Analysis of the Year-Round Operation of Enhanced Natural Ventilation Systems under Transient Weather Conditions in Europe
Abstract
1. Introduction and Theoretical Background




- Simulation of year-round operation of passive ventilation systems based on the use of renewable energy sources (solar, wind) and low-temperature waste heat.
- Providing comprehensive results for the different arrangements of natural ventilation systems in different European urban areas.
- Presenting the comparisons of different ventilation strategies to avoid concentration of building indoor pollution in selected locations.
- Analysis of the possibility for CO2 reduction by using a passive ventilation system.
2. Simulation of Combined Natural Ventilation Techniques
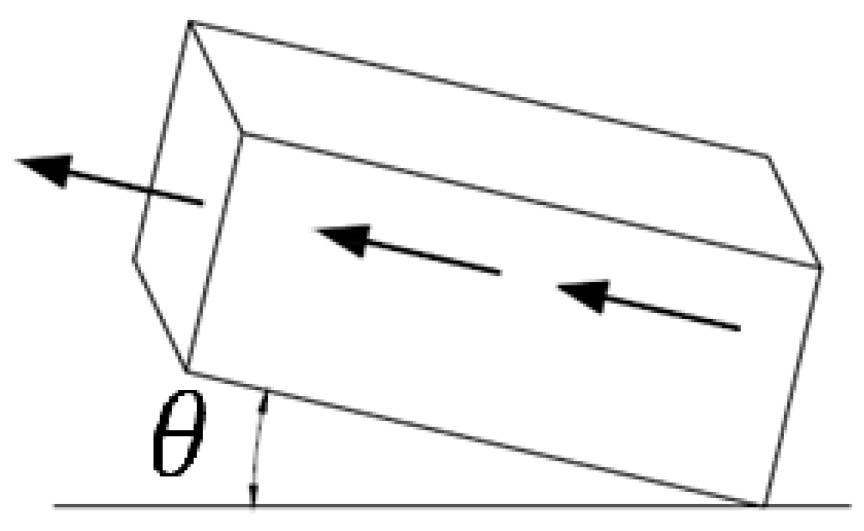
2.1. Characteristics of Proposed Systems
2.2. Mathematical Model
2.2.1. Volumetric Flow Rate Calculation


2.2.2. Simulation of Passive Ventilation by Objected-Oriented Modeling



3. Results and Discussion
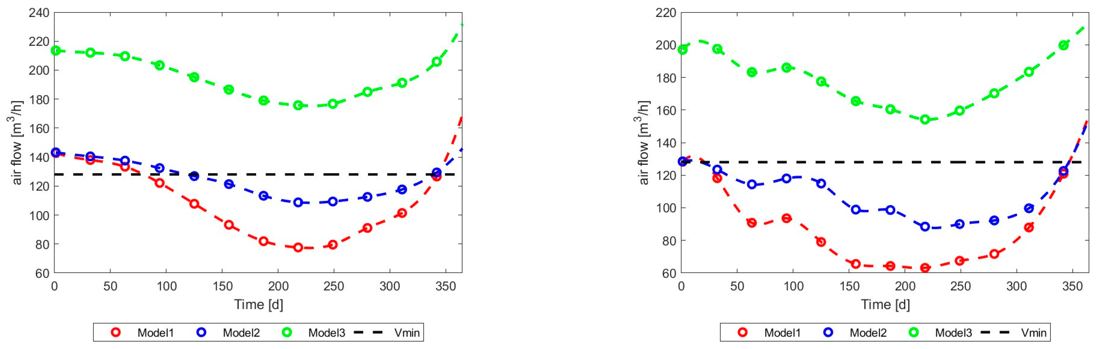
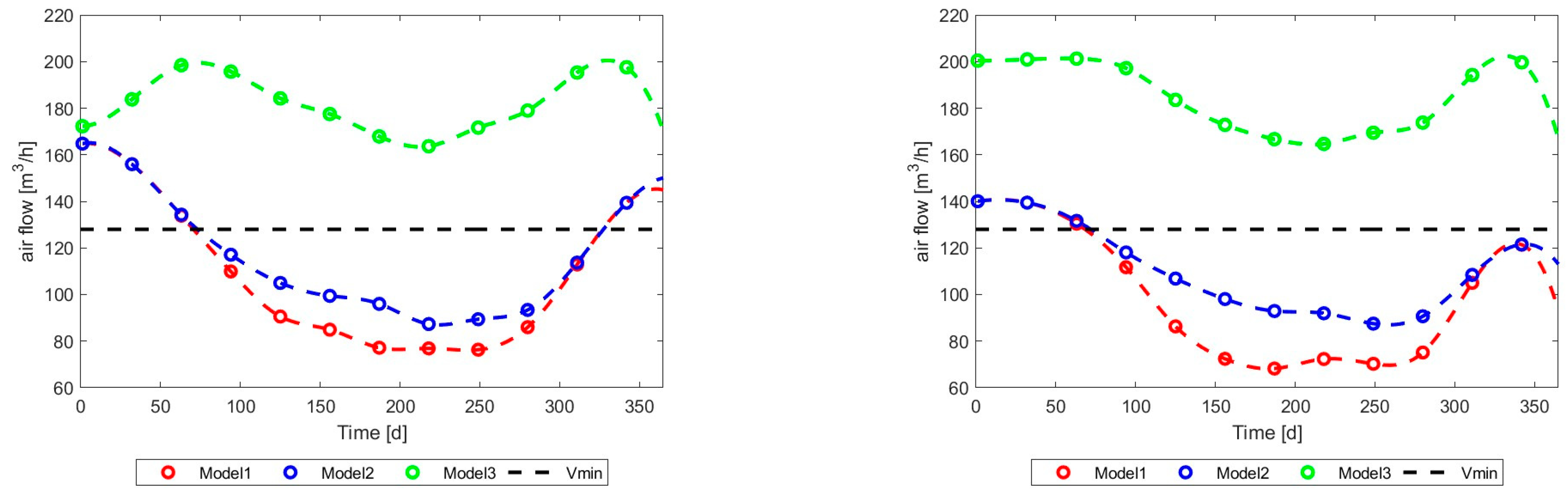
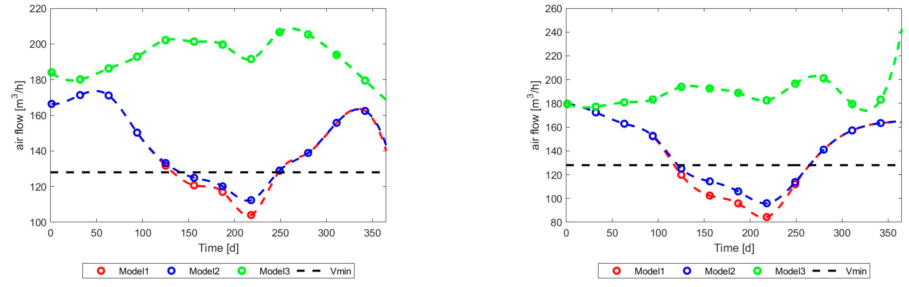
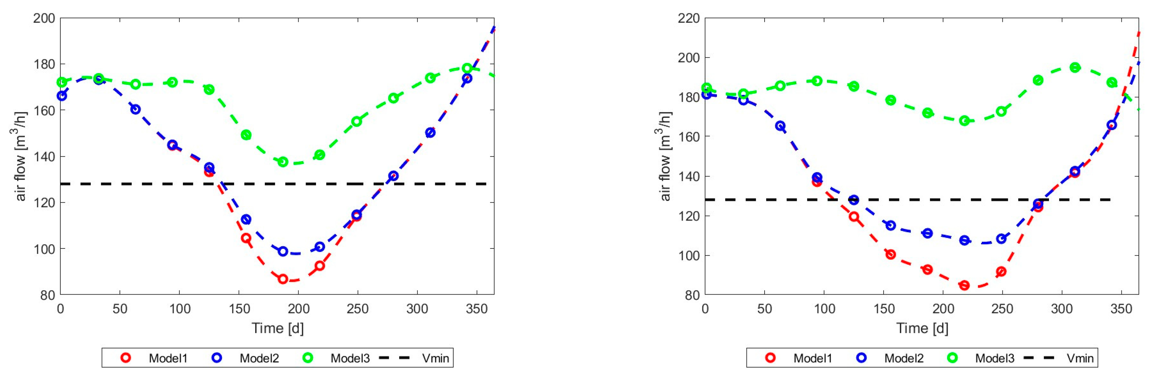
3.1. Potential of Using Different Passive Ventilation Technologies in Selected European Locations
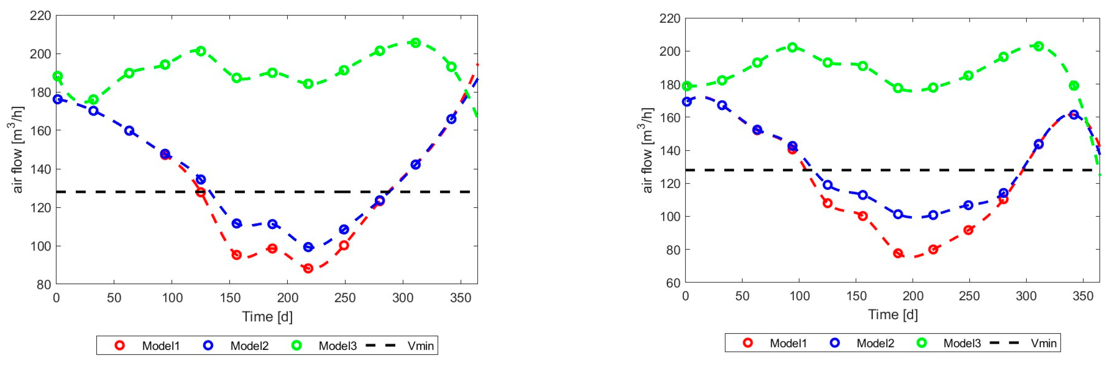
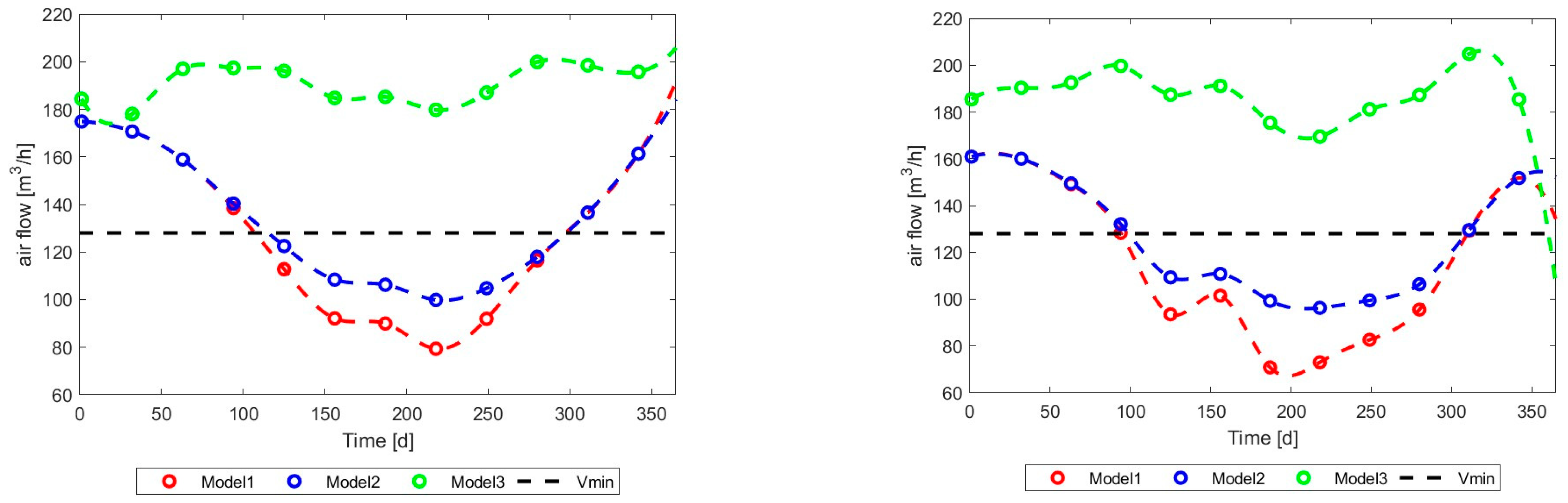
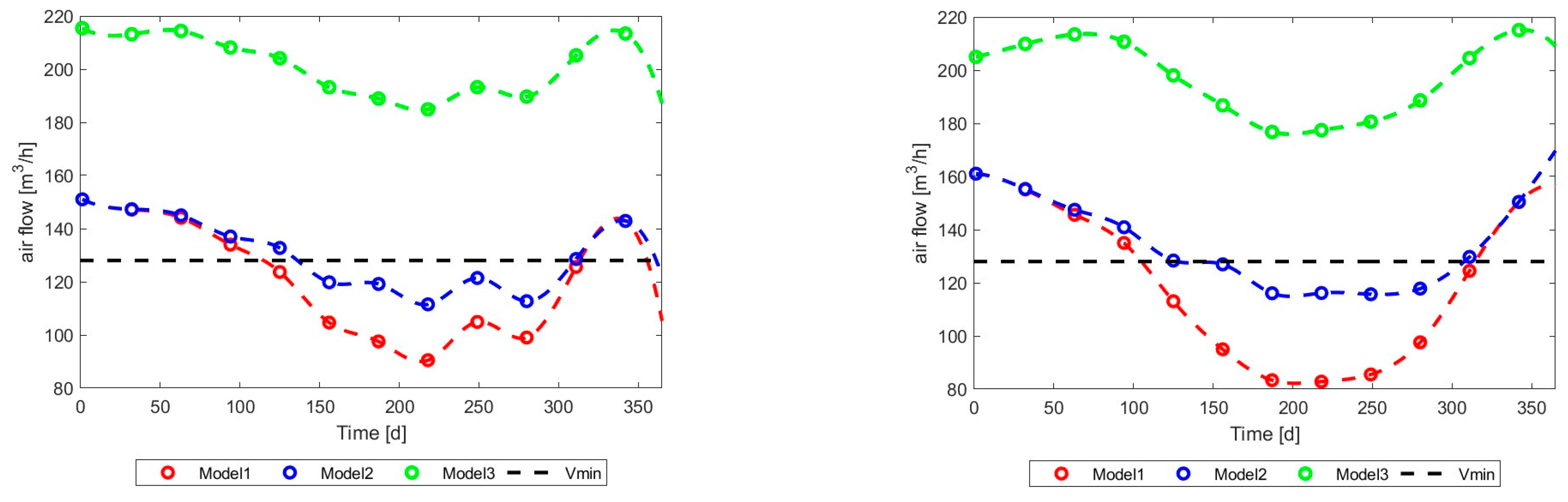
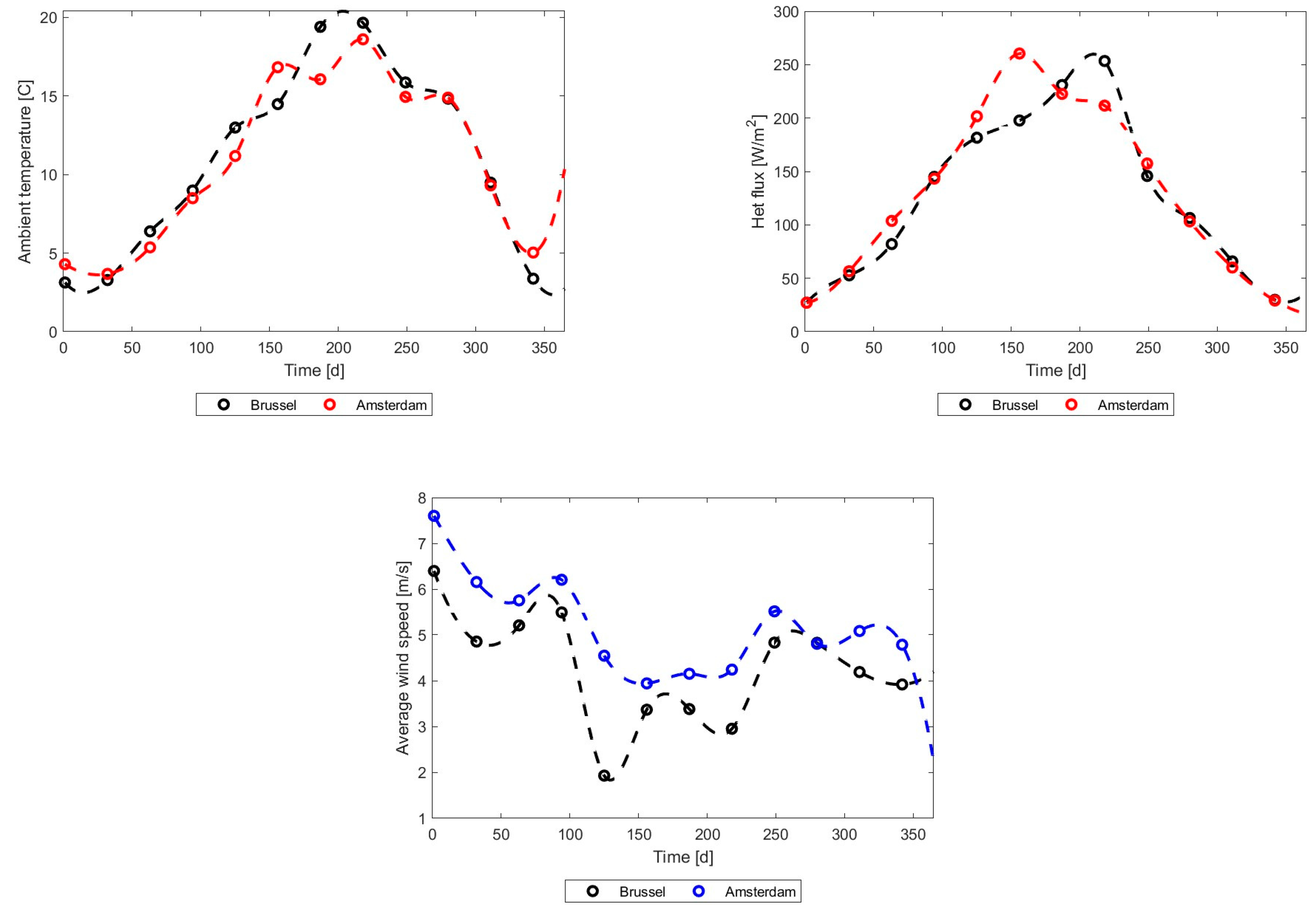
3.2. Detailed Results: Effect of Solar Radiation, Ambient Temperature, and Wind Speed
- In the case of all the parameters such as volumetric flow, temperature, radiation level, and wind speed, the average values for every 30 days are shown.
- The additional trend lines for presented data are proposed.
4. Comparisons of Different Ventilation Strategies to Avoid the Concentration of Building Indoor Pollution in Selected European Locations
5. CO2 Reduction Using a Passive Ventilation System
6. Conclusions
- The domination of ambient temperature and solar radiation in passive ventilation performance was confirmed in locations deep in the land.
- It is possible to meet minimal hygienic requirements by using natural ventilation supported by wind turbine ventilators and/or solar chimneys only in the northern part of Europe. However, in the case of public buildings (e.g., schools, offices) or non-residential objects, due to the higher requirements of ACH, such a system cannot be recommended.
- The passive ventilation system presented in Model 3 can be used in all analyzed localizations. However, additional waste heat energy is required.
- The biggest potential for CO2 reduction by using an improved passive ventilation system (Model 3) is in the southern part of Europe.
Funding
Data Availability Statement
Conflicts of Interest
References
- O’connor, D.; Calautit, J.K.S.; Hughes, B.R. A Review of Heat Recovery Technology for Passive Ventilation Applications. Renew. Sustain. Energy Rev. 2016, 54, 1481–1493. [Google Scholar] [CrossRef]
- González-Torres, M.; Pérez-Lombard, L.; Coronel, J.F.; Maestre, I.R.; Yan, D. A Review on Buildings Energy Information: Trends, End-Uses, Fuels and Drivers. Energy Rep. 2022, 8, 626–637. [Google Scholar] [CrossRef]
- Asikainen, A.; Hänninen, O.; Brelih, N.; Bischof, W.; Hartmann, T.; Carrer, P.; Wargocki, P. The Proportion of Residences in European Countries with Ventilation Rates below the Regulation Based Limit Value. Int. J. Vent. 2013, 12, 129–134. [Google Scholar] [CrossRef]
- Le Dean, P.; Febvre, B.; Bernard, A.M. Proceedings CLIMA 2007—Wellbeing Indoors (10–14 June Helsinki). In Proceedings of the Survey of Ventilation Systems in Europe, Helsinki, Finland, 14 June 2007; pp. 1–4. [Google Scholar]
- Litiu, A. Ventilation System Types in Some EU Countries. REHVA J. 2012, 1, 18–23. [Google Scholar]
- EU Commission. EU Building Stock Observatory; EU Commission: Brussels, Belgium, 2023. [Google Scholar]
- Carrer, P.; Wargocki, P.; Fanetti, A.; Bischof, W.; De Oliveira Fernandes, E.; Hartmann, T.; Kephalopoulos, S.; Palkonen, S.; Seppänen, O. What Does the Scientific Literature Tell Us about the Ventilation-Health Relationship in Public and Residential Buildings? Build. Environ. 2015, 94, 273–286. [Google Scholar] [CrossRef]
- Mushtaha, E.; Salameh, T.; Kharrufa, S.; Mori, T.; Aldawoud, A.; Hamad, R.; Nemer, T. The Impact of Passive Design Strategies on Cooling Loads of Buildings in Temperate Climate. Case Stud. Therm. Eng. 2021, 28, 101588. [Google Scholar] [CrossRef]
- Xamán, J.; Vargas-López, R.; Gijón-Rivera, M.; Zavala-Guillén, I.; Jiménez, M.J.; Arce, J. Transient Thermal Analysis of a Solar Chimney for Buildings with Three Different Types of Absorbing Materials: Copper Plate/PCM/Concrete Wall. Renew. Energy 2019, 136, 139–158. [Google Scholar] [CrossRef]
- Li, Y.; Liu, S. Experimental Study on Thermal Performance of a Solar Chimney Combined with PCM. Appl. Energy 2014, 114, 172–178. [Google Scholar] [CrossRef]
- Lei, Y.; Zhang, Y.; Wang, F.; Wang, X. Enhancement of Natural Ventilation of a Novel Roof Solar Chimney with Perforated Absorber Plate for Building Energy Conservation. Appl. Therm. Eng. 2016, 107, 653–661. [Google Scholar] [CrossRef]
- Jing, H.; Chen, Z.; Li, A. Experimental Study of the Prediction of the Ventilation Flow Rate through Solar Chimney with Large Gap-to-Height Ratios. Build. Environ. 2015, 89, 150–159. [Google Scholar] [CrossRef]
- Harris, D.J.; Helwig, N. Solar Chimney and Building Ventilation. Appl. Energy 2007, 84, 135–146. [Google Scholar] [CrossRef]
- Sakonidou, E.P.; Karapantsios, T.D.; Balouktsis, A.I.; Chassapis, D. Modeling of the Optimum Tilt of a Solar Chimney for Maximum Air Flow. Sol. Energy 2008, 82, 80–94. [Google Scholar] [CrossRef]
- Al-Kayiem, H.H.; Sreejaya, K.V.; Gilani, S.I.U.H. Mathematical Analysis of the Influence of the Chimney Height and Collector Area on the Performance of a Roof Top Solar Chimney. Energy Build. 2014, 68, 305–311. [Google Scholar] [CrossRef]
- Ghalamchi, M.; Kasaeian, A.; Ghalamchi, M.; Mirzahosseini, A.H. An Experimental Study on the Thermal Performance of a Solar Chimney with Different Dimensional Parameters. Renew. Energy 2016, 91, 477–483. [Google Scholar] [CrossRef]
- Shi, L.; Zhang, G.; Cheng, X.; Guo, Y.; Wang, J.; Chew, M.Y.L. Developing an Empirical Model for Roof Solar Chimney Based on Experimental Data from Various Test Rigs. Build. Environ. 2016, 110, 115–128. [Google Scholar] [CrossRef]
- Arce, J.; Jiménez, M.J.; Guzmán, J.D.; Heras, M.R.; Alvarez, G.; Xamán, J. Experimental Study for Natural Ventilation on a Solar Chimney. Renew. Energy 2009, 34, 2928–2934. [Google Scholar] [CrossRef]
- Li, Y.; Liu, S.; Lu, J. Effects of Various Parameters of a PCM on Thermal Performance of a Solar Chimney. Appl. Therm. Eng. 2017, 127, 1119–1131. [Google Scholar] [CrossRef]
- Liu, W.; Bie, Y.; Xu, T.; Cichon, A.; Królczyk, G.; Li, Z. Heat Transfer Enhancement of Latent Heat Thermal Energy Storage in Solar Heating System: A State-of-the-Art Review. J. Energy Storage 2022, 46, 103727. [Google Scholar] [CrossRef]
- Huld, T.A.; Šúri, M.; Dunlop, E.D.; Micale, F. Estimating Average Daytime and Daily Temperature Profiles within Europe. Environ. Model. Softw. 2006, 21, 1650–1661. [Google Scholar] [CrossRef]
- Szmyd, J.; Milewski, P. Daily Amplitude of Air Temperature in Poland and Bulgaria-a Comparative Study. Eur. XXI 2015, 29, 85–94. [Google Scholar] [CrossRef]
- Rebetez, M. Changes in Daily and Nightly Day-to-Day Temperature Variability during the Twentieth Century for Two Stations in Switzerland. Theor. Appl. Clim. 2001, 69, 13–21. [Google Scholar] [CrossRef]
- Katavoutas, G.; Founda, D.; Varotsos, K.V.; Giannakopoulos, C. Diurnal Temperature Range and Its Response to Heat Waves in 16 European Cities—Current and Future Trends. Sustainability 2023, 15, 12715. [Google Scholar] [CrossRef]
- Szabó-Takács, B.; Farda, A.; Skalák, P.; Meitner, J. Influence of Bias Correction Methods on Simulated Köppen-Geiger Climate Zones in Europe. Climate 2019, 7, 18. [Google Scholar] [CrossRef]
- Vilà, R.; Medrano, M.; Castell, A. Mapping Nighttime and All-Day Radiative Cooling Potential in Europe and the Influence of Solar Reflectivity. Atmosphere 2021, 12, 1119. [Google Scholar] [CrossRef]
- Liu, S.; Li, Y. Heating Performance of a Solar Chimney Combined PCM: A Numerical Case Study. Energy Build. 2015, 99, 117–130. [Google Scholar] [CrossRef]
- Frutos Dordelly, J.C.; El Mankibi, M.; Roccamena, L.; Remion, G.; Arce Landa, J. Experimental Analysis of a PCM Integrated Solar Chimney under Laboratory Conditions. Sol. Energy 2019, 188, 1332–1348. [Google Scholar] [CrossRef]
- Omara, A.A.M.; Mohammed, H.A.; Al Rikabi, I.J.; Abuelnour, M.A.; Abuelnuor, A.A.A. Performance Improvement of Solar Chimneys Using Phase Change Materials: A Review. Solar Energy 2021, 228, 68–88. [Google Scholar] [CrossRef]
- Al-Obaidi, K.M.; Ismail, M.; Abdul Rahman, A.M. A Review of the Potential of Attic Ventilation by Passive and Active Turbine Ventilators in Tropical Malaysia. Sustain. Cities Soc. 2014, 10, 232–240. [Google Scholar] [CrossRef]
- Sung, L.L.; Suffian bin Misran, M.; Tarek Ur Rahman Erin, M.; Rahman, M.M. Solar Chimney and Turbine-Assisted Ventilation System. In Cold Inflow-Free Solar Chimney: Design and Applications; Springer: Singapore, 2021. [Google Scholar]
- Gao, N.; Yan, Y.; Sun, R.; Lei, Y. Natural Ventilation Enhancement of a Roof Solar Chimney with Wind-Induced Channel. Energies 2022, 15, 6492. [Google Scholar] [CrossRef]
- Lygnerud, K.; Wheatcroft, E.; Wynn, H. Contracts, Business Models and Barriers to Investing in Low Temperature District Heating Projects. Appl. Sci. 2019, 9, 3142. [Google Scholar] [CrossRef]
- Panggabean, S.; Sibarani, D.M.; Sigalingging, R.; Rindang, A. Study on Waste Heat Potential of Commercial Refrigerator Condenser. In Proceedings of the International Conference of Science, Technology, Engineering, Environmental and Ramification Researches; SciTePress: Setúbal, Portugal, 2020. [Google Scholar]
- Bianchi, G.; McGinty, R.; Oliver, D.; Brightman, D.; Zaher, O.; Tassou, S.A.; Miller, J.; Jouhara, H. Development and Analysis of a Packaged Trilateral Flash Cycle System for Low Grade Heat to Power Conversion Applications. Therm. Sci. Eng. Prog. 2017, 4, 113–121. [Google Scholar] [CrossRef]
- Hassan, H.Z. Performance Enhancement of the Basic Solar Chimney Power Plant Integrated with an Adsorption Cooling System with Heat Recovery from the Condenser. Energies 2023, 17, 136. [Google Scholar] [CrossRef]
- Salari, A.; Ashouri, M.; Hakkaki-Fard, A. On the Performance of Inclined Rooftop Solar Chimney Integrated with Photovoltaic Module and Phase Change Material: A Numerical Study. Sol. Energy 2020, 211, 1159–1169. [Google Scholar] [CrossRef]
- Moosavi, L.; Zandi, M.; Bidi, M.; Behroozizade, E.; Kazemi, I. New Design for Solar Chimney with Integrated Windcatcher for Space Cooling and Ventilation. Build. Environ. 2020, 181, 106785. [Google Scholar] [CrossRef]
- Saifi, N.; Baadi, A.; Ghedamsi, R.; Guerrout, A.; Settou, N. An Experimental Study and Numerical Simulation of Natural Ventilation in a Semi-Arid Climate Building Using a Wind Catcher with Evaporative Cooling System and Solar Chimney. J. Build. Eng. 2024, 85, 108475. [Google Scholar] [CrossRef]
- Dale, J.D.; Ackerman, M.Y. Evaluation of the Performance of Attic Turbine Ventilators. In Proceedings of the ASHRAE Transactions, Chicago, IL, USA, 23–27 January 1993; Volume 99. [Google Scholar]
- Shi, L.; Zhang, G.; Yang, W.; Huang, D.; Cheng, X.; Setunge, S. Determining the Influencing Factors on the Performance of Solar Chimney in Buildings. Renew. Sustain. Energy Rev. 2018, 88, 223–238. [Google Scholar] [CrossRef]
- Hassan, F.; Jamil, F.; Hussain, A.; Ali, H.M.; Janjua, M.M.; Khushnood, S.; Farhan, M.; Altaf, K.; Said, Z.; Li, C. Recent Advancements in Latent Heat Phase Change Materials and Their Applications for Thermal Energy Storage and Buildings: A State of the Art Review. Sustain. Energy Technol. Assess. 2022, 49, 101646. [Google Scholar] [CrossRef]
- Li, Y.; Liu, S. Numerical Study on Thermal Behaviors of a Solar Chimney Incorporated with PCM. Energy Build. 2014, 80, 406–414. [Google Scholar] [CrossRef]
- Khan, N.; Su, Y.; Riffat, S.B.; Biggs, C. Performance Testing and Comparison of Turbine Ventilators. Renew. Energy 2008, 33, 2441–2447. [Google Scholar] [CrossRef]
- Afonso, C.; Oliveira, A. Solar Chimneys: Simulation and Experiment. Energy Build. 2000, 32, 71–79. [Google Scholar] [CrossRef]
- The Engineering ToolBox. Natural Draft—Air Flow Volume and Velocity; The Engineering ToolBox: 2003. Available online: https://www.engineeringtoolbox.com/natural-draught-ventilation-d_122.html (accessed on 22 July 2024).
- Rimdžius, D.; Bielskus, J.; Martinaitis, V.; Motuzienė, V.; Streckienė, G. Experimental Evaluation of Turbine Ventilators Performance under Different Test Conditions. In Proceedings of the E3S Web of Conferences (2018 3rd International Conference on Power and Renewable Energy), Berlin, Germany, 21–24 September 2018; Volume 64. [Google Scholar]
- Croce, P.; Formichi, P.; Landi, F. Evaluation of Current Trends of Climatic Actions in Europe Based on Observations and Regional Reanalysis. Remote Sens. 2021, 13, 2025. [Google Scholar] [CrossRef]
- Chirosca, A.M.; Rusu, L. Characteristics of the Wind and Wave Climate along the European Seas Focusing on the Main Maritime Routes. J. Mar. Sci. Eng. 2022, 10, 75. [Google Scholar] [CrossRef]
- Dimitroulopoulou, C. Ventilation in European Dwellings: A Review. Build. Environ. 2012, 47, 109–125. [Google Scholar] [CrossRef]
- Chen, C.; Zhao, B. Review of Relationship between Indoor and Outdoor Particles: I/O Ratio, Infiltration Factor and Penetration Factor. Atmos. Environ. 2011, 45, 275–288. [Google Scholar] [CrossRef]
- Rosbach, J.; Krop, E.; Vonk, M.; Van Ginkel, J.; Meliefste, C.; De Wind, S.; Gehring, U.; Brunekreef, B. Classroom Ventilation and Indoor Air Quality-Results from the FRESH Intervention Study. Indoor Air 2016, 26, 538–545. [Google Scholar] [CrossRef] [PubMed]
- Fisk, W.J.; Mirer, A.G.; Mendell, M.J. Quantitative Relationship of Sick Building Syndrome Symptoms with Ventilation Rates. Indoor Air 2009, 19, 159–165. [Google Scholar] [CrossRef] [PubMed]
- Jafari, M.J.; Khajevandi, A.A.; Najarkola, S.A.M.; Yekaninejad, M.S.; Pourhoseingholi, M.A.; Omidi, L.; Kalantary, S. Association of Sick Building Syndrome with Indoor Air Parameters. Tanaffos 2015, 14, 55–62. [Google Scholar]
- ASHRAE Standard 62.1-2010; Ventilation for Acceptable Indoor Air Quality. ASHRAE: Melbourne, Australia, 2010.
- Shieh, T.H.; Chang, P.C.; Chiang, C.M.; Lai, C.M. Potential Assessment of an Innovative Hybrid Ventilator for Building Ventilation. J. Mech. Sci. Technol. 2010, 24, 2341–2345. [Google Scholar] [CrossRef]
- Dąbrowski, P.; Andrzejczyk, R.; Wacławik, M.; Mikielewicz, D. Window Frame Integrable Air Recuperation Minichannel/Minigap Heat Exchanger. Appl. Therm. Eng. 2024, 247, 123116. [Google Scholar] [CrossRef]
- Schulze, T.; Eicker, U. Controlled Natural Ventilation for Energy Efficient Buildings. Energy Build. 2013, 56, 221–232. [Google Scholar] [CrossRef]





































| Year | Publication | SC | SC-PCM-WC | SC-PCM | SC-WTV-PCM | Novelty |
|---|---|---|---|---|---|---|
| 2016 | [11] | ✓ | roof solar chimney equipped with a perforated absorber plate | |||
| 2015 | [12] | ✓ | experimental study for a solar chimney with large gap-to-height ratios | |||
| 2007 | [13] | ✓ | design of a solar chimney to induce natural ventilation in a residential building | |||
| 2008 | [14] | ✓ | mathematical modeling of optimal till for maximizing air flow rate through solar chimney referring to daily solar radiation level | |||
| 2014 | [15] | ✓ | mathematical model for rooftop solar chimney | |||
| 2016 | [17] | ✓ | a universal empirical model for volumetric airflow at the solar chimney | |||
| 2009 | [18] | ✓ | experimental results for solar chimney operated in real conditions | |||
| 2017 | [19] | ✓ | numerical simulation of solar chimney integration with PCM material for different operation parameters | |||
| 2015 | [27] | ✓ | numerical simulation of heating performance for solar chimney integration with PCM for different parameters | |||
| 2019 | [28] | ✓ | experimental investigations in laboratory conditions of a solar chimney integrated with PCM | |||
| 2021 | [31] | ✓ | experimental investigations of solar chimney integration with a wind turbine ventilator | |||
| 2020 | [37] | ✓ | possibility of integrating rooftop solar chimneys with waste heat from PV panels | |||
| 2020 | [38] | ✓ | integration of solar chimneys with an accumulated wall (filled by PCM) and windcatcher | |||
| 2024 | [39] | ✓ | determining the efficiency of passive solar systems based on using solar chimneys integrated with a wind catcher |
| Poland | Model/City | Gdansk | Warsaw | Wroclaw | Cracow |
| Model 1 | 61.30% | 55.34% | 54.45% | 51.65% | |
| Model 2 | 61.32% | 60.74% | 57.35% | 56.1% | |
| Model 3 | 99.40% | 99.81% | 99.73% | 99.58% | |
| Germany | Model/City | Hamburg | Berlin | Frankfurt | Munich |
| Model 1 | 59.09% | 55.00% | 54.21% | 48.34% | |
| Model 2 | 62.63% | 60.00% | 59.51% | 53.54% | |
| Model 3 | 99.88% | 99.79% | 99.61% | 99.59% | |
| France | Model/City | Paris | Lyon | Marseille | Nantes |
| Model 1 | 52.08%% | 46.00% | 39.28% | 44.10% | |
| Model 2 | 58.15% | 53.52% | 52.08% | 51.40% | |
| Model 3 | 99.69% | 99.56% | 99.37% | 99.64% | |
| Spain | Model/City | Bilbao | Madrid | Murcia | Sevilla |
| Model 1 | 49.19% | 47.99% | 31.93% | 13.64% | |
| Model 2 | 58.71% | 65.54% | 50.45% | 29.86% | |
| Model 3 | 99.24% | 99.41% | 99.31% | 96.30% | |
| Italy | Model/City | Milano | Napoli | Palermo | Rome |
| Model 1 | 37.69% | 25.91% | 12.52% | 30.82% | |
| Model 2 | 42.56% | 33.34% | 25.91% | 39.42% | |
| Model 3 | 99.49% | 99.41% | 99.49% | 99.35% | |
| Scandinavian Countries | Model/City | Bergen | Oslo | Helsinki | Copenhagen |
| Model 1 | 74.45% | 63.97% | 69.82% | 70.46% | |
| Model 2 | 75.49% | 66.45% | 73.41% | 74.54% | |
| Model 3 | 99.95% | 99.95% | 99.92% | 99.95% | |
| Greece | Model/City | Athens | Thessaloniki | ||
| Model 1 | 19.85% | 33.01% | |||
| Model 2 | 32.82% | 45.46% | |||
| Model 3 | 99.25% | 99.31% | |||
| Bulgaria | Model/City | Sofia | Varna | ||
| Model 1 | 47.05% | 41.86% | |||
| Model 2 | 52.75% | 48.03% | |||
| Model 3 | 99.57% | 99.36% | |||
| Romania | Model/City | Bucharest | Constanta | ||
| Model 1 | 43.92% | 46.84% | |||
| Model 2 | 54.12% | 57.62% | |||
| Model 3 | 99.07% | 99.59% | |||
| Benelux | Model/City | Brussels | Amsterdam | ||
| Model 1 | 57.59% | 63.20% | |||
| Model 2 | 60.54% | 67.39% | |||
| Model 3 | 99.81% | 99.88% |
Disclaimer/Publisher’s Note: The statements, opinions and data contained in all publications are solely those of the individual author(s) and contributor(s) and not of MDPI and/or the editor(s). MDPI and/or the editor(s) disclaim responsibility for any injury to people or property resulting from any ideas, methods, instructions or products referred to in the content. |
© 2024 by the author. Licensee MDPI, Basel, Switzerland. This article is an open access article distributed under the terms and conditions of the Creative Commons Attribution (CC BY) license (https://creativecommons.org/licenses/by/4.0/).
Share and Cite
Andrzejczyk, R. Analysis of the Year-Round Operation of Enhanced Natural Ventilation Systems under Transient Weather Conditions in Europe. Energies 2024, 17, 3795. https://doi.org/10.3390/en17153795
Andrzejczyk R. Analysis of the Year-Round Operation of Enhanced Natural Ventilation Systems under Transient Weather Conditions in Europe. Energies. 2024; 17(15):3795. https://doi.org/10.3390/en17153795
Chicago/Turabian StyleAndrzejczyk, Rafał. 2024. "Analysis of the Year-Round Operation of Enhanced Natural Ventilation Systems under Transient Weather Conditions in Europe" Energies 17, no. 15: 3795. https://doi.org/10.3390/en17153795
APA StyleAndrzejczyk, R. (2024). Analysis of the Year-Round Operation of Enhanced Natural Ventilation Systems under Transient Weather Conditions in Europe. Energies, 17(15), 3795. https://doi.org/10.3390/en17153795
