuple , where is the finite set of states and is the state of the agent at time ; is the finite set of actions and is the action taken by the agent at time ; is the state transition probability; is the reward function; and is the discount factor, where .
4.2. Deep Reinforcement Learning Model
When using deep reinforcement learning for reactive power optimization in a power grid, the process begins with the scheduling center extracting the current snapshot of the power system and analyzing its real-time state. Then, based on the available action space, the corresponding actions are taken by the power system. After the action is completed, the power system reaches a new state. At the same time, the reward is calculated by evaluating the current state and the action taken, which is then provided to the scheduling center for reference. This process is repeated in a loop, continuously learning and optimizing, as shown in Figure 6.
Figure 6.
Reactive power optimization Deep Reinforcement Learning Model.
4.2.1. State Space
The state space of the MDP model includes generator output, load demand, voltage magnitude, equipment switching status, and power grid topology information, as follows:
where and represent the active and reactive power output of the conventional generator at time , respectively; and represent the active and reactive power output of the wind turbine at time , respectively; and represent the active and reactive power output of the photovoltaic generation unit at time , respectively; and represent the active and reactive power demand of the load at time , respectively; represents the voltage magnitude at time ; represents the transformer tap position at time ; represents the reactive power compensation capacity at time ; and represents the power grid topology information at time .
4.2.2. Action Space
The action space AAA includes the control strategies for all continuous and discrete adjustment devices in the system
4.2.3. Reward Function
The objective function of the reward function is
where is the reward at time ; is the line loss of the system at time ; is the sensitivity coefficient, used to prevent large fluctuations in the reward function that could cause difficulty in converging the optimal action value function; is the penalty value for voltage violations; and is the indicator function, where I = 1 if the voltage exceeds the constraint (i.e., voltage violation) and = 0 otherwise.
4.3. Reactive Power Optimization Method Process
The reactive power optimization process based on the GCD3QN algorithm is shown in Figure 7. The electrical and topological information of the power system’s snapshot is combined to form the initial state information. This state information is passed to the evaluation network and target network within the GCD3QN framework. Based on the action Q-values output by the two networks, control strategies are selected by excluding overestimated Q-values and choosing the one with the highest Q-value.
Figure 7.
Flow chart of reactive power optimization method based on GCD3QN.
The control strategy and state information are then input into the reward function to calculate the reward. The electrical and topological information of the power system at the next time step, after executing the strategy, is combined to form new state information. This new state information, along with the reward, is added to the experience replay pool.
The GCN component of the GCD3QN algorithm trains on the extensive data retained in the experience replay pool until the training is complete.
5. Case Analysis
5.1. Introduction to the Case Study System
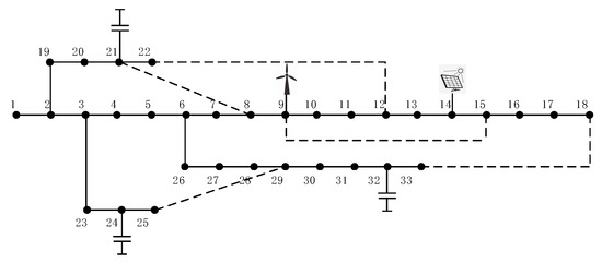
As shown in Figure 8, the IEEE 33-bus system has been appropriately modified in this study. The modifications are as follows:
Figure 8.
Modified IEEE 33 node system model.
A wind farm with a capacity of 650 kW is added at Node 9. A photovoltaic (PV) power plant with a capacity of 400 kW is added at Node 14. At Nodes 21, 24, and 32, five capacitor banks are installed at each node, with each bank having a capacity of 30 Mvar.
The model is trained using actual data from distributed photovoltaic and wind power units and load output over one year in a region of Anhui. Three typical days are selected for testing: a typical summer day, a typical winter day, and a typical transition season day. The decision interval is set to 1 h.
5.2. Training Process
When training the network for reactive power regulation device action schemes based on the GCD3QN algorithm, the hyperparameters are set as follows:
The experience replay pool size is set to 10,000. The discount factor is set to 0.9. The batch size is 32. The learning rate is set to 0.0001. The target network is updated every 200 steps.
During training, one day is considered as one episode. If the day ends, the episode is considered complete.
Figure 9.
Convergence process of reward.
Figure 10.
Convergence process of active network loss.
As shown in Figure 9 and Figure 10, after approximately 600 episodes of training, the active network loss gradually converges and tends towards zero. As the training progresses and more episodes are completed, the reward continues to increase. This indicates that the model trained with GCD3QN makes increasingly better decisions as the number of episodes increases, resulting in a smaller active network loss. At the same time, the fluctuation range of the reward value also decreases, suggesting that the decisions made by the model are becoming more precise. This eliminates certain strategies that would never be chosen, thus improving the efficiency of the model. After 4000 episodes, the reward converges, indicating that the training is complete.
5.3. Comparative Analysis
5.3.1. Overall Optimization Effect
This study compares GCD3QN with the following two methods to validate its superior optimization performance in terms of active network loss and voltage deviation:
Method 1: The Genetic Algorithm (GA), a commonly used traditional optimization method, is chosen as a representative of traditional optimization techniques to demonstrate that the proposed method outperforms traditional approaches.
Method 2: The Deep Q-Network (DQN), a typical deep reinforcement learning algorithm, is selected as a representative of other machine learning methods to show that the proposed method surpasses other machine learning approaches.
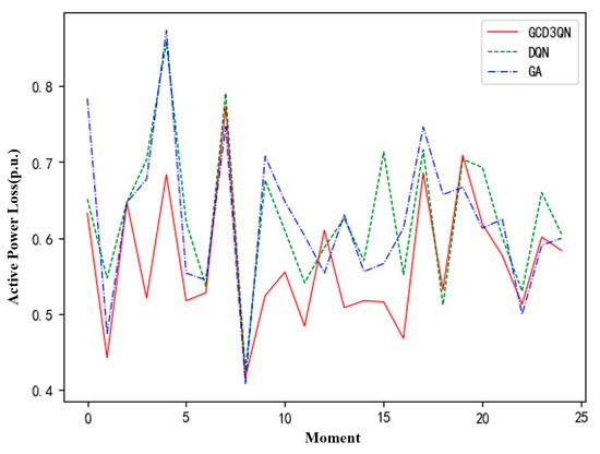
For the three selected typical days, optimization was carried out using the three methods mentioned above. The results are shown in Figure 11, Figure 12 and Figure 13 and Table 1. On all three typical days, the optimization results obtained using the GCD3QN algorithm are significantly better than those from the other two methods.
Figure 11.
Comparison of network loss of different optimization methods on a typical summer day.
Figure 12.
Comparison of network loss of different optimization methods on a transitional typical day.
Figure 13.
Comparison of network loss of different optimization methods on a typical winter day.
Table 1.
Comparison of network loss of different optimization methods on typical days.
After calculations:
In Figure 11, the active network loss optimized by the GCD3QN algorithm is reduced by 5.45% and 11.96% compared to DQN and GA, respectively.
In Figure 12, the optimized result is reduced by 6.23% and 13.75%.
In Figure 13, the optimized result is reduced by 4.81% and 14.85%.
These results indicate that the proposed method effectively reduces the active network loss across different seasons, thus enhancing the economic efficiency of the power grid.
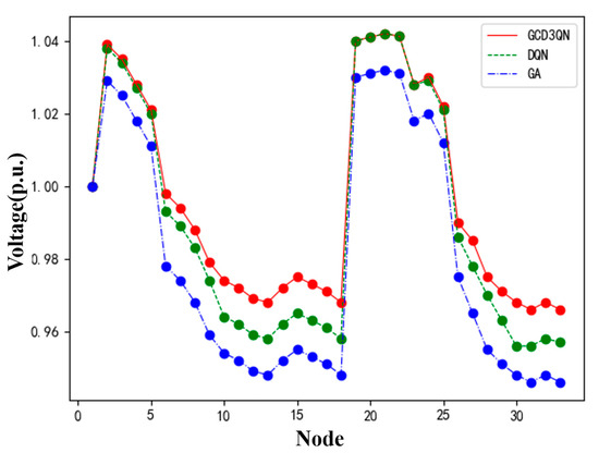
One important objective of reactive power optimization is to improve the voltage quality and stability of the power grid. The smaller the voltage deviation, the more stable the grid will be. In this study, the voltage deviation at each node at 12:00 on the typical days is compared, and the results are shown in Figure 14, Figure 15 and Figure 16 and Table 2.
Figure 14.
Voltage distribution of different optimization methods on a typical summer day.
Figure 15.
Voltage distribution of different optimization methods on a transitional typical day.
Figure 16.
Voltage distribution of different optimization methods on a typical winter day.
Table 2.
Comparison of Voltage Deviation of Different Optimization Methods on Typical Days.
It is evident that, compared to the other two methods, the optimization results of the GCD3QN algorithm are the most outstanding. Compared to GA, the voltage deviation obtained by the GCD3QN algorithm is reduced by 41.35%. Compared to DQN, the voltage deviation obtained by the GCD3QN algorithm is reduced by 22.26%. Therefore, the GCD3QN algorithm is more effective in handling the fluctuations in the power grid.
5.3.2. Practicality Analysis
To further confirm the practicality of the GCD3QN algorithm, this study performs a one-on-one comparison between the GCD3QN algorithm and the D3QN algorithm in terms of network loss, training time, and decision-making time.
As shown in Figure 17, Figure 18 and Figure 19 and Table 3, the GCD3QN algorithm has a slightly longer training time compared to the D3QN algorithm, but the decision-making time is very short, with almost no difference in decision speed. However, the network loss resulting from the decisions made by the GCD3QN algorithm is significantly smaller than that of the D3QN algorithm. This demonstrates that the GCD3QN algorithm, which takes into account the topological characteristics, can make more effective reactive power optimization decisions while ensuring computational efficiency.
Figure 17.
Comparison of network loss of different optimization methods on a typical summer day.
Figure 18.
Comparison of network loss of different optimization methods on a transitional Typical Day.
Figure 19.
Comparison of network loss of different optimization methods on a typical winter day.
Table 3.
Comparison of algorithm training and decision time.
5.4. Practical Application
The algorithm is applied to the actual power grid of a city in my country, with 381 nodes and a capacity of 375 MW. As shown in Figure 20 and Figure 21, the proposed method can still effectively reduce the active network loss and voltage deviation of the power grid when put into the actual power grid, thereby improving the economic benefits of the power grid and maintaining voltage stability.
Figure 20.
Comparison of network loss of different optimization methods on a typical day.
Figure 21.
Voltage distribution of different optimization methods on a typical day.
6. Conclusions
This paper designs a reactive power optimization strategy for power grids based on deep reinforcement learning, considering the topological characteristics of the grid. By combining the grid’s topological features, the excellent learning capabilities of deep learning, and the strong decision-making abilities of reinforcement learning, an efficient and effective reactive power optimization method for power grids is developed. The main conclusions are as follows:
- (1)
- The GCD3QN algorithm replaces the traditional Convolutional Neural Network (CCN) with a Graph Convolutional Network (GCN) in the mainstream deep learning model, allowing the model to calculate both the electrical information of the grid nodes and consider the topological characteristics of the power grid. This makes the model more aligned with the actual grid scenario for reactive power optimization.
- (2)
- The action plans generated by the GCD3QN algorithm, compared to traditional optimization methods like the Genetic Algorithm (GA) and deep reinforcement learning methods like DQN, significantly reduce active network losses and voltage deviations, ensuring voltage stability and improving the economic efficiency of the power grid.
- (3)
- The GCD3QN algorithm, compared to the D3QN algorithm, provides the optimal reactive power optimization decision results while ensuring computational efficiency.
Author Contributions
Conceptualization, T.C., Z.D., X.S., Z.L., C.H. and K.X.; Methodology, T.C., Z.D., X.S. and Z.L.; Software, Z.D., X.S., Z.L. and K.X.; Formal analysis, T.C. and K.X.; Writing—original draft, Z.L., C.H. and Y.X. All authors have read and agreed to the published version of the manuscript.
Funding
This work was supported by the State Key Laboratory of Smart Grid Protection and Operation Control (SGNR0000KJJS2302148).
Data Availability Statement
The original contributions presented in this study are included in the article. Further inquiries can be directed to the corresponding author.
Conflicts of Interest
Authors Tianhua Chen, Zemei Dai and Xin Shan were employed by the company Nari Technology Co., Ltd. The remaining authors declare that the research was conducted in the absence of any commercial or financial relationships that could be construed as a potential conflict of interest.
References
- Lin, C.H.; Wu, W.C.; Zhang, B.M. Decentralized reactive power optimization method for transmission and distribution networks accommodating large-scale DG integration. IEEE Trans. Sustain. Energy 2016, 8, 363–373. [Google Scholar] [CrossRef]
- Comodi, G.; Giantomsassi, A.; Severini, M. Multi-apartment residential microgrid with electrical and thermal storage devices: Experimental analysis and simulation of energy management strategies. Appl. Energy 2015, 137, 854–866. [Google Scholar] [CrossRef]
- Lucia, I.; Cristina, C.; Miguel, C. Optimal energy management for a residential microgrid including a vehicle-to-grid system. IEEE Trans. Smart Grid 2014, 5, 2163–2172. [Google Scholar]
- Shen, J.S.; Jiang, C.W.; Liu, Y.Y. A microgrid energy management system with demand response for providing grid peak shaving. Electr. Power Compon. Syst. 2016, 44, 843–852. [Google Scholar] [CrossRef]
- Zhang, C.; Jian, J.; Yang, L.F. Regularised primal-dual interior-point method for dynamic optimal power flow with block-angular structures. IET Gener. Transm. Distrib. 2020, 14, 1694–1704. [Google Scholar] [CrossRef]
- Fortenbacher, P.; Demiray, T. Linear/quadratic programming-based optimal power flow using linear power flow and absolute loss approximations. Int. J. Electr. Power 2019, 107, 680–689. [Google Scholar] [CrossRef]
- Abdelhady, S.; Osama, A.; Shaban, A.; Elbayoumi, M. A Real-Time Optimization of Reactive Power for an Intelligent System Using Genetic Algorithm. IEEE Access 2020, 8, 11991–12000. [Google Scholar] [CrossRef]
- Liao, G.C. Solve environmental economic dispatch of Smart MicroGrid containing distributed generation system–Using chaotic quantum genetic algorithm. Int. J. Electr. Power 2012, 43, 779–787. [Google Scholar] [CrossRef]
- Liu, X.; Zhang, P.; Fang, H.; Zhou, Y. Multi-Objective Reactive Power Optimization Based on Improved Particle Swarm Optimization with ε-Greedy Strategy and Pareto Archive Algorithm. IEEE Access 2021, 9, 65650–65659. [Google Scholar] [CrossRef]
- Jamal, R.; Men, B.; Khan, N.H.; Raja, M.A.Z.; Muhammad, Y. Application of Shannon Entropy Implementation Into a Novel Fractional Particle Swarm Optimization Gravitational Search Algorithm (FPSOGSA) for Optimal Reactive Power Dispatch Problem. IEEE Access 2021, 9, 2715–2733. [Google Scholar] [CrossRef]
- Cao, D.; Hu, W.; Zhao, J. A multi-agent deep reinforcement learning based voltage regulation using coordinated PV inverters. IEEE Trans. Power Syst. 2020, 35, 4120–4123. [Google Scholar] [CrossRef]
- Wang, W.; Yu, N.; Shi, J. Volt-var control in power distribution systems with deep reinforcement learning. In Proceedings of the 2019 IEEE International Conference on Communications, Control, and Computing Technologies for Smart Grids (SmartGridComm), Beijing, China, 21–23 October 2019; pp. 1–7. [Google Scholar]
- Huang, C.; Bu, S.; Chen, W.; Wang, H.; Zhang, Y. Deep Reinforcement Learning-Assisted Federated Learning for Robust Short-Term Load Forecasting in Electricity Wholesale Markets. IEEE Trans. Netw. Sci. Eng. 2024, 11, 5073–5086. [Google Scholar] [CrossRef]
- Huang, Y.; Li, G.; Chen, C.; Bian, Y.; Qian, T.; Bie, Z. Resilient Distribution Networks by Microgrid Formation Using Deep Reinforcement Learning. IEEE Trans. Smart Grid 2022, 13, 4918–4930. [Google Scholar] [CrossRef]
- Hu, C.; Cai, Z.; Zhang, Y.; Yan, R.; Cai, Y.; Cen, B. A soft actor-critic deep reinforcement learning method for multi-timescale coordinated operation of microgrids. Prot. Control Mod. Power Syst. 2022, 7, 23. [Google Scholar] [CrossRef]
- Jalali, S.M.J. New Hybrid Deep Neural Architectural Search-Based Ensemble Reinforcement Learning Strategy for Wind Power Forecasting. IEEE Trans. Ind. Appl. 2022, 58, 15–27. [Google Scholar] [CrossRef]
- Liao, J.; Lin, J. A Distributed Deep Reinforcement Learning Approach for Reactive Power Optimization of Distribution Networks. IEEE Access 2024, 12, 113898–113909. [Google Scholar] [CrossRef]
- Xu, S.; Guo, S. Distributed Reactive Power Optimization for Energy Internet via Multiagent Deep Reinforcement Learning with Graph Attention Networks. IEEE Trans. Ind. Informat. 2024, 20, 8696–8706. [Google Scholar] [CrossRef]
- Hu, D.; Ye, Z.; Gao, Y.; Ye, Z.; Peng, Y.; Yu, N. Multi-Agent Deep Reinforcement Learning for Voltage Control with Coordinated Active and Reactive Power Optimization. IEEE Trans. Smart Grid 2022, 13, 4873–4886. [Google Scholar] [CrossRef]
- El Helou, R.; Kalathil, D.; Xie, L. Fully Decentralized Reinforcement Learning-Based Control of Photovoltaics in Distribution Grids for Joint Provision of Real and Reactive Power. IEEE Open Access J. Power Energy 2021, 8, 175–185. [Google Scholar] [CrossRef]
- Yang, Q.; Wang, G.; Sadeghi, A.; Giannakis, G.B.; Sun, J. Two-Timescale Voltage Control in Distribution Grids Using Deep Reinforcement Learning. IEEE Trans. Smart Grid 2020, 11, 2313–2323. [Google Scholar] [CrossRef]
Disclaimer/Publisher’s Note: The statements, opinions and data contained in all publications are solely those of the individual author(s) and contributor(s) and not of MDPI and/or the editor(s). MDPI and/or the editor(s) disclaim responsibility for any injury to people or property resulting from any ideas, methods, instructions or products referred to in the content. |
© 2024 by the authors. Licensee MDPI, Basel, Switzerland. This article is an open access article distributed under the terms and conditions of the Creative Commons Attribution (CC BY) license (https://creativecommons.org/licenses/by/4.0/).




















