Optimized Operation of Integrated Cooling-Electricity-Heat Energy Systems with AA-CAES and Integrated Demand Response
Abstract
1. Introduction
1.1. Motivation
1.2. Literature Review
1.3. Contributions and Organization
2. System Architecture
- (1)
- Energy supply: this includes wind turbines (WT), electricity grids (Grid), and natural gas companies (Gas).
- (2)
- Energy conversion equipment: this encompasses gas turbines (GT), gas boilers (GB), waste heat boilers (WHB), heat pumps (HP), electric refrigeration (ER), and absorption chillers (AC).
- (3)
- Energy storage equipment: this comprises AA-CAES, heat storage (HS), and cold storage (CS).
- (4)
- Energy demand: this includes electric loads, heating loads, and cooling loads.
3. System Modeling
3.1. IDR Modeling
3.1.1. Shiftable Loads
3.1.2. Adjustable Loads
3.1.3. Interruptible Loads
3.1.4. Replaceable Loads
3.2. Uncertainty Modeling
- (1)
- Randomly selecting initial centroids or utilizing alternative initialization methods.
- (2)
- Each sample point is assigned to the cluster with the nearest centroid.
- (3)
- The mean of all sample points in each cluster is computed to obtain the new centroids.
- (4)
- Steps (2) and (3) are iterated until the centroids converge or the maximum number of iterations is reached.
3.3. AA-CAES Modeling
4. Development of Operational Optimization Model
4.1. Objective Function
4.2. Constraints
4.2.1. Power Balance Constraints
4.2.2. Equipment Operating State Constraints
4.2.3. Energy Trading Volume Constraints
4.2.4. Initial State Constraints
4.3. Solution Method
5. Case Study
5.1. Data Description
5.2. Analysis of ICEHS Operation Results
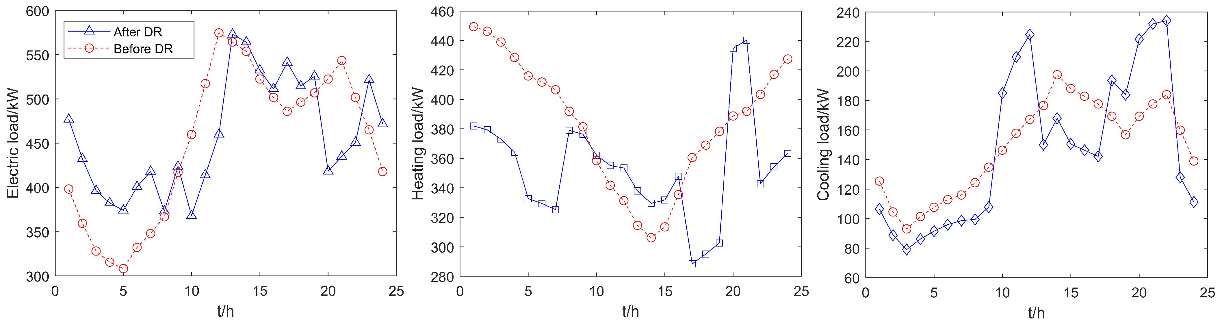
- The electric load after DR is higher than before DR from 22:00 to 09:00 the following day. This phenomenon can be attributed to two main reasons. Firstly, the cost of electricity is typically lower at night, allowing for the use of additional electric loads to supplant cooling and heating loads. Secondly, some of the electric load that would normally occur during periods of higher electricity prices is shifted to this period. As a result, the load levels for heating and cooling have decreased due to the substitution with electric loads.
- The electric load after DR is lower than before DR, while the heating and cooling loads after DR are higher than before DR from 09:00 to 12:00. The rationale behind this is that the price of electricity is the highest during this period, leading to a portion of the electric load being replaced by cooling load or heating load. Additionally, a portion of the electric load is shifted to the period of lower electricity prices. A similar phenomenon also occurs during the period from 19:00 to 22:00.
- The electric loads before and after DR show minimal change, whereas the heating load after DR shows an increase and the cooling load after DR shows a decrease from 12:00 to 17:00. The reason for this is that both the demand for heating load and the price of heating are low during this period. Moreover, this is an off-peak period for electricity prices, which results in some electric loads being substituted for heating loads and some cooling loads being substituted for electric loads.
- The electric and cooling loads after DR are higher than before DR, whereas the heating load after DR shows a decrease from 17:00 to 19:00. The rationale is that this current period is an off-peak period for electricity prices. Consequently, some of the increased demand for heating loads is replaced by electric loads. Moreover, the demand for cooling loads decreases during this period, resulting in part of the electric load demand being replaced by the cooling load.
5.3. ICEHS Benefit Analysis in Different Scenarios
5.4. Sensitivity Analysis for IDR
6. Conclusions
Author Contributions
Funding
Data Availability Statement
Conflicts of Interest
References
- Rifkin, J. The Third Industrial Revolution: How Lateral Power is Transforming Energy, the Economy, and the World; Palgrave MacMillan: New York, NY, USA, 2011; pp. 24–71. [Google Scholar]
- Zhu, Y.; Wu, S.; Li, J.; Jia, Q.; Zhang, T.; Zhang, X.; Tan, Y. Towards a carbon-neutral community: Integrated renewable energy systems (IRES)-sources, storage, optimization, challenges, strategies and opportunities. J. Energy Storage 2024, 83, 110663. [Google Scholar] [CrossRef]
- Alami, A.H.; Yasin, A.; Alrashid, R.; Alasad, S.; Aljaghoub, H.; Alabsi, G.; Shikhli, S. Experimental evaluation of compressed air energy storage as a potential replacement of electrochemical batteries. J. Energy Storage 2022, 54, 105263. [Google Scholar] [CrossRef]
- Huang, W.J.; Zhang, N.; Kang, C.Q.; Li, M.X.; Huo, M.L. From demand response to integrated demand response: Review and prospect of research and application. Prot. Control. Mod. Power Syst. 2019, 4, 12. [Google Scholar] [CrossRef]
- Behboodi, S.; Chassin, D.P.; Crawford, C.; Djilali, N. Renewable resources portfolio optimization in the presence of demand response. Appl. Energy 2016, 162, 139–148. [Google Scholar] [CrossRef]
- Zhou, Y.X.; Min, C.H.; Wang, K.; Xie, L.Y.; Fan, Y.H. Optimization of integrated energy systems considering seasonal thermal energy storage. J. Energy Storage 2023, 71, 108094. [Google Scholar] [CrossRef]
- Tan, J.; Wu, Q.W.; Zhang, X. Optimal Planning of Integrated Electricity and Heat System Considering Seasonal and Short-Term Thermal Energy Storage. IEEE Trans. Smart Grid 2023, 14, 2697–2708. [Google Scholar] [CrossRef]
- Chen, Q.; Wang, J.; Cang, M.; Zhai, X.; Cheng, X.; Wu, S.; Li, D. Optimal scheduling of a township integrated-energy system using the adjustable heat-electricity ratio model. Glob. Energy Interconnect. 2024, 7, 48–60. [Google Scholar] [CrossRef]
- Shen, W.; Zeng, B.; Zeng, M. Multi-timescale rolling optimization dispatch method for integrated energy system with hybrid energy storage system. Energy 2023, 283, 129006. [Google Scholar] [CrossRef]
- Wang, Y.L.; Liu, C.; Qin, Y.M.; Wang, Y.A.; Dong, H.R.; Ma, Z.B.; Lin, Y. Synergistic planning of an integrated energy system containing hydrogen storage with the coupled use of electric-thermal energy. Int. J. Hydrogen Energy 2023, 48, 15154–15178. [Google Scholar] [CrossRef]
- Jia, J.D.; Li, H.Q.; Wu, D.; Guo, J.C.; Jiang, L.L.; Fan, Z.M. Multi-objective optimization study of regional integrated energy systems coupled with renewable energy, energy storage, and inter-station energy sharing. Renew. Energy 2024, 225, 120328. [Google Scholar] [CrossRef]
- Zou, Y.Y.; Xu, Y.; Li, J.Y. Aggregator-Network Coordinated Peer-to-Peer Multi-Energy Trading via Adaptive Robust Stochastic Optimization. IEEE Trans. Power Syst. 2024, 39, 7124–7137. [Google Scholar] [CrossRef]
- Li, W.H.; Zou, Y.Y.; Yang, H.M.; Fu, X.Q.; Xiang, S.; Li, Z.B. Two stage Stochastic Energy Scheduling for Multi Energy Rural Microgrids with Irrigation Systems and Biomass Fermentation. IEEE Trans. Smart Grid 2024, 12, 1–12. [Google Scholar] [CrossRef]
- Jakiel, C.; Zunft, S.; Nowi, A. Adiabatic compressed air energy storage plants for efficient peak load power supply from wind energy: The European project AA-CAES. Int. J. Energy Technol. Policy 2007, 5, 296–306. [Google Scholar] [CrossRef]
- Yang, D.C.; Wang, M.; Yang, R.Q.; Zheng, Y.Y.; Pandzic, H. Optimal dispatching of an energy system with integrated compressed air energy storage and demand response. Energy 2021, 234, 121232. [Google Scholar] [CrossRef]
- Cao, R.F.; Cong, X.W.; Ni, H.X. Thermodynamic Analysis of a Hybrid Electrical Energy Storage System Integrating High-Temperature Thermal Energy Storage and Compressed Air Energy Storage for Mitigating Renewable Energy Curtailment. Energy Technol. 2021, 9, 2100293. [Google Scholar] [CrossRef]
- Wu, S.K.; Zhou, C.; Doroodchi, E.; Moghtaderi, B. Thermodynamic analysis of a novel hybrid thermochemical-compressed air energy storage system powered by wind, solar and/or off-peak electricity. Energy Convers. Manag. 2019, 180, 1268–1280. [Google Scholar] [CrossRef]
- Jadidbonab, M.; Babaei, E.; Mohammadi-ivatloo, B. CVaR-constrained scheduling strategy for smart multi carrier energy hub considering demand response and compressed air energy storage. Energy 2019, 174, 1238–1250. [Google Scholar] [CrossRef]
- Yu, W.A.; Ke, L.I.; Shuzhen, L.I.; Xin, M.A.; Chenghui, Z.H. A bi-level scheduling strategy for integrated energy systems considering integrated demand response and energy storage co-optimization. J. Energy Storage 2023, 66, 107508. [Google Scholar] [CrossRef]
- Adib, M.; Nasiri, F.; Haghighat, F. Integrating wind energy and compressed air energy storage for remote communities: A bi-level programming approach. J. Energy Storage 2023, 72, 108496. [Google Scholar] [CrossRef]
- Zhang, Z.; Chen, Y.; Ma, J.; Zhao, D.; Qian, M.; Li, D.; Wang, D.; Zhao, L.; Zhou, M. Stochastic optimal dispatch of combined heat and power integrated AA-CAES power station considering thermal inertia of DHN. Int. J. Electr. Power Energy Syst. 2022, 141, 108151. [Google Scholar] [CrossRef]
- Li, Y.; Miao, S.; Zhang, S.; Yin, B.; Luo, X.; Dooner, M.; Wang, J. A reserve capacity model of AA-CAES for power system optimal joint energy and reserve scheduling. Int. J. Electr. Power Energy Syst. 2019, 104, 279–290. [Google Scholar] [CrossRef]
- Xiong, Z.; Zhang, D.; Wang, Y. Optimal operation of integrated energy systems considering energy trading and integrated demand response. Energy Rep. 2024, 11, 3307–3316. [Google Scholar] [CrossRef]
- Yang, M.; Liu, Y. Research on multi-energy collaborative operation optimization of integrated energy system considering carbon trading and demand response. Energy 2023, 283, 129117. [Google Scholar] [CrossRef]
- Duan, J.; Xia, Y.; Cheng, R.; Gao, Q.; Liu, F. Low Carbon and Economic Optimal Operation of Electricity-gas Integrated Energy System Considering Demand Response. Sustain. Energy Grids Netw. 2024, 38, 101290. [Google Scholar] [CrossRef]
- Wang, Y.; Li, Y.; Zhang, Y.; Xu, M.; Li, D. Optimized operation of integrated energy systems accounting for synergistic electricity and heat demand response under heat load flexibility. Appl. Therm. Eng. 2024, 243, 122640. [Google Scholar] [CrossRef]
- Ren, S.H.; Dou, X.; Wang, Z.; Wang, J.; Wang, X.Y. Medium- and Long-Term Integrated Demand Response of Integrated Energy System Based on System Dynamics. Energies 2020, 13, 710. [Google Scholar] [CrossRef]
- Zhou, D.; Zhu, Z. Urban integrated energy system stochastic robust optimization scheduling under multiple uncertainties. Energy Rep. 2023, 9, 1357–1366. [Google Scholar] [CrossRef]
- Li, P.; Wang, Z.; Wang, N.; Yang, W.; Li, M.; Zhou, X.; Yin, Y.; Wang, J.; Guo, T. Stochastic robust optimal operation of community integrated energy system based on integrated demand response. Int. J. Electr. Power Energy Syst. 2021, 128, 106735. [Google Scholar] [CrossRef]
- Song, Y.; Mu, H.; Li, N.; Wang, H.; Kong, X. Optimal scheduling of zero-carbon integrated energy system considering long-and short-term energy storages, demand response, and uncertainty. J. Clean. Prod. 2023, 435, 140393. [Google Scholar] [CrossRef]
- Wang, Y.; Lin, J.; Dong, H.; Wang, Y.; Zeng, M. Demand response comprehensive incentive mechanism-based multi-time scale optimization scheduling for park integrated energy system. Energy 2023, 270, 126893. [Google Scholar] [CrossRef]
- Yang, X.; Wang, X.; Deng, Y.; Mei, L.; Deng, F.; Zhang, Z. Integrated energy system scheduling model based on non-complete interval multi-objective fuzzy optimization. Renew. Energy 2023, 218, 119289. [Google Scholar] [CrossRef]
- Kirschen, D.S.; Strbac, G.; Cumperayot, P.; de Paiva Mendes, D. Factoring the elasticity of demand in electricity prices. IEEE Trans. Power Syst. 2000, 15, 612–617. [Google Scholar] [CrossRef]
- Shao, C.; Ding, Y.; Wang, J.; Song, Y. Modeling and integration of flexible demand in heat and electricity integrated energy system. IEEE Trans. Sustain. Energy 2017, 9, 361–370. [Google Scholar] [CrossRef]
- Zhou, S.; Han, Y.; Chen, S.; Yang, P.; Mahmoud, K.; Darwish, M.M.; Matti, L.; Zalhaf, A.S. A multiple uncertainty-based bi-level expansion planning paradigm for distribution networks complying with energy storage system functionalities. Energy 2023, 275, 127511. [Google Scholar] [CrossRef]
- Xu, Y.; Dong, Z.Y.; Zhang, R.; Hill, D.J. Multi-timescale coordinated voltage/var control of high renewable-penetrated distribution systems. IEEE Trans. Power Syst. 2017, 32, 4398–4408. [Google Scholar] [CrossRef]
- Mohammad, M.; Younes, N.; Behnam, M.; Hossein, Y. Energy hub: From a model to a concept—A review. Renew. Sustain. Energy Rev. 2017, 80, 1512–1527. [Google Scholar] [CrossRef]








| Peak Time | Shoulder Time | Valley Time | |
|---|---|---|---|
| Peak time | −0.1 | 0.016 | 0.012 |
| Shoulder time | 0.016 | −0.1 | 0.01 |
| Valley time | 0.012 | 0.01 | −0.1 |
| Type | Time Period | Price (RMB/kWh) |
|---|---|---|
| Peak time | 09:00–12:00 19:00–22:00 | 1.09 |
| Shoulder time | 08:00–09:00 12:00–19:00 22:00–24:00 | 0.68 |
| Valley time | 00:00–08:00 | 0.35 |
| Type | Time Period | Price (RMB/kWh) |
|---|---|---|
| Peak time | 21:00–04:00 | 0.58 |
| Shoulder time | 04:00–07:00 15:00–21:00 | 0.36 |
| Valley time | 07:00–15:00 | 0.25 |
| Type | Time Period | Price (RMB/kWh) |
|---|---|---|
| Peak time | 10:00–14:00 19:00–22:00 | 0.58 |
| Shoulder time | 07:00–10:00 14:00–17:00 22:00–24:00 | 0.36 |
| Valley time | 00:00–07:00 17:00–19:00 | 0.25 |
| Equipment | Upper Limit (kW) | Operation and Maintenance Cost (RMB/kW) | Carbon Emission (kg/kWh) | Efficiency |
|---|---|---|---|---|
| WT | 1000 | 0.0296 | 0 | — |
| GT | 1000 | 0.0352 | 0.72 | 0.3 |
| WHB | 1000 | 0.025 | 0.4 | 0.8 |
| GB | 1000 | 0.02 | 0.46 | 0.85 |
| HP | 100 | 0.025 | — | 2.5 |
| ER | 100 | 0.02 | — | 2 |
| AC | 100 | 0.01 | — | 1 |
| Grid | — | — | 0.95 | — |
| Scenario | Operation and Maintenance Cost (RMB) | Energy Purchase Cost (RMB) | Carbon Emission Cost (RMB) | Demand Response Cost (RMB) | Total Daily Operating Cost (RMB) | Carbon Emissions (kg) |
|---|---|---|---|---|---|---|
| 1 | 630.69 | 3860.72 | 214.51 | 240.28 | 4946.21 | 6919.81 |
| 2 | 656.82 | 4192.22 | 235.67 | 0 | 5084.71 | 7602.13 |
| 3 | 620.02 | 3922.82 | 216.81 | 240.28 | 4999.92 | 6993.78 |
| 4 | 643.23 | 4305.57 | 239.84 | 0 | 5188.64 | 7736.87 |
Disclaimer/Publisher’s Note: The statements, opinions and data contained in all publications are solely those of the individual author(s) and contributor(s) and not of MDPI and/or the editor(s). MDPI and/or the editor(s) disclaim responsibility for any injury to people or property resulting from any ideas, methods, instructions or products referred to in the content. |
© 2024 by the authors. Licensee MDPI, Basel, Switzerland. This article is an open access article distributed under the terms and conditions of the Creative Commons Attribution (CC BY) license (https://creativecommons.org/licenses/by/4.0/).
Share and Cite
Ma, T.; Peng, L.; Wu, G.; Chen, D.; Zou, X. Optimized Operation of Integrated Cooling-Electricity-Heat Energy Systems with AA-CAES and Integrated Demand Response. Energies 2024, 17, 6000. https://doi.org/10.3390/en17236000
Ma T, Peng L, Wu G, Chen D, Zou X. Optimized Operation of Integrated Cooling-Electricity-Heat Energy Systems with AA-CAES and Integrated Demand Response. Energies. 2024; 17(23):6000. https://doi.org/10.3390/en17236000
Chicago/Turabian StyleMa, Tiannan, Lilin Peng, Gang Wu, Danhao Chen, and Xin Zou. 2024. "Optimized Operation of Integrated Cooling-Electricity-Heat Energy Systems with AA-CAES and Integrated Demand Response" Energies 17, no. 23: 6000. https://doi.org/10.3390/en17236000
APA StyleMa, T., Peng, L., Wu, G., Chen, D., & Zou, X. (2024). Optimized Operation of Integrated Cooling-Electricity-Heat Energy Systems with AA-CAES and Integrated Demand Response. Energies, 17(23), 6000. https://doi.org/10.3390/en17236000
