Investigation and Analysis of the Power Quality in an Academic Institution’s Electrical Distribution System
Abstract
1. Introduction
2. Harmonic Analysis and Decomposition of Distorted Waveform
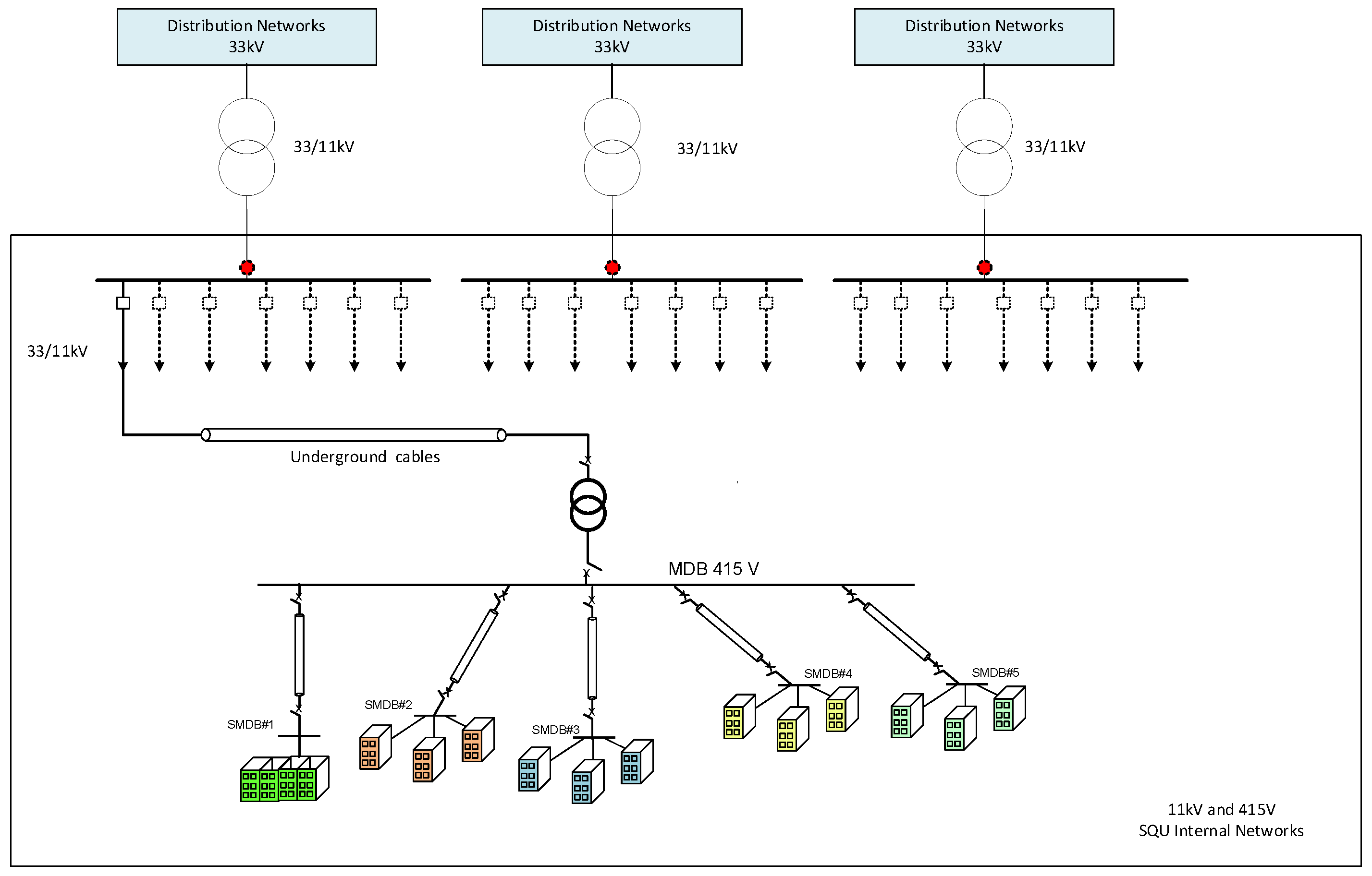
3. System Information and Measurement Setup
3.1. PQ Monitoring Results and Analysis for the PV-Inverter System
3.2. Monitoring Results and Analysis CIS and UPS
3.2.1. Voltage Profile and Quality at the CIS Bus (PCC#1)
3.2.2. Current Profile and Quality of the UPS System (PCC#2)
3.2.3. Current Profile and Quality for the Main Incomer (PCC#1)
3.3. Current Profile and Quality for a Motor Drive (Variable Speed Drive, VDF)
3.3.1. Current Profile and Quality for VFD-I
3.3.2. Current Profile and Quality for VFD-II
3.4. Current Profile and Quality at Engineering Building
3.5. Current Profile and Quality at Main Substation C
3.6. Current Profile and Quality at the Main Substation A
4. Summary and Conclusions
- The voltage harmonics THDV at all load-side connected points (415 V) exhibited low voltage distortion with a THDV of between 0.9 and 1.7%, within the distribution code and standards;
- Table 1 summarizes current harmonics THDI and TDD measurement results performed at different locations on the SQU campus, including the 11 kV bus at two substations;
- The PV inverter system exhibited noticeable current distortion. THDI had higher variations during sunrise/sunset transitions but TDD remained within acceptable limits per the standards;
- The UPS system showed highly distorted current waveforms with dominant odd and even harmonics. TDD reached 11.95–14.83% and THDI over 100% for some phases. However, at the UPS input (PCC#1), the harmonics attenuated significantly due to cancellations and linear load mixing, reducing TDD to 2.3%;
- The TDD values at the UPS connection point exceeded the IEEE519 limit. Thus, it is crucial to prioritize the design and implementation of passive filter solutions. Specifically, enhancing the design and configuration of passive filters can effectively mitigate harmonic distortions. This approach involves selecting appropriate filter types and capacities tailored to the specific harmonic frequencies present in the system. Regular monitoring and assessment of filter performance should also be conducted to ensure sustained compliance with regulatory standards and optimal operational efficiency;
- The VFDs demonstrated extreme current distortion, with THDI over 100% and TDD over 60%, with dominant 5th, 7th, 11th, and 13th harmonics. This is expected for 6-pulse VFDs. A passive filter with proper values is recommended. It is expected that with a passive filter, the THD will reduce to 10%;
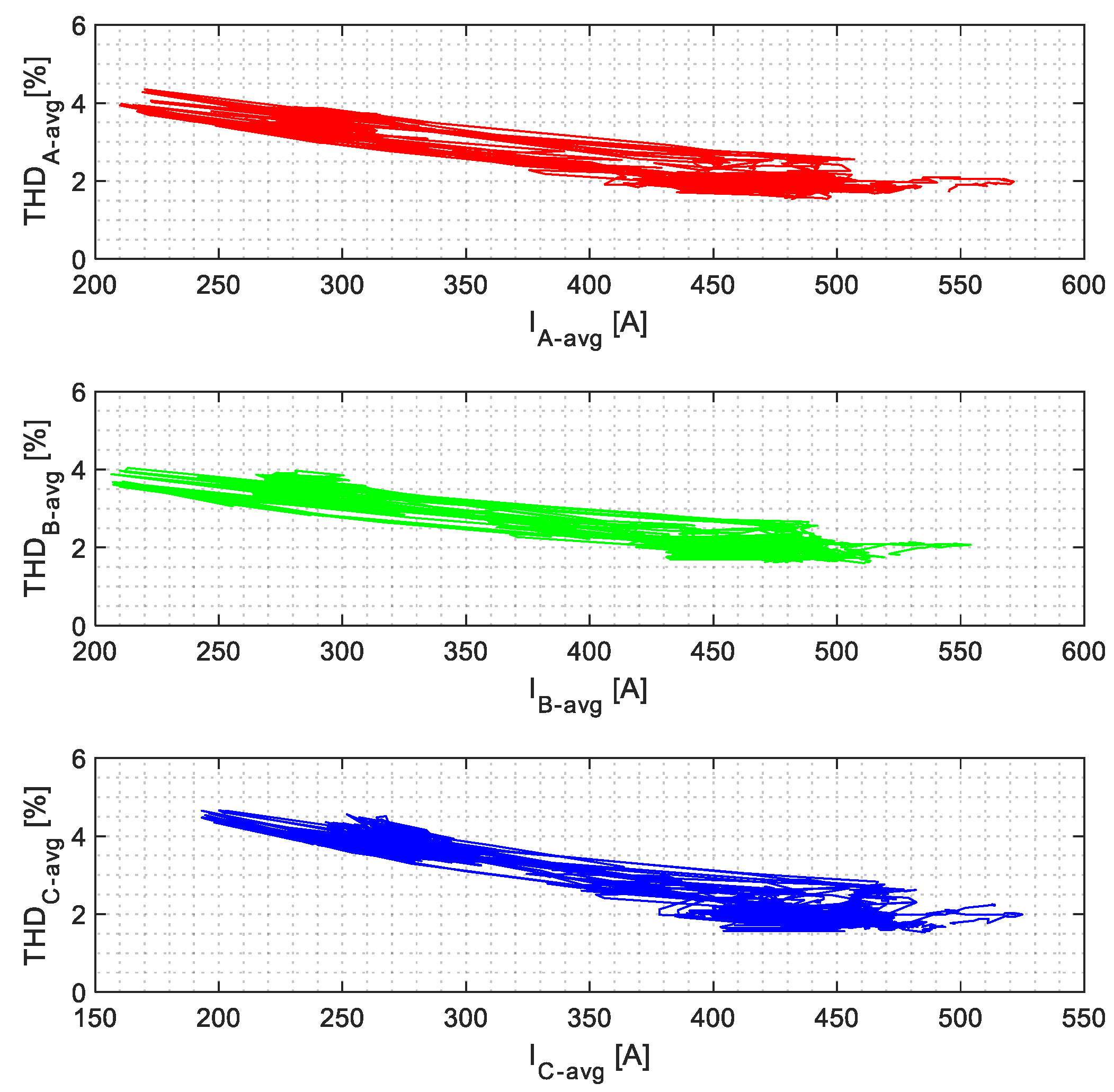
- At both the building and substation levels, current harmonics were noticeable but remained within IEEE 519 limits when accounting for the short circuit current. The Total Harmonic Current Distortion (THDI) ranged from 2 to 10%, and the Total Demand Distortion (TDD) ranged from 2 to 8%, depending on the loading;
- SQU plans to move toward a green smart system with integrated large-scale PV, upgraded and automated cooling systems, and the replacement of lights with LEDs within the networks. Therefore, the following recommendations are proposed:
- Conduct regular power quality audits (health checks) and maintenance of equipment to prevent the escalation of harmonic issues;
- Suppress the harmonics level associated with future expansion and upgrade of the PV system and VFDs by adding filters to the VFD systems and adopting advanced control techniques, such as active front-end converters;
- Utilizing the isolation transformers with specific winding configurations (e.g., K-factor transformers) designed to handle non-linear loads;
- The results highlighted the impacts of diverse and aggregate linear loading, with noticeable differentiation between more and less heavily loaded sections of the distribution network. Recommendations are provided for ongoing monitoring and consideration of targeted mitigation efforts to maintain power quality as campus loads modernize and electricity demand increases. The presented methodology and dataset provide a benchmark to guide standards compliance as SQU upgrades aging equipment and expands new high-tech facilities.
Author Contributions
Funding
Data Availability Statement
Acknowledgments
Conflicts of Interest
References
- Singh, B.; Al-Haddad, K.; Chandra, A. A Review of Active Filters for Power Quality Improvement. IEEE Trans. Ind. Electron. 1999, 46, 960–971. [Google Scholar] [CrossRef]
- IEEE Standard 519-2022; IEEE Standard for Harmonic Control in Electric Power Systems. IEEE: New York, NY, USA, 2022; pp. 1–31.
- IEC 61727; Photovoltaic (PV) Systems—Characteristics of the Utility Interface. International Electrotechnical Commission (IEC): Geneva, Switzerland, 2004.
- IEC 61000-3-2; Electromagnetic Compatibility (EMC) Part 3-2: Limits for Harmonic Current Emission (Equipment Input Current <16 A per Phase). International Electrotechnical Commission (IEC): Geneva, Switzerland, 2000.
- IEC 61000-3-12; Electromagnetic Compatibility (EMC) Part 3-12: Limits for Harmonic Currents Produced by Equipment Connected to Public Low-Voltage Systems with Input Current <75 A per Phase. International Electrotechnical Commission (IEC): Geneva, Switzerland, 2003.
- Kontogiannis, K.P.; Vokas, G.A.; Nanou, S.; Papathanassiou, S. Power Quality Field Measurements on PV Inverters. Int. J. Adv. Res. Electr. Electron. Instrum. Eng. 2013, 2, 11. [Google Scholar]
- Alawasa, K.; Al-Odienat, A. Power Quality Investigation of Single Phase Grid-connected Inverter of Photovoltaic System. J. Eng. Technol. Sci. 2019, 51, 597–614. [Google Scholar] [CrossRef]
- Khatri, M.; Kumar, A. Experimental Investigation of Harmonics in a Grid-Tied Solar Photovoltaic System. Int. J. Renew. Energy Res. IJRER 2017, 7, 901–907. [Google Scholar]
- Alawasa, K. Harmonic distortions and interactions of modern residential electric loads. Int. J. Eng. Technol. 2018, 7, 4174–4181. [Google Scholar]
- Alawasa, K.; Al-Mbaideen, A. Power quality assessment and analysis for low voltage distribution networks. Jordan J. Electr. Eng. 2018, 4, 165–175. [Google Scholar]
- Mansor, M.A.; Hasan, K.; Othman, M.M.; Noor, M.S.Z.; Musirin, A.I. Construction and Performance Investigation of Three-Phase Solar PV and Battery Energy Storage System Integrated UPQC. IEEE Access 2020, 8, 103511–103538. [Google Scholar] [CrossRef]
- Yashomani, Y.; Shyama, K.; Das, P. Experimental Investigation of a Single-Phase UPQC With Minimum VA Loading. IEEE Trans. Power Deliv. 2007, 22, 373–380. [Google Scholar]
- Javadi, A.; Hamadi, A.; Woodward, L.; Al-Haddad, K. Experimental Investigation on a Hybrid Series Active Power Compensator to Improve Power Quality of Typical Households. IEEE Trans. Ind. Electron. 2016, 63, 4849–4859. [Google Scholar] [CrossRef]
- Hartungi, R.; Jiang, L. Investigation of Power Quality in Health Care Facility. In Proceedings of the International Conference on Renewable Energies and Power Quality (ICREPQ’10), Granada, Spain, 23–25 March 2010. [Google Scholar]
- Alawasa, K.M.; AlAbri, R.S.; Al-Hinai, A.S.; Albadi, M.H.; Al-Badi, A.H. Experimental Study on the Effect of Dust Deposition on a Car Park Photovoltaic System with Different Cleaning Cycles. Sustainability 2021, 13, 7636. [Google Scholar] [CrossRef]
- Oman Distribution Code. Available online: https://dcrp-oman.com/documents/The%20Distribution%20Code.pdf (accessed on 16 June 2023).

































| Type of System | THD-I | TDD |
|---|---|---|
| PV Inverter system | 2.94–327.67% | 3.315% |
| UPS | Exceed 100% | 11.95–14.83% |
| VFD-1-HVAC | 130% | 63% |
| VFD-2-HVAC | 110% | 72% |
| Engineering Building | 3–10% | 3–7% |
| Main Substation C | 9.9% | 7.4% |
| Main Substation A | 3.9% | 2.6% |
Disclaimer/Publisher’s Note: The statements, opinions and data contained in all publications are solely those of the individual author(s) and contributor(s) and not of MDPI and/or the editor(s). MDPI and/or the editor(s) disclaim responsibility for any injury to people or property resulting from any ideas, methods, instructions or products referred to in the content. |
© 2024 by the authors. Licensee MDPI, Basel, Switzerland. This article is an open access article distributed under the terms and conditions of the Creative Commons Attribution (CC BY) license (https://creativecommons.org/licenses/by/4.0/).
Share and Cite
Alawasa, K.M.; Al-Badi, A.H. Investigation and Analysis of the Power Quality in an Academic Institution’s Electrical Distribution System. Energies 2024, 17, 3998. https://doi.org/10.3390/en17163998
Alawasa KM, Al-Badi AH. Investigation and Analysis of the Power Quality in an Academic Institution’s Electrical Distribution System. Energies. 2024; 17(16):3998. https://doi.org/10.3390/en17163998
Chicago/Turabian StyleAlawasa, Khaled M., and Abdullah H. Al-Badi. 2024. "Investigation and Analysis of the Power Quality in an Academic Institution’s Electrical Distribution System" Energies 17, no. 16: 3998. https://doi.org/10.3390/en17163998
APA StyleAlawasa, K. M., & Al-Badi, A. H. (2024). Investigation and Analysis of the Power Quality in an Academic Institution’s Electrical Distribution System. Energies, 17(16), 3998. https://doi.org/10.3390/en17163998

