A Novel Graph Reinforcement Learning-Based Approach for Dynamic Reconfiguration of Active Distribution Networks with Integrated Renewable Energy
Abstract
1. Introduction
- (1)
- In terms of the radial topology constraints, a loop-based encoding method is developed to reduce the complexity of ADNDR and the action search space so as to promote the calculation efficiency.
- (2)
- By integrating the graph structural information of ADNs, a GCNDDPG-based ADNDR approach is innovatively proposed to solve the dynamic reconfiguration issues accurately and rapidly.
- (3)
- The proposed approach is verified on the improved IEEE 33-bus power system under different penetration rates of RESs and a variety of algorithms, such as the GA, MISOCP, and traditional DQN.
2. Mathematical Model for ADNDR
2.1. Objective Function
2.2. Constraints
2.2.1. Power Balance Constraints
2.2.2. Topological Radial Constraints
3. Radial Topology Analysis of Distribution Networks
4. Graph Convolution Network Deep Deterministic Policy Gradient Algorithm
4.1. Graph Convolution Network
4.2. Deep Deterministic Policy Gradient Algorithm
- (1)
- Strong adaptability of reinforcement learning: RL algorithms can effectively handle nonlinear constraints and stochastic variables, finding optimal strategies through exploration and exploitation.
- (2)
- Model-free learning: In complex ADNs, many parameters are difficult to obtain directly. RL does not require complete network parameters; instead, it learns directly from the environment and identifies optimal actions based on reward signals from feedback, making it a model-free approach.
- (3)
- Adaptability to dynamic changes: The state of the distribution network changes dynamically, including variations in loads, renewable energy outputs, and topology. Through continuous exploration and training, RL can effectively adapt to uncertainties in generation and demand.
4.2.1. Functionality of DDPG Networks
4.2.2. DDPG Loss Function
4.2.3. Target Network Parameter Update in DDPG
5. GCNDDPG-Based ADNDR Approach
5.1. State Space
5.2. Action Space
5.3. Reward
- (1)
- Network loss
- (2)
- Voltage deviation
- (3)
- Total reward function
5.4. Solving Process
6. Case Studies
6.1. Simulation Setting
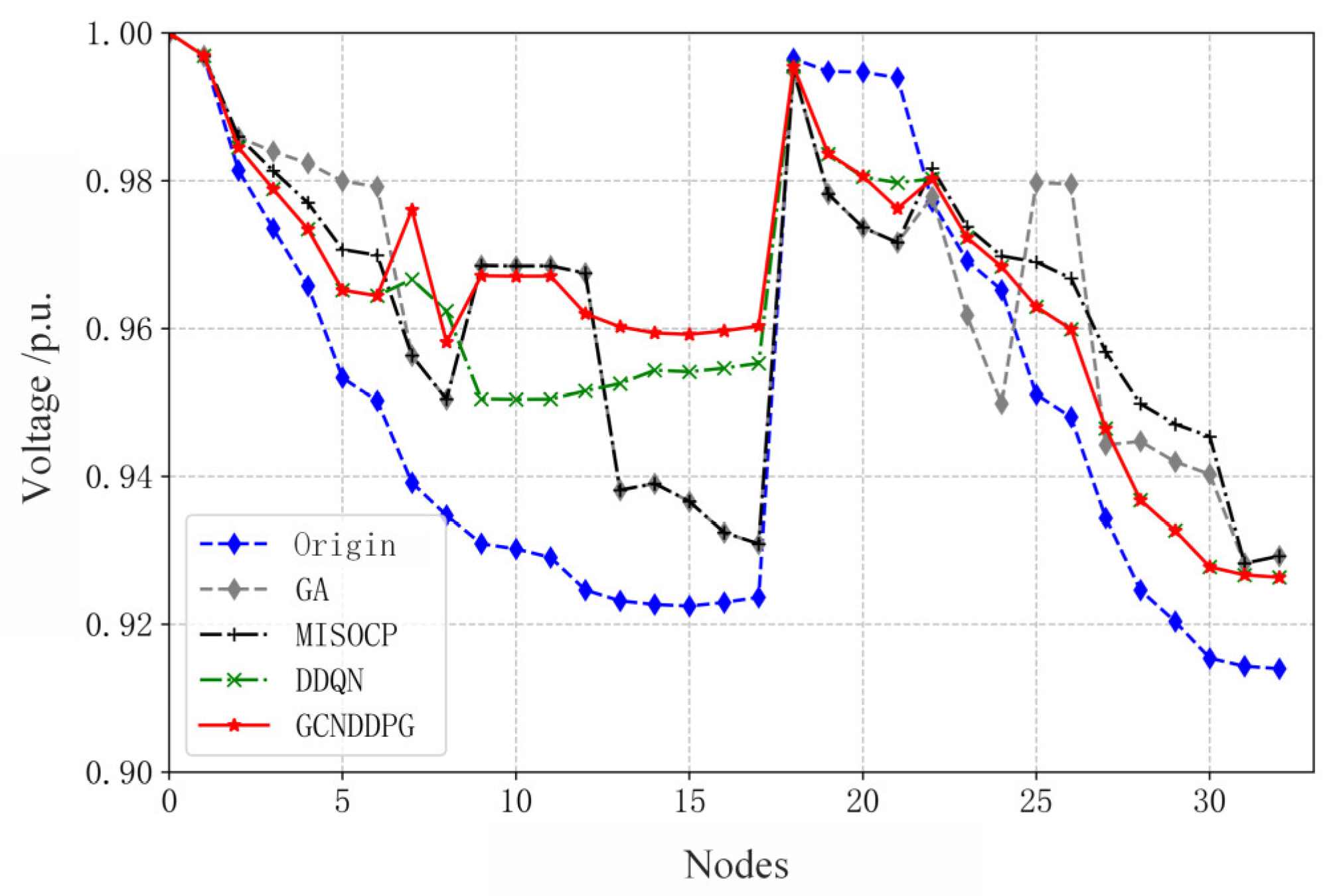
6.2. Performance Comparison Under Different Algorithms
- (1)
- In terms of reward value, the GCNDDPG achieves a reward of −57.8649, which is higher than the GA and DDQN, and it is the closest algorithm to the MISOCP.
- (2)
- In terms of computational speed, the training time of the DDQN and GCNDDPG are 2.08 h and 0.78 h, respectively. The training time of the GCNDDPG is 62.5% less than the DDQN. The decision times for the GA, MISOCP, DDQN, and GCNDDPG are 28.34 s, 34.94 s, 0.12 s, and 0.11 s, respectively. Consequently, the proposed GCNDDPG reduces the decision time by 99.61%, 99.69%, and 8.3% compared to the GA, MISOCP, and DDQN, respectively.
- Graph structure consideration: The GCNDDPG captures the graph structure information and node features inherent in the distribution network’s operation, enhancing the quality of the training process.
- Deterministic policy gradient method: By using a deterministic policy gradient approach, the method can directly output the probability of each policy, resulting in more stable strategies compared to DDQN. This stability contributes to better convergence performance.
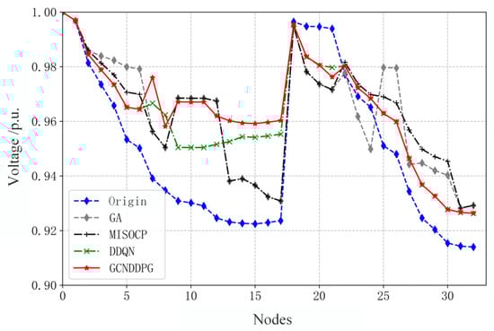
6.3. Algorithm Effectiveness Under the High Proportion Renewable Energy
7. Conclusions
- (1)
- Compared to traditional encoding methods, the loop-based encoding approach reduces the solution space by 99.83% while maintaining the same number of feasible solutions, significantly improving the computational efficiency.
- (2)
- The proposed GCNDDPG-based ADNDR approach fully extracts graph structural features, further enhancing the network reconfiguration performance. Experiments with various renewable energy penetration scenarios demonstrate that the proposed algorithm outperforms the DDQN in terms of both network loss and voltage deviation. Moreover, the GCNDDPG strategy provides more stable policies, indicating its superior adaptability to active distribution networks with distributed generation (DG).
- (3)
- Compared to the ADNDR strategies based on the GA, MISOCP, and DDQN, the decision-making time of the GCNDDPG-based approach is reduced by 99.61%, 99.69%, and 8.3%, respectively, highlighting the higher computational efficiency of the proposed method.
- (4)
- The GCNDDPG-based ADNDR strategy achieves the best voltage optimization for the power system and ensures the highest 24-h voltage stability, demonstrating its effectiveness in achieving dynamic reconfiguration for active distribution networks.
Author Contributions
Funding
Data Availability Statement
Conflicts of Interest
References
- Santos, S.; Gough, M.; Fitiwi, D.; Pogeira, J.; Shafie-Khah, M.; Catalão, J. Dynamic distribution system reconfiguration considering distributed renewable energy sources and energy storage systems. IEEE Syst. J. 2022, 16, 3723–3733. [Google Scholar] [CrossRef]
- Lim, S.; Yoon, S. Dynamic DNR and solar PV smart inverter control scheme using heterogeneous multi-agent deep reinforcement learning. Energies 2022, 15, 9220. [Google Scholar] [CrossRef]
- Suchithra, J.; Rajabi, A.; Robinson, D.A. Enhancing PV hosting capacity of electricity distribution networks using deep reinforcement learning-based coordinated voltage control. Energies 2024, 17, 5037. [Google Scholar] [CrossRef]
- Mi, Y.; Chen, Y.; Yuan, M.; Li, Z.; Tao, B.; Han, Y. Multi-timescale optimal dispatching strategy for coordinated source-grid-load-storage interaction in active distribution networks based on second-order cone planning. Energies 2023, 16, 1356. [Google Scholar] [CrossRef]
- Yan, X.; Zhang, Q. Research on combination of distributed generation placement and dynamic distribution network reconfiguration based on MIBWOA. Sustainability 2023, 15, 9580. [Google Scholar] [CrossRef]
- Mahdavi, M.; Schmitt, K.; Chamana, M.; Jurado, F.; Bayne, S.; Marfo, E.; Awaafo, A. A mixed-integer programming model for reconfiguration of active distribution systems considering voltage dependency and type of loads and renewable sources. IEEE Trans. Ind. Appl. 2024, 60, 5291–5303. [Google Scholar] [CrossRef]
- Zhan, J.; Liu, W.; Chung, C.; Yang, J. Switch opening and exchange method for stochastic distribution network reconfiguration. IEEE Trans. Smart Grid 2020, 11, 2995–3007. [Google Scholar] [CrossRef]
- Abdelaziz, A.Y.; Mohammed, F.M.; Mekhamer, S.F.; Badr, M.A.L. Distribution systems reconfiguration using a modified particle swarm optimization algorithm. Electr. Power Syst. Res. 2009, 79, 1521–1530. [Google Scholar] [CrossRef]
- Kahouli, O.; Alsaif, H.; Bouteraa, Y.; Ali, N.; Chaabene, M. Power system reconfiguration in distribution network for improving reliability using genetic algorithm and particle swarm optimization. Appl. Sci. 2021, 11, 3092. [Google Scholar] [CrossRef]
- Tian, S.; Liu, L.; Wei, S.; Fu, Y.; Mi, Y.; Liu, S. Dynamic reconstruction of distribution network based on improved grey wolf optimization algorithm. Power Syst. Prot. Control 2021, 49, 1–11. [Google Scholar]
- Li, Y.; Sun, B.; Zeng, Y.; Dong, S.; Ma, S.; Zhang, X. Active distribution network active and reactive power coordinated dispatching method based on discrete monkey algorithm. Int. J. Elec. Power 2022, 143, 108425. [Google Scholar] [CrossRef]
- Zhan, H.; Jiang, C.; Su, Q. Electric vehicle charging navigation method based on hierarchical reinforcement learning. Electr. Power Autom. Equip. 2022, 42, 264–272. [Google Scholar]
- Jiang, C.; Liu, C.; Lin, Z.; Lin, J. Review of power system transient stability control strategies based on deep reinforcement learning. High. Volt. Eng. 2023, 49, 5171–5186. [Google Scholar]
- Chen, T.; Xu, X.; Yan, Z.; Zhu, Y. Optimal operation based on deep reinforcement learning for energy storage system in photovoltaic storage charging station. Electr. Power Autom. Equip. 2021, 41, 90–98. [Google Scholar]
- Liu, S.; Guo, C.; Feng, B.; Zhang, Y.; Wang, Y. Active voltage control method of distributed photovoltaic based on value decomposition deep reinforcement learning. Electr. Power Autom. Equip. 2023, 43, 152–159. [Google Scholar]
- Wang, B.; Zhu, H.; Xu, H.; Bao, Y. Distribution network reconfiguration based on NoisyNet deep Q-learning network. IEEE Access 2021, 9, 90358–90365. [Google Scholar] [CrossRef]
- Wang, Z.; Gao, H.; Gao, Y.; Qing, Z.; Hu, M.; Liu, J. Multi-level dynamic reconfiguration and operation optimization method for an urban distribution network based on deep reinforcement learning. Power Syst. Prot. Control 2022, 50, 60–70. [Google Scholar]
- Jiang, C.; Lu, Y.; Shao, Z.; Lin, J. Collaborative optimization operation of integrated electric power and traffic network based on graph neural network multi-agent reinforcement learning. High. Volt. Eng. 2023, 49, 4622–4631. [Google Scholar]
- Si, R.; Chen, S.; Zhang, J.; Xu, J.; Zhang, L. A multi-agent reinforcement learning method for distribution system restoration considering dynamic network reconfiguration. Appl. Energy 2024, 372, 123625. [Google Scholar] [CrossRef]
- Chen, K.; Hu, J.; Zhang, Y.; Yu, Z.; He, J. Fault Location in Power Distribution Systems via Deep Graph Convolutional Networks. IEEE J. Sel. Areas Commun. 2020, 38, 119–131. [Google Scholar] [CrossRef]
- Satea, M.; Elsadd, M.; Zaky, M.; Elgamasy, M. Reliable High Impedance Fault Detection with Experimental Investigation in Distribution Systems. Eng. Technol. Appl. Sci. Res. 2024, 14, 17248–17255. [Google Scholar] [CrossRef]
- Elsadd, M.A.; Zobaa, A.F.; Khattab, H.A.; Abd El Aziz, A.M.; Fetouh, T. Communicationless Overcurrent Relays Coordination for Active Distribution Network Considering Fault Repairing Periods. Energies 2023, 16, 7862. [Google Scholar] [CrossRef]
- Yue, D.; He, Z.; Dou, C. Cloud-Edge Collaboration-Based Distribution Network Reconfiguration for Voltage Preventive Control. IEEE Trans. Ind. Inform. 2023, 19, 11542–11552. [Google Scholar] [CrossRef]
- Xing, Q.; Chen, Z.; Zhang, T.; Li, X.; Sun, K. Real-time optimal scheduling for active distribution networks: A graph reinforcement learning method. Int. J. Electr. Power Energy Syst. 2023, 145, 108637. [Google Scholar] [CrossRef]
- Bahrami, S.; Chen, Y.C.; Wong, V.W.S. Dynamic distribution network reconfiguration with generation and load uncertainty. IEEE Trans. Smart Grid 2024, 15, 5472–5484. [Google Scholar] [CrossRef]
- Wang, R.; Bi, X.; Bu, S. Real-time coordination of dynamic network reconfiguration and volt-var control in active distribution network: A graph-aware deep reinforcement learning approach. IEEE Trans. Smart Grid 2024, 15, 3288–3302. [Google Scholar] [CrossRef]
- Lian, X.; Qian, T.; Li, Z.; Chen, X.; Tang, W. Resilience assessment for power system based on cascading failure graph under disturbances caused by extreme weather events. Int. J. Electr. Power Energy Syst. 2023, 145, 108616. [Google Scholar] [CrossRef]
- Ding, T.; Lin, Y.; Bie, Z.; Chen, C. A resilient microgrid formation strategy for load restoration considering master-slave distributed generators and topology reconfiguration. Appl. Energy 2017, 199, 205–216. [Google Scholar] [CrossRef]
- Li, J.Y.; Chen, J.J.; Wang, Y.X.; Chen, W.G. Combining multi-step reconfiguration with many-objective reduction as iterative bi-level scheduling for stochastic distribution network. Energy 2024, 290, 130198. [Google Scholar] [CrossRef]
- Baran, M.; Wu, F. Network reconfiguration in distribution systems for loss reduction and load balancing. IEEE Trans. Power Deliv. 1989, 4, 1401–1407. [Google Scholar] [CrossRef]
- Diu, D.; Chen, T.; Strbac, G.; Bu, S. Coordination for Multi-Energy Microgrids Using Multiagent Reinforcement Learning. IEEE Trans. Ind. Inform. 2023, 19, 5689–5700. [Google Scholar]
- Xihe Energy Meteorological Big Data Platform. Available online: https://xihe-energy.com (accessed on 20 August 2024).













| FLRCS | No. Branches |
|---|---|
| FLRCS1 | b3, b23, b27, b37 |
| FLRCS2 | b7, b8, b27, b31, b34, b36 |
| FLRCS3 | b9, b13, b34 |
| FLRCS4 | b3, b7, b18, b33 |
| FLRCS5 | b8, b9, b33, b35 |
| Algorithm | Average Reward Value | Training Time/h | Decision Time/s |
|---|---|---|---|
| GA | −59.0003 | / | 28.34 |
| MISOCP | −57.5062 | / | 34.94 |
| DDQN | −61.5938 | 2.08 | 0.12 |
| GCNDDPG (Proposed method) | −57.8649 | 0.78 | 0.11 |
| Algorithm | Average Reward Value | Network Loss Power/kW | Voltage Offset |
|---|---|---|---|
| Original network | / | 116.17 | 1.02 |
| GA | −42.2165 | 83.73 | 0.84 |
| MISOCP | −38.8708 | 86.86 | 0.75 |
| DDQN | −44.7968 | 98.91 | 0.88 |
| GCNDDPG(Proposed method) | −40.8139 | 91.70 | 0.78 |
Disclaimer/Publisher’s Note: The statements, opinions and data contained in all publications are solely those of the individual author(s) and contributor(s) and not of MDPI and/or the editor(s). MDPI and/or the editor(s) disclaim responsibility for any injury to people or property resulting from any ideas, methods, instructions or products referred to in the content. |
© 2024 by the authors. Licensee MDPI, Basel, Switzerland. This article is an open access article distributed under the terms and conditions of the Creative Commons Attribution (CC BY) license (https://creativecommons.org/licenses/by/4.0/).
Share and Cite
Zhan, H.; Jiang, C.; Lin, Z. A Novel Graph Reinforcement Learning-Based Approach for Dynamic Reconfiguration of Active Distribution Networks with Integrated Renewable Energy. Energies 2024, 17, 6311. https://doi.org/10.3390/en17246311
Zhan H, Jiang C, Lin Z. A Novel Graph Reinforcement Learning-Based Approach for Dynamic Reconfiguration of Active Distribution Networks with Integrated Renewable Energy. Energies. 2024; 17(24):6311. https://doi.org/10.3390/en17246311
Chicago/Turabian StyleZhan, Hua, Changxu Jiang, and Zhen Lin. 2024. "A Novel Graph Reinforcement Learning-Based Approach for Dynamic Reconfiguration of Active Distribution Networks with Integrated Renewable Energy" Energies 17, no. 24: 6311. https://doi.org/10.3390/en17246311
APA StyleZhan, H., Jiang, C., & Lin, Z. (2024). A Novel Graph Reinforcement Learning-Based Approach for Dynamic Reconfiguration of Active Distribution Networks with Integrated Renewable Energy. Energies, 17(24), 6311. https://doi.org/10.3390/en17246311
