Online Evaluation for the POI-Level Inertial Support to the Grid via Ambient Measurements
Abstract
1. Introduction
1.1. Motivation
1.2. Literature Review
1.3. Contributions
- •
- An improved equivalent inertia constant identification method by applying the Elastic Net Regression (ENR) technique;
- •
- An adaptive-time window inertia constant identification method that can identify the variants of the inertia and accurately identify the equivalent inertia constant at the POI.
1.4. Organization
2. POI-Level Inertia Providers
2.1. POI-Level Equivalent Inertia Constant
2.2. Synchronous Generators
2.3. Inverter-Based Resources
2.4. Virtual Power Plant
3. Technology Background: Existing Inertia Estimation Techniques
3.1. Online Inertia Estimation
3.2. Equivalent Inertia Constant Identification Method
- Threshold for input variables: The evolution from (14) to (16) mitigates the over-fitting and under-fitting in LSM, as the ENR regularization algorithm utilized in Section 3.2 can effectively address the over-fitting and under-fitting issue of LSM via regulating and . However, the extreme data pair with significant errors may still affect the accuracy of . To cope with this issue, the proposed method is fed by the estimated values and through the PI filters utilized in [11], and the pairs with are removed directly.
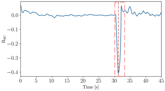
- Selection of time window: the length of the time window presents the amount of data fed to the LSM problem, and thus, this affects the accuracy of (17). The time window located in normal operation implies that the measurement noise may affect the accuracy of the inertia estimation as it is relatively large compared with the RoCoP. On the other hand, the time window located in the evaluation period following a contingency may be impacted by PFC for its effect on boosting the active power outputs at POI responding to the frequency dynamics.
- Change of inertia: The LSM method is expected to return an “average” value of the equivalent inertia constant within a given time window, which cannot identify the occurrence of the change of inertia constant of the device, e.g., the regulation of the control strategies of a VSG and the change of connection status of the synchronous generation units.
4. Proposed POI-Level Online Inertia Evaluation Method
4.1. Ambient Data Smoothing
4.2. Inertia Variation Identification
4.3. Framework of the Online Adaptive Time Window Inertia Constant Identification Method
- 1.
- Obtain the active power output and frequency of the synthetic inertia provider at the POI through PMU and estimates and through the techniques provided in [12].
- 2.
- Utilize the online adaptive time window inertia constant identification method provided in [11] to track the real-time inertia constant of the devices.
- 3.
- Smooth the inertia constant data based on WLS algorithm proposed in Section 4.1.
- 4.
- Judge if the inertia varied according to the technique proposed in Section 4.2.
- 5.
- Once the inertia variation is detected, select a suitable time window following the variation and filter out abnormal values and noise in the frequency and active power output data within this time window.
- 6.
- Finally, the improved inertia constant identification method proposed in Section 3.2 is applied to obtain an accurate equivalent inertia constant at this period.
5. Case Study
5.1. Identification of Equivalent Inertia Constant
5.2. Real-Time Inertia Tracking
5.3. Accuracy of Equivalent Inertia Constant Identification
5.4. Inertia Estimation of IBR
5.5. Inertia Estimation of VPP
6. Conclusions
Author Contributions
Funding
Data Availability Statement
Conflicts of Interest
References
- Li, B.; Wang, J.; Nassani, A.A.; Binsaeed, R.; Li, Z. The future of Green energy: A panel study on the role of renewable resources in the transition to a Green economy. Energy Econ. 2023, 127, 107026. [Google Scholar] [CrossRef]
- Liu, Z.; Cheng, X.; Peng, X.; Wang, P.; Zhao, X.; Liu, J.; Jiang, D.; Qu, R. A review of common-mode voltage suppression methods in wind power generation. Renew. Sustain. Energy Rev. 2024, 203, 114773. [Google Scholar] [CrossRef]
- Prabhakar, K.; Jain, S.K.; Padhy, P.K. Inertia estimation in modern power system: A comprehensive review. Electr. Power Syst. Res. 2022, 211, 108222. [Google Scholar] [CrossRef]
- Nguyen, H.T.; Yang, G.; Nielsen, A.H.; Jensen, P.H. Combination of Synchronous Condenser and Synthetic Inertia for Frequency Stability Enhancement in Low-Inertia Systems. IEEE Trans. Sustain. Energy 2019, 10, 997–1005. [Google Scholar] [CrossRef]
- Cai, G.; Wang, B.; Yang, D.; Sun, Z.; Wang, L. Inertia Estimation Based on Observed Electromechanical Oscillation Response for Power Systems. IEEE Trans. Power Syst. 2019, 34, 4291–4299. [Google Scholar] [CrossRef]
- You, S.; Liu, Y.; Kou, G.; Zhang, X.; Yao, W.; Su, Y.; Hadley, S.W.; Liu, Y. Non-Invasive Identification of Inertia Distribution Change in High Renewable Systems Using Distribution Level PMU. IEEE Trans. Power Syst. 2018, 33, 1110–1112. [Google Scholar] [CrossRef]
- Schiffer, J.; Aristidou, P.; Ortega, R. Online Estimation of Power System Inertia Using Dynamic Regressor Extension and Mixing. IEEE Trans. Power Syst. 2019, 34, 4993–5001. [Google Scholar] [CrossRef]
- Ma, J.; Su, Y.; Wang, C.; Peng, Y.; Shi, L.; Yu, Y. Inertia identification of power system based on energy function method. Energy Rep. 2024, 11, 2893–2900. [Google Scholar] [CrossRef]
- Hu, X.; Zeng, S.; Meng, L.; Li, T.; Zhang, Q. Fast-tracking method of inertial constant based on system identification. Sci. Technol. Energy Transit. 2024, 79, 4. [Google Scholar] [CrossRef]
- Suvorov, A.; Askarov, A.; Ruban, N.; Rudnik, V.; Radko, P.; Achitaev, A.; Suslov, K. An Adaptive Inertia and Damping Control Strategy Based on Enhanced Virtual Synchronous Generator Model. Mathematics 2023, 11, 3938. [Google Scholar] [CrossRef]
- Liu, M.; Chen, J.; Milano, F. On-Line Inertia Estimation for Synchronous and Non-Synchronous Devices. IEEE Trans. Power Syst. 2021, 36, 2693–2701. [Google Scholar] [CrossRef]
- Milano, F.; Ortega, Á. Frequency Divider. IEEE Trans. Power Syst. 2017, 32, 1493–1501. [Google Scholar] [CrossRef]
- Zhong, W.; Tzounas, G.; Liu, M.; Milano, F. On-line inertia estimation of virtual power plants. Electr. Power Syst. Res. 2022, 212, 108336. [Google Scholar] [CrossRef]
- Liu, M.; Chen, J.; Xie, Y.; Deng, X.; Milano, F. Least Square Method for the Identification of Equivalent Inertia Constant. In Proceedings of the 2022 IEEE Power & Energy Society General Meeting (PESGM), Denver, Colorado, USA, 17–21 July 2022; pp. 1–5. [Google Scholar]
- Kundur, P. Power System Stability and Control; CRC Press: Boca Raton, FL, USA, 1994. [Google Scholar]
- Meng, Q.; Hussain, S.; Luo, F.; Wang, Z.; Jin, X. An Online Reinforcement Learning-based Energy Management Strategy for Microgrids with Centralized Control. IEEE Trans. Ind. Appl. 2024, 1–10. [Google Scholar] [CrossRef]
- Zhu, C.; Zhang, Y.; Wang, M.; Deng, J.; Cai, Y.; Wei, W.; Guo, M. Optimization, validation and analyses of a hybrid PV-battery-diesel power system using enhanced electromagnetic field optimization algorithm and ε-constraint. Energy Rep. 2024, 11, 5335–5349. [Google Scholar] [CrossRef]
- Shirkhani, M.; Tavoosi, J.; Danyali, S.; Sarvenoee, A.K.; Abdali, A.; Mohammadzadeh, A.; Zhang, C. A review on microgrid decentralized energy/voltage control structures and methods. Energy Rep. 2023, 10, 368–380. [Google Scholar] [CrossRef]
- Liu, B.; Zhao, J.; Huang, Q.; Milano, F.; Zhang, Y.; Hu, W. Nonlinear virtual inertia control of WTGs for enhancing primary frequency response and suppressing drivetrain torsional oscillations. IEEE Trans. Power Syst. 2021, 36, 4102–4113. [Google Scholar] [CrossRef]
- Wang, L.; Zhou, H.; Hu, X.; Hou, X.; Su, C.; Sun, K. Adaptive Inertia and Damping Coordination (AIDC) Control for Grid-Forming VSG to Improve Transient Stability. Electronics 2023, 12, 2060. [Google Scholar] [CrossRef]
- Obukhov, S.; Ibrahim, A.; Davydov, D.Y.; Alharbi, T.; Ahmed, E.M.; Ali, Z.M. Modeling Wind Speed Based on Fractional Ornstein-Uhlenbeck Process. Energies 2021, 14, 5561. [Google Scholar] [CrossRef]
- Milano, F. Power System Modelling and Scripting; Springer: Berlin/Heidelberg, Germany, 2010. [Google Scholar]
- Federico, M. A python-based software tool for power system analysis. In Proceedings of the 2013 IEEE Power & Energy Society General Meeting, Vancouver, BC, Canada, 21–25 July 2013; pp. 1–5. [Google Scholar] [CrossRef]









| Generator | Capacity [MW] | Generator | Capacity [MW] | Generator | Capacity [MW] |
|---|---|---|---|---|---|
| A1 | 1000 | A8 | 508 | B6 | 540 |
| A2 | 650 | A9 | 560 | C1 | 632 |
| A3 | 250 | B1 | 1000 | C2 | 520 |
| A4 | 830 | B2 | 540 | C3 | 450 |
| A5 | 508 | B3 | 560 | C4 | 650 |
| A6 | 650 | B4 | 650 | ||
| A7 | 540 | B5 | 650 |
| Scenario 1 | Scenario 2 | |||||
|---|---|---|---|---|---|---|
| Time Window | i | ii | iii | i | ii | iii |
| [MWs/MVA] | 40 | 30 | 50 | 25 | 32 | 20 |
| [MWs/MVA] | 39.18 | 29.12 | 49.27 | 24.37 | 31.22 | 19.48 |
| [%] | 2.05 | 2.93 | 1.46 | 2.52 | 2.43 | 2.6 |
| Time Window | i | ii | ||
|---|---|---|---|---|
| RES penetration [%] | 22.9 | 26.5 | ||
| [MWs/MVA] | 11 | 3 | 11 | 3 |
| [MWs/MVA] | 10.60 | 2.88 | 10.55 | 2.90 |
| [%] | 3.6 | 4.0 | 4.1 | 3.3 |
| Criteria | This Paper Work | Latest Research |
|---|---|---|
| Methodology | The proposed method | [8,9] |
| Accuracy | High accuracy | High accuracy |
| Real-time | can quickly track the time-varying virtual inertia | [8] no; [9] can quickly track the time-varying virtual inertia but the accuracy will decrease |
| Computational Efficiency | fast | depend on the data size |
| Research Subject | SGs, IBRs and VPPs | SGs, and IBRs |
Disclaimer/Publisher’s Note: The statements, opinions and data contained in all publications are solely those of the individual author(s) and contributor(s) and not of MDPI and/or the editor(s). MDPI and/or the editor(s) disclaim responsibility for any injury to people or property resulting from any ideas, methods, instructions or products referred to in the content. |
© 2024 by the authors. Licensee MDPI, Basel, Switzerland. This article is an open access article distributed under the terms and conditions of the Creative Commons Attribution (CC BY) license (https://creativecommons.org/licenses/by/4.0/).
Share and Cite
Wu, G.; Zhong, W.; Liu, M.; Chang, X.; Shao, X.; Mo, R. Online Evaluation for the POI-Level Inertial Support to the Grid via Ambient Measurements. Energies 2024, 17, 5115. https://doi.org/10.3390/en17205115
Wu G, Zhong W, Liu M, Chang X, Shao X, Mo R. Online Evaluation for the POI-Level Inertial Support to the Grid via Ambient Measurements. Energies. 2024; 17(20):5115. https://doi.org/10.3390/en17205115
Chicago/Turabian StyleWu, Genzhu, Weilin Zhong, Muyang Liu, Xiqiang Chang, Xianlong Shao, and Ruo Mo. 2024. "Online Evaluation for the POI-Level Inertial Support to the Grid via Ambient Measurements" Energies 17, no. 20: 5115. https://doi.org/10.3390/en17205115
APA StyleWu, G., Zhong, W., Liu, M., Chang, X., Shao, X., & Mo, R. (2024). Online Evaluation for the POI-Level Inertial Support to the Grid via Ambient Measurements. Energies, 17(20), 5115. https://doi.org/10.3390/en17205115

