Model-Free Temperature Control of Heat Treatment Process
Abstract
1. Introduction
- -
- Temperature control of heat treatment processes with ramp–soak references, through an iPI controller with an integrated double integrator;
- -
- Design of an iPI controller using data-driven IFT technology, for temperature control, within the thermal treatment processes;
- -
- Choosing the initial parameters of the iPI law that ensure system stability for the initial iteration of the IFT algorithm, using the Jury test;
- -
- Use of a conjugate control law of the iPI-SMC type for temperature control in heat treatment processes;
- -
- Comparative analysis based on performance indices specific to temperature control in heat treatment processes for iPI-IFT- and iPI-SMC-type controllers.
2. Temperature Control
- -
- ramp error is measured at a certain time moment during the ramp, providing information on the accuracy with which the ramp reference is tracked; typical ramp error ;
- -
- bring-in measures the efficiency of the controller to turn the corner from ramp to soak, being defined as the area enclosed between the required setpoint trajectory shifted in time and the setpoint temperature at steady state;
- -
- overshoot: the corner of the setpoint trajectory should be turned minimal overshoot.
3. Design of the iPI Controllers
3.1. iPI-IFT Algorithm
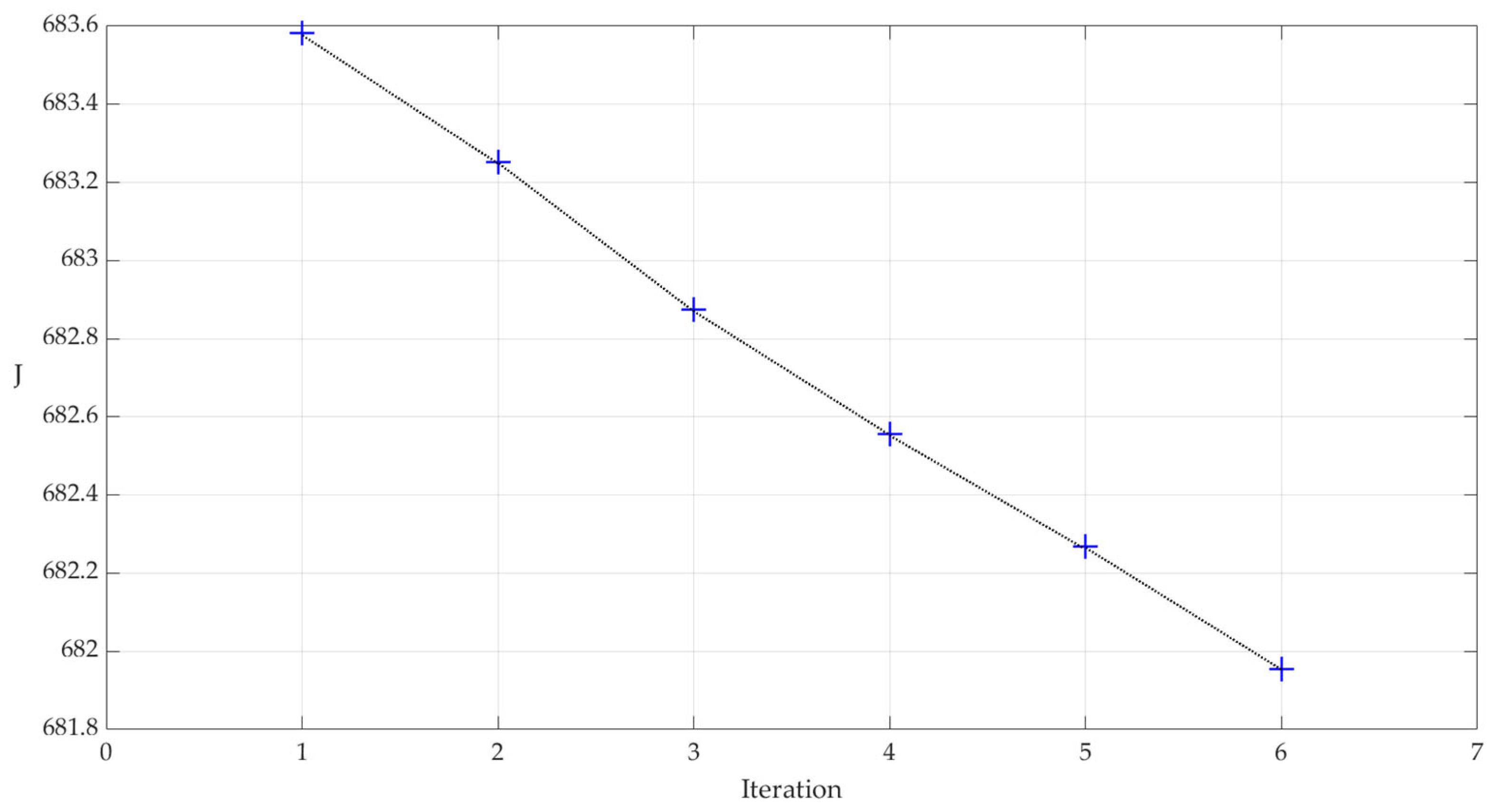
- For the first iteration , the reference will be applied to the control system, in the context of using a set of parameters obtained applying the Jury test to the characteristic polynomial of control error [24], which will ensure a stable response for the control system.
- Following the first experiment, the input , output , and tracking error signals are acquired.
- The set of parameters obtained in the previous iteration will be used for an atypical experiment, where the reference signal will be . Following the application of this reference, the input , output , and tracking error signals will be acquired, based on which the criterion will be minimized, and a new set of parameters will be obtained.
- The sequence of experiments of type , typical reference, and , augmented reference, is repeated, until the desired performances are fulfilled. At that point, it is considered that an optimal set of parameters is reached for the tuning law, and the algorithm terminates. The flowchart of the algorithm is depicted in Figure 4.
3.2. iPI-SMC Algorithm
4. Comparison of the iPI Controllers Used for the Heating Treatment Process
4.1. Cyclic Quenching Scenario
4.2. Carbonization–Stabilization Scenario
4.3. Performance Analysis
5. Conclusions
Author Contributions
Funding
Data Availability Statement
Conflicts of Interest
References
- Hou, Z.-S.; Wang, Z. From model-based control to data-driven control: Survey, classification and perspective. Inf. Sci. 2013, 235, 3–35. [Google Scholar] [CrossRef]
- Hou, Z.; Chi, R.; Gao, H. An Overview of Dynamic-Linearization-Based Data-Driven Control and Applications. IEEE Trans. Ind. Electron. 2016, 64, 4076–4090. [Google Scholar] [CrossRef]
- Fliess, M.; Join, C. Model free control. Int. J. Control. 2013, 86, 2228–2252. [Google Scholar] [CrossRef]
- La Hera, P.; Mendoza-Trejo, O.; Lideskog, H.; Morales, D.O. A framework to develop and test a model-free motion control system for a forestry crane. Biomim. Intell. Robot. 2023, 3, 100133. [Google Scholar] [CrossRef]
- Precup, R.-E.; Roman, R.-C.; Teban, T.-A.; Albu, A.; Petriu, E.M.; Pozna, C. Model-Free Control of Finger Dynamics in Prosthetic Hand Myoelectric-based Control Systems. Stud. Inform. Control 2020, 29, 399–410. [Google Scholar] [CrossRef]
- Hegedus, T.; Fenyes, D.; Nemeth, B.; Szabo, Z.; Gaspar, P. Design of Model Free Control with tuning method on ultra-local model for lateral vehicle control purposes. In Proceedings of the 2022 American Control Conference (ACC), Atlanta, GA, USA, 8–10 June 2022. [Google Scholar]
- Villagra, J.; Join, C.; Haber, R.; Fliess, M. Model-free control for machine tools. arXiv 2020, arXiv:2005.08546. [Google Scholar]
- Liu, Y.; Yan, W.; Xu, D.; Yang, W.; Zhang, W. Direct Torque Control of PMSM Based on Model Free iPI Controller. In Proceedings of the 2018 IEEE 7th Data Driven Control and Learning Systems Conference (DDCLS), Enshi, China, 25–27 May 2018; pp. 970–973. [Google Scholar]
- MohammadRidha, T.; Ait-Ahmed, M.; Chaillous, L.; Krempf, M.; Guilhem, I.; Poirier, J.-Y.; Moog, C.H. Model Free iPID Control for Glycemia Regulation of Type-1 Diabetes. IEEE Trans. Biomed. Eng. 2018, 65, 199–206. [Google Scholar] [CrossRef]
- Hjalmarsson, H.; Gevers, M.; Gunnarsson, S.; Lequin, O. Iterative feedback tuning: Theory and applications. IEEE Control. Syst. Mag. 1998, 18, 26–41. [Google Scholar] [CrossRef]
- Lequin, O.; Gevers, M.; Mossberg, M.; Bosmans, E.; Triest, L. Iterative feedback tuning of PID parameters: Comparison with classical tuning rules. Control. Eng. Pr. 2003, 11, 1023–1033. [Google Scholar] [CrossRef]
- Procházka, H.; Gevers, M.; Anderson, B.D.; Ferrera, C. Iterative feedback tuning for robust controller design and optimization. In Proceedings of the 44th IEEE Conference on Decision and Control, Seville, Spain, 15 December 2005; pp. 3602–3607. [Google Scholar]
- Gonzalez-Villagomez, J.; Rodriguez-Donate, C.; Lopez-Ramirez, M.; Mata-Chavez, R.I.; Palillero-Sandoval, O. Novel Iterative Feedback Tuning Method Based on Overshoot and Settling Time with Fuzzy Logic. Processes 2023, 11, 694. [Google Scholar] [CrossRef]
- Baciu, A.; Lazar, C. Iterative Feedback Tuning of Model-Free Intelligent PID Controllers. Actuators 2023, 12, 56. [Google Scholar] [CrossRef]
- Novaes Menezes, E.J.; Araújo, A.M.; da Silva, N.S.B. A review on wind turbine control and its associated methods. J. Clean. Prod. 2018, 174, 945–953. [Google Scholar] [CrossRef]
- Hossain, A.; Islam, R.; Hossain, A.; Hossain, M.J. Control strategy review for hydrogen-renewable energy power system. J. Energy Storage 2023, 72, 108170. [Google Scholar] [CrossRef]
- Li, G.; Wang, X.; Liang, B.; Li, X.; Zhang, B.; Zou, Y. Modeling and control of nuclear reactor cores for electricity generation: A review of advanced technologies. Renew. Sustain. Energy Rev. 2016, 60, 116–128. [Google Scholar] [CrossRef]
- Precup, R.-E.; Radac, M.-B.; Roman, R.-C. Model-free sliding mode control of nonlinear systems: Algorithms and experi-ments. Inf. Sci. 2017, 381, 176–192. [Google Scholar] [CrossRef]
- Precup, R.-E.; Roman, R.-C.; Safaei, A. Data-Driven Model-Free Controllers, 1st ed.; Taylor & Francis: London, UK, 2021. [Google Scholar]
- Gao, P.; Lv, X.; Ouyang, H.M.; Mei, L.; Zhang, G.M. A novel model-free intelligent proportional-integral super twisting nonlinear fractional-order sliding mode control of PMSM speed regulation system. Complexity 2020, 2020, 8405453. [Google Scholar] [CrossRef]
- Gao, P.; Zhang, G.; Lv, X. Model-Free Hybrid Control with Intelligent Proportional Integral and Super-Twisting Sliding Mode Control of PMSM Drives. Electronics 2020, 9, 1427. [Google Scholar] [CrossRef]
- Zhu, Q.; Li, R.; Zhang, J. Model-free robust decoupling control of nonlinear nonaffine dynamic systems. Int. J. Syst. Sci. 2023, 54, 2590–2607. [Google Scholar] [CrossRef]
- nen, Ü. Model-Free Controller Design for Nonlinear Underactuated Systems with Uncertainties and Disturbances by Using Extended State Observer Based Chattering-Free Sliding Mode Control. IEEE Access 2023, 11, 2875–2885. [Google Scholar]
- Baciu, A.; Lazar, C.; Caruntu, C.-F. Iterative Feedback Tuning of Model-Free Controllers. In Proceedings of the 25th International Conference on System Theory, Control and Computing (ICSTCC), Iasi, Romania, 20–23 October 2021; pp. 467–472. [Google Scholar]
- Tong, Y.; Zhang, Y.-Q.; Zhao, J.; Quan, G.-Z.; Xiong, W. Wear-Resistance Improvement of 65Mn Low-Alloy Steel through Adjusting Grain Refinement by Cyclic Heat Treatment. Materials 2021, 14, 7636. [Google Scholar] [CrossRef]
- Ismail, N.H.; Salleh, W.N.W.; Sazali, N.; Ismail, A.F. Effect of intermediate layer on gas separation performance of disk supported carbon membrane. Sep. Sci. Technol. 2017, 52, 2137–2149. [Google Scholar] [CrossRef]
- Gokhman, A.; Nový, Z.; Salvetr, P.; Ryukhtin, V.; Strunz, P.; Motyčka, P.; Zmeko, J.; Kotous, J. Effects of Silicon, Chromium, and Copper on Kinetic Parameters of Precipitation during Tempering of Medium Carbon Steels. Materials 2021, 14, 1445. [Google Scholar] [CrossRef] [PubMed]
- Delahaigue, J.; Chatelain, J.-F.; Lebrun, G. Influence of Cutting Temperature on the Tensile Strength of a Carbon Fiber-Reinforced Polymer. Fibers 2017, 5, 46. [Google Scholar] [CrossRef]
- Gustav, K.; Åhag, L. An AI Approach for Quality Improvement in Heat Treatment Processing. Master’s Dissertation, Uppsala Universitet, Uppsala, Sweden, 2022. [Google Scholar]
- Antonescu, I.; Alecu, C.I.; Lepadatu, D. Advanced systems for heat treatment controlling of electrical furnaces. IOP Conf. Ser. Mater. Sci. Eng. 2019, 485, 012002. [Google Scholar] [CrossRef]
- Yang, J.; Feng, B. Intelligent Control System of Metal Surface Heat Treatment Based on Fuzzy PID Technology. In Proceedings of the 2023 IEEE International Conference on Control, Electronics and Computer Technology (ICCECT), Jilin, China; 2023; pp. 1354–1358. [Google Scholar]
- Li, J.; Wei, H.; Wu, H.; Li, Y. Research on Heat Treatment Control Technology of Machining Parts. Procedia Eng. 2011, 15, 173–177. [Google Scholar] [CrossRef][Green Version]
- Balakrishnan, K.; Edgar, T. Model-based control in rapid thermal processing. Thin Solid Films 2000, 365, 322–333. [Google Scholar] [CrossRef]
- Jury, E.I. Theory and Application of the z Transform Method; Wiley: New York, NY, USA, 1964. [Google Scholar]
- Jacquot, R.G. Modern Digital Control Systems, 2nd ed.; Taylor & Francis: London, UK, 2019. [Google Scholar]

















| iPI0 | iPI-IFT1 | iPI-IFT2 | iPI-SMC | ||
|---|---|---|---|---|---|
| Ascent Ramp | Mean | 4.65 °C | 4.55 °C | 4.57 °C | 3.65 °C |
| Max | 25.34 °C | 24.70 °C | 24.81 °C | 24.07 °C | |
| Descent Ramp | Mean | 1.54 °C | 1.55 °C | 1.55 °C | 1.37 °C |
| Max | 70.25 °C | 68.98 °C | 69.22 °C | 69.68 °C | |
| Bring-in | 33 s | 33 s | 33 s | 35.5 s | |
| Overshoot- | 1.77% | 1.90% | 1.92% | 1.99% | |
| iPI0 | iPI-IFT1 | iPI-IFT2 | iPI-SMC | ||
|---|---|---|---|---|---|
| Ascent Ramp | Mean | 0.16 °C | 0.17 °C | 0.17 °C | 0.10 °C |
| Max | 8.01 °C | 8.11 °C | 8.19 °C | 7.20 °C | |
| Descent Ramp | Mean | 0.17 °C | 0.17 °C | 0.16 °C | 0.09 °C |
| Max | 7.79 °C | 7.63 °C | 7.58 °C | 6.94 °C | |
| Bring-in | 21 s | 20 s | 20 s | 16 s | |
| Overshoot | 1.49% | 1.40% | 1.40% | 1.40% | |
| ISE | IAE | |||
|---|---|---|---|---|
| S1 | S2 | S1 | S2 | |
| iPI0 | 501,392 | 14,964 | 18,260 | 4838.6 |
| iPI-IFT1 | 481,351 | 14,044 | 17,315 | 3467.5 |
| iPI-IFT2 | 485,204 | 14,124 | 17,792 | 3935.1 |
| iPI-SMC | 470,160 | 9797 | 16,874 | 2679 |
Disclaimer/Publisher’s Note: The statements, opinions and data contained in all publications are solely those of the individual author(s) and contributor(s) and not of MDPI and/or the editor(s). MDPI and/or the editor(s) disclaim responsibility for any injury to people or property resulting from any ideas, methods, instructions or products referred to in the content. |
© 2024 by the authors. Licensee MDPI, Basel, Switzerland. This article is an open access article distributed under the terms and conditions of the Creative Commons Attribution (CC BY) license (https://creativecommons.org/licenses/by/4.0/).
Share and Cite
Baciu, A.; Lazar, C. Model-Free Temperature Control of Heat Treatment Process. Energies 2024, 17, 3679. https://doi.org/10.3390/en17153679
Baciu A, Lazar C. Model-Free Temperature Control of Heat Treatment Process. Energies. 2024; 17(15):3679. https://doi.org/10.3390/en17153679
Chicago/Turabian StyleBaciu, Andrei, and Corneliu Lazar. 2024. "Model-Free Temperature Control of Heat Treatment Process" Energies 17, no. 15: 3679. https://doi.org/10.3390/en17153679
APA StyleBaciu, A., & Lazar, C. (2024). Model-Free Temperature Control of Heat Treatment Process. Energies, 17(15), 3679. https://doi.org/10.3390/en17153679
