Assessing the Influence of Occupancy Factors on Energy Performance in US Small Office Buildings
Abstract
1. Introduction
2. Research Method
2.1. Creating Occupancy Schedules
2.2. Prototyped Office Building Case
2.3. Integrated Energy Simulation Model
2.4. Feature Selection and Model Evaluation
- Multivariate linear regression (MVLR): A multivariate linear regression model expresses a d-dimensional continuous response vector as a linear combination of predictor terms plus a vector of error terms with a multivariate normal distribution. The “mvregress” function can be used to create a multivariate linear regression model [42]. While MVLR assumes linearity and can be influenced by multicollinearity and outliers, these challenges—multicollinearity and the influence of outliers—are prevalent in many types of statistical modeling, not just in MVLR. We have addressed this by careful variable selection and data preprocessing to minimize their impact.
- Least absolute shrinkage and selection operator (LASSO): LASSO constructs a dataset with redundant predictors and identifies those predictors. The “LASSO” function finds the coefficients of a regularized linear regression model using 10-fold cross-validation and the elastic net method [43]. LASSO may prioritize simpler models potentially at the cost of excluding some correlated predictors. However, this characteristic helps in enhancing model interpretability and reducing overfitting, which are crucial for the predictive robustness of the approach.
- Neighborhood component analysis (NCA) feature selection method: Neighborhood component analysis (NCA) is a supervised learning algorithm for choosing features with the goal of increasing the predictive power of regression and classification algorithms. The “fscnca” and “fsrnca” functions of the Statistics and Machine Learning Toolbox perform neighborhood component analysis feature selection with regularization to develop feature weights for the objective function that reduces the average leave-one-out classification or regression loss over the training data [44]. Despite NCA’s computational demand, it is chosen for its effectiveness in smaller, well-defined datasets where feature interdependencies are critical, aligning well with our study’s scope.
- Feature ranking method using the Relief algorithm: Relief is a feature selection technique that uses a filter-method approach to identify significant variables and is highly sensitive to feature interactions. Each feature in Relief is given a feature score, which can be used to rank and choose the highest scoring features for feature selection. These scores can also be used as feature weights to direct further modeling. The algorithm penalizes the predictors that result in different values to neighbors of the same class, and rewards predictors that provide different values to neighbors of different classes [45,46]. Although Relief’s performance may be affected by noisy data, it is highly effective for datasets like ours where interaction among features is a significant factor. Proper parameter setting, based on extensive testing, ensures optimal feature selection.
3. Results and Discussion
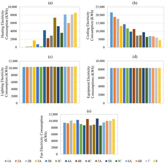
3.1. Building Energy Performance on Baseline Occupancy
3.2. Sensitivity Analysis of Occupancy Parameters
- Scenario 1: 0.05 person/m2, equal to 8 occupants using the office.
- Scenario 2: 0.06 person/m2, equal to 16 occupants using the office.
- Scenario 3: 0.1 person/m2, equal to 24 occupants using the office.
- Scenario 4: 0.14 person/m2, equal to 40 occupants using the office.
- Scenario 5: 0.2 person/m2, equal to 56 occupants using the office.
- Scenario 1: Regular staff arrive and depart at 6:30 and 15:30, respectively.
- Scenario 2: Regular staff arrive and depart at 7:00 and 16:00, respectively.
- Scenario 3: Regular staff arrive and depart at 7:30 and 16:30, respectively.
- Scenario 4: Regular staff arrive and depart at 8:00 and 17:00, respectively.
- Scenario 5: Regular staff arrive and depart at 8:30 and 17:30, respectively.
- Scenario 1: Occupants stay in their own office for 30 min, on average.
- Scenario 2: Occupants stay in their own office for 45 min, on average.
- Scenario 3: Occupants stay in their own office for 60 min, on average.
- Scenario 4: Occupants stay in their own office for 75 min, on average.
- Scenario 5: Occupants stay in their own office for 90 min, on average.
- Scenario 1: Time-step size of 5 min.
- Scenario 2: Time-step size of 10 min.
- Scenario 3: Time-step size of 15 min.
- Scenario 4: Time-step size of 20 min.
3.3. Feature Selection Results
4. Conclusions
Author Contributions
Funding
Data Availability Statement
Conflicts of Interest
References
- Alazazmeh, A.; Asif, M. Commercial building retrofitting: Assessment of improvements in energy performance and indoor air quality. Case Stud. Therm. Eng. 2021, 26, 100946. [Google Scholar] [CrossRef]
- Li, J.; Yu, Z.J.; Haghighat, F.; Zhang, G. Development and improvement of occupant behavior models towards realistic building performance simulation: A review. Sustain. Cities Soc. 2019, 50, 101685. [Google Scholar] [CrossRef]
- Vassiljeva, K.; Matson, M.; Ferrantelli, A.; Petlenkov, E.; Thalfeldt, M.; Belikov, J. Data-Driven Occupancy Profile Identification and Application to the Ventilation Schedule in a School Building. Energies 2024, 17, 3080. [Google Scholar] [CrossRef]
- Ouf, M.M.; O’Brien, W.; Gunay, H.B. Improving occupant-related features in building performance simulation tools. Build. Simul. 2018, 11, 803–817. [Google Scholar] [CrossRef]
- Yan, D.; O’Brien, W.; Hong, T.; Feng, X.; Gunay, H.B.; Tahmasebi, F.; Mahdavi, A. Occupant behavior modeling for building performance simulation: Current state and future challenges. Energy Build. 2015, 107, 264–278. [Google Scholar] [CrossRef]
- Yang, J.; Santamouris, M.; Lee, S.E. Review of occupancy sensing systems and occupancy modeling methodologies for the application in institutional buildings. Energy Build. 2016, 121, 344–349. [Google Scholar] [CrossRef]
- Norouziasl, S.; Jafari, A.; Zhu, Y. Modeling and simulation of energy-related human-building interaction: A systematic review. J. Build. Eng. 2021, 44, 102928. [Google Scholar] [CrossRef]
- Bäcklund, K.; Molinari, M.; Lundqvist, P.; Palm, B.; Occupants, B. Their Behavior and the Resulting Impact on Energy Use in Campus Buildings: A Literature Review with Focus on Smart Building Systems. Energies 2023, 16, 6104. [Google Scholar] [CrossRef]
- Vosoughkhosravi, S.; Jafari, A. American Time Use Survey in Modeling Occupant Behavior: A Systematic Review. In Computing in Civil Engineering 2023; American Society of Civil Engineers: Corvallis, OR, USA, 2024; pp. 77–84. [Google Scholar] [CrossRef]
- Chen, Y.; Hong, T.; Luo, X. An agent-based stochastic Occupancy Simulator. Build. Simul. 2018, 11, 37–49. [Google Scholar] [CrossRef]
- Chen, Y.; Luo, X.; Hong, T.; Chen, Y.; Luo, X.; Hong, T. An Agent-Based Occupancy Simulator for Building Performance Simulation; Lawrence Berkeley National Laboratory; LBL Publications: Berkeley, CA, USA, 2016; Available online: https://escholarship.org/uc/item/0047c6c3 (accessed on 1 July 2024).
- Putra, H.C.; Andrews, C.J.; Senick, J.A. An agent-based model of building occupant behavior during load shedding. Build. Simul. 2017, 10, 845–859. [Google Scholar] [CrossRef]
- Jia, M.; Srinivasan, R.; Ries, R.; Bharathy, G.; Weyer, N. Investigating the Impact of Actual and Modeled Occupant Behavior Information Input to Building Performance Simulation. Buildings 2021, 11, 32. [Google Scholar] [CrossRef]
- Parys, W.; Saelens, D.; Hens, H. Coupling of dynamic building simulation with stochastic modelling of occupant behaviour in offices—A review-based integrated methodology. J. Build. Perform. Simul. 2011, 4, 339–358. [Google Scholar] [CrossRef]
- Almeida, L.; Tam, V.W.Y.; Le, K.N.; She, Y. Effects of occupant behaviour on energy performance in buildings: A green and non-green building comparison. ECAM 2020, 27, 1939–1962. [Google Scholar] [CrossRef]
- Gunay, H.B.; O’Brien, W.; Beausoleil-Morrison, I. Development of an occupancy learning algorithm for terminal heating and cooling units. Build. Environ. 2015, 93, 71–85. [Google Scholar] [CrossRef]
- Li, N.; Calis, G.; Becerik-Gerber, B. Measuring and monitoring occupancy with an RFID based system for demand-driven HVAC operations. Autom. Constr. 2012, 24, 89–99. [Google Scholar] [CrossRef]
- Chen, Z.; Xu, J.; Soh, Y.C. Modeling regular occupancy in commercial buildings using stochastic models. Energy Build. 2015, 103, 216–223. [Google Scholar] [CrossRef]
- Page, J.; Robinson, D.; Morel, N.; Scartezzini, J.L. A generalised stochastic model for the simulation of occupant presence. Energy Build. 2008, 40, 83–98. [Google Scholar] [CrossRef]
- Oldewurtel, F.; Sturzenegger, D.; Morari, M. Importance of occupancy information for building climate control. Appl. Energy 2013, 101, 521–532. [Google Scholar] [CrossRef]
- Rafsanjani, H.N.; Ahn, C.R.; Chen, J. Linking building energy consumption with occupants’ energy-consuming behaviors in commercial buildings: Non-intrusive occupant load monitoring (NIOLM). Energy Build. 2018, 172, 317–327. [Google Scholar] [CrossRef]
- Erickson, V.L.; Lin, Y.; Kamthe, A.; Brahme, R.; Surana, A.; Cerpa, A.E.; Sohn, M.D.; Narayanan, S. Energy efficient building environment control strategies using real-time occupancy measurements. In BuildSys ‘09: Proceedings of the First ACM Workshop on Embedded Sensing Systems for Energy-Efficiency in Buildings; Association for Computing Machinery: New York, NY, USA, 2009; pp. 19–24. [Google Scholar] [CrossRef]
- Banfi, A.; Ferrando, M.; Li, P.; Shi, X.; Causone, F. Integrating Occupant Behaviour into Urban-Building Energy Modelling: A Review of Current Practices and Challenges. Energies 2024, 17, 4400. [Google Scholar] [CrossRef]
- Dziedzic, J.W.; Yan, D.; Sun, H.; Novakovic, V. Building occupant transient agent-based model–Movement module. Appl. Energy 2020, 261, 114417. [Google Scholar] [CrossRef]
- Thornton, B.A.; Rosenberg, M.I.; Richman, E.E.; Wang, W.; Xie, Y.; Zhang, J.; Cho, H.; Mendon, V.V.; Athalye, R.A.; Liu, B. Achieving the 30% Goal: Energy and Cost Savings Analysis of ASHRAE Standard 90.1-2010 (No. PNNL-20405); Pacific Northwest National Lab. (PNNL): Richland, WA, USA, 2011. [Google Scholar] [CrossRef]
- Goel, S.; Rosenberg, M.; Athalye, R.; Xie, Y.; Wang, W.; Hart, R.; Zhang, J.; Mendon, V. Enhancements to ASHRAE Standard 90.1 Prototype Building Models (No. PNNL-23269); Pacific Northwest National Lab. (PNNL): Richland, WA, USA, 2014. [Google Scholar]
- Bae, Y.; Yoon, Y.; Malhotra, M.; Jung, S. Prototype College Building Energy Model: Building Characteristics and Energy Simulation Results (No. ORNL/TM-2022/2532); Oak Ridge National Lab. (ORNL): Oak Ridge, TN, USA, 2022. Available online: https://www.osti.gov/biblio/1878673 (accessed on 1 July 2024).
- Norouziasl, S.; Jafari, A.; Wang, C. An agent-based simulation of occupancy schedule in office buildings. Build. Environ. 2020, 186, 107352. [Google Scholar] [CrossRef]
- Luo, X.; Lam, K.P.; Chen, Y.; Hong, T. Performance evaluation of an agent-based occupancy simulation model. Build. Environ. 2017, 115, 42–53. [Google Scholar] [CrossRef]
- Alonso, M.J.; Dols, W.S.; Mathisen, H.M. Using Co-simulation between EnergyPlus and CONTAM to evaluate recirculation-based, demand-controlled ventilation strategies in an office building. Build. Environ. 2022, 211, 108737. [Google Scholar] [CrossRef]
- Chen, Y.; Liang, X.; Hong, T.; Luo, X. Simulation and visualization of energy-related occupant behavior in office buildings. Build. Simul. 2017, 10, 785–798. [Google Scholar] [CrossRef]
- Hernandez, H.; Ochoa, S. Adaptive Step-size One-at-a-time (OAT) Optimization. ForsChem Res. Rep. 2022, 7, 1–44. [Google Scholar] [CrossRef]
- Standard 90.1. Available online: https://www.ashrae.org/technical-resources/bookstore/standard-90-1 (accessed on 1 July 2024).
- EnergyPlusTM Input Output Reference. 2024. Available online: https://energyplus.net/assets/nrel_custom/pdfs/pdfs_v24.1.0/InputOutputReference.pdf (accessed on 1 July 2024).
- Blight, T.S.; Coley, D.A. Sensitivity analysis of the effect of occupant behaviour on the energy consumption of passive house dwellings. Energy Build. 2013, 66, 183–192. [Google Scholar] [CrossRef]
- Commercial Reference Buildings|Department of Energy. Available online: https://www.energy.gov/eere/buildings/commercial-reference-buildings (accessed on 1 July 2024).
- Zhang, L.; Wen, J. A systematic feature selection procedure for short-term data-driven building energy forecasting model development. Energy Build. 2019, 183, 428–442. [Google Scholar] [CrossRef]
- Leung, M.C.; Tse, N.C.F.; Lai, L.L.; Chow, T.T. The use of occupancy space electrical power demand in building cooling load prediction. Energy Build. 2012, 55, 151–163. [Google Scholar] [CrossRef]
- Murrieum, M.; Jafari, A.; Akhavian, R. Building Energy Performance Prediction Using Machine Learning: A Data-Driven Decision-Making Framework for Energy Retrofits. In Construction Research Congress 2020: Computer Applications—Selected Papers from the Construction Research Congress 2020; American Society of Civil Engineers (ASCE): Reston, VA, USA, 2020; pp. 436–447. [Google Scholar] [CrossRef]
- Kusiak, A.; Li, M.; Zhang, Z. A data-driven approach for steam load prediction in buildings. Appl. Energy 2010, 87, 925–933. [Google Scholar] [CrossRef]
- Kapetanakis, D.S.; Mangina, E.; Finn, D.P. Input variable selection for thermal load predictive models of commercial buildings. Energy Build. 2017, 137, 13–26. [Google Scholar] [CrossRef]
- Asadi, S.; Amiri, S.S.; Mottahedi, M. On the development of multi-linear regression analysis to assess energy consumption in the early stages of building design. Energy Build. 2014, 85, 246–255. [Google Scholar] [CrossRef]
- Jain, R.K.; Damoulas, T.; Kontokosta, C.E. Towards Data-Driven Energy Consumption Forecasting of Multi-Family Residential Buildings: Feature Selection via The Lasso. In Computing in Civil and Building Engineering—Proceedings of the 2014 International Conference on Computing in Civil and Building Engineering; American Society of Civil Engineers: Reston, VA, USA, 2014; pp. 1675–1682. [Google Scholar] [CrossRef]
- Yang, W.; Wang, K.; Zuo, W. Neighborhood Component Feature Selection for High-Dimensional Data Detection and Segmentation View project Human Recognition View project Neighborhood Component Feature Selection for High-Dimensional Data. J. Comput. 2012, 7, 161–168. [Google Scholar] [CrossRef]
- Kowshalya, A.M.; Madhumathi, R.; Gopika, N. Correlation Based Feature Selection Algorithms for Varying Datasets of Different Dimensionality. Wirel. Pers. Commun. 2019, 108, 1977–1993. [Google Scholar] [CrossRef]
- Zhang, Y.; Ding, C.; Li, T. Gene selection algorithm by combining reliefF and mRMR. BMC Genomics 2008, 9, S27. [Google Scholar] [CrossRef]
- Chen, Y.; Guo, M.; Chen, Z.; Chen, Z.; Ji, Y. Physical energy and data-driven models in building energy prediction: A review. Energy Rep. 2022, 8, 2656–2671. [Google Scholar] [CrossRef]
- Sun, Y.; Haghighat, F.; Fung, B.C.M. A review of the-state-of-the-art in data-driven approaches for building energy prediction. Energy Build. 2020, 221, 110022. [Google Scholar] [CrossRef]
- Energy Standard for Buildings Except Low-Rise Residential Buildings. 2010. Available online: https://www.ashrae.org/technical-resources/standards-and-guidelines (accessed on 1 July 2024).
- Chen, Y.; Li, M.; Xiong, M.; Cao, J.; Li, J. Future Climate Change on Energy Consumption of Office Buildings in Different Climate Zones of China. Pol. J. Environ. Stud. 2018, 27, 45–53. [Google Scholar] [CrossRef]
- Meng, F.; Li, M.; Cao, J.; Li, J.; Xiong, M.; Feng, X.; Ren, G. The effects of climate change on heating energy consumption of office buildings in different climate zones in China. Theor. Appl. Clim. 2018, 133, 521–530. [Google Scholar] [CrossRef]
- Dong, Z.; Zhao, K.; Hua, Y.; Xue, Y.; Ge, J. Impact of occupants’ behaviour on energy consumption and corresponding strategies in office buildings. IOP Conf. Ser. Earth Environ. Sci. 2019, 294, 012076. [Google Scholar] [CrossRef]
- Gu, J.; Xu, P.; Ji, Y. A Fast Method for Calculating the Impact of Occupancy on Commercial Building Energy Consumption. Buildings 2023, 13, 567. [Google Scholar] [CrossRef]
- Prasetiyowati, M.I.; Maulidevi, N.U.; Surendro, K. Determining threshold value on information gain feature selection to increase speed and prediction accuracy of random forest. J. Big Data 2021, 8, 84. [Google Scholar] [CrossRef]
- Henriques, L.; Lima, F.P.; Castro, C. Combining Advanced Feature-Selection Methods to Uncover Atypical Energy-Consumption Patterns. Future Internet 2024, 16, 229. [Google Scholar] [CrossRef]
- Zhao, H.; Magoules, F. Feature selection for support vector regression in the application of building energy prediction. In Proceedings of the 2011 IEEE 9th International Symposium on Applied Machine Intelligence and Informatics (SAMI), Smolenice, Slovakia, 27–29 January 2011; pp. 219–223. [Google Scholar] [CrossRef]












| No. | Variable Name | Variable Definition | Variable Unit | Values * | |
|---|---|---|---|---|---|
| 1 | Occupant_Density | Number of people per area | person/m2 | 1 = 0.05 * 2 = 0.06 3 = 0.10 | 4 = 0.14 5 = 0.20 6 = 0.30 |
| 2 | Occupant_Percent | Percentage of each occupant type: Regular staff/Manager/Administrator | Percentage | * 1 = 40/30/30 2 = 20/40/40 3 = 30/35/35 4 = 50/25/25 5 = 60/20/20 6 = 50/10/40 7 = 45/20/35 | 8 = 35/40/25 9 = 30/50/20 10 = 50/40/10 11 = 45/35/20 12 = 35/25/40 13 = 30/20/50 |
| 3 | Meeting_Count | Number of meetings per day (Min–Max) | Count | 1 = 1–3 2 = 2–4 * 3 = 3–5 | 4 = 4–6 5 = 5–7 |
| 4 | Meeting_Attend | Number of people per meeting (Min–Max) | People | 1 = 2–4 2 = 3–5 * 3 = 4–6 | 4 = 5–7 5 = 6–8 |
| 5 | Meeting_Duration | Probability of duration of meeting for the following numbers (30, 60, 90, 120) | Percentage | 1 = 5, 60, 20, 15 2 = 10,65, 15,10 * 3 = 15, 70, 10, 5 | 4 = 20, 65, 10, 5 5 = 25, 60, 10, 5 6 = 30, 55, 10, 5 |
| 6 | Staff_Arriv_Depar | Regular Staff: Arrival time/Departure time | Time | 1 = 6:30/15:30 2 = 7:00/16:00 * 3 = 7:30/16:30 | 4 = 8:00/17:00 5 = 8:30/17:30 |
| 7 | Admin_Arriv_Depar | Administrator: Arrival time/Departure time | Time | 1 = 7:00/16:00 2 = 7:30/16:30 * 3 = 8:00/17:00 | 4 = 8:30/17:30 5 = 9:00/18:00 |
| 8 | Manag_Arriv_Depar | Manager: Arrival time/Departure time | Time | 1 = 8:00/16:30 2 = 8:30/17:00 * 3 = 9:00/17:30 | 4 = 9:30/18:00 5 = 10:00/18:30 |
| 9 | Arriv_Depar_Vari | Arrival/departure time variation | Minutes | 1= 0 min 2 = 15 min * 3 = 30 min | 4 = 45 min 5 = 60 min |
| 10 | Lunch_Time | Lunch or short-term leaving start time | Time | 1 = 11:00 2 = 11:30 * 3 = 12:00 | 4 = 12:30 5 = 13:00 |
| 11 | Lunch_Start_Vari | Lunch or short-term leaving Start time variation | Minutes | 1= 0 min 2 = 15 min * 3 = 30 min | 4 = 45 min 5 = 60 min |
| 12 | Lunch_Duration | Lunch or short-term leaving duration | Minutes | 1 = 30 min 2 = 45 min * 3 = 60 min | 4 = 75 min 5 = 90 min |
| 13 | Lunch_duration_Vari | Lunch or short-term leaving duration variation | Minutes | 1 = 5 min 2 = 10 min * 3 = 15 min | 4 = 20 min 5 = 25 min |
| 14 | Staff_Room_Stay | (Regular Staff) Percentage of time that occupants stay in each space | Percentage | 1 = 50, 20, 10, 10, 10 2 = 55, 20, 10, 10, 5 3 = 60, 15, 10, 10, 5 4 = 65, 15, 10, 5, 5 | * 5 = 70, 10, 10, 5, 5 6 = 75, 10, 10, 5, 0 7 = 80, 10, 5, 5, 0 |
| 15 | Admin_Room_Stay | (Administrator) Percentage of time that occupants stay in each space | Percentage | 1 = 35, 10, 35, 10, 10 2 = 40, 10, 30, 10, 10 3 = 45, 10, 30, 5, 10 * 4 = 50, 10, 30, 5, 5 | 5 = 55, 10, 25, 5, 5 6 = 60, 10, 25, 5, 0 7 = 65, 10, 20, 5, 0 |
| 16 | Manag_Room_Stay | (Manager) Percentage of time that occupants stay in each space | Percentage | 1 = 35, 10, 40, 5, 10 2 = 40, 10, 35, 5, 10 3 = 45, 5, 35, 5, 10 * 4 = 50, 5, 35, 5, 5 | 5 = 55, 5, 30, 5, 5 6 = 60, 5, 30, 5, 0 7 = 65, 5, 25, 5, 0 |
| 17 | Own_Stay_Duration | Average stay time at Own office | Minutes | 1 = 30 min 2 = 45 min * 3 = 60 min | 4 = 75 min 5 = 90 min |
| 18 | Other_Stay_Duration | Average stay time at Other offices | Minutes | 1 = 10 min 2 = 15 min * 3 = 20 min | 4 = 25 min 5 = 30 min |
| 19 | Meeting_Stay_Duration | Average stay time at Meeting rooms | Minutes | 1 = 30 min 2 = 45 min * 3 = 60 min | 4 = 75 min 5 = 90 min |
| 20 | Auxiliary_Stay_Duration | Average stay time at Auxiliary room | Minutes | 1 = 10 min 2 = 15 min * 3 = 20 min | 4 = 25 min 5 = 30 min |
| 21 | Outdoor_Stay_Duration | Average stay time at Outdoor | Minutes | 1 = 10 min 2 = 20 min * 3 = 30 min | 4 = 40 min 5 = 50 min |
| 22 | Time_Step | Simulation time step | Minutes | 1 = 5 min * 2 = 10 min | 3 = 15 min 4 = 20 min |
| No. | Climate Zone | Thermal Climate Zone Name | Weather Location |
|---|---|---|---|
| 1 | 1A | Very Hot Humid | Honolulu, HI, USA |
| 2 | 2A | Hot Humid | Tampa, FL, USA |
| 3 | 2B | Hot Dry | Tucson, AZ, USA |
| 4 | 3A | Warm Humid | Atlanta, GA, USA |
| 5 | 3B | Warm Dry | El Paso, TX, USA |
| 6 | 3C | Warm Marine | San Diego, CA, USA |
| 7 | 4A | Mixed Humid | New York, NY, USA |
| 8 | 4B | Mixed Dry | Albuquerque, NM, USA |
| 9 | 4C | Mixed Marine | Seattle, WA, USA |
| 10 | 5A | Cool Humid | Buffalo, NY, USA |
| 11 | 5B | Cool Dry | Denver, CO, USA |
| 12 | 5C | Cool Marine | Port Angeles, WA, USA |
| 13 | 6A | Cold Humid | Rochester, MN, USA |
| 14 | 6B | Cold Dry | Great Falls, MT, USA |
| 15 | 7 | Very Cold | International Falls, MN, USA |
| 16 | 8 | Subarctic/Arctic | Fairbanks, AK, USA |
| No. | Climate Zone | Thermal Climate Zone Name | Weather Location |
|---|---|---|---|
| 1 | 2A | Hot Humid | Tampa, FL, USA |
| 2 | 3B | Warm Dry | El Paso, TX, USA |
| 3 | 3C | Warm Marine | San Diego, CA, USA |
| 4 | 4A | Mixed Humid | New York, NY, USA |
| 5 | 5A | Cool Humid | Buffalo, NY, USA |
| 6 | 6A | Cold Humid | Rochester, MN, USA |
| Climate Zone | MVLinear | LASSO | NCA | ReliefF |
|---|---|---|---|---|
| 2A |
|
|
|
|
|
|
|
| |
|
|
|
| |
|
| |||
| ||||
| R-squared | 0.89596 | 0.90338 | 0.88389 | 0.87748 |
| 3B |
|
|
|
|
|
|
|
| |
|
|
| ||
|
| |||
|
| |||
| R-squared | 0.83587 | 0.83982 | 0.83773 | 0.82429 |
| 3C |
|
|
|
|
|
|
|
| |
|
|
| ||
| ||||
| ||||
| R-squared | 0.89596 | 0.89345 | 0.88437 | 0.86468 |
| 4A |
|
|
|
|
|
|
|
| |
|
|
| ||
|
| |||
| ||||
| R-squared | 0.88695 | 0.89287 | 0.89161 | 0.88692 |
| 5A |
|
|
|
|
|
|
|
| |
|
|
|
| |
|
| |||
| R-squared | 0.87708 | 0.88016 | 0.87937 | 0.87729 |
| 6A |
|
|
|
|
|
|
|
| |
|
|
|
| |
|
|
|
| |
| R-squared | 0.9034 | 0.90748 | 0.90694 | 0.90336 |
| Climate Zone | MVLinear | LASSO | NCA | ReliefF |
|---|---|---|---|---|
| 2A |
|
|
|
|
|
|
|
| |
|
|
|
| |
|
|
| ||
| ||||
| R-squared | 0.85107 | 0.85221 | 0.85143 | 0.84634 |
| 3B |
|
|
|
|
|
|
|
| |
|
|
| ||
|
| |||
| ||||
| R-squared | 0.83984 | 0.84153 | 0.84052 | 0.83586 |
| 3C |
|
|
|
|
|
|
|
| |
|
|
|
| |
|
| |||
| ||||
| R-squared | 0.82795 | 0.83965 | 0.83164 | 0.82541 |
| 4A |
|
|
|
|
|
|
|
| |
|
|
|
| |
|
|
| ||
| R-squared | 0.81269 | 0.8148 | 0.81346 | 0.81127 |
| 5A |
|
|
|
|
|
|
|
| |
|
|
|
| |
|
|
| ||
| ||||
| R-squared | 0.78551 | 0.78816 | 0.78816 | 0.78456 |
| 6A |
|
|
|
|
|
|
|
| |
|
|
|
| |
|
|
| ||
|
| |||
| R-squared | 0.77699 | 0.77968 | 0.77968 | 0.77546 |
| Climate Zone | MVLinear | LASSO | NCA | ReliefF |
|---|---|---|---|---|
| 2A |
|
|
|
|
|
|
|
| |
|
|
|
| |
|
|
| ||
|
| |||
| R-squared | 0.83369 | 0.84654 | 0.84654 | 0.81792 |
| 3B |
|
|
|
|
|
|
|
| |
|
|
|
| |
|
|
| ||
|
| |||
| R-squared | 0.83252 | 0.84592 | 0.84592 | 0.81617 |
| 3C |
|
|
|
|
|
|
|
| |
|
|
|
| |
|
|
| ||
|
| |||
| R-squared | 0.83225 | 0.846712 | 0.845331 | 0.81572 |
| 4A |
|
|
|
|
|
|
|
| |
|
|
|
| |
|
|
|
| |
| ||||
| R-squared | 0.83203 | 0.84544 | 0.84544 | 0.81546 |
| 5A |
|
|
|
|
|
|
|
| |
|
|
|
| |
|
|
|
| |
|
| |||
| R-squared | 0.83351 | 0.84682 | 0.84647 | 0.81456 |
| 6A |
|
|
|
|
|
|
|
| |
|
|
|
| |
|
|
|
| |
|
| |||
| R-squared | 0.83316 | 0.84647 | 0.84635 | 0.81632 |
| Climate Zone | MVLinear | LASSO | NCA | ReliefF |
|---|---|---|---|---|
| 2A |
|
|
|
|
|
|
|
| |
|
|
|
| |
|
|
|
| |
|
| |||
| R-squared | 0.83041 | 0.84465 | 0.84444 | 0.8087 |
| 3B |
|
|
|
|
|
|
|
| |
|
|
|
| |
|
| |||
| ||||
| R-squared | 0.83041 | 0.84465 | 0.84444 | 0.8087 |
| 3C |
|
|
|
|
|
|
|
| |
|
|
|
| |
|
|
|
| |
|
| |||
| R-squared | 0.83041 | 0.84465 | 0.84444 | 0.8087 |
| 4A |
|
|
|
|
|
|
|
| |
|
|
|
| |
|
|
| ||
|
| |||
| R-squared | 0.83041 | 0.84465 | 0.84444 | 0.8087 |
| 5A |
|
|
|
|
|
|
|
| |
|
|
|
| |
|
|
| ||
| ||||
| R-squared | 0.83041 | 0.84465 | 0.84444 | 0.8087 |
| 6A |
|
|
|
|
|
|
|
| |
|
|
|
| |
|
|
| ||
|
| |||
| R-squared | 0.83041 | 0.84465 | 0.84444 | 0.8087 |
| Climate Zone | MVLinear | LASSO | NCA | ReliefF |
|---|---|---|---|---|
| 2A |
|
|
|
|
|
|
|
| |
|
|
|
| |
|
|
|
| |
|
|
| ||
| R-squared | 0.83267 | 0.83267 | 0.83092 | 0.81171 |
| 3B |
|
|
|
|
|
|
|
| |
|
|
|
| |
|
|
|
| |
|
|
| ||
| R-squared | 0.82586 | 0.82586 | 0.82374 | 0.80272 |
| 3C |
|
|
|
|
|
|
|
| |
|
|
|
| |
|
|
| ||
|
|
| ||
| R-squared | 0.82016 | 0.82016 | 0.81748 | 0.80914 |
| 4A |
|
|
|
|
|
|
|
| |
|
|
| ||
|
|
| ||
|
|
| ||
| R-squared | 0.81928 | 0.81928 | 0.81827 | 0.79416 |
| 5A |
|
|
|
|
|
|
|
| |
|
|
|
| |
|
|
| ||
|
| |||
| R-squared | 0.81505 | 0.81505 | 0.81381 | 0.78929 |
| 6A |
|
|
|
|
|
|
|
| |
|
|
|
| |
|
|
| ||
| ||||
| R-squared | 0.81444 | 0.81444 | 0.81307 | 0.78684 |
Disclaimer/Publisher’s Note: The statements, opinions and data contained in all publications are solely those of the individual author(s) and contributor(s) and not of MDPI and/or the editor(s). MDPI and/or the editor(s) disclaim responsibility for any injury to people or property resulting from any ideas, methods, instructions or products referred to in the content. |
© 2024 by the authors. Licensee MDPI, Basel, Switzerland. This article is an open access article distributed under the terms and conditions of the Creative Commons Attribution (CC BY) license (https://creativecommons.org/licenses/by/4.0/).
Share and Cite
Norouziasl, S.; Vosoughkhosravi, S.; Jafari, A.; Pang, Z. Assessing the Influence of Occupancy Factors on Energy Performance in US Small Office Buildings. Energies 2024, 17, 5277. https://doi.org/10.3390/en17215277
Norouziasl S, Vosoughkhosravi S, Jafari A, Pang Z. Assessing the Influence of Occupancy Factors on Energy Performance in US Small Office Buildings. Energies. 2024; 17(21):5277. https://doi.org/10.3390/en17215277
Chicago/Turabian StyleNorouziasl, Seddigheh, Sorena Vosoughkhosravi, Amirhosein Jafari, and Zhihong Pang. 2024. "Assessing the Influence of Occupancy Factors on Energy Performance in US Small Office Buildings" Energies 17, no. 21: 5277. https://doi.org/10.3390/en17215277
APA StyleNorouziasl, S., Vosoughkhosravi, S., Jafari, A., & Pang, Z. (2024). Assessing the Influence of Occupancy Factors on Energy Performance in US Small Office Buildings. Energies, 17(21), 5277. https://doi.org/10.3390/en17215277

