Fast Charging Guidance and Pricing Strategy Considering Different Types of Electric Vehicle Users’ Willingness to Charge
Abstract
1. Introduction
2. Charging Guidance Framework of EVs
3. Travel Model for EVs
3.1. Dynamic Traffic Network Model
3.2. Energy Consumption Model for EVs
3.3. The Travel Trajectory Model of EVs
- (1)
- The travel chain model for private cars
- (2)
- The state transfer matrix describing the travel trajectory of online ride-hailing cars
3.4. Route Choice Model
3.5. The Charging Behaviour Model for EVs
- (1)
- The charging behaviour model for private cars
- (2)
- The charging behaviour model for online ride-hailing cars
4. Model of Charging Station Selection for EV Users
4.1. Charging Satisfaction of EV Users
4.1.1. Satisfaction with Travel Time
- (1)
- Travelling time in private cars
- (2)
- Travelling time in online ride-hailing cars
4.1.2. Satisfaction with Charging Cost
4.2. Queuing System of Charging Station
5. Dynamic Charging Service Price Update Model
5.1. Tariff Update Strategy for Charging Stations
5.2. Constraint
6. Example Analysis
6.1. Parameter Setting
6.2. Results Analysis of Charging Station Load
6.3. Results Analysis of the Degree of Imbalance of Charging Stations
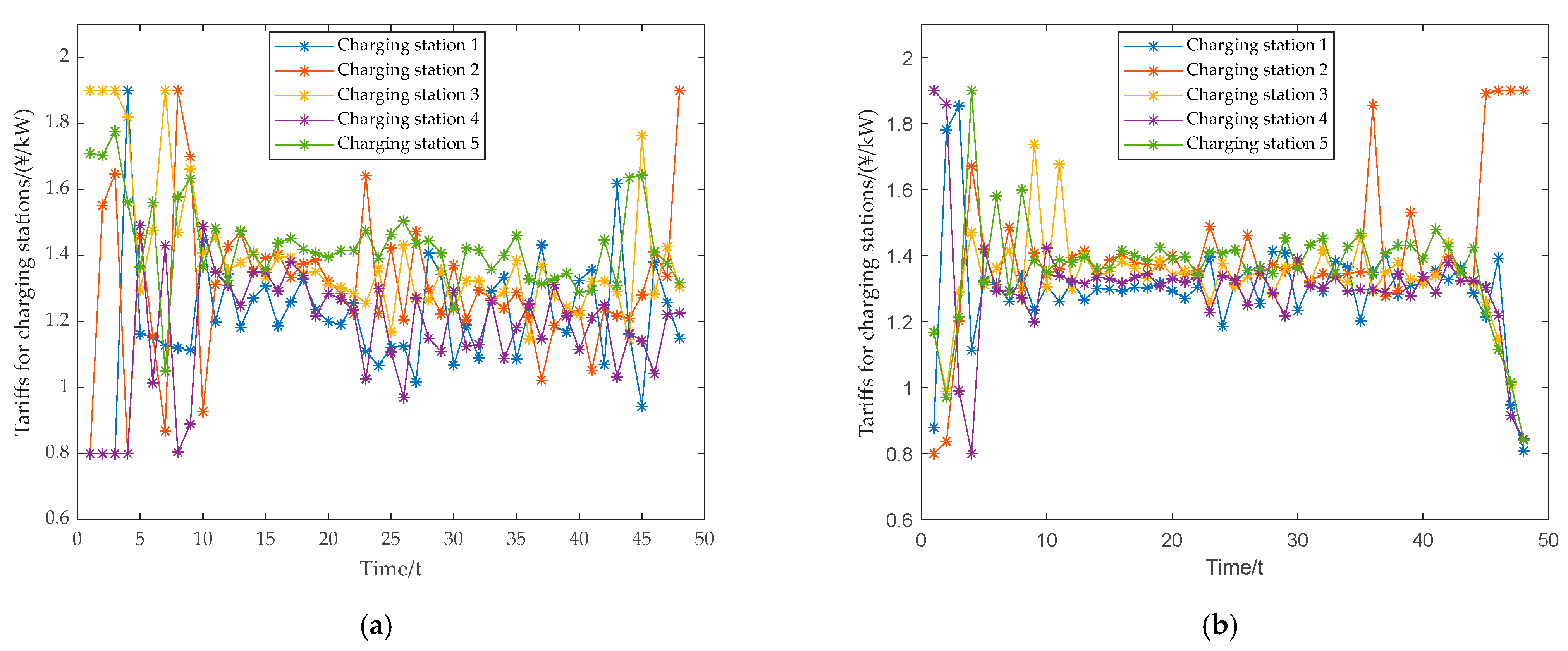
6.4. Results Analysis of Charging Station Tariff Setting
6.5. Results Analysis of Users’ Charging Decisions
- (1)
- Analysis of EV pathway options
- (2)
- Analysis of the decision-making process for EV charging
7. Conclusions
- (1)
- By comparing the charging satisfaction of EV users in different scenarios, it is found that EV users focus on different charging needs in the process of travel and the different types of EVs will lead to different choices of charging stations for charging. This reflects the correctness of the constructed quantitative evaluation index system of charging satisfaction among users.
- (2)
- By analysing and comparing the degree of imbalance among charging stations in different scenarios, it is found that the degree of imbalance among charging stations after tariff guidance improves very much compared to the scenarios without tariff guidance, which effectively reduces the congestion of charging stations. This verifies the effectiveness of the strategy of dynamically updating tariffs to guide the demand for fast charging at charging stations.
- (3)
- By analysing and comparing the setting results of optimal time-of-use prices for charging stations in different scenarios, it is found that the fluctuation of tariffs becomes smaller with the increase in charging cost weights. This reflects the rationality of dynamically updating the tariff results for charging stations.
Author Contributions
Funding
Data Availability Statement
Conflicts of Interest
References
- Shen, J.; Wang, L.; Zhang, J. Integrated scheduling strategy for private electric vehicles and electric taxis. IEEE Trans. Ind. Inform. 2021, 17, 1637–1647. [Google Scholar] [CrossRef]
- Shi, J.; Zhang, W.; Bao, Y.; Gao, D.W.; Wang, Z. Load forecasting of electric vehicle charging stations: Attention based spatiotemporal multi–graph convolutional networks. IEEE Trans. Smart Grid 2024, 15, 3016–3027. [Google Scholar] [CrossRef]
- Wang, C.; Ju, P.; Wu, F.; Pan, X.; Wang, Z. A systematic review on power system resilience from the perspective of generation, network, and load. Renew. Sustain. Energy Rev. 2022, 167, 112567. [Google Scholar] [CrossRef]
- Wang, C.; Ju, P.; Lei, S.; Wang, Z.; Wu, F.; Hou, Y. Markov decision process-based resilience enhancement for distribution systems: An approximate dynamic programming approach. IEEE Trans. Smart Grid 2020, 11, 2498–2510. [Google Scholar] [CrossRef]
- Wang, C.; Lei, S.; Ju, P.; Chen, C.; Peng, C.; Hou, Y. MDP-based distribution network reconfiguration with renewable distributed generation: An approximate dynamic programming approach. IEEE Trans. Smart Grid. 2020, 11, 3620–3631. [Google Scholar] [CrossRef]
- Su, S.; Li, Y.; Chen, Q.; Xia, M.; Yamashita, K.; Jurasz, J. Operating status prediction model at EV charging stations with fusing spatiotemporal graph convolutional network. IEEE Trans. Transp. Electrif. 2023, 9, 114–129. [Google Scholar] [CrossRef]
- Skala, R.; Elgalhud, M.A.T.A.; Grolinger, K.; Mir, S. Interval load forecasting for individual households in the presence of electric vehicle charging. Energies 2023, 16, 4093. [Google Scholar] [CrossRef]
- Aduama, P.; Zhang, Z.; Al-Sumaiti, A.S. Multi-feature data fusion-based load forecasting of electric vehicle charging stations using a deep learning model. Energies 2023, 16, 1309. [Google Scholar] [CrossRef]
- Zhou, D.; Guo, Z.; Xie, Y.; Hu, Y.; Jiang, D.; Feng, Y.; Liu, D. Using Bayesian deep learning for electric vehicle charging station load forecasting. Energies 2022, 15, 6195. [Google Scholar] [CrossRef]
- Zhang, X.; Chan, K.W.; Li, H.; Wang, H.; Qiu, J.; Wang, G. Deep-Learning-Based probabilistic forecasting of electric vehicle charging load with a novel queuing model. IEEE Trans. Cybern. 2021, 51, 3157–3170. [Google Scholar] [CrossRef]
- Dabbaghjamanesh, M.; Moeini, A.; Kavousi-Fard, A. Reinforcement learning-based load forecasting of electric vehicle charging station using Q-learning technique. IEEE Trans. Ind. Inform. 2021, 17, 4229–4237. [Google Scholar] [CrossRef]
- Cheng, S.; Wei, Z.; Shang, D.; Zhao, Z.; Chen, H. Charging load prediction and distribution network reliability evaluation considering electric vehicles’ spatial-temporal transfer randomness. IEEE Access 2020, 8, 124084–124096. [Google Scholar] [CrossRef]
- Yan, J.; Zhang, J.; Liu, Y.; Lv, G.; Han, S.; Alfonzo, I.E.G. EV charging load simulation and forecasting considering traffic jam and weather to support the integration of renewables and EVs. Renew. Energy 2020, 159, 623–641. [Google Scholar] [CrossRef]
- Zhang, J.; Yan, J.; Liu, Y.; Zhang, H.; Lv, G. Daily electric vehicle charging load profiles considering demographics of vehicle users. Appl. Energy 2020, 274, 115063. [Google Scholar] [CrossRef]
- Shi, X.; Xu, Y.; Guo, Q.; Sun, H.; Gu, W. A distributed EV navigation strategy considering the interaction between power system and traffic network. IEEE Trans. Smart Grid 2020, 11, 3545–3557. [Google Scholar] [CrossRef]
- Moradipari, A.; Tucker, N.; Alizadeh, M. Mobility-Aware electric vehicle fast charging load models with geographical price variations. IEEE Trans. Transp. Electrif. 2021, 7, 554–565. [Google Scholar] [CrossRef]
- Zhang, C.; Gao, Q.; Peng, K.; Jiang, Y. An EV charging guidance strategy based on the hierarchical comprehensive evaluation method. Energies 2023, 16, 3113. [Google Scholar] [CrossRef]
- Wang, Y.; Bi, J.; Lu, C.; Ding, C. Route guidance strategies for electric vehicles by considering stochastic charging demands in a time-varying road network. Energies 2020, 13, 2287. [Google Scholar] [CrossRef]
- Su, S.; Zhao, H.; Zhang, H.; Lin, X. An elastic charging service fee-based load guiding strategy for fast charging stations. Energies 2017, 10, 672. [Google Scholar] [CrossRef]
- Weng, Z.; Zhou, J.; Song, X.; Jing, L. Research on orderly charging strategy for electric vehicles based on electricity price guidance and reliability evaluation of microgrid. Electronics 2023, 12, 4876. [Google Scholar] [CrossRef]
- Cai, J.; Chen, D.; Jiang, S.; Pan, W. Dynamic-Area-Based shortest-path algorithm for intelligent charging guidance of electric vehicles. Sustainability 2020, 12, 7343. [Google Scholar] [CrossRef]
- Zhang, Z.; Lv, L.; Wang, X. Researh on dynamic time-sharing tariff orderly charging strategy based on NSGA2 in PV-Storage-Charging stations. Electr. Power Syst. Res. 2023, 225, 109784. [Google Scholar]
- Zhang, J.; Pei, Y.; Shen, J.; Wang, L.; Ding, T.; Wang, S. Charging strategy unifying spatial-temporal coordination of electric vehicles. IEEE Access 2020, 8, 74853–74863. [Google Scholar] [CrossRef]
- Zhang, M.; Zhang, Q.; Yang, X.; Sun, Q. Fast charging load guidance strategy based on adjustable charging service fee. IET Gener. Transm. Distrib. 2022, 16, 3297–3317. [Google Scholar] [CrossRef]
- Yang, H.; Yang, S.; Xu, Y.; Cao, E.; Lai, M.; Dong, Z. Electric vehicle route optimization considering time-of-use electricity price by learnable partheno-genetic algorithm. IEEE Trans. Smart Grid 2015, 6, 657–666. [Google Scholar] [CrossRef]
- Yang, Z.; Sun, L.; Chen, J.; Yang, Q.; Chen, X.; Xing, K. Profit maximization for plug-in electric taxi with uncertain future electricity prices. IEEE Trans. Power Syst. 2014, 29, 3058–3068. [Google Scholar] [CrossRef]
- Deilami, S.; Masoum, A.S.; Moses, P.S.; Masoum, M.A.S. Real-time coordination of plug-in electric vehicle charging in smart grids to minimize power losses and improve voltage profile. IEEE Trans. Smart Grid 2011, 2, 456–467. [Google Scholar] [CrossRef]
- Li, X.; Li, L.; Liu, W.; Zhao, X.; Xie, Q. Spatial-temporal distribution prediction of charging load for electric vehicles based on dynamic traffic information. Power Syst. Prot. Control. 2020, 48, 117–125. [Google Scholar]
- Niu, M.; Liao, K.; Yang, J.; Xiang, Y. Multi-time-scale electric vehicle load forecasting model considering seasonal characteristics. Power Syst. Prot. Control 2022, 50, 74–85. [Google Scholar]













| Battery Capacity | Percentage |
|---|---|
| 23/kWh | 30% |
| 43/kWh | 60% |
| 60/kWh | 10% |
| Type | Percentage | First Travel Time |
|---|---|---|
| R-W-R | 40% | (457, 1422) |
| R-O-R | 20% | (635, 2202) |
| R-W-O-R | 20% | (432, 742) |
| R-O-W-R | 20% | (601, 1982) |
| Parameter | Trip Times | First Travel Time |
|---|---|---|
| a1 | 0.2154 | 0.1334 |
| b1 | 1.684 | 7.051 |
| c1 | 0.9042 | 1.059 |
| a2 | 0.1361 | 0.1049 |
| b2 | 3.843 | 8.981 |
| c2 | 2.578 | 3.802 |
| First Departure Area | Probability |
|---|---|
| R | 0.953744 |
| W | 0.023559 |
| O | 0.022697 |
| Scenario | Weighting Factor for Charging Cost | Weighting Factor for Travelling Time |
|---|---|---|
| 1 | 0 | 1 |
| 2 | 0.5 | 0.5 |
| 3 | 1 | 0 |
| Scenario | Total Degree of Imbalance | Improvement Factor over Disordered Charging |
|---|---|---|
| 1 | 140.4833 | 0% |
| 2 | 4.3752 | 96.89% |
| 3 | 4.3996 | 96.87% |
| EV Type | Optimal Path | Time Consumed/min | Energy Consumption/kW |
|---|---|---|---|
| Private car | 11-12-6-2-3-9 | 14.036 | 3.18286 |
| Online ride-hailing car | 11-12-13-7-3-9 | 17.532 | 2.20162 |
| Selected Charging Station Number | Charging Cost/¥ | Travelling Time/h | Satisfaction of Travel Time Priority | Satisfaction of Time-Cost Balanced | Satisfaction of Cost-Priority |
|---|---|---|---|---|---|
| 1 | 57.4301 | 0.9689 | 0.3592 | 0.6558 | 0.9523 |
| 2 | 66.0321 | 1.2592 | 0 | 0 | 0 |
| 3 | 57.5269 | 0.5681 | 0.8550 | 0.8983 | 0.9416 |
| 4 | 56.9996 | 0.8632 | 0.4899 | 0.7450 | 1 |
| 5 | 61.6189 | 0.4509 | 1 | 0.7442 | 0.4885 |
Disclaimer/Publisher’s Note: The statements, opinions and data contained in all publications are solely those of the individual author(s) and contributor(s) and not of MDPI and/or the editor(s). MDPI and/or the editor(s) disclaim responsibility for any injury to people or property resulting from any ideas, methods, instructions or products referred to in the content. |
© 2024 by the authors. Licensee MDPI, Basel, Switzerland. This article is an open access article distributed under the terms and conditions of the Creative Commons Attribution (CC BY) license (https://creativecommons.org/licenses/by/4.0/).
Share and Cite
Han, H.; Miu, H.; Lv, S.; Yuan, X.; Pan, Y.; Zeng, F. Fast Charging Guidance and Pricing Strategy Considering Different Types of Electric Vehicle Users’ Willingness to Charge. Energies 2024, 17, 4716. https://doi.org/10.3390/en17184716
Han H, Miu H, Lv S, Yuan X, Pan Y, Zeng F. Fast Charging Guidance and Pricing Strategy Considering Different Types of Electric Vehicle Users’ Willingness to Charge. Energies. 2024; 17(18):4716. https://doi.org/10.3390/en17184716
Chicago/Turabian StyleHan, Huachun, Huiyu Miu, Shukang Lv, Xiaodong Yuan, Yi Pan, and Fei Zeng. 2024. "Fast Charging Guidance and Pricing Strategy Considering Different Types of Electric Vehicle Users’ Willingness to Charge" Energies 17, no. 18: 4716. https://doi.org/10.3390/en17184716
APA StyleHan, H., Miu, H., Lv, S., Yuan, X., Pan, Y., & Zeng, F. (2024). Fast Charging Guidance and Pricing Strategy Considering Different Types of Electric Vehicle Users’ Willingness to Charge. Energies, 17(18), 4716. https://doi.org/10.3390/en17184716
