Abstract
The aim of this paper is to examine the relationship between the operating parameters of electric vehicles (EVs) and parameters related to road conditions. The data for analysis came from urban driving trips conducted at different times of day. The average energy consumption was the dependent variable in the model. The following parameters were used as independent variables: the stopping time;; the journey time; the average speed; the quartiles of speed, acceleration, and deceleration, and their maximum values; the number of braking; stops; and the acceleration time and regenerative braking. A multiple linear regression model was developed to predict the average energy demand of an EV based on its kinematic parameters. The proposed model enables the analysis of the influence of various factors related to the route and driving style of the driver on the average energy consumption in the vehicle.
1. Introduction
Electric vehicles are gaining traction worldwide, not just in Europe. In Poland, new BEV (Battery Electric Vehicle) registrations surged from 1419 units in 2019 to 11,334 in 2022 [1,2,3]. This trend mirrors the broader European market, where the EU (European Union), EFTA (European Free Trade Association), and the United Kingdom saw a jump from 353,684 units in 2019 to 1,533,887 in 2022. As a result, drivers are increasingly opting for electric vehicles, with sales of gasoline- and diesel-powered vehicles declining. Data from the European Automobile Manufacturers’ Association (ACEA) confirm this shift, showing a year-on-year rise in new electric vehicle registrations across both Poland and the EU.
Government initiatives have significantly spurred the adoption of electric vehicles. These initiatives have taken various forms, including purchase subsidies in some countries [4,5] and tax breaks on electric vehicle acquisition in others [6]. Research efforts are continuously underway to analyze market trends and customer sentiment towards electric cars. Several studies have explored factors influencing consumer adoption of electric vehicles [7,8]. A prominent factor is government purchase subsidies [9]. A study by [10] investigated the impact of electric vehicle purchase incentives on new EV registrations in Europe. Employing a questionnaire methodology, another study [11] examined the socioeconomic and behavioral determinants influencing the purchase decision for electric and hybrid vehicles. Furthermore, research by [12,13] analyzed the influence of range anxiety on purchase willingness, revealing a diminishing effect of range expectations with increased experience using electric vehicles.
Prospective electric vehicle owners frequently express concerns regarding their ability to complete desired journeys. This phenomenon, known as range anxiety, has been the focus of numerous studies. These studies have investigated both the prevalence of driver anxiety surrounding EV range and the subsequent impact of this anxiety on driving behavior [14,15,16]. Research suggests that factors such as extensive EV-driving experience and readily accessible charging infrastructure significantly contribute to the reduction in range anxiety [17,18].
Concerns regarding driving range have motivated research into the optimal location of charging stations [19,20] and the characteristics influencing their effective deployment [21,22]. Studies have demonstrated that the development of a robust EV-charging infrastructure is essential for facilitating a wider adoption of electric vehicles within the market [23].
Electric vehicle energy consumption varies significantly, depending on usage conditions, directly impacting range. Consequently, research has extensively investigated the analysis of electric vehicle energy consumption, state of charge (SOC), and range prediction [24,25,26,27]. Various methodologies can be employed to analyze and predict range changes under diverse driving conditions. Notably, numerous authors have proposed proprietary models to describe the factors influencing range variation [28]. The verification of these models is often conducted through simulation studies or real-world testing. Additionally, range prediction using neural networks is a viable approach, as demonstrated in [29]. In contrast, the study by [30] opted to investigate range based on real-world driving data collected under varying weather conditions. Furthermore, research presented in [31] employed real-world conditions and utilized an On-Board Diagnostics (OBD) system and a diagnostic computer to analyze the energy consumption of a plug-in hybrid vehicle.
The concept of “range prediction” is prevalent in the literature, with various models and assumptions being employed for its realization. These models undergo subsequent verification processes [32,33,34]. For instance, the research presented in [35] utilized a MATLAB-based model to investigate the variation in range experienced by a Nissan Leaf under different ambient-temperature conditions. The developed model was subjected to simulation tests that incorporated data on battery-charging behavior and discharge patterns. The ambient temperature range encompassed −15 °C to +20 °C. The results indicated a comparable reduction in range across the NEDC (New European Driving Cycle), FUDS (Federal Urban Driving Schedule), and SFUDS (Simplified FUDS) drive cycles. Specifically, the range was observed to be approximately 150 km at +20 °C, 85 km at 0 °C, and only 60 km at −15 °C.
The study [36] employed computer simulation methods to assess range variations under diverse driving conditions. The investigation utilized standardized drive cycles including the NEDC cycle, the Artemis cycle (encompassing urban, road, and motorway segments), the Helsinki City Cycle, and the Finnish Road Cycle. The Artemis cycle is designed for a versatile riding experience, combining urban, suburban, and highway conditions. The Helsinki City Cycle and Finnish Road Cycle are tailored specifically for their respective cities and accurately reflect real-world riding conditions. The core objective of the simulation studies was to quantify the impact of ambient temperature and road surface characteristics on range achievable with a single full charge. The findings revealed a temperature-dependent range reduction from 5% to 34% when the ambient temperature decreased from +23 °C to 0 °C. Furthermore, a more significant range decrease from 18% to 57% was observed at −20 °C.
The energy consumption of a vehicle, and consequently its range, is demonstrably influenced by cabin-heating or -cooling systems [37]. A study [38] developed a model to simulate a heating, ventilation, and air-conditioning (HVAC) system, with and without a heat pump. A simulation study was performed to investigate the influence of cabin-heating or -cooling systems on the energy consumption of an electric vehicle. The vehicle model was created using the Modelica software and has a maximum range of 94 km. Following model simulation and validation, the research revealed that utilizing the HVAC system can reduce range by up to 14%. The modeled vehicle’s electric range declined from 94 km to 72 km in summer and 79 km in winter. In contrast, research presented in [39] focused on modeling both cabin thermal comfort and energy consumption. Their analysis indicated that achievable range varies depending on the time of day, ambient temperature, and pre-conditioning of the cabin temperature. The reported range values spanned from 95 km to 128 km.
The impact of regenerative braking models on energy consumption was investigated in [40] through the implementation and validation of parallel and serial regenerative braking models. The validation process involved NEDC testing on a chassis dynamometer. The research demonstrated that the use of the authors’ parallel regenerative braking system can enhance energy efficiency and extend range by approximately 10%. Furthermore, serial braking was found to offer an even greater range increase of 12.6%. In a separate study [41], simulations were employed to assess the impact of various parameters on range. The authors investigated the influence of vehicle weight and battery capacity. Their findings revealed that both factors significantly affect range. Notably, the study highlighted that for shorter distances, a smaller battery capacity can lead to a range increase exceeding 1 km per 1 kWh. The study presented in [42] leveraged real-world trip data to develop an online range-prediction model. This model served as the foundation for an application that estimates range for a chosen route, considering the provided SOC value. Additionally, the application identifies segments along the route where external factors may influence the predicted range.
Electric vehicle range research can be effectively conducted through real-world data analysis. This approach involves recording and interpreting actual operating parameters experienced by the vehicle during operation [43,44]. Alternatively, research can be carried out using a chassis dynamometer, which simulates real-world driving conditions [45]. Computer simulation software designed specifically for electric vehicle modeling offers another research avenue [46]. This approach involves developing a digital model of the vehicle based on its actual specifications. Subsequently, simulation studies can be conducted on this model using two primary methods. The first method utilizes real-world trip data recorded from the test vehicle, encompassing parameters such as speed, time, and acceleration [47,48,49,50]. These data serve as input for simulating the performance of the developed vehicle model. Alternatively, the second method leverages standardized drive cycles typically employed in vehicle homologation testing for simulation purposes [51,52,53]. A study presented in [54] analyzed real-world electric vehicle journeys and demonstrated that energy consumption is influenced by a multitude of factors, including driver behavior and road infrastructure. This highlights the need for manufacturers to provide more precise range estimates, as real-world measurements often deviate from advertised values. In another study [55], a comprehensive database of electric vehicles and their energy consumption patterns was established. Subsequently, statistical analysis was conducted to identify correlations between vehicle characteristics, energy consumption, and range variations.
Real-world studies have motivated numerous researchers to develop models for predicting electric vehicle energy consumption. The study presented in [26] employed linear regression to construct three models and assess their ability to accurately describe electric vehicle energy consumption based solely on kinematic parameters. A coefficient of determination (R2) was utilized to evaluate model-fitting accuracy, revealing values of 0.89 and 0.97 for the first and second models, respectively. Similarly, the research presented in [56] leveraged linear regression models to describe energy consumption and the associated methodology for model creation. This approach served as the foundation for developing an energy consumption prediction model.
The study presented in [57] utilized a Vehicle-Specific Power (VSP) calculation as the foundation for developing electric vehicle energy consumption models. These models effectively explained the energy consumption of electric vehicles under various driving conditions encountered on different road types. Notably, average speed was one of the parameters incorporated into the model. The goodness-of-fit for the models was exceptionally high, with adjusted R2 values ranging from 0.996 to 0.999. Building upon the work of previous researchers, the study by [58] employed a linear regression model to analyze electric vehicle energy consumption. The authors identified four key categories of influencing factors: infrastructure, topography, traffic, and climate. Subsequently, they conducted a mathematical analysis to assess the individual significance of each selected factor on energy consumption. The resulting adjusted R2 value of 0.62 indicated a moderate correlation between the model and the data. This finding enabled the development of a binary model to determine the level of independent variables. Notably, this approach facilitated the exclusion of potential interactions between the various factors. The study presented in [59] investigated the relationship between energy consumption and the values of acceleration, deceleration, and idle power consumption. Stepwise regression models were developed for each scenario, demonstrating a good fit with adjusted R2 values of 0.973 for acceleration rate, 0.898 for deceleration rate, and 0.965 for constant speed driving. In contrast, the research in [60] focused on describing vehicle energy efficiency using a multiple linear regression model. This model incorporated data on speed, acceleration, road slope, and previously recorded efficiency. The analysis revealed that all included variables contribute to explaining efficiency at 28.5% for speeds below 35 km/h and at 60.1% for higher speeds. Furthermore, the study highlighted that the relative influence of each variable on the model varies depending on the speed level.
Another study [61] employed a mixed-effects multilevel linear regression model to analyze energy consumption. This model incorporated both known (recorded) and random factors to determine energy consumption. The known parameters included travel time, average speed, slope, and distance. The analysis revealed that these mixed-effects models can effectively explain 80–94% of the variation observed in energy efficiency. The study by [62] investigated the impact of various factors on energy consumption using three linear regression models. The models incorporated parameters such as average speed, ambient temperature, air-conditioning usage, and the influence of road slope. The first model, excluding ambient temperature, achieved a fit of 0.76. Including ambient temperature in the second model improved the fit to 0.78. The third multilevel mixed-effects model achieved the highest fit of 0.81, indicating its superior ability to explain the data. Using data from simulations and real-world tests, the study presented in [34] analyzed electric vehicle energy consumption with linear regression models. Kinematic parameters of the vehicle’s motion served as the dependent variables within the models. The analysis revealed a relatively low relative error. The model based on simulation data exhibited an error of less than 5%, while the error for the model based on experimental data was estimated to be below 2%. These findings highlight the potential accuracy of simulation-based approaches in predicting real-world energy consumption.
The study presented in [63] employed a machine-learning-based variable selection model to analyze electric vehicle energy consumption. This approach, which utilized data augmentation techniques, demonstrably improved model quality compared to other established machine-learning models. In contrast, the research in [64] leveraged four distinct machine-learning models to describe energy consumption. These models incorporated data on vehicle speed, road slope, battery voltage, and load. The analysis revealed that the machine-learning-developed models achieved a high degree of accuracy, with an R2 value of 0.99. Building upon the work presented in [64], the study in [65] utilized a machine-learning approach within a Python environment to develop a comprehensive electric vehicle energy consumption model. The model incorporated various parameters influencing energy consumption, including defined driving style, road type, route length, and air-conditioning usage. Three distinct machine-learning models were employed: multiple linear regression, support vector regression (SVR), and extreme gradient boosting (XGBoost). These models were constructed based on the aforementioned parameters. The analysis revealed that the models achieved varying degrees of accuracy in describing energy consumption, with R2 values ranging from 0.83 to 0.92.
The present research aims to investigate the influence of selected kinematic parameters on EV energy consumption under urban driving conditions. Electric vehicles are becoming increasingly popular due to their environmental benefits and technological advancements. Understanding the factors that influence energy demand is crucial for optimizing vehicle efficiency and range. This study aims to identify key parameters that contribute to energy usage and develop a multiple linear regression model to predict energy demand in urban driving conditions. Analyzing electric vehicle energy usage under various driving conditions has been the subject of extensive research. Accurately determining energy consumption for a specific route requires considering numerous variables. Existing studies have explored the influence of factors such as driving speed, acceleration, deceleration, road grade, ambient temperature, and traffic conditions on energy consumption. However, a comprehensive investigation of the influence of selected kinematic parameters on energy consumption in urban driving conditions is still lacking. This study aims to address this gap by examining the relationship between kinematic parameters and energy consumption in real-world urban driving scenarios.
Based on a literature review, the Authors observed that despite the expansion of these parameters in some studies, a more detailed analysis of vehicle kinematic parameters was still lacking. The inclusion of quartiles, median, and mean allows for a more precise characterization of the distribution of speed and other motion parameters. Additionally, with a broader range of input data, the model can better represent real-world driving conditions and more accurately predict energy consumption. The introduction of new indicators creates opportunities for further research into the impact of various aspects of driving on energy consumption. Due to its increased level of detail, the model can be applied to a wider range of applications, such as route optimization, fleet management, and the evaluation of the impact of various technologies on energy consumption.
The findings of this study are expected to contribute to a deeper understanding of the factors influencing energy consumption of EV in urban environments. The developed multiple linear regression model can serve as a valuable tool for predicting energy usage and identifying strategies to improve vehicle efficiency. Additionally, the insights gained from this research can inform the development of eco-driving techniques and intelligent energy management systems for electric vehicles.
2. Methodology
2.1. Test Route Specifications
Five urban road segments were selected for measurements, each approximately 5 km in length and exhibiting distinct characteristics and traffic patterns. A total of 28 test drives were conducted. A part of the routes consisted of city exit roads, where traffic was relatively low and the vehicle smoothly covered the test section with few stops. The remaining routes included driving on other city center streets, where traffic intensity was higher. Route characteristics:
- Route type: city exit roads with relatively low traffic volume, allowing the vehicle to traverse the test section smoothly with minimal stops, as well as downtown streets with higher traffic density;
- Time of day: midday, between morning and afternoon rush hours, and the time during the afternoon rush hour.
Specification of the routes:
- City exit road with a 70 km/h speed limit (Figure 1b);
Figure 1. Exemplary routes selected for research: (a) residential route, (b) city exit route (brown and red triangles indicate the direction of travel of the test vehicle). - City exit road with a 50 km/h speed limit and a significant elevation change of over 60 m between the highest and lowest points;
- Two routes through the city center characterized by heavy traffic;
- Residential route with significant speed restrictions due to infrastructure (Figure 1a).
The selected routes encompass a diverse range of urban driving conditions, enabling a comprehensive assessment of the influence of kinematic parameters on electric vehicle energy demand. By including routes with varying traffic densities, speed limits, and elevation profiles, this study can account for the influence of these factors on energy usage patterns. Additionally, conducting measurements at different times of day allows for evaluating the effect of traffic congestion on energy consumption.
2.2. Measurement Equipment, Data Analysis, and Model Development
The test vehicle employed in this study was a Hyundai Kona, as depicted in Figure 2a. To capture the kinematic parameters of the vehicle’s motion, a data-logger-type CGPSLA Kistler™ (Winterthur, Switzerland) (Figure 2b) was utilized. The measurement equipment was plugged into the vehicle’s power outlet, and the GPS unit was mounted on the roof. The sampling frequency was 10 Hz. This data logger recorded a comprehensive set of data, including travel time, instantaneous speed, immediate longitudinal acceleration, distance traveled, and immediate position. The collected data were subsequently employed to generate speed profiles characteristic of each route.
Figure 2.
Research equipment: (a) Hyundai Kona test vehicle, (b) Kistler CGPSLA CDS-GPS Data Logger, (c) BOSCH KTS 530 Diagnostic Tester.
Vehicle performance parameters, such as energy consumption, were recorded using a BOSCH diagnostic tester connected to the vehicle’s OBD (On-Board Diagnostics) port (Figure 2c). This enabled the collection of detailed data on the vehicle’s energy usage during each test drive.
Following their acquisition under real-world traffic conditions, the route profiles were meticulously verified for accuracy and subjected to further statistical analysis. The primary vehicle-operating parameter chosen for in-depth analysis was average energy consumption. Additionally, a comprehensive analysis of the kinematic parameters associated with the vehicle’s motion was conducted for each trip. These parameters encompassed speed, longitudinal acceleration, travel time, the number of stops and braking events, the proportion of stopping time relative to the total trip duration, and the percentage of time spent braking compared to driving. Statistical analyses were performed on each kinematic parameter, with their respective distributions being presented for further examination.
Using the previously mentioned parameters, a model was constructed to predict the average energy consumption of an electric vehicle in urban driving scenarios using selected kinematic motion parameters. Multiple linear regression was utilized for this task. The statistical calculations were performed using Statistica® version 13 software.
3. Results
3.1. Statistical Analysis of the Kinematic Parameters of Electric Vehicle Movement
Travel duration and average speed exhibited variability dependent upon route type, serving as indicators of traffic density. Notably, specific intersections displayed characteristics of short travel times and high average speeds. Conversely, trips undertaken specifically within the urban center during rush hour exhibited lower average speeds, resulting in correspondingly extended travel durations. Figure 3 illustrates examples of recorded speed profiles in relation to time.
Figure 3.
Example of speed profiles obtained on selected routes (a) at noon and (b) during rush hour.
Kinematic parameters, such as speed, acceleration, and travel time, describe vehicle motion independent of acting forces. These parameters capture a vehicle’s motion relative to time, distance, and changes in speed, finding practical applications in analyzing traffic dynamics. Some of the recorded parameters were divided into quartiles (acceleration, deceleration, speed) due to the need for indicators that accurately describe traffic conditions. Additionally, this allowed for the selection of variables that may have a greater impact on vehicle energy consumption (e.g., high deceleration values).
This study focuses on the following kinematic parameters:
- Total travel time (tc) and the percentage breakdown of movement phases: acceleration time (ta), regenerative braking time (tr), and stopping time (ts);
- Speed: average speed (Vs), median speed (Vmed), and first quartile speed (VQ1);
- Longitudinal acceleration: maximum acceleration (amax), average acceleration (as), median acceleration (amed), and third-quartile acceleration (aQ3). Longitudinal deceleration: maximum deceleration (dmax), average deceleration (ds), median deceleration (dmed), and third-quartile deceleration (dQ3);
- Number of stops in a run (s);
- Number of brakes in a run (b).
The distributions of the analyzed parameters are shown using box plots (Figure 4, Figure 5, Figure 6 and Figure 7).
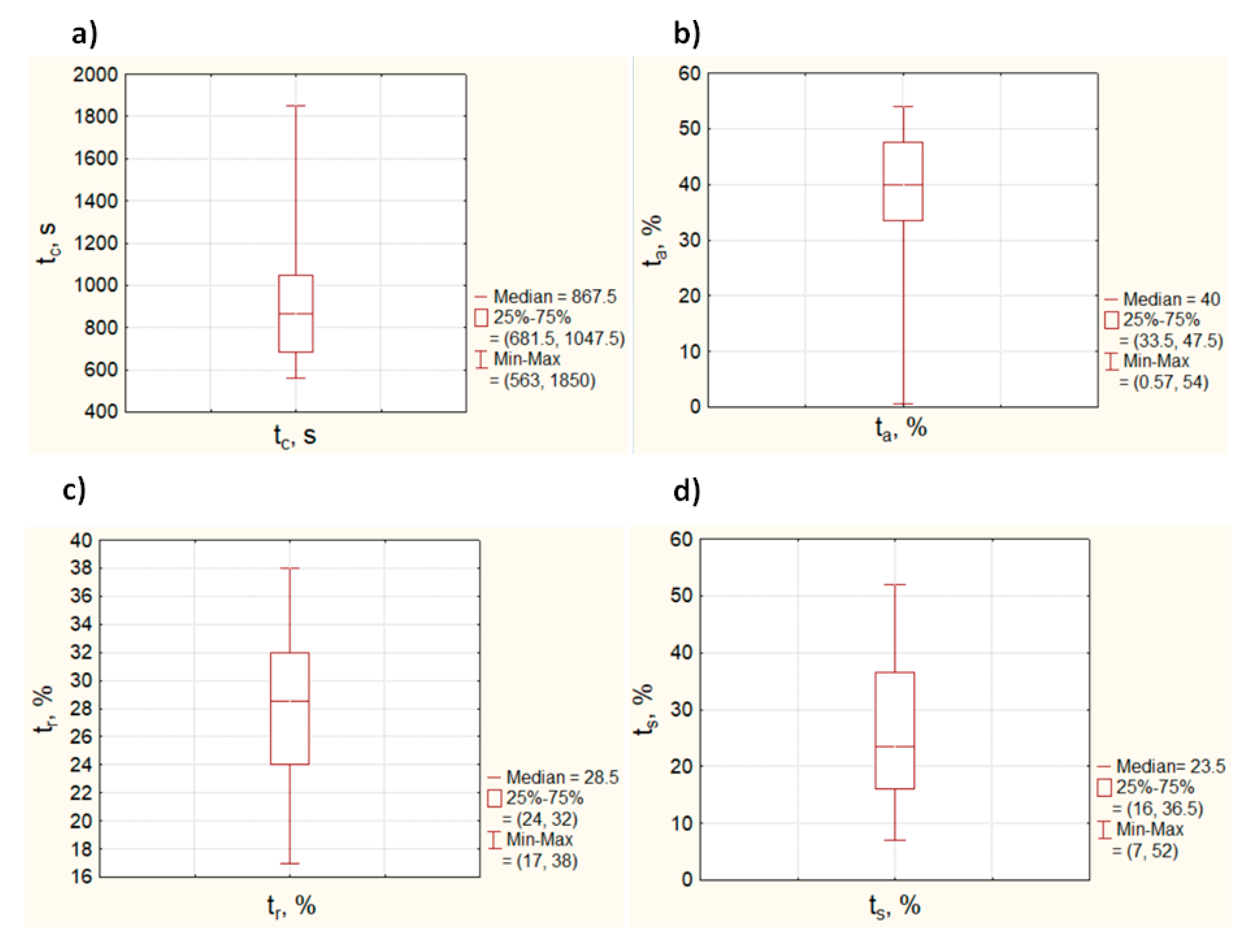
Figure 4.
Distribution of trip duration components: (a) total trip time (tc), (b) acceleration-time share (ta), (c) regenerative-braking-time share (tr), and (d) stopping-time share (ts).
Figure 5.
Speed distribution analysis: (a) average speed (Vs), (b) median average speed (Vmed), (c) first-quartile average speed (VQ1).
Figure 6.
Acceleration and deceleration distributions: (a) third-quartile accelerations (aQ3), (b) maximum accelerations (amax), (c) third-quartile decelerations (dQ3), (d) maximum decelerations (dmax).
Figure 7.
Distribution of (a) braking events (b) and (b) stops (s) in analyzed trips.
The trip durations exhibited a range from 563 s (shortest) to 1820 s (longest), with an average travel time of 942 s. The standard deviation of trip durations was 349 s. Notably, 50% of the trips fell within a range of 600 to 1000 s, as illustrated in Figure 4a. On average, stopping time (ts) constituted approximately 30% of the total trip time (tc). This value ranged from a minimum of 7% to a maximum of 52%, depending on traffic volume on the selected routes. The share of regenerative braking time (tr) averaged around 30% of the trip duration. Acceleration time (ta) occupied the largest portion of the trip, accounting for roughly 40% of the total travel time. Figure 4 visually represents the distributions of these time shares.
The analysis of vehicle speed revealed an average speed (Vs) of 21.3 km/h for the analyzed routes. The median speed (Vmed) was close at 21.5 km/h. To gain a deeper understanding of the speed distribution and typical traffic conditions, the first quartile of speed (VQ1) was incorporated. VQ1 represents the speed threshold exceeded by represents the speed threshold above 75% of all recorded observations. In this case, the range of recorded VQ1 values was 24.6 km/h, indicating the speed that characterizes the majority of the trips. Figure 5 presents the distributions of Vs, Vmed, and VQ1.
Longitudinal acceleration is a kinematic parameter that quantifies changes in vehicle speed over time. This study focused on the maximum acceleration (amax) and its third quartile (aQ3), as well as the maximum deceleration (dmax) and its third quartile (dQ3). Analyzing both the maximum values and the third quartiles provides valuable insights into traffic dynamics. Maximum acceleration (amax) and maximum deceleration (dmax) represent the highest recorded values experienced during the trips. These peak values are significantly higher compared to the values of the third quartiles (aQ3, dQ3). The third quartile signifies the threshold below which most observations fall, providing a more representative picture of typical longitudinal acceleration and deceleration experienced during the trips. The difference between the highest and lowest values within the third quartile of acceleration (aQ3) was 0.9 m/s2, whereas for the third quartile of deceleration (dQ3) was 0.3 m/s2. In contrast, the maximum acceleration values (amax) ranged from 2.3 to 5.9 m/s2, and the maximum deceleration values (dmax) ranged from 2.8 to 8.9 m/s2. Figure 6 shows box plots of the analyzed longitudinal acceleration parameters.
The number of braking events (b) and the number of stops (s) can be considered kinematic parameters relevant to analyzing traffic dynamics. The average number of brakings per trip was 29, and the average number of stops per trip was 15 (Figure 7). These frequent maneuvers are characteristic of stop-and-go traffic commonly encountered in urban areas. Under such conditions, the highest-recorded number of braking events reached 79, and the highest number of stops was 40. Conversely, smoother traffic resulted in significantly fewer braking events, with a minimum of 8 observed and a minimum of 3 stops.
3.2. Analysis of Average Electric Vehicle Energy Consumption
Onboard diagnostics (OBD) technology was employed to record average energy consumption for each analyzed trip. Figure 8 presents a box plot depicting the distribution of average energy consumption across the studied routes.
Figure 8.
Distribution of average energy consumption.
This study investigated the average energy usage of an electric car in 28 urban trips under varying traffic volumes. Analyzing this distribution provides valuable information on the vehicle’s energy efficiency in diverse conditions. As expected, routes with heavier traffic likely necessitated more frequent braking and acceleration, potentially affecting the vehicle’s efficiency. The recorded average energy demand ranged from 9.3 kWh/100 km to 20.7 kWh/100 km, with an average of 14.3 kWh/100 km across the selected routes.
The highest energy consumption was recorded on the residential route, characterized by specific traffic conditions. This route is marked by numerous speed restrictions caused by road infrastructure (crosswalks, speed bumps, residential zones), commercial establishments, and parking areas, which affect traffic flow. The route with the lowest energy consumption was the city’s outbound route, where speeds of up to 70 km/h were possible and high traffic flow was observed, even during peak hours.
3.3. Development of an Average Energy Consumption Model for Electric Vehicle
The previously described kinematic parameters of the EV were leveraged to construct a model for predicting average energy demand. The model employed the multiple linear regression method, where average energy consumption served as the dependent variable. Explanatory variables were carefully chosen from the set of kinematic parameters. Equation (1) presents the general additive form of the mathematical model. In this Equation, ki represents the weighting factor associated with the i-th kinematic parameter (xi), which characterizes the movement characteristics of the electric vehicle.
To identify potential multicollinearity issues and to gain a better understanding of the relationships between variables, a correlation analysis was performed on all variables prior to model development. Correlation analysis allows for the elimination of highly correlated variables, which increases the interpretability and transparency of the model. It also allows for the identification of variables with the greatest influence on the dependent variable, improving model accuracy. In this paper, the degree of correlation between variables was determined according to [66]. Table 1 shows levels of relationship and corresponding correlation coefficient values.
Table 1.
Correlation grading table of Pearson coefficients (r) [based on [66]].
The correlation coefficients between the dependent and independent variables are shown in Table 2.
Table 2.
Pearson correlation coefficients (r) between dependent variable EM and independent variables xi.
The analysis revealed a correlation between the examined kinematic parameters of the electric vehicle and its average energy consumption. Specifically, variables Vmed, VQ1, tr, ts, Tc, and s demonstrated a moderate and strong correlation with the dependent variable E. Conversely, variables amax, dQ3, and dmax were found to be uncorrelated with energy consumption. The remaining variables exhibited a very weak correlation with the dependent variable. All correlation coefficients were statistically significant. The calculated correlation coefficients were statistically significant, as the p-value for the variables presented in the table was higher than the accepted significance level (p < 0.05).
To select the most suitable explanatory variables, a correlation analysis was performed among all independent variables (Table 3). The results indicated a strong and very strong correlation between variables Vs, Vmed, and VQ3, and variables Tc and b. Given that one of the assumptions of a valid regression model is the absence of multicollinearity, these highly correlated variables were excluded from the final model. Based on the correlation analysis results, variables VQ1, Tc, tr, ts, and s were selected as explanatory variables for the model describing electric vehicle energy consumption (E).
Table 3.
Pearson coefficients correlation matrix among independent variables.
The kinematic parameters identified in the previous analysis were utilized to develop a linear regression model for estimating the mean energy consumption EM of an electric vehicle operating in an urban condition. The model included five significant kinematic parameters: VQ1, Tc, tr, ts, and s. The mathematical representation of the developed model is given below:
The multiple correlation coefficient (R) was calculated to be 0.84, signifying a strong positive linear relationship between the dependent variable and the combined influence of the independent variables. The adjusted R-squared value of 0.65 indicates that 65% of the total variation in the dependent variable can be attributed to the variation in the independent variables included in the model. The standard error of the estimate was determined to be 1.70, suggesting a relatively precise fit of the model to the data. Furthermore, the F-statistic of 11.25, associated with a p-value of 0.00002, is highly significant (p < 0.05), providing strong evidence that the overall regression model is statistically significant.
Statistical analysis revealed that the coefficients associated with variables Tc, tr, and ts were statistically significant (p < 0.05). This suggests that these variables have a meaningful influence on the dependent variable. However, the coefficients for VQ1 and s were not found to be statistically significant, indicating that these variables do not contribute significantly to the variation in the dependent variable EM.
The assumption of normality of the residuals is a fundamental prerequisite for many statistical inference procedures. To assess this assumption, a Shapiro–Wilk test was conducted, and a normal probability plot was constructed (Figure 9). The results indicate that the residuals are approximately normally distributed, with the majority of the data points falling close to the expected straight line. Although minor deviations from normality are evident in the tails of the distribution, these deviations are considered negligible for the purposes of this analysis.
Figure 9.
Normal probability plot of the residuals.
The assumption of homoscedasticity was investigated. A White test for heteroscedasticity was conducted, resulting in a p-value of 0.098 and an F-statistic of 2.56, which failed to reject the null hypothesis of homoscedasticity. Additionally, the potential issue of multicollinearity among the predictor variables was examined. The variance inflation factors (VIFs) for all predictors were below the critical threshold of 2.5, suggesting that multicollinearity is not a significant problem in this model.
The statistical analysis demonstrates that the estimated EM model is significant, indicating that the chosen independent variables collectively contribute meaningfully to explaining the variation in the dependent variable. Consequently, it can be concluded that the first quartile of speed (VQ1), the proportions of regenerative braking (tr) and stopping time (ts) relative to the total driving time (Tc), and the number of stops (s) are suitable parameters for estimating the average energy consumption of an electric vehicle.
The proposed multiple linear regression model for electric vehicle energy consumption meets the essential assumptions required for reliable statistical inference. The analysis confirms that the model is significant, demonstrating that the independent variables included in the model collectively contribute meaningfully to explaining the variation in energy consumption. Examination of the model coefficients reveals that factors such as duration, speed, the distribution of time across different driving phases, and the frequency of stops have a statistically significant influence on energy consumption. These assumptions include linearity, homoscedasticity, normality of residuals, and the absence of multicollinearity. The fulfillment of these assumptions provides confidence in the model’s ability to accurately predict energy consumption.
4. Discussion and Conclusions
Evaluating the energy consumption of EVs during real-world trips presents a significant challenge due to the inherent variability and non-repeatability of driving conditions. Numerous factors can influence the energy demand of an EV traversing a specific route. Energy consumption models for EVs address this challenge by considering the multitude of factors that impact a vehicle’s energy use. These models offer valuable insights for vehicle manufacturers, researchers, and policymakers. By leveraging these models, vehicle manufacturers can develop strategies to optimize energy efficiency and gain a deeper understanding of how various factors influence EV operation.
Multiple linear regression is a versatile statistical technique employed in various disciplines, including the evaluation of electric vehicle energy consumption. As evidenced by previous research [55,57,60], regression models have proven successful in identifying parameters that influence energy usage.
This study aimed to investigate the relationship between selected kinematic parameters and the average energy consumption of electric vehicles operating in urban traffic. To achieve this goal, a multiple linear regression model was constructed using data collected from actual EV trips within an urban conditions.
The first part of this study involved analyzing data on selected kinematic parameters of EV movement and average energy demand. These data were collected during tests conducted under real-world urban traffic conditions. The analysis revealed significant variations in the manner of traversing the test sections, largely influenced by route type and travel time. Routes with short travel times and high average speeds contrasted with those experiencing longer travel times and congested traffic, particularly in city centers during peak hours. Parameters characterizing vehicle movement, such as speed, acceleration, travel time, number of stops, and braking events, proved crucial for analyzing electric vehicle energy consumption. These parameters exhibited significant variability depending on the prevailing traffic conditions. The average energy consumption of the electric vehicle across the studied routes and varying traffic conditions was 14.3 kWh/100 km, with a range of values observed from 9.3 kWh/100 km to 20.7 kWh/100 km.
The second part of this study focused on the development and evaluation of proprietary multiple regression models for predicting the average energy demand of EVs. The model incorporated kinematic parameters such as the first quartile of speed, total trip duration, the proportion of time spent in regenerative braking and stationary phases, and the total number of stops. The results indicate that the developed model, which utilizes these kinematic parameters to predict average energy consumption, is statistically significant. The developed electric vehicle energy consumption model exhibit a high level of fit, suggesting a strong relationship between the predicted and observed values. This strong fit is likely attributable to the inclusion of a comprehensive set of explanatory variables that capture the complexity of the phenomenon under study (average energy consumption). Incorporating these variables allows for the models to more accurately represent the real-world data. Furthermore, the validity of the presented models is supported by the alignment of the included variables with those employed in similar studies [58,59,63]. This consistency strengthens the confidence in the generalizability of the findings and suggests that the models reflect well-established relationships between kinematic parameters and energy consumption.
The developed model offer valuable insights into the influence of various travel- and driving-style-related variables on the average energy consumption of the EV. An analysis of the individual model coefficients enables the identification of key factors that contribute to energy efficiency optimization. In general, an increase in the values of most analyzed kinematic parameters included in the model corresponds to a rise in average energy demand. This finding suggests that route types and road conditions significantly impact the energy efficiency of electric vehicles. Additionally, driving style emerges as another significant factor, as evidenced by the influence of parameters such as acceleration, deceleration, and the number of braking events.
The findings of this study underscore the importance of considering kinematic parameters when evaluating the energy efficiency of electric vehicles. The application of multiple regression models has enabled the identification of specific driving behaviors and vehicle characteristics that have a substantial impact on energy consumption. These insights can inform the development of more efficient electric vehicles and the creation of optimized driving strategies to minimize energy usage. Further investigations are planned to enhance the sophistication of the model. These efforts will involve conducting additional analyses to develop a more accurate model for predicting vehicle energy consumption. By increasing the sample size, the model’s generalizability can be improved. Additionally, the development of a predictive model that can provide real-time energy consumption estimates based on sensor data is a potential application of this research.
Author Contributions
Conceptualization, A.S., E.M.S., R.J. and A.P.; methodology, A.S. and E.M.S.; software, A.S. and E.M.S.; validation, A.S. and E.M.S.; formal analysis, A.S. and E.M.S.; investigation, A.S. and E.M.S.; resources, A.S. and E.M.S.; data curation, A.S.; writing—original draft preparation, A.S. and E.M.S.; writing—review and editing, E.M.S., R.J. and A.P.; visualization, A.S., supervision, E.M.S., R.J. and A.P. All authors have read and agreed to the published version of the manuscript.
Funding
This research received no external funding.
Data Availability Statement
The original contributions presented in the study are included in the article, further inquiries can be directed to the corresponding author.
Acknowledgments
The authors would like to thank the CENWIS Research and Implementation Center at Kielce University of Technology for their collaboration on this research (https://cenwis.tu.kielce.pl/en/) (accessed on 5 May 2024).
Conflicts of Interest
The authors declare no conflicts of interest.
References
- New Passenger Car Registrations by Fuel Type in the European Union in Quarter 4. 2020. Available online: www.acea.auto/uploads/press_releases_files/20210204_PRPC_fuel_Q4_2020_FINAL.pdf (accessed on 27 January 2024).
- New Passenger Car Registrations by Fuel Type in the European Union in Quarter 4. 2021. Available online: www.acea.auto/files/20220202_PRPC-fuel_Q4-2021_FINAL.pdf (accessed on 14 February 2024).
- New Passenger Car Registrations by Fuel Type in the European Union in Quarter 4. 2022. Available online: https://www.acea.auto/files/20230201_PRPC-fuel_Q4-2022_FINAL-1.pdf (accessed on 10 February 2024).
- Climate-Friendly Transport. Available online: www.bundesregierung.de/breg-en/issues/climate-action/climate-friendly-transport-1795842 (accessed on 20 February 2024).
- Electric Cars: The Ecological Bonus Reduced from 2021 (Voitures électriques: Le bonus Écologique Revu à la Baisse à Partir de 2021). Available online: www.lemondedelenergie.com/voitures-electriques-bonus-2021/2019/12/18/ (accessed on 20 February 2024).
- Overview—Electric Vehicles: Tax Benefits & Purchase Incentives in the European Union. 2022. Available online: www.acea.auto/fact/overview-electric-vehicles-tax-benefits-purchase-incentives-in-the-european-union-2022/ (accessed on 27 January 2024).
- Tu, J.-C.; Yang, C. Key Factors Influencing Consumers’ Purchase of Electric Vehicles. Sustainability 2019, 11, 3863. [Google Scholar] [CrossRef]
- Coffman, M.; Bernstein, P.; Wee, S. Electric vehicles revisited: A review of factors that affect adoption. Transp. Rev. 2017, 37, 79–93. [Google Scholar] [CrossRef]
- Mersky, A.C.; Sprei, F.; Samaras, C.; Qian, Z. Effectiveness of incentives on electric vehicle adoption in Norway. Transp. Res. Part D: Transp. Environ. 2016, 46, 56–68. [Google Scholar] [CrossRef]
- Münzel, C.; Plötz, P.; Sprei, F.; Gnann, T. How large is the effect of financial incentives on electric vehicle sales?—A global review and European analysis. Energy Econ. 2019, 84, 104493. [Google Scholar] [CrossRef]
- Christidis, P.; Focas, C. Factors Affecting the Uptake of Hybrid and Electric Vehicles in the European Union. Energies 2019, 12, 3414. [Google Scholar] [CrossRef]
- Franke, T.; Krems, J.F. What drives range preferences in electric vehicle users? Transp. Policy 2013, 30, 56–62. [Google Scholar] [CrossRef]
- Kim, S.; Lee, J.; Lee, C. Does Driving Range of Electric Vehicles Influence Electric Vehicle Adoption? Sustainability 2017, 9, 1783. [Google Scholar] [CrossRef]
- Pevec, D.; Babic, J.; Carvalho, A.; Ghiassi-Farrokhfal, Y.; Ketter, W.; Podobnik, V. A survey-based assessment of how existing and potential electric vehicle owners perceive range anxiety. J. Clean. Prod. 2020, 276, 122779. [Google Scholar] [CrossRef]
- Chen, R.; Liu, X.; Miao, L.; Yang, P. Electric Vehicle Tour Planning Considering Range Anxiety. Sustainability 2020, 12, 3685. [Google Scholar] [CrossRef]
- Yuan, Q.; Hao, W.; Su, H.; Bing, G.; Gui, X.; Safikhani, A. Investigation on Range Anxiety and Safety Buffer of Battery Electric Vehicle Drivers. J. Adv. Transp. 2018, 2018, 8301209. [Google Scholar] [CrossRef]
- Valentine-Urbschat, M.; Bernhart, W. Powertrain 2020—Future drives Electric; Roland Berger Strategy Consultants: Munich, Germany, 2009. [Google Scholar]
- Graham-Rowe, E.; Gardner, B.; Abraham, C.; Skippon, S.; Dittmar, H.; Hutchins, R.; Stannard, J. Mainstream consumers driving plug-in battery-electric and plug-in hybrid electric cars: A qualitative analysis of responses and evaluations. Transp. Res. Part A Policy Pract. 2012, 46, 140–153. [Google Scholar] [CrossRef]
- Zhang, Y.; Liu, X.; Zhang, T.; Gu, Z. Review of the Electric Vehicle Charging Station Location Problem. In Proceedings of the International Conference on Dependability in Sensor, Cloud, and Big Data Systems and Applications, Guangzhou, China, 12–15 November 2019; Springer: Singapore, 2019; pp. 435–445. [Google Scholar] [CrossRef]
- Luo, X.; Qiu, R. Electric Vehicle Charging Station Location towards Sustainable Cities. Int. J. Environ. Res. Public Health 2020, 17, 2785. [Google Scholar] [CrossRef] [PubMed]
- Szumska, E.M. Electric Vehicle Charging Infrastructure along Highways in the EU. Energies 2023, 16, 895. [Google Scholar] [CrossRef]
- LaMonaca, S.; Ryan, L. The state of play in electric vehicle charging services—A review of infrastructure provision, players, and policies. Renew. Sustain. Energy Rev. 2022, 154, 111733. [Google Scholar] [CrossRef]
- Mishra, S.; Verma, S.; Chowdhury, S.; Gaur, A.; Mohapatra, S.; Dwivedi, G.; Verma, P. A Comprehensive Review on Developments in Electric Vehicle Charging Station Infrastructure and Present Scenario of India. Sustainability 2021, 13, 2396. [Google Scholar] [CrossRef]
- Lee, S.H.; Kim, M.H.; Lee, S. Development of an energy prediction model based on driving data for predicting the driving distance of an electric vehicle. Int. J. Automot. Technol. 2019, 20, 389–395. [Google Scholar] [CrossRef]
- Andre, D.; Appel, C.; Soczka-Guth, T.; Sauer, D.U. Advanced mathematical methods of SOC and SOH estimation for lithium-ion batteries. J. Power Sources 2013, 224, 20–27. [Google Scholar] [CrossRef]
- De Cauwer, C.; Verbeke, W.; Coosemans, T.; Faid, S.; Van Mierlo, J. A Data-Driven Method for Energy Consumption Prediction and Energy-Efficient Routing of Electric Vehicles in Real-World Conditions. Energies 2017, 10, 608. [Google Scholar] [CrossRef]
- Jung, H.; Silva, R.; Han, M. Scaling Trends of Electric Vehicle Performance: Driving Range, Fuel Economy, Peak Power Output, and Temperature Effect. World Electr. Veh. J. 2018, 9, 46. [Google Scholar] [CrossRef]
- Sarrafan, K.; Sutanto, D.; Muttaqi, K.M.; Town, G. Accurate range estimation for an electric vehicle including changing environmental conditions and traction system efficiency. IET Electr. Syst. Transp. 2017, 7, 117–124. [Google Scholar] [CrossRef]
- Bi, J.; Wang, Y.; Shao, S.; Cheng, Y. Residual range estimation for battery electric vehicle based on radial basis function neural network. Measurement 2018, 128, 197–203. [Google Scholar] [CrossRef]
- Yuksel, T.; Michalek, J.J. Effects of Regional Temperature on Electric Vehicle Efficiency, Range, and Emissions in the United States. Environ. Sci. Technol. 2015, 49, 3974–3980. [Google Scholar] [CrossRef] [PubMed]
- Mamala, J.; Graba, M.; Bieniek, A.; Prażnowski, K.; Augustynowicz, A.; Śmieja, M. Study of energy consumption of a hybrid vehicle in real-world conditions. Maint. Reliab. 2021, 23, 636–645. [Google Scholar] [CrossRef]
- Vaz, W.; Nandi, A.K.; Landers, R.G.; Koylu, U.O. Electric vehicle range prediction for constant speed trip using multi-objective optimization. J. Power Sources 2015, 275, 435–446. [Google Scholar] [CrossRef]
- Varga, B.O.; Sagoian, A.; Mariasiu, F. Prediction of Electric Vehicle Range: A Comprehensive Review of Current Issues and Challenges. Energies 2019, 12, 946. [Google Scholar] [CrossRef]
- Yuan, X.; Zhang, C.; Hong, G.; Huang, X.; Li, L. Method for evaluating the real-world driving energy consumptions of electric vehicles. Energy 2017, 141, 1955–1968. [Google Scholar] [CrossRef]
- Iora, P.; Tribioli, L. Effect of Ambient Temperature on Electric Vehicles’ Energy Consumption and Range: Model Definition and Sensitivity Analysis Based on Nissan Leaf Data. World Electr. Veh. J. 2019, 10, 2. [Google Scholar] [CrossRef]
- Laurikko, J.; Granström, R.; Haakana, A. Realistic estimates of EV range based on extensive laboratory and field tests in Nordic climate conditions. World Electr. Veh. J. 2013, 6, 192–203. [Google Scholar] [CrossRef]
- Desreveaux, A.; Bouscayrol, A.; Castex, E.; Trigui, R.; Hittinger, E.; Sirbu, G.-M. Annual Variation in Energy Consumption of an Electric Vehicle Used for Commuting. Energies 2020, 13, 4639. [Google Scholar] [CrossRef]
- Bellocchi, S.; Guizzi, G.L.; Manno, M.; Salvatori, M.; Zaccagnini, A. Reversible heat pump HVAC system with regenerative heat exchanger for electric vehicles: Analysis of its impact on driving range. Appl. Therm. Eng. 2018, 129, 290–305. [Google Scholar] [CrossRef]
- Kambly, K.; Bradley, T.H. Geographical and temporal differences in electric vehicle range due to cabin conditioning energy consumption. J. Power Sources 2015, 275, 468–475. [Google Scholar] [CrossRef]
- Lv, C.; Zhang, J.; Li, Y.; Yuan, Y. Mechanism analysis and evaluation methodology of regenerative braking contribution to energy efficiency improvement of electrified vehicles. Energy Convers. Manag. 2015, 92, 469–482. [Google Scholar] [CrossRef]
- Mruzek, M.; Gajdáč, I.; Kučera, Ľ.; Barta, D. Analysis of Parameters Influencing Electric Vehicle Range. Proc. Eng. 2016, 134, 165–174. [Google Scholar] [CrossRef]
- Ferreira, J.C.; Monteiro, V.; Alfonso, J.L. Data mining approach for range prediction of electric vehicle. In Proceedings of the Conference on Future Automotive Technology—Focus Electromobility, Munich, Germany, 26–27 March 2012; pp. 1–15. Available online: https://hdl.handle.net/1822/19439 (accessed on 24 April 2024).
- Skarbek-Żabkin, A.; Szczepański, T. The impact of traffic conditions on the energy consumption by an electric car. Masz. Elektr. Zesz. Probl. 2019, 22, 141–153. [Google Scholar]
- Wager, G.; Whale, J.; Braunl, T. Driving electric vehicles at highway speeds: The effect of higher driving speeds on energy consumption and driving range for electric vehicles in Australia. Renew. Sustain. Energy Rev. 2016, 63, 158–165. [Google Scholar] [CrossRef]
- Pielecha, I.; Cieślik, W.; Szałek, A. Operation of electric hybrid drive systems in varied driving conditions. Maint. Reliab. 2018, 20, 16–23. [Google Scholar] [CrossRef]
- Szumska, E.; Jurecki, R.; Pawełczyk, M. Evaluation of the use of hybrid electric powertrain system in urban traffic conditions. Maint. Reliab. 2020, 22, 154–160. [Google Scholar] [CrossRef]
- Donkers, A.; Yang, D.; Viktorović, M. Influence of driving style, infrastructure, weather and traffic on electric vehicle performance. Transp. Res. Part D Transp. Environ. 2020, 88, 102569. [Google Scholar] [CrossRef]
- Skuza, A.; Jurecki, R.; Szumska, E. Influence of Traffic Conditions on the Energy Consumption of an Electric Vehicle. Commun.—Sci. Lett. Univ. Zilina 2023, 25, B22–B33. [Google Scholar] [CrossRef]
- Szumska, E.M.; Jurecki, R. The Analysis of Energy Recovered during the Braking of an Electric Vehicle in Different Driving Conditions. Energies 2022, 15, 9369. [Google Scholar] [CrossRef]
- Skuza, A.; Jurecki, R.; Szumska, E. Analysis of the operating parameters of electric, hybrid, and conventional vehicles on different types of roads. Open Eng. 2023, 13, 20220443. [Google Scholar] [CrossRef]
- Szumska, E.M.; Jurecki, R.S. Parameters Influencing on Electric Vehicle Range. Energies 2021, 14, 4821. [Google Scholar] [CrossRef]
- Cioroianu, C.C.; Marinescu, D.G.; Iorga, A.; Sibiceanu, A.R. Simulation of an electric vehicle model on the new WLTC test cycle using AVL CRUISE software. IOP Conf. Ser. Mater. Sci. Eng. 2017, 252, 12060. [Google Scholar] [CrossRef]
- Pielecha, I.; Pielecha, J. Simulation analysis of electric vehicles energy consumption in driving tests. Maint. Reliab. 2020, 22, 130–137. [Google Scholar] [CrossRef]
- Hu, K.; Wu, J.; Schwanen, T. Differences in Energy Consumption in Electric Vehicles: An Exploratory Real-World Study in Beijing. J. Adv. Transp. 2017, 2017, 4695975. [Google Scholar] [CrossRef]
- De Cauwer, C.; Van Mierlo, J.; Coosemans, T. Energy Consumption Prediction for Electric Vehicles Based on Real-World Data. Energies 2015, 8, 8573–8593. [Google Scholar] [CrossRef]
- Yao, E.; Yang, Z.; Song, Y.; Zuo, T. Comparison of Electric Vehicle’s Energy Consumption Factors for Different Road Types. Discret. Dyn. Nat. Soc. 2013, 2013, 328757. [Google Scholar] [CrossRef]
- Li, W.; Stanula, P.; Egede, P.; Kara, S.; Herrmann, C. Determining the Main Factors Influencing the Energy Consumption of Electric Vehicles in the Usage Phase. Proc. CIRP 2016, 48, 352–357. [Google Scholar] [CrossRef]
- Yao, E.; Lang, Z.; Song, Y.; Yang, Y.; Zuo, T. Microscopic Driving Parameters-Based Energy-Saving Effect Analysis under Different Electric Vehicle Penetration. Adv. Mech. Eng. 2013, 5, 435721. [Google Scholar] [CrossRef]
- Neaimeh, M.; Hill, G.A.; Hübner, Y.; Blythe, P.T. Routing systems to extend the driving range of electric vehicles. IET Intell. Transp. Syst. 2013, 7, 327–336. [Google Scholar] [CrossRef]
- Qi, Z.; Yang, J.; Jia, R.; Wang, F. Investigating Real-World Energy Consumption of Electric Vehicles: A Case Study of Shanghai. Proc. Comput. Sci. 2018, 131, 367–376. [Google Scholar] [CrossRef]
- Liu, K.; Wang, J.; Yamamoto, T.; Morikawa, T. Modelling the multilevel structure and mixed effects of the factors influencing the energy consumption of electric vehicles. Appl. Energy 2016, 183, 1351–1360. [Google Scholar] [CrossRef]
- Wang, J.-B.; Liu, K.; Yamamoto, T.; Morikawa, T. Improving Estimation Accuracy for Electric Vehicle Energy Consumption Considering the Effects of Ambient Temperature. Energy Proc. 2017, 105, 2904–2909. [Google Scholar] [CrossRef]
- Liu, Y.; Zhang, Q.; Lyu, C.; Liu, Z. Modelling the energy consumption of electric vehicles under uncertain and small data conditions. Transp. Res. Part A Policy Pract. 2021, 154, 313–328. [Google Scholar] [CrossRef]
- Janpoom, K.; Suttakul, P.; Achariyaviriya, W.; Fongsamootr, T.; Katongtung, T.; Tippayawong, N. Investigating the influential factors in real-world energy consumption of battery electric vehicles. Energy Rep. 2023, 9, 316–320. [Google Scholar] [CrossRef]
- Pokharel, S.; Sah, P.; Ganta, D. Improved Prediction of Total Energy Consumption and Feature Analysis in Electric Vehicles Using Machine Learning and Shapley Additive Explanations Method. World Electr. Veh. J. 2021, 12, 94. [Google Scholar] [CrossRef]
- Mańczak, K. Technique for Planning an Experiment; Warsaw University of Science and Technology: Warsaw, Poland, 1976. (In Polish) [Google Scholar]
Disclaimer/Publisher’s Note: The statements, opinions and data contained in all publications are solely those of the individual author(s) and contributor(s) and not of MDPI and/or the editor(s). MDPI and/or the editor(s) disclaim responsibility for any injury to people or property resulting from any ideas, methods, instructions or products referred to in the content. |
© 2024 by the authors. Licensee MDPI, Basel, Switzerland. This article is an open access article distributed under the terms and conditions of the Creative Commons Attribution (CC BY) license (https://creativecommons.org/licenses/by/4.0/).








