Next Article in Journal
Energetic, Exergetic, and Techno-Economic Analysis of A Bioenergy with Carbon Capture and Utilization Process via Integrated Torrefaction–CLC–Methanation
Next Article in Special Issue
Evaluating Electrification of Fossil-Fuel-Fired Boilers for Decarbonization Using Discrete-Event Simulation
Previous Article in Journal
The Impact of Energy Efficiency on Economic Growth: Application of the MARCO Model to the Portuguese Economy 1960–2014
Previous Article in Special Issue
Embodied Carbon in New Zealand Commercial Construction
 
 
Font Type:
Arial Georgia Verdana
Font Size:
Aa Aa Aa
Line Spacing:
Column Width:
Background:
Article

Empirical Assessment of the Efficiency of Poland’s Energy Transition Process in the Context of Implementing the European Union’s Energy Policy

1
Faculty of Organization and Management, Silesian University of Technology, 44-100 Gliwice, Poland
2
Faculty of Mining, Safety Engineering and Industrial Automation, Silesian University of Technology, 44-100 Gliwice, Poland
3
Penn State Hazleton, The Pennsylvania State University, 76 University Drive, Hazleton, PA 18202, USA
*
Author to whom correspondence should be addressed.
Energies 2024, 17(11), 2689; https://doi.org/10.3390/en17112689
Submission received: 30 April 2024 / Revised: 17 May 2024 / Accepted: 29 May 2024 / Published: 1 June 2024
(This article belongs to the Collection Energy Transition Towards Carbon Neutrality)

Abstract

This article addresses one of the contemporary economy’s most challenging endeavors: the energy transition. Specifically, the aim of the study was to assess the effectiveness of Poland’s energy transition process between 2004 and 2021. A comprehensive approach is employed to analyze Poland’s energy transition process, focusing on the effectiveness of implementation through the Energy Transition Effectiveness Index. This methodology incorporates four dimensions, namely energy security, economic considerations, climate impact, and social aspects, each characterized by 22 sub-indices. The research methodology employs a two-tiered approach based on the multi-criteria decision making methodology. The EDAS method is utilized to determine the indices’ values, while the CRITIC, equal weights, and statistical variance methods and Laplace’s criterion are employed to ascertain sub-indices values and dimension weights, particularly useful for decision making under uncertainty. Moreover, the relationship between these indices, the Energy Transition Effectiveness Index, and Poland’s Gross Domestic Product is explored. By evaluating Poland’s energy transition effectiveness from 2004 to 2021 and comparing the results with other European Union countries, it becomes evident that the effectiveness varies over time. Despite encountering economic and social challenges during the energy sector’s transformation, Poland exhibits positive progress in its energy transition efforts, outperforming certain European Union counterparts. However, there is a pressing need to intensify efforts to curtail emissions and enhance renewable energy utilization. The European Union’s support and coordination are deemed crucial in facilitating these endeavors, alongside fostering the wider adoption of best practices among member states. The developed methodology stands as a valuable tool for ongoing evaluation of transformation processes across European Union nations.

1. Introduction

The energy sector stands as a cornerstone in shaping the economic trajectory of nations and regions. Its vitality profoundly influences economic security, stability, and social advancement [1,2,3]. With escalating energy demands, recurrent energy crises, and the looming specter of climate change, ensuring energy security emerges as a formidable challenge for governing bodies. This challenge is further compounded by the increasing public consciousness surrounding climate protection, which often mandates environmentally friendly measures [4]. Considering these circumstances, it is imperative for contemporary energy policies to encompass a spectrum of economic, environmental, and social considerations to be truly effective. Such policies, conceived as a comprehensive framework of initiatives aimed at fostering the development and efficient functioning of the energy sector, should be attuned to these identified dimensions and responsive to the dynamic shifts in the global socio-economic landscape.
The European Union has a profound understanding of the intricate challenges within the energy sector. Over the years, EU energy policy has been dedicated to transforming this sector, focusing on enhancing energy efficiency and progressively substituting fossil fuels with zero-carbon alternatives. This transformation, guided by EU policy, encompasses all member countries. Despite significant disparities in wealth and industrial development among these nations, they are expected to align with the common energy policy’s requirements. For EU member states, transitioning the energy system is a strategic imperative in the fight against climate change, leading to enhanced energy security, competitiveness, and overall economic appeal of the EU. Article 2 of the Lisbon Treaty, concerning the sustainable development of EU countries, underscores this commitment [5]. A pivotal objective of the EU’s sustainable development is to ensure universal access to stable, sustainable, and contemporary energy sources at affordable rates. Sustainable and modern energy entails maximizing the utilization of renewable sources (as zero-emission sources), crucial for mitigating greenhouse gas emissions, including carbon dioxide. The roots of the EU’s energy policy, focused on transforming the energy sector and curbing greenhouse gas emissions, trace back to the 1999 Kyoto Protocol [6]. This protocol aimed for an 8% reduction in greenhouse gas emissions between 2008 and 2012 compared to 1990 levels. Subsequently, the 20-20-20 Climate Package set ambitious targets, including a 20% reduction in greenhouse gas emissions, a 20% increase in the share of renewable energy sources in the EU’s energy mix, and a 20% enhancement in energy efficiency [7]. Building upon these endeavors, the 2021–2030 package aims to elevate previous targets. It envisages a minimum 40% reduction in carbon dioxide emissions by 2030 compared to 1990 levels. This shift should entail ramping up the utilization of energy derived from renewable sources to 32% and improving energy efficiency by at least 32.5% [8].
Hence, it is evident that the European Union’s stance on energy sector transformations leans heavily towards environmental preservation. To realize its pronounced and ambitious objectives, it becomes imperative to enforce these policies across all member states.
One such member state bound by the Community’s directives is Poland, classified among the “new EU-13 countries”. Poland’s integration into the European Union in 2004 entailed, among other obligations, the adoption of climate policy mandates. For Poland, meeting these requirements presents a significant challenge due to its reliance on hard coal and lignite reserves for energy production. This reliance has shaped Poland’s energy landscape, making it predominantly dependent on these fossil fuels. Consequently, aligning with EU directives in the energy sector poses substantial economic and social hurdles [9].
Indeed, Poland is one of the largest coal producers in the EU, which makes it dominant in the electricity and heat generation sector [10,11]. It should be noted, however, that the share of this raw material in the country’s energy system has been declining in recent years. The energy transition in Poland is therefore becoming a great confession, both economically and socially. Indeed, entire regions in the country are dependent on mining operations and coal-fired power generation [12,13]. On the other hand, the transformation process itself requires huge financial outlays in the economy and for minimizing the social consequences associated with it.
Growing public awareness, in terms of the huge environmental threat of conventional energy, and the EU’s policies related to the energy transition process provide opportunities for success in this process in Poland as well.
Therefore, considering the intricacy and prolonged nature of the energy transition process, it is rational to evaluate the progress made on this front in EU countries, with a particular focus on Poland, which is actively engaged in this endeavor. The distinctiveness of Poland’s energy sector and its pivotal role in the energy transition process stem from its status as one of the larger EU nations. Consequently, its success in this transition holds significant promise for positively influencing other member states and advancing the EU towards its climate policy objectives. Hence, undertaking research to gauge the effectiveness of this process in Poland is entirely warranted.
To conduct such an assessment, it is imperative to employ a research methodology tailored to the complexities inherent in the energy transition process. However, finding a comprehensive methodology in the literature that adequately addresses the crucial facets of evaluating this process presents a challenge. It is essential for such a methodology to encompass the ability to assess changes over the designated time frame while considering diverse aspects of the transition. These aspects include energy-related factors, economic indicators, climate considerations, social dimensions, and alignment with sustainable development objectives.
Considering the outlined conditions, this paper introduces a novel methodology for assessing the efficacy of the energy transition process at the national level. This methodology is intricately linked to the implementation of EU energy policy and Sustainable Development Goals, as it concurrently addresses economic, environmental, and social considerations, along with those pertaining to energy security.
Therefore, the primary aim of this research was to evaluate the effectiveness of Poland’s energy sector transformation process in alignment with EU policy objectives and Sustainable Development Goals during the period from 2004 to 2021, utilizing the newly devised research methodology. Additionally, a pivotal aspect of this study was to address the following research inquiries:
RQ1: 
How did the energy transition process unfold in Poland from 2004 to 2021, taking into account economic, environmental, and social factors, as well as those related to ensuring energy security?
RQ2: 
Is Poland’s energy transition process linked to its economic development, as measured by GDP?
RQ3: 
How did Poland’s position among EU member states change in terms of energy transition during the period under review (2004–2021)?
The adoption of the study period (2004–2021) is due to the fact that Poland joined the EU in 2004, and the evaluation of the energy transition process, as it requires a lot of time, should cover as long a period as possible.
The evaluation encompassed a comprehensive set of 22 indicators representing the dimensions of energy security, economic, social, and climate aspects mentioned earlier. The primary assessment utilized the EDAS method. Subsequently, the weights assigned to the sub-indicators and dimensions were determined through analytical approaches such as CRITIC, equal weights, and statistical variance, along with Laplace’s criterion, which were employed for decision making amidst uncertainty. The evaluation process involved a two-tiered approach, described in detail in Section 4 of this paper.
The uniqueness of the research and the discussions outlined in this paper stem from the following actions:
Developing a unique, proprietary, two-tiered, and multi-criteria approach for evaluating the effectiveness of energy transition implementation across different countries and regions, aligning with priorities set forth by EU policies.
Addressing a research gap by providing a comprehensive evaluation of energy policy effectiveness for individual countries (Poland), which was previously lacking in the literature.
Incorporating various dimensions of state policies aimed at achieving energy efficiency (including energy security, economic, environmental, and social aspects), all relevant to sustainable development goals.
Conducting a long-term assessment of energy policy implementation, providing insights into its effectiveness over time.
Establishing a correlation between the efficiency of energy transition and the economic development of the country under study, thereby shedding light on the interplay between these two critical aspects.
The following sections of the manuscript present the policy background and literature review (2), a description of the research methodology developed and applied (3), the results of the empirical analysis (4), and a discussion of the research findings (5). Conclusions, policy implications, and limitations of the conducted research, along with possible directions for future work, are included in Section 6.

2. Literature Review

2.1. Political Background of the Research

2.1.1. European Union Energy Policy

The European Union’s energy policy is centered around several pivotal areas, notably sustainable energy sources, energy efficiency, and energy security, which encompasses reducing energy poverty and exclusion, and combatting climate change.
Currently, the focus of debate within the EU revolves around energy security and minimizing the adverse environmental impacts of the energy sector while fostering sustained economic growth. Article 4 of the Treaty on the Functioning of the European Union (TFEU) stipulates that the formulation of policies related to energy and environmental protection falls under the category of shared competences. This implies that the authority to shape these policies is vested both in EU institutions based on the treaty and in EU member states according to their national legislation.
According to Article 194 of the Treaty on the Functioning of the European Union (TFEU) [5], the objectives of EU energy policy encompass ensuring the functionality of the energy market, securing energy supply to EU countries, promoting the efficient development of new and renewable energy forms, and facilitating the interconnection of energy networks. Conversely, Article 191 TFEU outlines the objectives of EU environmental policy, which include preserving, protecting, and enhancing environmental quality, safeguarding human life, and prudently utilizing natural resources, with a particular emphasis on combating climate change.
Under the Lisbon Treaty, the fundamental energy policy objectives of the EU entail ensuring the proper functioning of the energy market, guaranteeing energy supply security, fostering energy efficiency and conservation, promoting the development of new and renewable energy sources, and advancing the interconnection of energy networks. Consequently, the overarching framework of energy and climate policy within the EU is geared toward addressing issues related to energy security and climate protection.
In 2007, the European Council adopted the Climate Change Package I, committing to achieve specific goals by 2020. These objectives included reducing greenhouse gas emissions by at least 20% compared to 1990 levels, increasing the share of renewable energy in total energy consumption by up to 20%, and improving energy efficiency by 20% [7].
In 2014, the EU introduced the Energy Package, aimed at attaining ambitious targets by 2030. These targets include reducing greenhouse gas emissions by at least 40% compared to 1990 levels, enhancing energy efficiency by 32.5%, and increasing the share of renewable energy to 32% of final energy consumption [8].
In 2019, the European Union unveiled the European Green Deal, a strategic roadmap aimed at achieving climate neutrality across the EU by 2050 [14]. This comprehensive plan outlines a series of initiatives designed to expedite the energy transition, which includes augmenting the share of renewable energy sources, enhancing energy efficiency, and eliminating CO2 emissions. Notably, the European Green Deal proposes elevating emission reduction targets for 2030, aiming for a reduction of at least 55% compared to 1990 levels. Additionally, the plan emphasizes the establishment of a fair social dimension to the transition, encompassing support for regions and communities impacted by these changes, as well as fostering public participation and dialog.
Subsequently, as part of the European Green Deal, the European Commission introduced the Fit for 55 legislative package in July 2023. This package proposes an update and reinforcement of the EU’s climate targets for 2030, including a ramping up of greenhouse gas emission reductions to at least 55% from 1990 levels and an escalation of renewable energy mandates to at least 40% by 2030. Collectively, these initiatives signify a concerted effort to accelerate climate action and attain ambitious climate neutrality objectives by 2050.

2.1.2. Backgrounds of the Polish Energy Policy

The Polish government is mandated by law, as stipulated in Articles 12–15b of the Energy Law of 2019, to develop an energy policy consistent with the EU strategy. Article 13 of this law outlines the objectives of Poland’s energy policy, which include ensuring the country’s energy security, enhancing the competitiveness of the economy and energy efficiency, and safeguarding the environment, including climate protection [15].
In line with these provisions, in 2021, the Council of Ministers endorsed the “Energy Policy of Poland until 2040”, which outlines the country’s energy transition strategy [16]. This policy document replaces the previous “Energy Policy of Poland until 2030”. The overarching goal of the Energy Policy of Poland until 2040 is to achieve a dynamic transformation of the energy sector, primarily through decarbonization efforts and investments in new technologies.
The document establishes the following objectives to be accomplished by 2040:
Increase installed photovoltaic capacity to approximately 10–16 GW by 2040.
Increase installed wind power capacity, primarily offshore, to about 11 GW by 2040.
Raise the share of renewable energy sources (RESs) in all sectors and technologies to at least 23% by 2030.
Achieve a level where approximately 73% of electricity is generated from renewable sources and nuclear power, including the implementation of nuclear power by 2033.
Ensure that coal’s share in electricity generation is less than 56%.
Enhance energy efficiency by reducing primary energy consumption by 23%.
Mitigate energy poverty to a maximum of 6% of households.
Decrease greenhouse gas (GHG) emissions by about 30% compared to 1990 levels and increase the number of efficient district heating systems four-fold by 2030.
Transition away from coal combustion in urban households by 2030 and in rural areas by 2040.
When analyzing these ambitious plans, it becomes evident that their implementation and subsequent achievement of the set goals should significantly impact energy independence, stabilize energy prices, and thereby improve the economic landscape of the country and the overall welfare of society [17].
It is apparent that realizing these objectives will necessitate substantial investments and garnering public acceptance for these transformative changes. Poland cannot accomplish these goals independently and will require assistance from the EU. Therefore, it is imperative to assess the current state of progress in the transformation processes and evaluate the developments thus far. The findings from the presented research should inform the development of the country’s energy strategy and be integrated into the execution of specific initiatives pertaining to its implementation. Without such a strategy, building a modern and sustainable knowledge-based economy will prove challenging.

2.2. Literature Studies

The literature on energy transition is extensive and encompasses various facets related to this phenomenon. However, the review provided here concentrates solely on works pertaining to the concept of energy transition and methodologies for evaluating it.

2.2.1. Concept of Energy Transition

The literature offers numerous definitions of the energy transition, portraying it as one of the foremost challenges facing the global economy today. Consequently, many countries are endeavoring to implement solutions associated with this process, anticipating that the outcomes of these measures will address various socio-climatic and economic issues prevalent at present [18,19,20,21].
The significance and relevance of the energy transition topic, coupled with its multidimensional nature, contribute to the diversity of its definitions. P.A. O’Connor characterizes the energy transition process as a crucial sequence of transformations in how society utilizes energy, potentially impacting its sources, distribution channels, processing methods, and associated services [22]. According to Melosi, the concept of energy transition revolves around the idea that a particular energy source or group of sources dominates the market during a specific period, only to be eventually supplanted by another leading energy source or sources [23]. Additionally, the work [24] suggests that energy transition entails the shift from an economic system reliant on specific energy sources and technologies to another system. Similarly, another source [25] characterizes energy transition as the process of transitioning between fuels and associated technologies. This perspective is echoed by the authors of another paper [26], who view energy transition as alterations in the fuel structure used in energy production and the technologies employed. Another publication [27] simplifies the definition, framing energy transition as changes associated with transitioning from one energy system to another.
In contemporary discourse, energy transition is increasingly recognized as a profoundly political process, involving substantial changes in technology, economics, environmental considerations, and societal aspects [28,29].
Considering the various approaches presented and drawing from our own understanding, it can be inferred that the energy transition process, within the context of sustainable development, entails a shift from an energy system reliant on conventional sources to one centered on zero-carbon, particularly renewable energy sources. This transition should not impede economic progress and must be socially acceptable, avoiding adverse impacts on the livelihoods of citizens.

2.2.2. Evaluation of the Energy Transition Process

Previous publications devoted to assessing the transformation of the energy sector have mainly focused on comparing these processes in different countries. These studies have focused on EU [21,30], OECD [31], Baltic [32], and Central and Eastern European member countries [33], as well as countries belonging to the Visegrad Group [34,35,36], those forming the Trilateral Initiative [3], African [37] and Asian countries [38], and those located on different continents [39,40]. These studies included economically developed countries [41], as well as emerging and developing economies [42]. The studies focused on various aspects of energy transition, including the development of renewable energy sources [30], sustainable energy development [33,37], and energy security in the context of climate policy [34,35,36] and energy transition readiness [40].
Occasionally, studies have been conducted on the energy transition process, including assessments for individual countries within specific timeframes. An exception to this is the study referenced in [43], where the authors evaluated the sustainability of the German energy transition from 2010 to 2015. This assessment was conducted based on 45 indicators characterizing the transition process, employing a method that combines linear extrapolation and a distance-to-target approach. Similarly, the issue was addressed in [44], where the authors presented a novel approach to assessing the sustainability of energy system transformation paths, using Germany as an example. This approach was grounded in multi-criteria decision analysis (MCDA) methods, focusing not directly on assessing the efficiency of energy transformation, but rather on evaluating various transformation strategies.
Much of the literature extensively covers studies focusing on specific aspects of the transformation process in reconciling countries, such as the expansion of renewable energy sources [45,46,47,48]. These studies often underscore the pivotal role of renewable energy development within the energy transition paradigm, as evidenced by research conducted in Poland [49,50].
However, there remains a notable absence of comprehensive works that provide a broad and multidimensional perspective on individual countries, such as Poland, undergoing energy transition and implementing specific energy policies within the EU framework. Furthermore, there is a scarcity of methodologies tailored to studying such intricate processes.
In contrast, the prevailing approach to assessing the transformation of the energy sector commonly employs various types of indicators that delineate different facets of the sector. As early as 2005, one of the pioneering sets of energy indicators was introduced to evaluate countries’ energy systems and monitor their progress in attaining nationally defined sustainable development objectives [51]. Furthermore, several composite indices have been devised to assess the energy transition process. For instance, the Climate Change Performance Index (CCPI), elucidated in [52], was developed to monitor countries’ advancements in climate protection and energy transition. This index encompasses 14 indicators encompassing greenhouse gas emissions, renewable energy deployment, and energy consumption, among others. Another notable index is the Climate Action Network Europe [53], utilized to assess EU member states. This index facilitated the creation of a ranking system for these countries based on their performance in energy efficiency, renewable energy integration, and greenhouse gas emission reduction, with benchmarks set for achievement by 2020.
Another noteworthy composite index used to assess energy transition is The World Economic Forum’s Energy Transitions Index (ETI), introduced in [54]. This index builds upon the Energy Architecture Performance Index (EAPI) [55], previously published by the World Economic Forum from 2013 to 2017. While the EAPI primarily benchmarked countries based on their energy system performance, the ETI incorporates a forward-looking dimension termed “transition readiness”. The ETI integrates various indicators normalized across economic (growth and development, capital and investment), environmental (sustainability), energy (security of energy supply, composition of energy mix), political (commitment and regulation), institutional (governance, infrastructure, innovation), and human (capital and engagement) domains. Additionally, Neofytou et al. [40] devised the Sustainable Energy Transition Readiness Index, which assigns varying weights to the indicators included in the assessment. The weighting of indicators was determined using the Analytic Hierarchy Process (AHP) method, while the assessment index was established using the PROMETHEE II method.
Various multi-criteria decision making (MCDM) methods such as Combinative Distance-Based Assessment (CODAS) [56], Evaluation Based on Distance from Average Solution (EDAS) [56], Technique for Order of Preference by Similarity to Ideal Solution (TOPSIS) [57,58,59], VlseKriterijuska Optimizacija I Komoromisno Resenje (VIKOR) [56,59,60], Weighted Aggregated Sum Product Assessment (WASPAS) [56], MULTIMOORA [32,33,57,61], and COPRAS [33] have been utilized in studies assessing the implementation of specific energy and climate goals across groups of countries.
The review presented here suggests that the approaches employed to evaluate energy transition processes have primarily focused on comparing the situations within groups of countries and potentially ranking them. However, there remains a noticeable dearth of studies enabling the tracking of multidimensional changes in the implementation of this process within individual countries over specific timeframes.

2.3. Research Gap

The literature review clearly identifies a research gap in the multidimensional assessment of sustainable energy transition effectiveness, particularly for countries with developing economies like Poland. Such research necessitates the use of a consistent set of evaluation criteria that encompasses dimensions such as energy, economic, environmental, and social factors, as identified in the existing literature. Given the current geopolitical context in Europe, it is crucial to incorporate energy security as a pivotal element in this assessment.
Addressing these considerations underscores the need for the development of a novel research methodology. From a methodological standpoint, this study aims to bridge the gap in evaluating energy transition efficiency. Of particular significance is the proposed adoption of a two-level multi-criteria approach rooted in MCDM methods to assess the energy transition efficiency of the country over the defined time horizon. To date, such an approach has not been applied in this domain.
Therefore, it can be inferred that the developed research methodology and ensuing study are pertinent and tackle a significant contemporary issue in the global economy—the evaluation of energy transition efficiency. The application of this methodology to assess the energy transition process in Poland represents a novel and highly relevant approach to studying this critical issue.

3. Research Methodology

The methodology section delineates the procedural framework developed to accomplish the study objectives and address the research questions posed. It outlines the data utilized in the research and expounds upon the research methods deployed.

3.1. Assumptions of Research Methodology

The main rationale for the study was the need for an empirical assessment of the progress made to date in the transformation of Poland’s energy sector between 2004 and 2021 in the context of the implementation of the European Union’s energy and climate policy. Figure 1 shows a schematic of the developed methodology of the research procedure.
The methodology devised encompasses two primary components. The first part entails the calculation of energy transformation efficiency indices across various dimensions employed to evaluate the overall energy efficiency of the country under examination. The second part of the research entails computing the value of the Energy Transformation Efficiency Index (ETEI) for the country under study, evaluating it, and drawing inferences based on the obtained results.

3.2. Research Data

The research drew upon data sourced from the European Statistical Office [62] and the National Bank of Local Data [63] spanning the period from 2004 to 2021. The year 2021 marks the endpoint, as it represents the latest available data for all indicators utilized in the research. The selection of indicators for the study was guided by the need for adequacy to the research objectives, as well as criteria such as measurability, comparability, representativeness, data availability, source reliability, and interpretational simplicity.
A comprehensive set of 22 indicators (criteria) was employed in the study to capture the essential facets of the energy transition under examination (refer to Table 1). These indicators were organized into four evaluation dimensions, namely energy security, economic, climate, and social dimensions. Table 1 presents a summary of the indicators and dimensions considered in the study.
The incorporation of the adopted dimensions and indicators in the research framework enables a comprehensive assessment of the effectiveness of the energy transition in Poland, coupled with an analysis of temporal changes over the studied years. To accomplish this objective, an original two-stage and multi-criteria research methodology was devised. This methodology hinges on the identified partial indicators that characterize the adopted dimensions. Equally pivotal are the analytical methods employed and the overall procedural approach.
A crucial component of this methodology is the stage involving the determination of weights for the indicators corresponding to each dimension, as well as for the dimensions themselves, in computing the Energy Transformation Efficiency Index (ETEI). For each dimension, dimensional indices were computed based on the values of the indicators and their respective weights, serving as input data for subsequent analyses in the second stage of computations. In this phase, the value of the Energy Transformation Efficiency Index (ETEI) is ascertained, necessitating the determination of weights for the dimensional indices as well.
A multi-criteria analysis based on the EDAS method from the MCDM group of methods was employed to determine the indicated values of dimensional indices and the Energy Transformation Efficiency Index (ETEI). Through this method, the criteria involved in the assessment were aggregated, enabling their combination into a single objective function, which in this case represents the energy sector transformation efficiency of Poland.
A critical stage of the research entails determining weights for the criteria utilized. In this instance, the values of these weights were derived using three objective analytical methods, namely CRITIC, equal weights, and statistical variance, along with the Laplace criterion. Figure 2 illustrates a comprehensive diagram detailing the activities conducted in the two stages of the study to ascertain the value of the Energy Transformation Efficiency Index (ETEI).
The methodology developed and applied makes it possible to determine the efficiency of the energy transition process in any country over a given period. By employing a multi-criteria approach that considers various important aspects of the energy transition, it is possible to monitor both the entire process and its individual dimensions. This, in turn, provides an opportunity to identify the best-performing areas and those that may need improvement. This is important due to the specific characteristics of individual countries in the dimensions studied. Identifying the impact of various factors (dimensions) on the effectiveness of the process is crucial, for example, when building energy strategies and policies.
The originality of the developed methodology lies in the use of MCDM-type methods to assess the energy transition of a single country, considering the impact of numerous important factors. This approach differs from previous studies, which most often used these methods to compare countries with one another. The novelty of this research is also demonstrated by the two-level assessment of efficiency. This provides opportunities to link and evaluate the overall efficiency with the individual dimensions considered in the research.

3.3. Characteristics of the Research Methods

An approach based on MCDM methods was used to evaluate the efficiency of Poland’s energy transition process. Multi-criteria decision-making (MCDM) methods, also known as multi-attribute decision-making (MADM) and multi-criteria decision-analysis (MCDA) methods, are considered effective and reliable tools for supporting the decision-making process. Their undeniable advantage, repeatedly proven in various studies, is their ability to address complex and multifaceted problems across different areas [64]. Generally, the research approach based on MCDM methods allows for the comparative evaluation of several decision alternatives with respect to an infinite number of decision criteria, selecting the alternative that achieves the best results according to the chosen evaluation criteria. MCDM-type methods are most often used to evaluate alternatives based on a finite number of criteria, but there are also situations in which these methods determine the importance of evaluation criteria [65].

3.3.1. Evaluation Based on Distance from Average Solution (EDAS) Method

The Evaluation based on Distance from Average Solution (EDAS) method is a multi-criteria decision-making (MCDM) technique used to evaluate and rank alternatives based on their proximity to the average solution [66]. The method was developed by Keshavarz Ghorabaee et al. in 2015 as a ranking method aimed at solving complex decision-making problems where the best alternative must be selected based on a set number of evaluation criteria. This contrasts with traditional methods such as TOPSIS and VIKOR, which aim to determine the best alternative according to ideal and anti-ideal solutions. In the EDAS method, the best alternative is determined using a normalization technique based on the average (mean) solution. Its purpose is to analyze a multi-criteria problem and determine the evaluation index (objective function) by determining the differences between all alternatives included in the evaluation and the average solution (AV). The method is based on two distance measures: Positive Distance from Average (PDA) and Negative Distance from Average (NDA). The best alternative is the one that has the greatest possible favorable deviation, i.e., positive distance from the mean (PDA), compared to unfavorable deviation, i.e., negative distance from the mean (NDA). The individual steps of calculating the evaluation index in the EDAS method include [66,67]:
(1)
Creating an initial decision-making matrix:
X = x 11   x 21 x m 1   x 12 x 22 x m 2   x 13 x 23 x m 3     x 1 n x 2 n x m n
(2)
Identifying the value of the average solution based on all evaluation criteria:
A V = A V j 1 × m
A V j = i = 1 n x i j n
(3)
Calculating the positive and negative distances from the average solution:
P D A = P D A i j n × m
N D A = N D A i j n × m
where the stimulants are:
P D A i j = m a x 0 , x i j A V j A V j
N D A i j = m a x 0 , A V j x i j A V j
where the destimulants are:
P D A i j = m a x 0 , A V j x i j A V j
N D A i j = m a x 0 , x i j A V j A V j
(4)
Calculating the weighted values of SPi and SNi, which represent the weighted sum of PDA and NDA values:
S P i = j = 1 m w j P D A i j
S N i = j = 1 m w j N D A i j
where wj is a weight of the j-th criterion.
(5)
Calculating the weighted normalized PDA and NDA values:
N S P i = S P i m a x i S P i
N S N i = 1 S N i m a x i S N i
(6)
Determining the Appraisal Score (ASi) for all alternatives:
A S i = 1 2 N S P i + N S N i ,   0 A S i 1
(7)
Ranking the alternatives (cities) based on ASi value in the descending direction.
The alternative that has the highest value ASi is the best alternative.

3.3.2. Weighting Methods

The weights of the evaluation criteria in the presented research were determined based on three analytical methods (CRITIC, equal weights, and statistical variance) and Laplace’s criterion. These methods make it possible to determine the values of the weights when the evaluation criteria take negative or zero values (such a possibility is not provided by the Entropy method, for example).
The Criteria Importance through Intercriteria Correlation (CRITIC) Method
The Criteria Importance Through Intercriteria Correlation (CRITIC) method is technique used to assess the importance of criteria in decision-making processes. It focuses on determining the relative significance of criteria by analyzing their interrelationships. The contrast is determined by the standard deviation, and the conflict is determined by the correlation coefficient between the evaluation criteria. Expert knowledge is not required in the process of determining weights by this method. The weight values are obtained by quantifying the inside information for each evaluation criterion. Larger weights are assigned to those evaluation criteria that have high values of standard deviation and, at the same time, low correlation with other criteria [3,68,69,70].
The steps for determining indicator weights in this method are as follows [3,68,69,70]:
(1)
Create an initial decision-making matrix (according to Equation (1)).
(2)
Create a normalized decision matrix.
The normalization of criteria that are stimulants follows this equation:
X i j * = X i j     m i n X i j , i   =   1,2 , . , m m a x X i j ,   i   =   1,2 , , m m i n X i j ,   i = 1,2 , , m f o r   i = 1 ,   2 . ,   m   a n d   j = 1 ,   2 . ,   n
The normalization of criteria that are destimulants follows this equation:
X i j * = m a x X i j , i   =   1,2 , . , m X i j m a x X i j ,   i   =   1,2 , , m m i n X i j ,   i   =   1,2 , , m f o r   i = 1 ,   2 . ,   m   a n d   j = 1 ,   2 . ,   n  
(3)
Calculate the standard deviation values for evaluation criteria in the normalized decision matrix:
σ j = i = 1 n x i x ¯ n 1
(4)
Calculate the correlation coefficients between evaluation criteria in the normalized decision matrix:
r j k = i = 1 n x i j x ¯ j x i k x ¯ k i = 1 n x i j x ¯ j 2 i = 1 n x i k x ¯ k 2
(5)
Determine the weight values for the evaluation criteria:
w i j = C j i = 1 n C j
where Cj is the amount of information contained in the j-th criterion.
Therefore,
C j = σ j i = 1 n 1 r j k
where Cj is a measure of the information capacity of the j-th criterion.
The Equal Weights Method
The equal weights method is a straightforward approach used in multi-criteria decision making where each criterion is assigned the same level of importance or weight. The equal weights method provides a simple and intuitive approach to decision making when there is no clear basis for assigning different weights to criteria or when decision-makers believe that all criteria should be treated equally [69,70]. The values of the weights in this method are determined based on the equation:
w j = 1 n ;   j 1,2 , , n
where n is the number of criteria (indicators) taken into account.
The Statistical Variance Method
This method makes it possible to objectively determine the values of the weights using the mathematical-statistical variance, which describes the scatter of the variables from their mean value. The determination of the values of the weights is performed according to the following procedure [69,70].
(1)
Create an initial decision-making matrix (according to Equation (1)).
(2)
Determine the statistical variance:
V j = 1 n i = 1 n X i j * X i j * ¯
(3)
Determine the weights of the evaluation criteria:
w j = V j i = 1 m V j

3.3.3. Non-Parametric Test: The Spearman Rank Coefficient Test

One non-parametric test, i.e., the Spearman rank coefficient test, was used to determine the relationship between the value of Poland’s energy transition efficiency index and dimensional indices and economic growth as measured by GDP per capita. The non-parametric Spearman rank test is a statistical tool used to assess the strength and direction of the relationship between two rank variables. It is an alternative to the classical Pearson correlation test, which assumes the normality of the distribution of the variables. The Spearman test does not require this assumption to be met. The value of Spearman’s rank correlation coefficient can range from −1 to 1. A coefficient equal to −1 means a perfect negative relationship between the variables, 0 means no relationship, and 1 means a perfect positive relationship. The closer the value of Spearman’s rank correlation coefficient is to 1 (or −1), the stronger the relationship between the variables. The value of the Spearman rank correlation coefficient is determined from Equation (24) [67]:
ρ x , y = 1 6 n n 2 1 × i = 1 n x i y i 2
where ρ s is the Spearman rank correlation coefficient of the variables x and y; xi is the i-th row of variable x from small to large, in; yi is the i-th row of variable y from small to large, in; and n is the number of sampless.
In order to test the relationship between the energy transition index and the economic growth of the country under study (Poland), the following statistical hypotheses were defined:
  • H0: δ = 0;
  • H0: δ ≠ 0.
Statistical testing relied on a Student’s t-distribution with k = n − 2 degrees of freedom.
The value of the test statistic was determined by comparing the p-value (obtained from a Student’s t-distribution) with the previously assumed significance level of α = 0.05.

4. Results

This section presents the research results obtained through the application of the developed research methodology. The results are presented in individual subsections corresponding to the implemented research stages. The first part of the research pertains to the evaluation of the energy transition process in Poland across the various dimensions adopted for the study (Section 4.1). Subsequently, the value of the Energy Transition Efficiency Index for Poland was determined (Section 4.2).

4.1. Results of Assessing the Effectiveness of the Energy Transition in Each Dimension

This section presents the results of the study on the efficiency of Poland’s energy transition from 2004 to 2021 for individual dimensions, representing the first level of the study. It considers the dependence of the determined dimensional indices on the value of Poland’s GDP per capita.

4.1.1. Assessing the Effectiveness of the Energy Transition in the Energy Security Dimension

This section presents the results of the effectiveness of the energy transition in the dimension of energy security in Poland from 2004 to 2021. This dimension was included in the study because energy security is closely linked to the energy transition. In Poland, the main raw materials used in the energy sector are hard coal, lignite, natural gas, and oil, all of which are non-renewable sources. Natural gas and oil are imported, while coal is domestically sourced, making it a primary component of Poland’s energy security. Currently, as part of decarbonization efforts, energy derived from coal is gradually being replaced by renewable sources. However, the transition process is slow due to its high cost and social implications.
In the initial stage of the study, the weights of the criteria for assessing this dimension were established, which are shown in Appendix A of this paper (in Figure A1). The indicators with the highest weights for this dimension were final energy consumption per capita and energy self-sufficiency, while energy losses and total primary energy supply per capita had the smallest weights. These weights were utilized in the EDAS method to calculate the energy security index for the energy transition. The changes in its values from 2004 to 2021 are depicted in Figure 3.
The analysis of the results reveals variations in the energy security index for Poland from 2004 to 2021. Initially, between 2004 and 2007, there was a noticeable decrease in its value from 0.469 to 0.264. This decline was primarily attributed to a significant increase in Poland’s dependence on imported energy sources, coupled with a simultaneous decrease in the country’s energy self-sufficiency. Additionally, there was a relatively high final energy consumption per capita during this period. The share of non-renewable sources in the energy mix decreased slowly, while the increase in the share of renewable energy sources was almost imperceptible (refer to Appendix A). From 2007 to 2008, Poland’s energy security situation remained stable, with the index value changing marginally from 0.264 to 0.265. This stability was due to a slight decrease in dependence on imported energy sources and an increase in the share of renewable energy sources in the energy mix. Moreover, there was a slight increase in total primary energy supply per capita.
From 2008 to 2013, there was a consistent increase in this index, with a slightly more pronounced rise between 2011 and 2012. This trend was heavily influenced by a slight uptick in dependence on imported energy sources, a decrease in the concentration of conventional energy sources in the energy mix, and most notably, an increase in the share of renewable energy sources (RESs) in the mix. Additionally, there was an increase in final energy consumption per capita and total primary energy supply per capita during this period.
Between 2013 and 2016, there were minor fluctuations in the value of this index, with a significant decrease observed between 2015 and 2017 (from a value of 0.634 to 0.352). This decline was attributed to a nearly 9% year-on-year increase in energy dependence on imported energy sources, a substantial decrease in the country’s energy self-sufficiency, and a stagnation in the growth of the share of energy from renewable sources in the energy mix. It is noteworthy that in 2015, there was a shift in Polish legislation, resulting in a broader promotion of domestic conventional energy sources. This highlights the significant influence of political factors on the transition process.
Since 2018, there has been an improvement in the energy security situation, as reflected in the upward trend of the Energy Security Index until 2020, the onset of the coronavirus pandemic. During this period, Poland increased the share of renewable energy sources (RESs) in the energy mix by nearly 4% and reduced the share of fossil fuels by 4% as well. Energy losses in the transmission and distribution process also decreased. However, in 2021, there was a decrease in the value of the energy security index compared to 2020. This was caused, among other factors, by an increase in final energy consumption per capita compared to the previous (pandemic) year and a decrease in RESs in the energy mix. Nonetheless, the country’s dependence on imported energy sources decreased.
The determined values of the energy security index for the energy transition process were then used to analyze its relationship with the value of Poland’s GDP. The results obtained are summarized in Table 2.
The results show that there is no correlation between energy security and a country’s GDP. The result, therefore, shows differences from one study [68,69], which concluded that there is a relationship between energy security and a country’s GDP.

4.1.2. Assessing the Effectiveness of the Energy Transition in Economic Terms

The economic dimension of the energy transition process encompasses several critical aspects that directly impact the efficiency and success of the transition. This dimension was analyzed in the study through indicators such as GDP, research and development (R&D) spending, energy prices, energy tax, and economic productivity. GDP serves as a fundamental indicator reflecting the overall economic performance and growth of a country, and its inclusion in the analysis facilitates an understanding of the relationship between economic growth and the energy transition process. Moreover, R&D spending plays a crucial role in fostering innovation within the energy sector, which is essential for advancing renewable energy technologies and enhancing energy efficiency. Energy prices are also a significant factor, as they influence consumer behavior, investment decisions, and overall market dynamics within the energy sector. Additionally, energy taxes can serve as policy instruments to incentivize energy efficiency, promote renewable energy adoption, and contribute to environmental objectives. By considering these economic indicators, the study aims to evaluate how the energy transition process interacts with and impacts the broader economic landscape of the country. It also provides insights into the effectiveness of policy measures and investments aimed at driving sustainable economic growth while transitioning towards a more sustainable energy system. In the first stage of the research, the weights of the criteria for evaluating this dimension were determined. The values of the weights are shown in Appendix A (Figure A2). The highest weight was given to the GDP per capita index, while the lowest was given to the energy intensity index. The determined weights were used to determine the economic index for the energy transition, the values of which are shown in Figure 4.
The analysis reveals a significant upward trend in the economic dimension of the energy transition process throughout the studied period. From 2004 to 2021, the economic index increased substantially, rising from 0.171 in 2004 to 0.853 in 2021. However, it is worth noting two notable declines in this index: in 2007 compared to 2006, and in 2020 compared to 2019. These downturns coincided with two global crises: the economic crisis of 2007 and the SARS-CoV-2 coronavirus pandemic in 2020.
Over the analyzed period, Poland’s GDP per capita nearly tripled, increasing from EUR 5400 to EUR 15100, while R&D spending per capita surged over seven-fold, rising from EUR 29.82 to EUR 218.1. These substantial increases in GDP and R&D expenditures contributed to accelerated economic growth and the emergence of the “greening the economy” phenomenon. Indeed, the development of renewable energy sources is closely intertwined with innovation and the competitiveness of the economy, which are increasingly associated with enhancing resource efficiency and mitigating the adverse impacts of human activities on the environment.
The analysis also highlights notable improvements in energy productivity and energy intensity during the studied period. Energy productivity, a measure of economic output per unit of energy consumed, increased from EUR 3017 to 4779 per kilogram of oil equivalent, representing a 1.58-fold increase. Conversely, energy intensity, reflecting the energy inefficiency of the economy, declined from 331.41 to 209.25 kg of oil equivalent per thousand euros, marking a decrease of approximately 37%.
These advancements in energy productivity and reductions in energy intensity are highly favorable outcomes of the energy transition process. They signify enhanced efficiency in resource utilization, indicating that the economy is generating more output with less energy consumption.
Moreover, energy prices for businesses experienced a moderate increase of over 65% per kWh during the review period. Despite this rise, it did not significantly disrupt the pace of economic growth or contribute significantly to increased energy poverty, suggesting that the economy was resilient to these changes.

4.1.3. Assessing the Effectiveness of the Energy Transition in the Environmental Dimension

Another dimension that was included in the research was the environmental dimension. This is an extremely important dimension related to the energy transition process and the development of a sustainable economy. Environmental and climate issues are currently one of the most important problems of the global economy. Formally, the beginning of action on this issue is determined by the obligations arising from the signing of the Kyoto Protocol [6]. Its goal was to combat climate change through the implementation of policies and measures to decarbonize the economy.
Based on the determined values of the weights (Appendix A Figure A3), it can be concluded that the most important evaluation criteria for this dimension were the indicators of total GHG per capita and RES share in gross final energy consumption.
The values of these weights were used to determine a climate index for the energy transition, the values of which for each year studied are shown in Figure 5.
The fluctuations in this index stem from alterations in the composition of energy production, marked by a decline in fossil fuel usage and a rise in renewable energy source (RES) utilization. Consequently, this shift has led to a reduction in overall greenhouse gas (GHG) emissions, alongside a steady uptick in the RES portion of the gross final energy consumption. Simultaneously, the GHG intensity of energy and total GHG–GDP intensity have seen declines.
The trajectory of this index generally aligns with the identified trend, showing an upward trajectory from 2004 to 2015 and again from 2017 to 2020. However, there were short-lived setbacks during 2015–2017 and 2020–2021, marked by a temporary rise in total GHG emissions attributed to a decrease in the share of renewable energy sources (RESs) in the gross final energy consumption. Consequently, it can be inferred that there was no significant reduction in GHG emissions during the review period; rather, emissions experienced a slight increase. This can be attributed to Poland’s rapid development post-EU accession, where climate protection held relatively less prominence. Conversely, during the period analyzed, the share of energy derived from RESs more than doubled, from 7% to 16%.
The climate index values for the energy transition were used to determine their relationship with the value of Poland’s GDP. Table 3 shows the results of this analysis, which indicate that there is a very strong, positive statistical relationship between the climate index and the country’s GDP. As the value of GDP increases, so does the value of the index.

4.1.4. Assessing the Effectiveness of the Energy Transition in the Social Dimension

Including the social dimension in the assessment is essential because the effectiveness of any transformational measures should not adversely affect society, which may bear the costs of the process. Therefore, it is crucial to consider indicators such as energy poverty (Table 1). Energy poverty is not necessarily synonymous with economic poverty. While these phenomena often overlap, they do not always align perfectly. In Polish legislation, energy poverty is not explicitly defined. However, it is generally understood that a household is considered energy poor if it spends more than 10% of its disposable income on meeting energy needs [71].
Energy poverty causes many adverse effects, and among them are also negative environmental impacts and a generally negative attitude towards any transformational change. Indeed, the consumption of large amounts of energy for heating old, energy-intensive houses carries serious environmental consequences and contributes to climate change [72,73,74]. Thus, it can be assumed that the social dimension is very much related to the other dimensions considered in the study.
The impact of energy transition on the labor market is substantial and ongoing. Therefore, in addition to indicators such as adjusted gross disposable income of households per capita and the population unable to adequately heat their homes due to poverty, an indicator reflecting the unemployment rate is included in this dimension (Table 1). The inclusion of the unemployment rate indicator is important because certain regions in Poland, particularly mining areas, rely heavily on employment in mining and related industries. For instance, in the Belchatow region, nearly 80% of residents are concerned that the energy transition will lead to increased unemployment [75,76]. However, the transition also presents an opportunity to reallocate labor resources from inefficient and low-innovation industries. Nonetheless, the process sparks significant debate and emotion regarding its legitimacy.
The results obtained (Appendix A Figure A4) reveal that the indicator with the highest weight was the one representing the unemployment rate, while the lowest weight was assigned to the indicator reflecting the population unable to adequately heat their homes due to poverty. Additionally, it is noteworthy that the disparity between the weights of the indicators representing the population unable to keep their homes adequately warm due to poverty and the adjusted gross disposable income of households per capita was minimal, amounting to only 0.004 (Appendix A Figure A4).
The determined weights were used to determine a social index for assessing the effectiveness of the energy transition, the values of which are shown in Figure 6.
When analyzing the results obtained, it can be observed that there is an increasing trend in this index over the period under study. This trend is directly influenced by the steady growth in the adjusted gross disposable income of households per capita, along with a decrease in the population at risk of energy poverty and unemployment.
The most significant increase in the value of this index occurred in 2005–2006, immediately after Poland’s accession to the EU. During the first two years of EU membership, unemployment in Poland declined by 4.2%, and energy poverty decreased by 5.2%. Moreover, the adjusted gross disposable income of households per capita also experienced a notable increase of 15% during this period (Appendix A Table A1).
These results suggest that the effects of the energy transition have not negatively impacted social aspects in Poland. On the contrary, there is evidence of a positive impact. A decreasing percentage of the population is experiencing difficulties in covering the costs of basic energy services such as lighting, heating, cooling, mobility, and electricity. Additionally, there has been an increase in disposable income despite the steady, albeit slow, rise in energy prices.
Based on the determined values of the social index, its relationship with the value of Poland’s GDP was assessed. The obtained result (Table 4) indicates a very strong and significant positive relationship between these variables. This confirms that the country’s economic growth contributes to improving the living conditions of its citizens (Figure 6).

4.2. Results of the Evaluation of the Effectiveness of Poland’s Energy Transition

After determining the individual dimensional indices for the period under study, which characterize the transformation process in Poland, the study was conducted for level II of the assessment (Figure 2). As for the first stage, the analyses began by determining the weights for the dimensions included in the assessment (i.e., determining their importance). The results obtained from this part of the study are summarized in Table 5.
Using these weight values, the values of Poland’s Energy Transformation Efficiency Index (ETEI) for 2004–2021 were determined (using the EDAS method) (Figure 7).
The findings reveal that the energy security dimension carried the greatest weight, while the social dimension held the lowest weight. The environmental dimension ranked as the second most significant. The computed values of the Energy Transformation Efficiency Index (ETEI) suggest that Poland has effectively executed its energy sector transformation policy during the examined timeframe. The index escalated from 0.0087 in 2004 to 0.9771 in 2021, with its pinnacle recorded in 2020. Particularly rapid advancement was observed between 2007 and 2015. However, a deceleration in this progression was evident between 2015 and 2017, attributed to policy interventions resulting in, among other factors, a reduction in renewable energy source (RES) production and utilization. This slowdown was notably reflected in the increase in total greenhouse gas (GHG) emissions per capita.
This part of the study also determined the relationship of the determined Energy Transformation Efficiency Index (ETEI) with the value of Poland’s GDP (Table 6). Again, a strong, statistically significant positive relationship was found between these studied quantities.

4.3. Results of the Evaluation of the Efficiency of Poland’s Energy Transition in Comparison with Other EU Countries

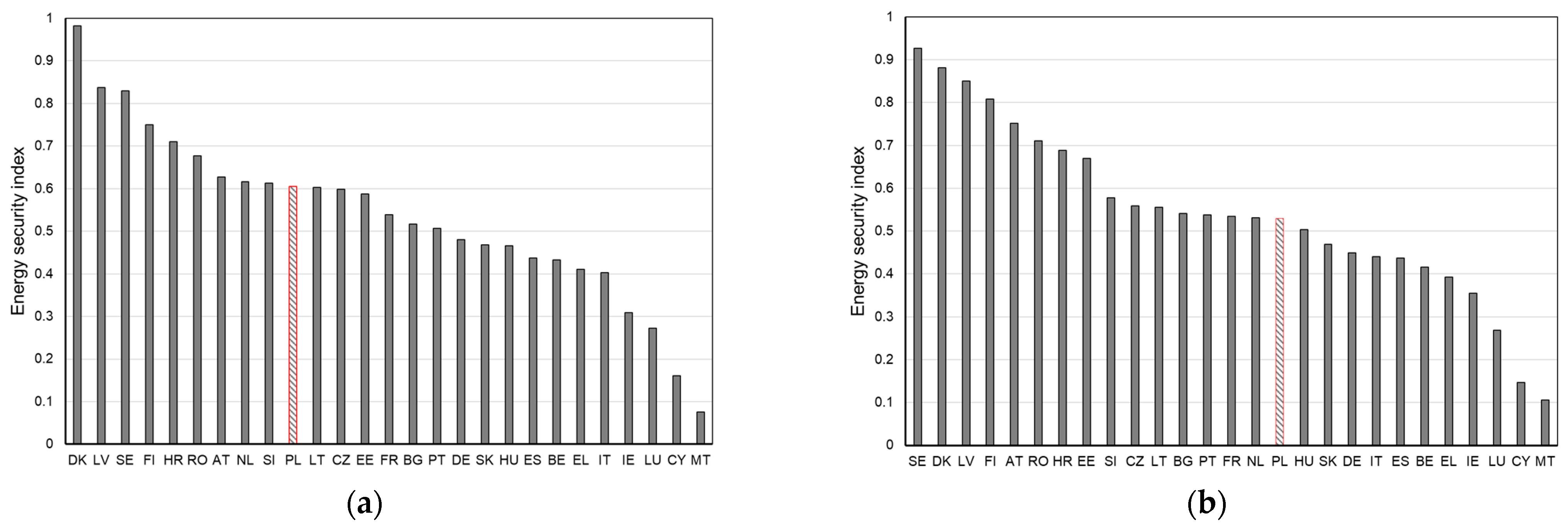
In the subsequent stage of the research (Stage IX in Figure 1), Poland’s position regarding energy transition was evaluated relative to other EU member states. To accomplish this, calculations were conducted for EU countries for the years 2004 and 2021, employing the established research methodology outlined in Section 3. The evaluation criteria utilized were consistent with those employed for Poland’s assessment. Figure 8 shows the index values of the dimensions adopted for the EU countries.
Upon analyzing the results, it is evident that Poland ranked 10th in terms of energy security among EU countries in 2004, whereas by 2021, it had fallen to 16th place. Over this period, Poland’s security index declined from 0.606 to 0.520. In 2004, Denmark, Latvia, Sweden, and Finland exhibited the most favorable situation in this dimension, while Greece, Luxembourg, Malta, and Cyprus had the least favorable conditions. By 2021, Sweden had risen to the top position, with Denmark and Latvia dropping to second and third place, respectively. Conversely, Ireland, Luxembourg, Malta, and Cyprus consistently remained at the bottom. Estonia notably climbed from 13th place in 2004 to 8th in 2021, marking a significant promotion of five positions. Estonia’s index value surged from 0.590 in 2004 to 0.670 in 2021. This is attributed to Estonia’s reliance on indigenous oil shale, deemed a stimulating factor in the study, which renders the country virtually energy self-sufficient. Furthermore, Estonia imports negligible amounts of energy, with imports accounting for only 1.4% in 2021, compared to over 22% for Sweden, the second-lowest energy importer. During the same period, the EU-27 average import dependency stood at 55%. Notably, Estonia’s dependence on imported energy sources exceeded 30% in 2004. Moreover, Estonia exhibited lower-than-average final energy consumption per capita in both periods analyzed, alongside significant total primary energy supply per capita. Estonia’s high rating in 2021 is also attributed to its 30% share of renewable energy sources in the energy mix.
In terms of the economic dimension included in the study, Poland ranked 23rd among other EU countries in 2004, and by 2021, it had moved up slightly to 22nd place. The economic index value increased from 0.239 to 0.285 over this period. This modest promotion can be attributed to the overall dynamic development observed across all EU countries during this time. Additionally, it is worth noting that the emerging and developing economies within the EU experienced more rapid growth compared to the “old” EU countries. However, the gap between these groups of countries remained substantial and practically insurmountable during the research period. In 2004, countries such as Lithuania, Romania, Slovakia, and Belgium ranked lower than Poland, while in 2021, Slovakia, Latvia, Romania, Malta, and Belgium were positioned below Poland, respectively.
In economic terms, Luxembourg continues to lead as the EU’s most prosperous country, boasting the highest GDP per capita among EU nations and one of the highest in the world. This achievement is influenced not only by its GDP per capita but also by its remarkably favorable energy productivity index, which ranks among the highest in the entire EU, along with substantial revenues from energy taxes. Conversely, Bulgaria consistently ranks lowest among EU countries in terms of economic indicators, remaining the poorest nation in the community in both years compared. This economic disparity undoubtedly poses challenges for Bulgaria’s energy sector transformation efforts.
After examining the outcomes of the climate dimension ranking, it is evident that Poland’s performance in this aspect is notably poor in both 2004 and 2021, securing the 26th position. Only Bulgaria fares worse in this regard. Conversely, Estonia surpasses Poland, despite predominantly utilizing high-emission oil shale for energy production. Estonia exhibits lower greenhouse gas emissions per capita, resulting in reduced GHG intensity of energy and total GHG–GDP intensity.
Sweden emerged as the frontrunner in this dimension during the analyzed years. Despite being an industrialized nation, Sweden maintains notably low greenhouse gas emissions, not only compared to EU countries but also on a global scale [77]. This achievement can be attributed, in part, to the composition of its energy production and consumption, with renewable energy sources (RESs) comprising the largest share of total consumption. Moreover, Sweden’s extensive tree planting initiatives contribute significantly to diminishing carbon dioxide emissions into the atmosphere [78]. Furthermore, the country has set forth ambitious objectives aimed at achieving complete climate neutrality by 2045 [79].
In the social dimension, which addresses concerns such as energy poverty among EU residents, average disposable income per capita, and unemployment rates, Poland experienced significant advancement in 2021 compared to the base year of 2004, rising from the 26th position to the 7th position. Over this period, the Social Energy Transformation Index surged from 0.154 to 0.848. This notable progress is primarily attributed to effective measures aimed at alleviating energy poverty and the country’s economic development, which led to a more than ten-fold reduction in energy poverty levels (refer to Appendix A). In 2004, Poland had the highest unemployment rate, nearly 19%, which decreased to one of the lowest rates in the entire EU by 2021. Similarly, in both 2004 and 2021, Luxembourg emerged as the leader in this dimension, boasting the highest per capita disposable income and the lowest percentage of the population experiencing energy poverty. However, Luxembourg witnessed a nearly three-fold increase in the issue of energy poverty over the study period, rising from 0.9% to 2.5%.
Based on the determined values of the dimensional indices, the Energy Transformation Efficiency Index (ETEI) was computed for every EU country in both 2004 (baseline) and 2021. This index served as the cornerstone for ranking these countries from the most efficient to the least efficient regarding their energy transformation processes (Figure 9).
Sweden remained the undisputed leader in the rankings for both 2004 and 2021, while Bulgaria consistently held the last position in this ranking. Estonia experienced the most significant advancement during the period under review, climbing from the 18th to the 12th position. Conversely, Spain suffered the most substantial decline, plummeting from the 11th to the 21st position. Denmark, Finland, Austria, and Slovenia maintained their positions unchanged in the rankings, alongside Sweden and Bulgaria.
Between 2004 and 2021, Poland progressed from the 26th position, with an index value of 0.123, to the 23rd position, with an index value of 0.291. This signifies a modest yet noteworthy advancement compared to other EU countries that are also vigorously pursuing energy transition and climate neutrality. Considering Poland’s circumstances, including its heavy reliance on conventional energy sources like indigenous fossil fuels (such as hard coal and lignite), an outdated energy system leading to significant transformational and transmission energy losses, as well as a gradual transition from fossil fuels to renewable energy sources (RESs) and relatively modest expenditures on energy transformation, the three-position advancement should be regarded positively. Undoubtedly, Poland possesses greater potential in this domain, and ongoing political changes should foster greater determination in constructing an innovative and environmentally friendly economy, with energy playing a pivotal role in this transformative process.
During the period under review, Sweden emerged as the leading EU nation, owing to its extensive history of transformative change. Sweden embarked on the decarbonization of its economy as early as the 1970s, establishing itself as a pioneer in this field and demonstrating the efficacy of its climate policies. Notably, only two countries, Luxembourg and Finland, consume more primary energy per capita than Sweden. However, Sweden boasts the lowest greenhouse gas (GHG) emissions per capita among the EU-27 countries, primarily attributed to its remarkably green energy mix, characterized by a significant portion of zero-emission energy sources, including renewable energy sources (RESs). Between 2004 and 2021, Sweden achieved substantial reductions in the share of fossil fuels by nearly 20% while simultaneously increasing the share of RESs in its energy mix by over 46%. Remarkably, this energy transition did not adversely impact the country’s economic growth, as evidenced by a GDP per capita increase of more than 50% during the study period. Furthermore, Sweden’s success in this regard has positively influenced the issue of energy poverty, which remains at a very low level in the country. However, there was a slight deterioration in the situation by 2021, with an increase from 1.4% in 2004 to 1.7% in 2021.

5. Discussion

The energy transition is a global phenomenon that has been underway since the 1990s, spurred by growing awareness of the environmental and social costs associated with relying on fossil fuels for energy generation [24,80].
This paper introduces a developed methodology aimed at assessing the efficiency of the energy transition process within a single country over a specific research period. This approach adopts a multidimensional perspective, considering various aspects pertinent to the transition process. The methodology is applied practically to evaluate the energy transition in Poland from 2004 to 2021.
The findings indicate that Poland implemented several economic reforms between 2004 and 2021, leading to enhancements in the national energy sector. Importantly, these reforms did not have detrimental effects on economic development, despite concerns raised by some research suggesting that energy transition efforts might temporarily impact these aspects negatively [81,82,83]. The energy transition process can indeed result in a temporary reduction in energy security, as evidenced in this paper, reflecting the energy security dimension index for Poland. Transitioning from a system reliant on conventional energy sources to one centered on renewable energy sources necessitates time for infrastructure development and adaptation of the power grid. However, examples from various countries, such as Denmark and Sweden, demonstrate that energy security tends to improve in the long term. Ensuring the stability of the energy supply during the transition period should thus be a paramount priority for the European Union, emphasizing the importance of strategic planning and coordinated efforts to mitigate potential disruptions and safeguard energy security throughout the transition process.
Although Poland’s energy transition is advancing at a relatively gradual pace, the positive outcomes of this process are discernible within the studied timeframe. While Poland’s economic achievements in the energy sector could have been more remarkable, its reliance on conventional energy sources, driven by their availability and low prices, hindered significant progress. Despite EU pressure to reduce greenhouse gas (GHG) emissions and diversify energy sources, coal and other fossil fuels continue to dominate Poland’s energy production landscape [10,11,84]. However, since 2004, Poland has demonstrated advancements in diversifying its energy mix by expanding renewable energy sources (RESs), particularly wind and photovoltaic energy. Although the proportion of RESs in Poland’s energy mix remains relatively low presently, there is a growing public awareness and preference for zero-emission solutions, indicating the potential for improvement. Notably, there is an increasing recognition among both the public and policymakers that the energy transition yields new innovative job opportunities, enhances economic competitiveness, and protects the environment, making it beneficial for all stakeholders. Furthermore, the RES sector in Poland contributes significantly to job creation, particularly in fields related to the production and operation of photovoltaic panels, wind turbine installation, and the implementation of other modern solutions. This process can help mitigate the issue of rising unemployment and stimulate local economies, especially in light of the decline of coal mining in Poland [85,86,87].
Investments in RESs facilitates the broadening of the energy portfolio, diminishing the reliance on conventional fossil fuels like coal, natural gas, and oil. This shift decreases susceptibility to fluctuations in energy commodity prices on the global stage, particularly those reliant on imports. Therefore, advocating for the advancement of modern and clean energy serves as another rationale for fortifying energy independence and resilience [88]. The example of Sweden shows that a country heavily reliant on renewable energy sources (RESs), while having the highest final energy consumption per capita, can still ensure a secure energy supply and achieve the lowest greenhouse gas (GHG) emissions in the EU. Consequently, the promotion of RES development in Poland will not only enhance energy security but also mitigate environmental degradation by curbing GHG emissions. This effort contributes significantly to combatting climate change while averting potential rises in energy costs associated with coal-based production.
The escalating expenses associated with coal-fired energy pose challenges not only for consumers but also for the overall economy and its competitiveness. Drawing on the example of Germany [89], the advancement of renewable energy sources (RESs) and related technologies as part of the energy transition can spur innovation within the technology sector. This, in turn, can yield positive ripple effects across various sectors of the economy, bolstering overall economic growth. Investments in research and development (R&D) pertinent to the energy transition have the potential to foster the creation of novel technologies and solutions applicable across multiple sectors. As highlighted by Shabalov et al. [90], the integration of digital and information technologies offers myriad benefits for enhancing the development and oversight of efficient energy consumption practices. Improved energy efficiency presents a significant challenge for Poland, particularly given the ongoing growth in the country’s final energy consumption per capita. Therefore, leveraging advancements in digital and information technologies alongside investments in R&D can play a pivotal role in addressing this challenge while promoting sustainable economic growth. Actions targeting energy transition require research and development initiatives and significant investments in new technologies and infrastructure [91]. In Poland, these endeavors entail the modernization of outdated transmission networks, upgrading the heating sector, and fostering integration with European power grids. Moreover, additional efforts are needed to increase investment in renewable energy sources, alongside modernizing the coal sector and developing smart energy infrastructure.
It is crucial to acknowledge that the energy transition process can entail significant social consequences, particularly for regions historically tied to the coal industry [92]. As highlighted [93], it is imperative to provide support for workers and communities affected by these changes, while also fostering public participation and dialog in the decision-making process. Similarly to the approach taken in Germany, Poland’s transition away from coal should incorporate a mix of policies aimed at mitigating unemployment and attracting new investments. Additionally, allocating funds to enhance infrastructure, education, research facilities, and other pertinent factors is essential to facilitate a smooth transition and mitigate the socio-economic impacts on affected regions and communities.
Germany’s experience demonstrates the necessity of phasing out declining heavy industries, including mining, in a sustainable manner [93,94] rather than prolonging their existence. While acknowledging the difficulty of these processes in Poland, the successful examples of other countries facing similar situations suggest that the benefits of such transitions outweigh the challenges.
An undeniable argument in favor of moving away from fossil fuels to RESs is the reduction in the social costs of conventional energy in the form of improved public health by reducing emissions of harmful substances into the environment [95] and reduced environmental costs [96,97]. These arguments seem very logical and universally understood, which gives a chance for acceptance of pro-environmental solutions.
Ensuring a balance between the economic, social, and environmental aspects of the energy transition is a crucial challenge, and Poland has shown signs of success in this regard, as demonstrated by the research findings presented here. Despite numerous challenges, the transformative changes present numerous opportunities for the country’s environmental and economic development and modernization. Therefore, it is essential to undertake deliberate and coordinated action to accelerate this process and ensure sustainable and balanced energy development. Addressing the complexity of energy transition challenges in Poland requires collaboration among government, regional, and municipal authorities in a polycentric approach.
The exemplary practices of other nations play a vital role in advancing this process. Countries like Sweden, Denmark, and Austria serve as inspiring models that can encourage and motivate change. For instance, Denmark’s success in harnessing wind energy, particularly through offshore installations, stands out as a notable achievement. Poland can draw upon this model, considering its access to the Baltic Sea, which offers opportunities for implementing similar offshore wind projects [97]. Leveraging the experiences of these countries can offer valuable guidance and inspiration as Poland endeavors to accelerate its transition towards a more sustainable energy future.
In contrast, Sweden relies significantly on biomass for heat and electricity generation while also advancing district heating systems for consumer delivery [98]. These strategies have proven effective in Sweden and could be replicated in Poland. To emulate these practices, there is a need to augment the proportion of biomass in the energy mix and enhance the efficiency of urban district heating systems. In the process of transitioning away from coal power generation, it is worth taking advantage of the solutions of Germany and other countries, including those outside the European Union (e.g., the United Kingdom). In particular, this applies to restructuring programs and support for regions affected by the energy transition. Providing financial assistance, retraining workers, and investing in the development of alternative sources should stimulate local markets and improve infrastructure. It is therefore worth following the example of Germany’s support programs for coal regions to mitigate the social and economic effects of the transition. Germany is also investing in research and development of new technologies in renewable energy, energy storage, and electro mobility [99]. Poland can also follow this path by supporting technological innovation and the development of the high-tech sector in the field of energy.
The failure to leverage the experiences and solutions of other countries in Poland’s energy transition process could lead to several negative consequences. This, in turn, could delay the implementation of the energy transition and hinder the achievement of energy policy goals. Such a scenario would negatively impact the country’s economic competitiveness. A major threat to realizing these goals is the outdated energy infrastructure, including transmission networks. The lack of adequate investment and development strategies in this sector may impede progress. Although Poland is gradually increasing its share of renewable energy sources, the lack of modern infrastructure, including energy storage systems, limits the speed and effectiveness of this transformation. Social issues also pose a significant threat to these changes, particularly the resistance from beneficiaries of the traditional energy sector. Therefore, it is crucial to educate and raise public awareness about the benefits of the transformation. Public support for these changes is key to achieving success. To address this, it is crucial to implement the Fair Transition Mechanism, which includes the Fair Transition Fund and the Sustainable Europe Investment Plan. These initiatives are designed to mitigate the social and economic impacts of the energy transition, ensuring that the transition is fair and inclusive for all members of society [100].
The European Union offers models from which developing countries, including Poland, can and should draw inspiration in their pursuit of building an efficient, modern, and environmentally clean energy sector. However, achieving this goal necessitates the development of appropriate strategies, political visions, stable regulatory frameworks, and effective support mechanisms for renewable energy. Additionally, promoting innovation and fostering cross-sector cooperation are essential components of this endeavor. Furthermore, being receptive to solutions from other countries and regions is vital for fostering continuous improvement and adaptation in the energy transition process.

6. Conclusions and Policy Implications

A study was conducted based on a developed methodology to evaluate the effectiveness of Poland’s energy transition process from 2004 to 2021. The results of this study enabled an assessment of key aspects associated with this transition, including energy security, economic impact, climate considerations, and social implications.
The undertaken subject matter holds significant economic, political, and social relevance, making it a crucial area of study from both scientific and practical standpoints. This is primarily because it addresses fundamental issues pertaining to the implementation of the European Union’s energy policy and the pursuit of sustainable development goals. Energy transition serves as a pivotal component in the evolution of modern economies, emphasizing the adoption of innovative and environmentally sustainable solutions. Within the European Union’s framework, where ambitions include attaining climate neutrality and fostering the growth of an eco-friendly and competitive knowledge-based economy, the modernization of the energy sector is pivotal. Consequently, the development of a suitable research methodology for assessing and evaluating the efficacy of the energy transition process becomes imperative. Recognizing the multifaceted nature of transformation endeavors, an original research methodology was devised, utilizing a multi-criteria approach to address this complex issue effectively.
The methodology employed in the study utilized the EDAS method for multi-criteria decision support, alongside techniques for determining indicator and dimension weights such as CRITIC, statistical variance, and equal weights. Additionally, the Laplace criterion was incorporated to address decision making amidst uncertainty.
Recognizing the intricate nature of the energy transition process, it was acknowledged that studying it solely from an energy perspective would be inadequate. This is because the process encompasses not only the substitution of one energy source for another and concerns regarding energy security, but also entails the fulfillment of sustainable development objectives and considerations of social, economic, climate, and environmental factors.
In light of this complexity, this research emphasized the importance of evaluating the energy transition process holistically by considering indicators that span across all these areas. By including four dimensions pertaining to energy sector activities and 22 corresponding indicators, the study facilitated a comprehensive analysis of diverse factors and their influence on the transition process.
The devised methodology was employed to gauge the effectiveness of Poland’s energy transition journey from 2004 to 2021, encapsulating its entire EU membership period. This methodology boasts versatility, enabling its adaptation to assess similar energy transition processes in other nations. With its multifaceted and two-tiered approach, it provides a robust framework to evaluate the significance of various factors under scrutiny. Furthermore, it facilitates comparisons between the transformation levels of the country under examination and others, allowing for insights into the relationship between these levels and factors like national wealth.
This paper therefore presents the outcomes of applying this methodology practically to assess the efficiency of Poland’s energy transition process. In doing so, the research conducted and the results obtained revealed the following insights:
Poland is witnessing positive impacts from the energy transition process, although the rate of change is deemed too sluggish.
The energy security index, a fundamental dimension in the study, has visibly improved over the assessment period, from 0.470 in 2004 to 0.520 in 2021, indicating a positive trajectory. This improvement occurred despite increased energy dependence and decreased self-sufficiency, attributed to enhanced diversification of the energy mix, an increased share of renewable sources, and reduced energy losses in transmission networks.
The energy transition has not adversely affected Poland’s economic development. The economic index rose from 0.171 in 2004 to 0.853 in 2021, affirming positive growth.
Despite this progress, Poland still faces challenges in reducing greenhouse gas emissions. The observed improvement in the climate dimension primarily stems from increased consumption of renewable energy sources (RESs) and reductions in GHG emissions from the energy sector, rather than an overall reduction in GHGs.
Transitioning did not incur social costs, as indicated by the steady rise in the social index. This increase was fueled by a decrease in social poverty and unemployment and an increase in average per capita disposable income.
The study revealed a strong positive correlation between Poland’s energy transition and its economic development, measured by GDP. This suggests that transformation efforts have not adversely impacted the economy, with similar positive correlations observed in climate and social dimensions. However, such a relationship was not observed solely in energy security and GDP.
Poland’s progress in the energy transition process stands out compared to other EU countries. Moving from 26th to 23rd position between 2004 and 2021 signifies notable advancement, albeit small, given progress across the EU.
Poland excelled in energy security among EU-27 countries, despite a significant decline from 10th to 16th position compared to 2004. In terms of the climate dimension, Poland ranked near the bottom in both 2004 and 2021. However, substantial progress was noted in the social dimension, advancing from 26th to 7th position within the EU countries.
In summary, the research indicates that while Poland has made noticeable strides in implementing energy transition since 2004, significant challenges and areas for improvement remain. There is a pressing need to engage all stakeholders, including political dissidents, in order to accelerate the transformation of the energy sector towards sustainability and efficiency.
Improving the efficiency of Poland’s energy transition requires decisive actions, many of which have already proven successful in other countries but have been underutilized by Polish authorities. Key measures should include the following:
Continuously monitoring the energy transition’s effectiveness, considering its multidimensional nature.
Reducing barriers hindering the development of a sustainable economy, including green energy production.
Developing a new legal and regulatory framework to support the energy transition, promoting innovation and investment in renewable energy sources; addressing overdue submissions of National Energy and Climate Plans (NERPs) to Brussels, and establishing a long-term low-carbon strategy until 2050.
Increasing investment in renewable energy, such as wind, solar, and biomass, to reduce greenhouse gas emissions and fossil fuel dependence.
Targeting investments in modern energy infrastructure, like transmission grids and energy storage, to facilitate the efficient use of renewable energy sources (RESs).
Accelerating energy efficiency improvements, which will reduce CO2 emissions.
Expanding electricity grids to increase energy transmission capacity and improve energy efficiency, which is essential for the implementation of climate and economic goals in the energy transition.
Accelerating the decarbonization of the economy, including managing the inefficient coal mining sector and reallocating funds to invest in new energy sources and educational activities. For effective decarbonization, a clear and more ambitious timetable for phasing out coal is necessary.
Strengthening international cooperation to exchange knowledge, experiences, and best practices in energy transition with countries like Denmark, Sweden, and Austria, to improve efficiency and accelerate sustainable economic development.
Enhancing public awareness through education to communicate the advantages and benefits of the energy transition.
Developing and implementing a coherent, long-term energy policy that aligns with EU climate and energy policies and considers the interests of social and economic stakeholders in the transition process.
The implementation of these proposed measures is expected to enhance the efficiency of Poland’s energy transition process, especially considering their alignment with the European Union’s strategic programs for achieving a zero-carbon economy. Given the multidimensional nature and comprehensiveness of these proposals, the involvement of all stakeholders—including the government, the private sector, and society as a whole—is crucial. Long-term action planning, taking into account various social, economic, and environmental needs and priorities, is imperative. An updated Polish energy strategy, grounded in knowledge and science and incorporating elements of EU climate policy, should serve as the foundation for these activities. This strategy should also aim to reduce barriers to the development of clean energy. The findings from the conducted research and the obtained results should be utilized to inform the development and effective implementation of this strategy. Additionally, the developed methodology should facilitate the diagnosis and evaluation of the implemented changes, aiding in ongoing assessment and refinement of the energy transition process.
In the context of the research conducted, it is reasonable to point out the limitations of the work, which may provide directions for further research. The study did not include a forecast of the efficiency of Poland’s energy transition process until 2040, the target year for the country’s energy policy. Such an analysis would be important for assessing the current pace of the energy transition in relation to the likelihood of achieving the set goals. Future research should also cover the various dimensions adopted in this study. The results should inform the preparation of energy strategies and policies for the coming years. Identifying potential challenges and barriers during the energy transition process would be particularly important, as this should form the basis for improvement actions.
It would also be useful to examine the most important economic sectors to determine how well they are implementing EU energy policy. Such results could be even more helpful for effectively targeting transformation efforts. For individual industries and groups of companies, these measures should definitely aid the transformation process.

Author Contributions

Conceptualization, M.T. and J.B.; methodology, J.B. and M.T.; software, M.T. and J.B.; formal analysis, J.B. and M.T.; investigation, J.B. and M.T.; resources, M.T., J.B. and W.G.; data curation, M.T. and J.B.; writing—original draft preparation, M.T., J.B. and W.G.; writing—review and editing, J.B. and M.T.; visualization, M.T.; supervision, M.T. and J.B.; project administration, M.T. and J.B.; funding acquisition, M.T. All authors have read and agreed to the published version of the manuscript.

Funding

This publication was funded by the statutory research performed at Silesian University of Technology, Department of Production Engineering (BK-266/ROZ3/2024; 13/030/BK_24/0083), Faculty of Management and Organization.

Data Availability Statement

Data are contained within the Local data bank: https://bdl.stat.gov.pl/bdl/dane/podgrup/tablica (accessed on 24 February 2024).

Conflicts of Interest

The authors declare no conflicts of interest.

Appendix A

Figure A1. Weights for criteria for evaluating the energy transition in the energy security dimension.
Figure A1. Weights for criteria for evaluating the energy transition in the energy security dimension.
Energies 17 02689 g0a1
Figure A2. Weights for evaluation criteria (indicators) of the energy transition in the economic dimension.
Figure A2. Weights for evaluation criteria (indicators) of the energy transition in the economic dimension.
Energies 17 02689 g0a2
Figure A3. Weights for evaluation criteria (indicators) of the energy transition in the economic dimension.
Figure A3. Weights for evaluation criteria (indicators) of the energy transition in the economic dimension.
Energies 17 02689 g0a3
Figure A4. Weights for criteria for evaluating the energy transition in the social dimension.
Figure A4. Weights for criteria for evaluating the energy transition in the social dimension.
Energies 17 02689 g0a4
Table A1. Values of indexes of dynamics of change for indicators included in the study.
Table A1. Values of indexes of dynamics of change for indicators included in the study.
IndicatorIndex of Dynamics of Change (2004 = 100%)
Total primary energy supply (TPES), tonnes of oil equivalent (TOE) per capita121%
Energy use intensity, tonnes of oil equivalent (TOE) per capita131%
Energy imports dependency, %275%
Diversification of energy mix—HHI70%
Energy self-sufficiency ratio64%
Non-renewable source share of energy mix, %92%
Renewable energy source (RES) share of energy mix, %253%
Energy transmission and distribution losses, % of primary energy74%
Gross domestic product (GDP) per capita, EUR280%
Research and Development (R&D) expenditures, EUR per inhabitant731%
Energy productivity, EUR per kilogram of oil equivalent158%
Energy intensity, kilograms of oil equivalent per thousand EUR63%
Electricity prices for non-household consumers: consumption from 500 MWh to 1999 MWh—all taxes and levies included, EUR/kilowatt221%
Electricity prices for household consumers: consumption from 2500 kWh to 4999 kWh—all taxes and levies included, EUR/kilowatt164%
Energy taxes, % of GDP118%
Total greenhouse gas (GHG) emissions, t CO2 eq.101%
GHG emissions per unit of energy produced (kg CO2 eq./toe)84%
GHG emissions per unit of GDP, (tons CO2 eq./M EUR‘15)53%
RES share in gross final energy consumption, %227%
Household disposable income per capita, EUR215%
Energy poverty, % of population10%
Unemployment, %31%

References

  1. Hassan, Q.; Viktor, P.; Al-Musawi, T.; Mahmood Ali, B.; Algburi, S.; Alzoubi, H.M.; Al-Jiboory, A.K.; Sameen, A.Z.; Salman, H.M.; Jaszczur, M. The renewable energy role in the global energy Transformations. Renew. Energy Focus 2024, 48, 100545. [Google Scholar] [CrossRef]
  2. Papadis, E.; Tsatsaronis, G. Challenges in the decarbonization of the energy sector. Energy 2020, 205, 118025. [Google Scholar] [CrossRef]
  3. Tutak, M.; Brodny, J. Analysis of the level of energy security in the three seas initiative countries. Appl. Energy 2022, 311, 118649. [Google Scholar] [CrossRef]
  4. Wang, S.; Li, B.; Zhao, X.; Hu, Q.; Liu, D. Assessing fossil energy supply security in China using ecological network analysis from a supply chain perspective. Energy 2024, 288, 129772. [Google Scholar] [CrossRef]
  5. The Treaty on the Functioning of the European Union. The Treaty of Lisbon 2018. Available online: https://eur-lex.europa.eu/legal-content/PL/TXT/?uri=LEGISSUM:ai0033 (accessed on 11 March 2024).
  6. Kyoto Protocol on Climate Change. Available online: https://eur-lex.europa.eu/legal-content/EN/TXT/?uri=LEGISSUM:l28060 (accessed on 11 March 2024).
  7. Directive 2009/28/EC of the European Parliament and of the Council of 23 April 2009 on the Promotion of the Use of Energy from Renewable Sources and Amending and Subsequently Repealing Directives 2001/77/EC and 2003/30/EC. Available online: https://eur-lex.europa.eu/legal-content/EN/ALL/?uri=CELEX%3A32009L0028 (accessed on 11 March 2024).
  8. Directive (EU) 2018/2001 of the European Parliament and of the Council of 11 December 2018 on the Promotion of the Use of Energy from Renewable Sources. Available online: https://eur-lex.europa.eu/legal-content/EN/TXT/?uri=CELEX%3A32018L2001 (accessed on 11 March 2024).
  9. Santos, F.D.; Ferreira, P.L.; Pedersen, J.S.T. The Climate Change Challenge: A Review of the Barriers and Solutions to Deliver a Paris Solution. Climate 2022, 10, 75. [Google Scholar] [CrossRef]
  10. Bijańska, J.; Wodarski, K. Hard coal production in Poland in the aspect of climate and energy policy of the European Union and the war in Ukraine. Investment case study. Resour. Policy 2024, 88, 104390. [Google Scholar] [CrossRef]
  11. Bórawski, P.; Bełdycka-Bórawska, A.; Holden, L. Changes in the Polish Coal Sector Economic Situation with the Background of the European Union Energy Security and Eco-Efficiency Policy. Energies 2023, 16, 726. [Google Scholar] [CrossRef]
  12. Kaczmarek, J.; Kolegowicz, K.; Szymla, W. Restructuring of the Coal Mining Industry and the Challenges of Energy Transition in Poland (1990–2020). Energies 2022, 15, 3518. [Google Scholar] [CrossRef]
  13. Brodny, J.; Tutak, M. Challenges of the polish coal mining industry on its way to innovative and sustainable development. J. Clean. Prod. 2022, 375, 134061. [Google Scholar] [CrossRef]
  14. European Commission. Available online: https://commission.europa.eu/strategy-and-policy/priorities-2019-2024/european-green-deal_en (accessed on 11 March 2024).
  15. Ustawa Prawo Energetyczne. Dz.U. 2019 poz. 755. Available online: https://isap.sejm.gov.pl/isap.nsf/download.xsp/WDU20190000755/U/D20190755Lj.pdf (accessed on 11 March 2024).
  16. Polityka Energetyczna Polski do 2040 r. (PEP2040). Available online: https://www.gov.pl/web/klimat/zalozenia-do-aktualizacji-polityki-energetycznej-polski-do-2040-r (accessed on 11 March 2024).
  17. Aruga, K.; Bolt, T.; Pest, P. Energy policy trade-offs in Poland: A best-worst scaling discrete choice experiment. Energy Policy 2021, 156, 112465. [Google Scholar] [CrossRef]
  18. Szopik-Depczynska, K.; Cheba, K.; Bąk, I.; Stajniak, M.; Simboli, A.; Ioppolo, G. The study of relationship in a hierarchical structure of EU sustainable development indicators. Ecol. Indic. 2018, 90, 120–131. [Google Scholar] [CrossRef]
  19. Henderson, J.; Anupama, S. The Energy Transition: Key Challenges for Incumbent and New Players in the Global Energy System, OIES Paper. Oxford Institute for Energy Studies. 2021. Available online: https://www.oxfordenergy.org/publications/the-energy-transition-key-challenges-for-incumbent-and-new-players-in-the-global-energy-system/ (accessed on 11 March 2024).
  20. Grosse, T.G. Low Carbon Economy Policy in Poland: An Example of the Impact of Europeanisation. Equilib. Q. J. Econ. Econ. Policy 2011, 6, 9–39. [Google Scholar] [CrossRef]
  21. Pietrzak, M.B.; Olczyk, M.; Kuc-Czarnecka, M.E. Assessment of the Feasibility of Energy Transformation Processes in European Union Member States. Energies 2022, 15, 661. [Google Scholar] [CrossRef]
  22. O’Connor, P.A. Energy Transitions. The Pardee Papers 2010. Available online: https://www.bu.edu/pardee/files/2010/11/12-PP-Nov2010.pdf?PDF=pardee-paper-012-energy (accessed on 11 March 2024).
  23. Melosi, M. (Ed.) Energy transitions in historical perspective Laura Nader. In The Energy Reader; Wiley Blackwell: London, UK, 2010; pp. 45–60. [Google Scholar]
  24. Fouquet, R.; Pearson, P. Past and prospective energy transitions: Insights from history. Energy Policy 2012, 50, 1–7. [Google Scholar] [CrossRef]
  25. Hirsh, R.F.; Jones, C.F. History’s contributions to energy research and policy. Energy Res. Soc. Sci. 2014, 1, 106–111. [Google Scholar] [CrossRef]
  26. Miller, C.A.; Richter, J.; O’Leary, J. Socio-energy systems design: A policy framework for energy transitions. Energy Res. Soc. Sci. 2015, 6, 29–40. [Google Scholar] [CrossRef]
  27. Grubler, A. Energy transition (Chapter E). In The Dictionary of Energy, 2nd ed.; Cleveland, C.J., Morris, C., Eds.; Elsevier: Amsterdam, The Netherlands, 2015. [Google Scholar]
  28. Brisbois, M.C. Powershifts: A framework for assessing the growing impact of decentralized ownership of energy transitions on political decision-making. Energy Res. Social Sci. 2019, 50, 151–161. [Google Scholar] [CrossRef]
  29. Coy, D.; Malekpour, S.; Sarei, K.; Dargaville, R. Rethinking community empowerment in the energy transformation: A critical review of the definitions, drivers and outcomes. Energy Res. Soc. Sci. 2021, 72, 101871. [Google Scholar] [CrossRef]
  30. Włodarczyk, B.; Firoiu, D.; Ionescu, G.H.; Ghiocel, F.; Szturo, M.; Markowski, L. Assessing the Sustainable Development and Renewable Energy Sources Relationship in EU Countries. Energies 2021, 14, 2323. [Google Scholar] [CrossRef]
  31. Hu, K.; Sinha, A.; Tan, Z.; Shah, M.; Abbas, S. Achieving energy transition in OECD economies: Discovering the moderating roles of environmental governance. Renew. Sustain. Energy Rev. 2022, 168, 112808. [Google Scholar] [CrossRef]
  32. Siksnelyte, I.; Zavadskas, E.; Bausys, R.; Streimikiene, D. Implementation of EU energy policy priorities in the Baltic Sea Region countries: Sustainability assessment based on neutrosophic MULTIMOORA method. Energy Policy 2019, 125, 90–102. [Google Scholar] [CrossRef]
  33. Brodny, J.; Tutak, M. Assessing sustainable energy development in the central and eastern European countries and analyzing its diversity. Sci. Total Environ. 2021, 801, 149745. [Google Scholar] [CrossRef] [PubMed]
  34. Brodny, J.; Tutak, M. The comparative assessment of sustainable energy security in the Visegrad countries. A 10-year perspective. J. Clean. Prod. 2021, 317, 128427. [Google Scholar] [CrossRef]
  35. Kochanek, E. The Energy Transition in the Visegrad Group Countries. Energies 2021, 14, 2212. [Google Scholar] [CrossRef]
  36. Wach, K.; Głodowska, A.; Maciejewski, M.; Sieja, M. Europeanization Processes of the EU Energy Policy in Visegrad Countries in the Years 2005–2018. Energies 2021, 14, 1802. [Google Scholar] [CrossRef]
  37. Adun, H. Sustainability energy security: 20 years assessment of the West African Nations using a comprehensive entropy-TOPSIS analysis. Environ. Sci. Pollut. Res. 2023, 30, 81093–81112. [Google Scholar] [CrossRef] [PubMed]
  38. Radovanović, M.; Filipović, S.; Andrejević Panić, A. Sustainable energy transition in Central Asia: Status and challenges. Energ. Sustain. Soc. 2021, 11, 49. [Google Scholar] [CrossRef]
  39. Liu, P.; Zhao, R.; Han, X. Assessing the efficiency and the justice of energy transformation for the United States of America, China, and the European Union. Sustain. Dev. 2023, 31, 3387–3407. [Google Scholar] [CrossRef]
  40. Neofytou, H.; Nikas, A.; Doukas, H. Sustainable energy transition readiness: A multicriteria assessment index. Renew. Sustain. Energy Rev. 2020, 131, 109988. [Google Scholar] [CrossRef]
  41. Ahmad, M.; Ahmad, Z.; Kahn, S.; Alvarado, R. Towards environmental sustainability in E−7 countries: Assessing the roles of natural resources, economic growth, country risk, and energy transition. Resour. Policy 2023, 82, 103486. [Google Scholar] [CrossRef]
  42. Barua, S. Chapter 14—Green growth and energy transition: An assessment of selected emerging economies. In Energy-Growth Nexus in an Era of Globalization; Elsevier: Amsterdam, The Netherlands, 2022; pp. 323–352. [Google Scholar]
  43. Rösch, C.; Bräutigam, K.R.; Kopfmüller, J.; Stelzer, V.; Fricke, A. Sustainability assessment of the German energy transition. Energ. Sustain. Soc. 2018, 8, 12. [Google Scholar] [CrossRef]
  44. Naegler, T.; Becker, L.; Buchgeister, J.; Hauser, W.; Hottenroth, H.; Junne, T.; Lehr, U.; Scheel, O.; Schmidt-Scheele, R.; Simon, S.; et al. Integrated Multidimensional Sustainability Assessment of Energy System Transformation Pathways. Sustainability 2021, 13, 5217. [Google Scholar] [CrossRef]
  45. Zhong, J.; Bollen, M.; Rönnberg, S. Towards a 100% renewable energy electricity generation system in Sweden. Renew. Energy 2021, 171, 812–824. [Google Scholar] [CrossRef]
  46. Tatti, A.; Ferroni, S.; Ferrando, M.; Motta, M.; Causone, F. The Emerging Trends of Renewable Energy Communities’ Development in Italy. Sustainability 2023, 15, 6792. [Google Scholar] [CrossRef]
  47. Streimikiene, D.; Klevas, V. Promotion of renewable energy in Baltic States. Renew. Sustain. Energy Rev. 2007, 11, 672–687. [Google Scholar] [CrossRef]
  48. Wang, Y.; Zhang, D.; Ji, Q.; Shi, X. Regional renewable energy development in China: A multidimensional assessment. Renew. Sustain. Energy Rev. 2020, 124, 109797. [Google Scholar] [CrossRef]
  49. Bednarczyk, J.L.; Brzozowska-Rup, K.; Luściński, S. Determinants of the Energy Development Based on Renewable Energy Sources in Poland. Energies 2021, 14, 6762. [Google Scholar] [CrossRef]
  50. Pietrzak, M.B.; Igliński, B.; Kujawski, W.; Iwański, P. Energy Transition in Poland—Assessment of the Renewable Energy Sector. Energies 2021, 14, 2046. [Google Scholar] [CrossRef]
  51. International Atomic Energy Agency. Energy Indicators for Sustainable Development Guidelines and Methodologies. 2005. Available online: https://www-pub.iaea.org/MTCD/Publications/PDF/Pub1222_web.pdf (accessed on 12 March 2024).
  52. Burck, J.; Hagen, U.; Höhne, N.; Nascimento, L.; Bals, C. Climate Change Performance Index: Results 2020 Germanwatch, Berlin. 2019. Available online: https://newclimate.org/sites/default/files/2019/12/CCPI-2020-Results_Web_Version.pdf (accessed on 12 March 2024).
  53. Europe off Target—Ranking of EU Countries’ Ambition and Progress in Fighting Climate Change. Climate Action Network Europe: Brussels, Belgium. Available online: http://www.caneurope.org/docman/climate-energy-targets/3357-off-target-ranking-of-eu-countries-ambition-and-progress-in-fighting-climate-change/file (accessed on 12 March 2024).
  54. Singh, H.V.; Bocca, R.; Gomez, P.; Dahlke, S.; Bazilian, M. The energy transitions index: An analytic framework for understanding the evolving global energy system. Energy Strategy Rev. 2019, 26, 100382. [Google Scholar] [CrossRef]
  55. World Economic Forum. The Global Energy Architecture Performance Index. Available online: https://www.weforum.org/reports/global-energy-architecture-performance-index-report-2013 (accessed on 12 March 2024).
  56. Brodny, J.; Tutak, M. Assessing the Energy and Climate Sustainability of European Union Member States: An MCDM-Based Approach. Smart Cities 2023, 6, 339–367. [Google Scholar] [CrossRef]
  57. Barros, J.J.C.; Coira, M.L.; Lopez, M.P.D.; Gochi, A.D. Assessing the global sustainability of different electricity generation systems. Energy 2015, 89, 473–489. [Google Scholar] [CrossRef]
  58. Diemuodeke, E.O.; Hamilton, S.; Addo, A. Multi-criteria assessment of hybrid renewable energy systems for Nigeria’s coastline communities. Energy Sustain. Soc. 2016, 6, 26. [Google Scholar] [CrossRef]
  59. Su, W.; Zhang, D.; Zhang, C.; Streimikiene, D. Sustainability assessment of energy sector development in China and European Union. Sustain. Dev. 2022, 28, 063–1076. [Google Scholar] [CrossRef]
  60. Liu, R.; Sun, H.; Zhang, L.; Zhuang, Q.; Zhang, L.; Zhang, X.; Chen, Y. Low-Carbon Energy Planning: A Hybrid MCDM Method Combining DANP and VIKOR Approach. Energies 2018, 11, 3401. [Google Scholar] [CrossRef]
  61. Balezentiene, L.; Streimikiene, D.; Balezentis, T. Fuzzy decision support methodology for sustainable energy crop selection. Renew. Sustain. Energy Rev. 2013, 17, 83–93. [Google Scholar] [CrossRef]
  62. Eurostat Database. Available online: https://ec.europa.eu/eurostat/web/main/data/database (accessed on 24 February 2024).
  63. Local Data Bank. Available online: https://bdl.stat.gov.pl/bdl/start (accessed on 24 February 2024).
  64. Filatovas, E.; Marcozzi, M.; Mostarda, L.; Paulavičius, R. A MCDM-based framework for blockchain consensus protocol selection. Expert Syst. Appl. 2022, 204, 117609. [Google Scholar] [CrossRef]
  65. Torkayesh, A.; Deveci, M.; Karagoz, S.; Antucheviciene, J. A state-of-the-art survey of evaluation based on distance from average solution (EDAS): Developments and applications. Expert Syst. Appl. 2023, 221, 119724. [Google Scholar] [CrossRef]
  66. Keshavarz Ghorabaee, M.; Zavadskas, E.K.; Olfat, L.; Turskis, Z. Multi-criteria inventory classification using a new method of evaluation based on distance from average solution (EDAS). Informatica 2015, 26, 435–451. [Google Scholar] [CrossRef]
  67. Brodny, J.; Tutak, M. Disparities of Central and Eastern European Countries of European Union in innovation potential: A multi-criteria assessment. J. Open Innov. Technol. Mark. Complex. 2024, 10, 100282. [Google Scholar] [CrossRef]
  68. Diakoulaki, D.; Mavrotas, G.; Papayannakis, L. Determining objective weights in multiple criteria problems: The critic method. Comput. Oper. Res. 1995, 22, 763–770. [Google Scholar] [CrossRef]
  69. Paradowski, B.; Shekhovtsov, A.; Bączkiewicz, A.; Kizielewicz, B.; Sałabun, W. Similarity Analysis of Methods for Objective Determination of Weights in Multi-Criteria Decision Support Systems. Symmetry 2021, 13, 1874. [Google Scholar] [CrossRef]
  70. Brodny, J.; Tutak, M. Assessing the level of innovativeness and digitalization of enterprises in the European Union States. J. Open Innov. Technol. Mark. Complex. 2024, 10, 100210. [Google Scholar] [CrossRef]
  71. Sokołowski, J.; Kiełczewska, A.; Lewandowski, P. Defining and Measuring Energy Poverty in Poland. IBS Research Report 01/2019. Available online: https://ibs.org.pl/app/uploads/2019/01/IBS_Research_Report_01_2019.pdf (accessed on 12 March 2024).
  72. Sokołowski, J.; Frankowski, J.; Lewandowski, P. Energy Poverty, Housing Conditions, and Self-Assessed Health: Evidence from Poland. IBS Working Paper 10/2020. Available online: https://ibs.org.pl/app/uploads/2020/12/Energy_poverty_housing_and_health_IBS_WP_10_2020.pdf (accessed on 12 March 2024).
  73. Streimikiene, D.; Kyriakopoulos, G.; Lekavicius, V.; Siksnelyte-Butkiene, I. Energy Poverty and Low Carbon Just Energy Transition: Comparative Study in Lithuania and Greece. Soc. Indic. Res. 2021, 158, 319–371. [Google Scholar] [CrossRef]
  74. Xiao, Y.; Wu, H.; Wang, G.; Wang, S. The Relationship between Energy Poverty and Individual Development: Exploring the Serial Mediating Effects of Learning Behavior and Health Condition. Int. J. Environ. Res. Public Health 2021, 18, 8888. [Google Scholar] [CrossRef] [PubMed]
  75. Energy in Belchatow. After LigniteFuture-Proofing Energy Generation in Belchatow, Poland. Available online: https://assets.bbhub.io/professional/sites/24/BNEF-Energy-in-Belchatow-After-Lignite_FINAL_English.pdf (accessed on 12 March 2024).
  76. Żak-Skwierczyńska, M. Energy Transition of the Coal Region and Challenges for Local and Regional Authorities: The Case of the Bełchatów Basin Area in Poland. Energies 2022, 15, 9621. [Google Scholar] [CrossRef]
  77. Rybak, A.; Joostberens, J.; Manowska, A.; Pielot, J. The Impact of Environmental Taxes on the Level of Greenhouse Gas Emissions in Poland and Sweden. Energies 2022, 15, 4465. [Google Scholar] [CrossRef]
  78. Lind, E.; Prade, T.; Sjöman Deak, J.; Levinsson, A.; Sjöman, H. How green is an urban tree? The impact of species selection in reducing the carbon footprint of park trees in Swedish cities. Front. Sustain. Cities 2023, 5, 1182408. [Google Scholar] [CrossRef]
  79. Sweden’s Long-Term Strategy for Reducing Greenhouse Gas Emissions. Available online: https://unfccc.int/sites/default/files/resource/LTS1_Sweden.pdf (accessed on 12 March 2024).
  80. Solomon, B.; Krishna, K. The coming sustainable energy transition: History, strategies, and outlook. Energy Policy 2011, 39, 7422–7431. [Google Scholar] [CrossRef]
  81. Adamides, C.; Christou, O. Energy Security and the Transformation of Regional Securitization Relations in the Eastern Mediterranean. In Societies in Transition; Katsikides, S., Koktsidis, P., Eds.; Springer: Cham, Switzerland, 2015. [Google Scholar]
  82. Li, J.; Jiang, S. Energy security in the era of transition. Glob. Energy Interconnect. 2019, 2, 375–377. [Google Scholar] [CrossRef]
  83. Rabbi, M.F.; Popp, J.; Máté, D.; Kovács, S. Energy Security and Energy Transition to Achieve Carbon Neutrality. Energies 2022, 15, 8126. [Google Scholar] [CrossRef]
  84. Skoczkowski, T.; Bielecki, S.; Węglarz, A.; Włodarczak, M.; Gutowski, P. Impact assessment of climate policy on Poland’s power sector. Mitig. Adapt. Strateg. Glob. Change 2018, 23, 1303–1349. [Google Scholar] [CrossRef]
  85. Janikowska, O.; Abdallah Abdelkareem Jebreel, A. The effect of energy transition on the labor market. A preliminary evaluation of Poland’s wind-energy industry. Polityka Energetyczna—Energy Policy J. 2022, 25, 109–124. [Google Scholar] [CrossRef]
  86. Swain, R.; Karimu, A.; Gråd, E. Sustainable development, renewable energy transformation and employment impact in the EU. Int. J. Sustain. Dev. World Ecol. 2022, 29, 695–708. [Google Scholar] [CrossRef]
  87. Kuzior, A.; Ober, J.; Karwot, J. Employee Attitudes towards Employee Evaluation Systems in the Utility Sector: A Case Study of Sewage and Water Supply Ltd., Rybnik, Poland. Sustainability 2022, 14, 12436. [Google Scholar] [CrossRef]
  88. Al-Saidi, M. White knight or partner of choice? The Ukraine war and the role of the Middle East in the energy security of Europe. Energy Strategy Rev. 2023, 49, 101116. [Google Scholar] [CrossRef]
  89. Khan, K.; Su, C.; Rehman, A.; Ullah, R. Is technological innovation a driver of renewable energy? Technol. Soc. 2022, 70, 102044. [Google Scholar] [CrossRef]
  90. Shabalov, M.; Zhukovskiy, Y.; Buldysko, A.; Gil, B.; Starshaia, V. The influence of technological changes in energy efficiency on the infrastructure deterioration in the energy sector. Energy Rep. 2021, 7, 2664–2680. [Google Scholar] [CrossRef]
  91. Gielen, D.; Boshell, F.; Saygin, D.; Bazilian, M.; Wagner, N.; Gorini, R. The role of renewable energy in the global energy transformation. Energy Strategy Rev. 2019, 24, 38–50. [Google Scholar] [CrossRef]
  92. Mrozowska, S.; Wendt, J.A.; Tomaszewski, K. The Challenges of Poland’s Energy Transition. Energies 2021, 14, 8165. [Google Scholar] [CrossRef]
  93. Oei, P.-Y.; Brauers, H.; Herpich, P. Lessons from Germany’s hard coal mining phase-out: Policies and transition from 1950 to 2018. Clim. Policy 2020, 20, 963–979. [Google Scholar] [CrossRef]
  94. Aristizabal, H.G.; Goerke-Mallet, P.; Kretschmann, J.; Restrepo-Baena, O. Sustainability of coal mining. Is Germany a post-mining model for Colombia? Resour. Policy 2023, 81, 103358. [Google Scholar] [CrossRef]
  95. Ma, T.; Zhang, S.; Xiao, Y.; Liu, X.; Wang, M.; Wu, K.; Shen, G.; Huang, C.; Fang, Y.R.; Xie, Y. Costs and health benefits of the rural energy transition to carbon neutrality in China. Nat. Commun. 2023, 14, 6101. [Google Scholar] [CrossRef] [PubMed]
  96. Gudlaugsson, B.; Ahmed, T.; Dawood, H.; Ogwumike, C.; Short, M.; Dawood, N. Cost and environmental benefit analysis: An assessment of renewable energy integration and smart solution technologies in the InteGRIDy project. Clean. Energy Syst. 2023, 5, 100071. [Google Scholar] [CrossRef]
  97. Ziemba, P. Uncertain Multi-Criteria analysis of offshore wind farms projects investments—Case study of the Polish Economic Zone of the Baltic Sea. Appl. Energy 2022, 309, 118232. [Google Scholar] [CrossRef]
  98. van der Leer, J.; Calvén, A.; Glad, W.; Femenías, P.; Sernhed, K. Energy systems in sustainability-profiled districts in Sweden: A literature review and a socio-technical ecology approach for future research. Energy Res. Soc. Sci. 2023, 101, 103118. [Google Scholar] [CrossRef]
  99. Kappner, K.; Letmathe, P.; Weidinger, P. Causes and effects of the German energy transition in the context of environmental, societal, political, technological, and economic developments. Energy Sustain. Soc. 2023, 13, 28. [Google Scholar] [CrossRef]
  100. Kyriazi, A.; Miró, J. Towards a socially fair green transition in the EU? An analysis of the Just Transition Fund using the Multiple Streams Framework. Comp. Eur. Politics 2023, 21, 112–132. [Google Scholar] [CrossRef]
Figure 1. Framework of the research procedure.
Figure 1. Framework of the research procedure.
Energies 17 02689 g001
Figure 2. Detailed diagram of the steps taken in both stages of the study to determine the Energy Transformation Efficiency Index (ETEI) value.
Figure 2. Detailed diagram of the steps taken in both stages of the study to determine the Energy Transformation Efficiency Index (ETEI) value.
Energies 17 02689 g002
Figure 3. Energy security index values for assessing the effectiveness of the energy transition from 2004 to 2021.
Figure 3. Energy security index values for assessing the effectiveness of the energy transition from 2004 to 2021.
Energies 17 02689 g003
Figure 4. Economic index values for assessing the efficiency of the energy transition from 2004 to 2021.
Figure 4. Economic index values for assessing the efficiency of the energy transition from 2004 to 2021.
Energies 17 02689 g004
Figure 5. Climate index values for assessing the effectiveness of the energy transition from 2004 to 2021.
Figure 5. Climate index values for assessing the effectiveness of the energy transition from 2004 to 2021.
Energies 17 02689 g005
Figure 6. Social index values for the price of energy transition efficiency from 2004 to 2021.
Figure 6. Social index values for the price of energy transition efficiency from 2004 to 2021.
Energies 17 02689 g006
Figure 7. Values of the Energy Transformation Efficiency Index (ETEI) of Poland from 2004 to 2021.
Figure 7. Values of the Energy Transformation Efficiency Index (ETEI) of Poland from 2004 to 2021.
Energies 17 02689 g007
Figure 8. Values of indices characterizing the energy transition process in the EU-27 in 2004 and 2021 in the dimensions: energy security in 2004 (a), energy security in 2021 (b), economics in 2004 (c), economics in 2021 (d), environment in 2004 (e), environment in 2021 (f), social in 2004 (g), and social in 2021 (h); BE—Belgium, BG—Bulgaria, CZ—Czech Republic, DK—Denmark, DE—Germany, EE—Estonia, IE—Ireland, EL—Greece, ES—Spain, FR—France, HR—Croatia, IT—Italy, CY—Cyprus, LV—Latvia, LT—Lithuania, LU—Luxembourg, HU—Hungary, MT—Malta, NL—The Netherlands, AT—Austria, PL—Poland, PT—Portugal, RO—Romania, SI—Slovenia, SK—Slovakia, FI—Finland, and SE—Sweden).
Figure 8. Values of indices characterizing the energy transition process in the EU-27 in 2004 and 2021 in the dimensions: energy security in 2004 (a), energy security in 2021 (b), economics in 2004 (c), economics in 2021 (d), environment in 2004 (e), environment in 2021 (f), social in 2004 (g), and social in 2021 (h); BE—Belgium, BG—Bulgaria, CZ—Czech Republic, DK—Denmark, DE—Germany, EE—Estonia, IE—Ireland, EL—Greece, ES—Spain, FR—France, HR—Croatia, IT—Italy, CY—Cyprus, LV—Latvia, LT—Lithuania, LU—Luxembourg, HU—Hungary, MT—Malta, NL—The Netherlands, AT—Austria, PL—Poland, PT—Portugal, RO—Romania, SI—Slovenia, SK—Slovakia, FI—Finland, and SE—Sweden).
Energies 17 02689 g008aEnergies 17 02689 g008b
Figure 9. Values of the Energy Transformation Efficiency Indexes (ETEI) of the EU-27 countries in 2004 (a) and 2021 (b); BE—Belgium, BG—Bulgaria, CZ—Czech Republic, DK—Denmark, DE—Germany, EE—Estonia, IE—Ireland, EL—Greece, ES—Spain, FR—France, HR—Croatia, IT—Italy, CY—Cyprus, LV—Latvia, LT—Lithuania, LU—Luxembourg, HU—Hungary, MT—Malta, NL—The Netherlands, AT—Austria, PL—Poland, PT—Portugal, RO—Romania, SI—Slovenia, SK—Slovakia, FI—Finland, and SE—Sweden).
Figure 9. Values of the Energy Transformation Efficiency Indexes (ETEI) of the EU-27 countries in 2004 (a) and 2021 (b); BE—Belgium, BG—Bulgaria, CZ—Czech Republic, DK—Denmark, DE—Germany, EE—Estonia, IE—Ireland, EL—Greece, ES—Spain, FR—France, HR—Croatia, IT—Italy, CY—Cyprus, LV—Latvia, LT—Lithuania, LU—Luxembourg, HU—Hungary, MT—Malta, NL—The Netherlands, AT—Austria, PL—Poland, PT—Portugal, RO—Romania, SI—Slovenia, SK—Slovakia, FI—Finland, and SE—Sweden).
Energies 17 02689 g009
Table 1. Criteria information.
Table 1. Criteria information.
DimensionIndicator
Energy securityTotal primary energy supply (TPES), tonnes of oil equivalent (TOE) per capita
Energy use intensity, tonnes of oil equivalent (TOE) per capita
Energy imports dependency, %
Diversification of energy mix—HHI
Energy self-sufficiency ratio
Non-renewable source share of energy mix, %
Renewable energy source (RES) share of energy mix, %
Energy transmission and distribution losses, % of primary energy
EconomicalGross domestic product (GDP) per capita, EUR
Research and Development (R&D) expenditures, EUR per inhabitant
Energy productivity, EUR per kilogram of oil equivalent
Energy intensity, Kilograms of oil equivalent per thousand EUR
Electricity prices for non-household consumers: consumption from 500 MWh to 1999 MWh—all taxes and levies included, EUR/kilowatt
Electricity prices for household consumers: consumption from 2500 kWh to 4999 kWh—all taxes and levies included, EUR/kilowatt
Energy taxes, % of GDP
ClimateTotal greenhouse gas (GHG) emissions, t CO2 eq.
GHG emissions per unit of energy produced (kg CO2 eq./toe)
GHG emissions per unit of GDP, (tons CO2 eq./M EUR‘15)
RES share in gross final energy consumption, %
SocialHousehold disposable income per capita, EUR
Energy poverty, % of population
Unemployment, %
Table 2. Spearman correlation coefficient values (for p = 0.05).
Table 2. Spearman correlation coefficient values (for p = 0.05).
Index Value and GDPSpearman Coefficient Valuep
Energy Security Index and GDP0.4110.067
Table 3. Spearman correlation coefficient values (for p = 0.05).
Table 3. Spearman correlation coefficient values (for p = 0.05).
Index Value and GDPSpearman Coefficient Valuep
Climate Index and GDP0.9690.000
Table 4. Spearman correlation coefficient values (for p = 0.05).
Table 4. Spearman correlation coefficient values (for p = 0.05).
Index Value and GDPSpearman Coefficient Valuep
Social Index and GDP0.9940.000
Table 5. Values of weights for dimensions characterizing the energy transition process in Poland from 2004 to 2021.
Table 5. Values of weights for dimensions characterizing the energy transition process in Poland from 2004 to 2021.
DimensionMethod
CRITICStatistical VarianceEqual WeightLaplace Criterion (Adopted for Calculations)
Energetic0.4010.2590.250.303
Economical0.1880.2520.250.230
Climate0.2420.2480.250.247
Social0.1690.2410.250.220
Table 6. Spearman correlation coefficient values (for p = 0.05).
Table 6. Spearman correlation coefficient values (for p = 0.05).
Index Value and GDPSpearman Coefficient Valuep
Energy Transformation Index and GDP0.9680.000
Disclaimer/Publisher’s Note: The statements, opinions and data contained in all publications are solely those of the individual author(s) and contributor(s) and not of MDPI and/or the editor(s). MDPI and/or the editor(s) disclaim responsibility for any injury to people or property resulting from any ideas, methods, instructions or products referred to in the content.

Share and Cite

MDPI and ACS Style

Brodny, J.; Tutak, M.; Grebski, W. Empirical Assessment of the Efficiency of Poland’s Energy Transition Process in the Context of Implementing the European Union’s Energy Policy. Energies 2024, 17, 2689. https://doi.org/10.3390/en17112689

AMA Style

Brodny J, Tutak M, Grebski W. Empirical Assessment of the Efficiency of Poland’s Energy Transition Process in the Context of Implementing the European Union’s Energy Policy. Energies. 2024; 17(11):2689. https://doi.org/10.3390/en17112689

Chicago/Turabian Style

Brodny, Jarosław, Magdalena Tutak, and Wes Grebski. 2024. "Empirical Assessment of the Efficiency of Poland’s Energy Transition Process in the Context of Implementing the European Union’s Energy Policy" Energies 17, no. 11: 2689. https://doi.org/10.3390/en17112689

APA Style

Brodny, J., Tutak, M., & Grebski, W. (2024). Empirical Assessment of the Efficiency of Poland’s Energy Transition Process in the Context of Implementing the European Union’s Energy Policy. Energies, 17(11), 2689. https://doi.org/10.3390/en17112689

Note that from the first issue of 2016, this journal uses article numbers instead of page numbers. See further details here.

Article Metrics

Back to TopTop