Source-Load Collaborative Optimization Method Considering Core Production Constraints of Electrolytic Aluminum Load
Abstract
1. Introduction
2. Aluminum Electrolytic Load Control Cost Model Based on Temperature Constraints
2.1. The Impact of Cell Temperature on Production
- (1)
- The Effect of Temperature on Reaction Rate
- (2)
- The Effect of Temperature on Current Efficiency
- (3)
- The Impact of Temperature on Production Equipment
2.2. Load Control Cost of Electrolytic Aluminum Considering Cell Temperature Constraints
- (1)
- Change in control cost of electrolytic aluminum load Cv due to changes in the chemical reaction rate:
- (2)
- Change in control cost of electrolytic aluminum load Cη due to variations in current efficiency:
- (3)
- Penalty cost CP [29]:
2.3. Energy Conversion Analysis of Electrolytic Cells
3. Day-Ahead Economic Dispatch Optimization Model Considering Electrolytic Aluminum Load
3.1. Objective Function
3.2. Constraints
3.2.1. Constraints on the Power Supply Side
- (1)
- System Power Balance Constraint:
- (2)
- Output and Ramp Rate Constraints of Thermal Power Units:where and denote the minimum and maximum output power allowed for thermal power unit i; and represent the rate limits for increasing or decreasing output for thermal power unit i; and indicate the rate limits during the startup and shutdown processes of thermal power unit i.
- (3)
- Minimum Startup and Shutdown Time Constraint:where and denote the continuous startup and shutdown times of thermal power unit i during time period t; and represent the minimum startup and shutdown times for thermal power unit i.
- (4)
- Startup and Shutdown Cost Constraints:where represents the start-up cost of unit i during time period t, and represents the shut-down cost of unit i during time period t.
- (5)
- Reserve Constraints:
- (6)
- Wind Power Output Constraints:where represents the predicted maximum output of wind turbine j during time period t.
3.2.2. Constraints on the Load Side
- (1)
- Load Power Constraints:where represents the rated power of aluminum electrolysis load, while and denote the minimum and maximum values of the power adjustment for the aluminum electrolysis load, respectively.
- (2)
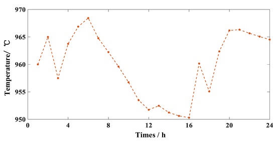
- Electrolyzer Temperature Constraints:where Tt represents the temperature of the electrolytic cell during time period t; and denote the minimum and maximum temperature values that satisfy the production conditions of the electrolytic cell, respectively.
- (3)
- Power Regulation Constraints:
- (4)
- Conventional Load Constraints:
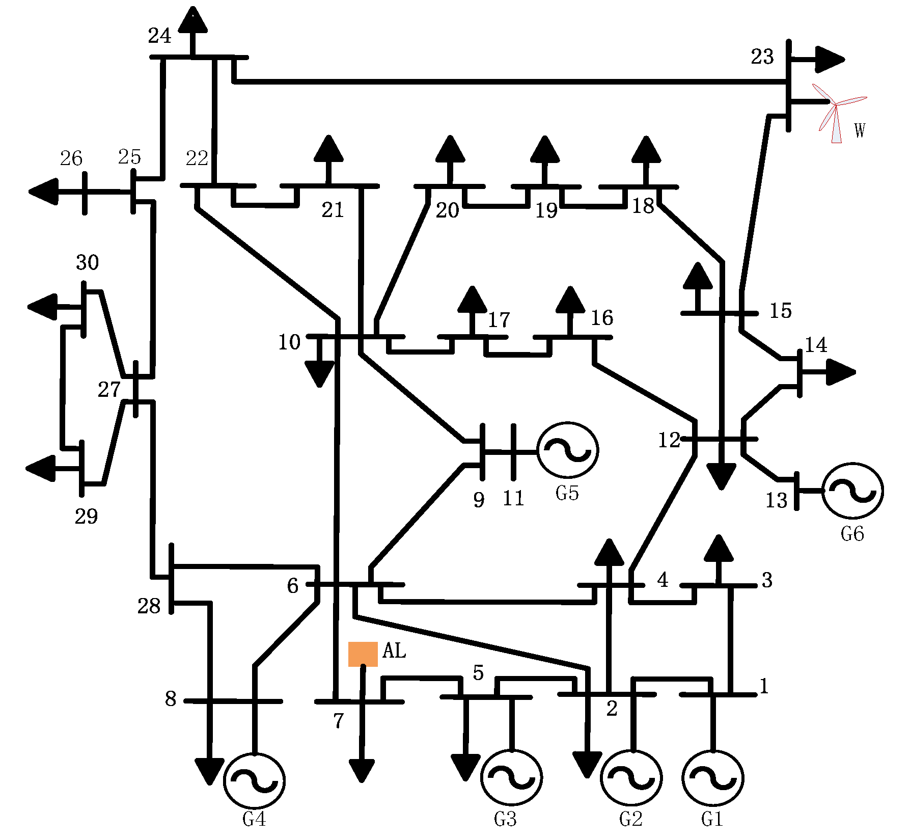
4. Case Study Analysis
4.1. Case Study Parameter Settings
4.2. Scenario Setup
4.3. Analysis of Case Study Results
4.3.1. Analysis of System Operating Costs
4.3.2. Analysis of Wind Power Utilization and Load Shedding
4.3.3. Analysis of Load Regulation in Electrolytic Aluminum
5. Conclusions
6. Limitations and Future Research
Author Contributions
Funding
Data Availability Statement
Conflicts of Interest
Correction Statement
References
- Xinhua News Agency. Opinions of the Central Committee of the Communist Party of China and the State Council on Completely, Accurately and Comprehensively Implementing the New Development Concept and doing a Good Job in Carbon Peak and Carbon Neutrality. 2021. Available online: https://www.gov.cn/zhengce/2021-10/24/content_5644613.htm (accessed on 23 October 2024).
- Li, B.; Chen, M.; Zhong, H.; Ma, Z.; Liu, D.; He, G. A Review of Long-Term Planning of New Power Systems with Large Share of Renewable Energy. Proc. CSEE 2023, 43, 555–581. [Google Scholar]
- National Energy Administration. The National Energy Administration Released the 2021 National Power Industry Statistics. 2022. Available online: http://www.nea.gov.cn/2022-01/26/c_1310441589.htm (accessed on 23 October 2024).
- National Energy Administration. The National Energy Administration Released the 2022 National Power Industry Statistics. Available online: http://www.nea.gov.cn/2023-01/18/c_1310691509.htm (accessed on 23 October 2024).
- Yang, H.; Liang, R.; Yuan, Y.; Chen, B.; Xiang, S.; Liu, J.; Zhao, H.; Ackom, E. Distributionally Robust Optimal Dispatch in the Power System with High Penetration of Wind Power Based on Net Load Fluctuation Data. Appl. Energy 2022, 313, 118813. [Google Scholar] [CrossRef]
- Gerami, N.; Ghasemi, A.; Lotfi, A.; Kaigutha, L.G.; Marzband, M. Energy Consumption Modeling of Production Process for Industrial Factories in a Day Ahead Scheduling with Demand Response. Sustain. Energy Grids Netw. 2021, 25, 100420. [Google Scholar] [CrossRef]
- Li, N. The Load Scheduling for Users Based on Demand Response and Benefit Analysis. Ph.D. Thesis, Xiangtan University, Xiangtan, China, 2016. [Google Scholar]
- Liu, C.; Sun, A.; Wang, Y.; He, H.; Zhang, H.; Ning, L. Day-Ahead and Intra-Day Joint Economic Dispatching Method of Electric Power System Considering Combined Peak-Shaving of Fused Magnesium Load and Energy Storage. Electr. Power Autom. Equip. 2022, 42, 8–15. [Google Scholar]
- Wu, D.; Wang, Y.; Yu, C. Demand Response Potential Evaluation Method of Industrial Users Based on Gaussian Process Regression. Electr. Power Autom. Equip. 2022, 42, 94–101. [Google Scholar]
- Yang, N.; Xun, S.; Liang, P.; Ding, L.; Yan, J.; Xing, C.; Wang, C.; Zhang, L. Spatial-temporal Optimal Pricing for Charging Stations: A Model-Driven Approach Based on Group Price Response Behavior of EVs. IEEE Trans. Transp. Electrif. 2024, in press. [Google Scholar] [CrossRef]
- Han, G.; Sun, R.; Xu, H.; Xu, J.; He, C.; Pi, S. Load Optimal Dispatching Modeling of Cement Industry Based on TOU Price. In Proceedings of the 2022 14th International Conference on Measuring Technology and Mechatronics Automation (ICMTMA), Changsha, China, 15–16 January 2022; pp. 772–777. [Google Scholar]
- Li, S.; Zhang, T. The Development Scenarios and Environmental Impacts of China’s Aluminum Industry: Implications of Import and Export Transition. J. Sustain. Metall. 2022, 8, 1472–1484. [Google Scholar] [CrossRef] [PubMed]
- Chen, G.; Yang, X.; Jiang, H.; Cui, Y.; Zhang, Y.; Hao, S.; Zhang, Y. Demand Response Regulation Strategy for Power Grid Accessed with High Proportion of Renewable Energy Considering Industrial Load Characteristics. Electr. Power Autom. Equip. 2023, 43, 177–184. [Google Scholar]
- Wang, Y.; Xie, H.; Zhu, H. Source-Load Coordinated Optimal Planning Method of Electrolytic Aluminum Industrial Park. Electr. Power Autom. Equip. 2024, 44, 132–140. [Google Scholar]
- Yue, X.; Liao, S.; Fu, L.; Xu, J.; Ke, D.; Wang, H.; Li, L.; He, X. Hierarchical Optimization Strategy of High-penetration Wind Power System Considering Electrolytic Aluminum Energy-intensive Load Regulation and Deep Peak Shaving of Thermal Power. Power Syst. Technol. 2024, 48, 3186–3196. [Google Scholar]
- Li, S.; Hui, H.; Bao, M. Adjustability Analysis of Aluminum Smelter Loads and Participation in Power System Scheduling. Proc. CSU-EPSA 2024, 36, 70–80. [Google Scholar]
- Yue, X.; Liao, S.; Xu, J.; Ke, D.; Wang, H.; Yang, J.; He, X. Collaborative Optimization of Renewable Energy Power Systems Integrating Electrolytic Aluminum Load Regulation and Thermal Power Deep Peak Shaving. Appl. Energy 2024, 373, 123869. [Google Scholar] [CrossRef]
- Yao, L.; Ding, W.; He, T.; Liu, S.; Nie, L. A Multiobjective Prediction Model with Incremental Learning Ability by Developing a Multi-Source Filter Neural Network for the Electrolytic Aluminium Process. Appl. Intell. 2022, 52, 17387–17409. [Google Scholar] [CrossRef]
- Li, H. Research on Electrode Control Method for Aluminum Electrolysis Cell. Ph.D. Thesis, Northeastern University, Shenyang, China, 2016. [Google Scholar]
- Wang, M. Research on Modeling and Control Method of Aluminum Electrolytic Pole Control System. Master’s Thesis, Northeastern University, Shenyang, China, 2019. [Google Scholar]
- Einarsrud, K.E.; Eick, I.; Bai, W.; Feng, Y.; Hua, J.; Witt, P.J. Towards a Coupled Multi-Scale, Multi-Physics Simulation Framework for Aluminium Electrolysis. Appl. Math. Model. 2017, 44, 3–24. [Google Scholar] [CrossRef]
- Wong, C.-J.; Bao, J.; Skyllas-Kazacos, M.; Welch, B.; Mahmoud, M.; Arkhipov, A.; Ahli, N. Studies on Power Modulation of Aluminum Smelting Cells Based on a Discretized Mass and Thermal Dynamic Model. Metall. Mater. Trans. B 2023, 54, 562–577. [Google Scholar] [CrossRef]
- Peng, Q. Predictive Fuzzy Control for the Temperature of Aluminium Electrolysis Process. Master’s Thesis, North China University of Technology, Beijing, China, 2009. [Google Scholar]
- Qiu, Z. Aluminum Refining in Prebaking Tanks, 3rd ed.; Metallurgical Industry Press: Beijing, China, 2005. [Google Scholar]
- Ilyushin, Y.V.; Kapostey, E.I. Developing a Comprehensive Mathematical Model for Aluminium Production in a Soderberg Electrolyser. Energies 2023, 16, 6313. [Google Scholar] [CrossRef]
- Xu, Y. A Study of Multi-Physical Fields Coupled Modelling and Structure Optimization of Large-Scale Energy-Saving Aluminum Reduction Cells. Ph.D. Thesis, Central South University, Changsha, China, 2014. [Google Scholar]
- Yin, C. Study of Online Simulation of Thermal-Electric Field in Aluminum Reduction Cells. Master’s Thesis, Central South University, Changsha, China, 2014. [Google Scholar]
- Urata, K.; Shimizu, T. Temperature Estimation of Aluminum Electrolytic Capacitor Under Actual Circuit Operation. In Proceedings of the 2018 International Power Electronics Conference, Niigata, Japan, 20–24 May 2018; IEEE: Piscataway, NJ, USA, 2018; pp. 302–308. [Google Scholar]
- Xu, J.; Yu, Q.; Liao, S.; Ke, D.; Sun, Y. Industrial Park Tie-Line Power Smoothing Strategy Considering Production Safety. J. Shanghai Jiaotong Univ. 2024, 58, 941–953. [Google Scholar]
- Bao, Y. Research on Leveraging the Flexibility of Industrial Loads for Power System Frequency Operation. Ph.D. Thesis, Wuhan University, Wuhan, China, 2019. [Google Scholar]









| Unit | Pmin/MW | Pmax/MW | a/(yuan/MW h2) | b/(yuan/MW h) | c/(yuan/h) |
|---|---|---|---|---|---|
| G1 | 195 | 390 | 0.108 | 50.57 | 1240.437 |
| G2 | 75 | 150 | 0.105 | 56.07 | 1607.977 |
| G3 | 125 | 250 | 0.096 | 50.05 | 1320.285 |
| G4 | 100 | 200 | 0.223 | 63.94 | 1680.321 |
| G5 | 50 | 100 | 0.118 | 68.86 | 2480.693 |
| G6 | 50 | 100 | 0.153 | 69.86 | 2120.3478 |
| Cost | Scenario 1 | Scenario 2 |
|---|---|---|
| Total operating cost of the power grid/yuan | 3.6231 × 106 | 3.4549 × 106 |
| Fuel cost of the unit/yuan | 7.5730 × 105 | 7.5690 × 105 |
| Load shedding cost/yuan | 5.3860 × 104 | 3.9363 × 104 |
| Curtailed wind cost/yuan | 2.7741 × 106 | 2.4320 × 106 |
| Adjustment cost of electrolytic aluminum/yuan | / | 1.8872 × 105 |
| Wind Power Consumption Volume/(MW h) | Wind Curtailment Rate/% | Load Shedding Volume/(MW h) | |
|---|---|---|---|
| Scenario 1 | 7.8757 × 103 | 14.97 | 134.65 |
| Scenario 2 | 8.0468 × 103 | 13.13 | 98.4083 |
| Current Efficiency/% | Current Efficiency/% | Current Efficiency/% | |||
|---|---|---|---|---|---|
| 1 | 94.00 | 9 | 94.06 | 17 | 93.98 |
| 2 | 93.25 | 10 | 94.49 | 18 | 94.74 |
| 3 | 94.38 | 11 | 94.98 | 19 | 93.64 |
| 4 | 93.44 | 12 | 95.24 | 20 | 93.07 |
| 5 | 92.97 | 13 | 95.13 | 21 | 93.05 |
| 6 | 92.73 | 14 | 95.31 | 22 | 93.15 |
| 7 | 93.29 | 15 | 95.41 | 23 | 93.24 |
| 8 | 93.66 | 16 | 95.45 | 24 | 93.32 |
Disclaimer/Publisher’s Note: The statements, opinions and data contained in all publications are solely those of the individual author(s) and contributor(s) and not of MDPI and/or the editor(s). MDPI and/or the editor(s) disclaim responsibility for any injury to people or property resulting from any ideas, methods, instructions or products referred to in the content. |
© 2024 by the authors. Licensee MDPI, Basel, Switzerland. This article is an open access article distributed under the terms and conditions of the Creative Commons Attribution (CC BY) license (https://creativecommons.org/licenses/by/4.0/).
Share and Cite
Jiang, Y.; Wang, Z.; Bian, S.; Liao, S.; Lu, H. Source-Load Collaborative Optimization Method Considering Core Production Constraints of Electrolytic Aluminum Load. Energies 2024, 17, 6396. https://doi.org/10.3390/en17246396
Jiang Y, Wang Z, Bian S, Liao S, Lu H. Source-Load Collaborative Optimization Method Considering Core Production Constraints of Electrolytic Aluminum Load. Energies. 2024; 17(24):6396. https://doi.org/10.3390/en17246396
Chicago/Turabian StyleJiang, Yibo, Zhe Wang, Shiqi Bian, Siyang Liao, and Huibin Lu. 2024. "Source-Load Collaborative Optimization Method Considering Core Production Constraints of Electrolytic Aluminum Load" Energies 17, no. 24: 6396. https://doi.org/10.3390/en17246396
APA StyleJiang, Y., Wang, Z., Bian, S., Liao, S., & Lu, H. (2024). Source-Load Collaborative Optimization Method Considering Core Production Constraints of Electrolytic Aluminum Load. Energies, 17(24), 6396. https://doi.org/10.3390/en17246396

