Energy Efficiency Analysis of Waste-to-Energy Plants in Poland
Abstract
1. Introduction
2. Waste-to-Energy Plants in Poland
- -
- The name of a given WtE plant should be understood as the official name in force for that WtE plant in Poland;
- -
- The given capacity of the incineration plant is the nominal design capacity, which is considered in terms of the balance of the current WtE potential in Poland. Currently, in many Polish WtE plants, this capacity is a few percent higher as a result of modernisation (upgrading) work undertaken after start up;
- -
- Among the non-recyclable wastes directed to incineration, there are two types of municipal waste. Mixed municipal waste with code 20 03 01 and other wastes, including mixtures of materials, from mechanical waste treatment with code 19 12 12. These waste codes, according to the Polish regulation on the catalogue of wastes [25], are consistent with the European Waste Catalogue (EWC) [26]. The share of waste with code 19 12 12 varies for Polish MSW incinerators, ranging from 20% to 55% by weight of the total waste incinerated;
- -
- -
- In Table 1 under number 13, the item described as “Co-incineration in cement furnaces” is not a real waste incineration plant. It only a item, which provides the balanced information on the use of energy contained in waste for the energy-intensive clinker-burning process carried out in cement furnaces, as applied in Poland. Such use of waste energy is referred to in EU legislation as waste co-incineration and is also a type of thermal waste treatment;
- -
- Co-incineration of RDF-type waste fuels at Fortum CHP and in cement furnaces requires more physically and chemically processed types of waste fuels. For Fortum CHP Zabrze, these requirements relate to the calorific value of waste and the permissible geometric size of the fuel components, and for the cement industry, in terms of calorific value and required chemical composition.
3. R1 Energy Efficiency Formula
- Ep means annual energy produced as heat or electricity. It is calculated with energy in the form of electricity being multiplied by 2.6 and heat produced for commercial use multiplied by 1.1 (units of GJ/year);
- Ef means annual energy input to the system from fuels contributing to the production of steam (units of GJ/year);
- Ew means annual energy contained in the treated waste calculated using the lower calorific value of the waste (units of GJ/year);
- Ei means annual energy imported, excluding Ew and Ef (units of GJ/year);
- The value of 0.97 accounts for energy losses due to bottom ash and radiation.
- The factor 2.6 for electricity is based on an average European coefficient of 38% of coal plants, which means an energy demand of 2.6 kWh for producing one kWh of electricity.
- The factor 1.1 for generated heat is based on an average European coefficient of heat plants of 91%.
- Ef—annual energy input to the system from fuels contributing to the steam production, as defined by the Formula (2) parameters;
- Ew—annual energy contained in the treated waste calculated using the lower calorific value of the waste, as defined by the Formula (2);
- Ef imp—annual energy consumption at the burner during start-up and shut-down periods. It is roughly 50% of Ef;
- Ehp,mp,I imp, Ee imp, Eh imp, Eoth imp—electricity, other kinds of imported non-fuel energy such as steam and hot water, and the fuel used during start-up and shut-down processes before connecting and after disconnecting to the steam grid;
- Ex circ—energy circulated in heat or/and electricity;
- Oe exp, Ohp,mp,lp exp, Oh exp, Ohf exp—annual exported energy of electricity, other kinds energy such as steam and hot water, heat, syngas (combined total of heat plus electricity as equivalents).
4. Analysis of Energy Efficiency R1 Values for Polish WtE Plants
- The weight of the waste was determined from measurements taken at the weighbridge at the WtE plant;
- The lower caloric value was determined either based on the balance in the DCS system or based on the Regulation of the Minister of the Environment of 8 June 2016 on the technical conditions for qualifying part of the energy recovered from thermal treatment of waste (Journal of Laws of 2016, item 847) [39].
- Supplying energy to the system was unnecessary; other fuels were used for steam production. Ef = 0;
- The bleed-condensing steam turbine failed in 2023. That significantly reduced the annual energy produced as heat or electricity and decreased the Ep value and, thus, the energy efficiency R1 value.
- Annual energy imported excluding Ew and Ef, i.e., Ei = 0.00;
- The annual energy contained in the treated waste (Ew) was obtained by measuring the energy contained in the steam produced in the boiler and determining the efficiency of the steam boiler: ;
- WtE Plant ZTUOK Konin has not been the leading supplier of heat to the local district heating network for many years. The local biomass-fired heating plant fulfils that role. Therefore, the value of the Ep coefficient and, consequently, energy efficiency R1 is low.
- The annual energy imported excluding Ew and Ef, i.e., Ei = 0.00;
- The measurement of annual energy contained in the treated waste (Ew) was made based on direct waste tests carried out by an accredited laboratory;
- Currently, at the end of 2023, a significant upgrade has been carried out in terms of commissioning the installation for the condensation of the moisture contained in the treated flue gases and the resulting heat recovery. This will decisively increase the energy efficiency of ZTPO Krakow’s WtE Plant. The modernisation and its effects are worthy of a separate subsequent publication.
- The annual energy contained in the treated waste (Ew) was obtained by measuring the energy in the steam produced in the boiler and determining the efficiency of the steam boiler;
- WtE Plant ITPOK Poznań shows a systematic increase in the generation and sale of district heat from 2020 onwards, resulting in a systematic increase in the value of annual energy produced as heat, which confirms the upward trend in the Ep coefficient and thus the systematic increase in energy efficiency R1.
5. Discussion
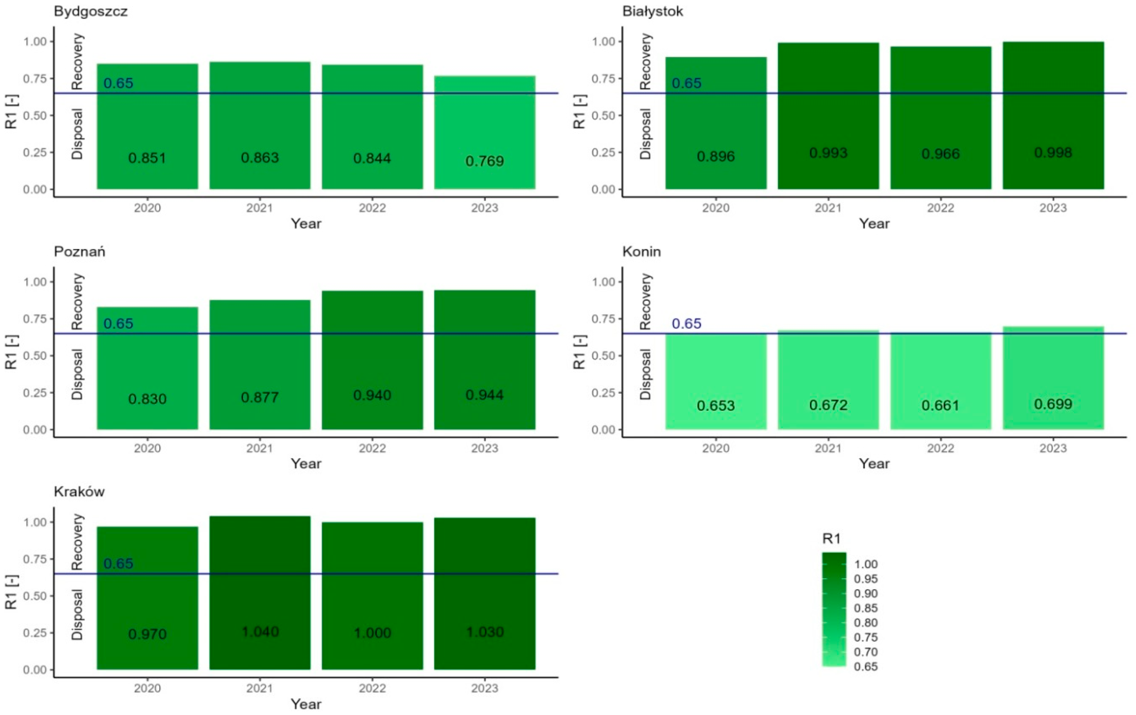
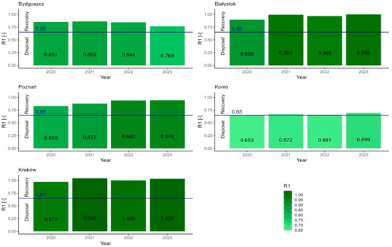
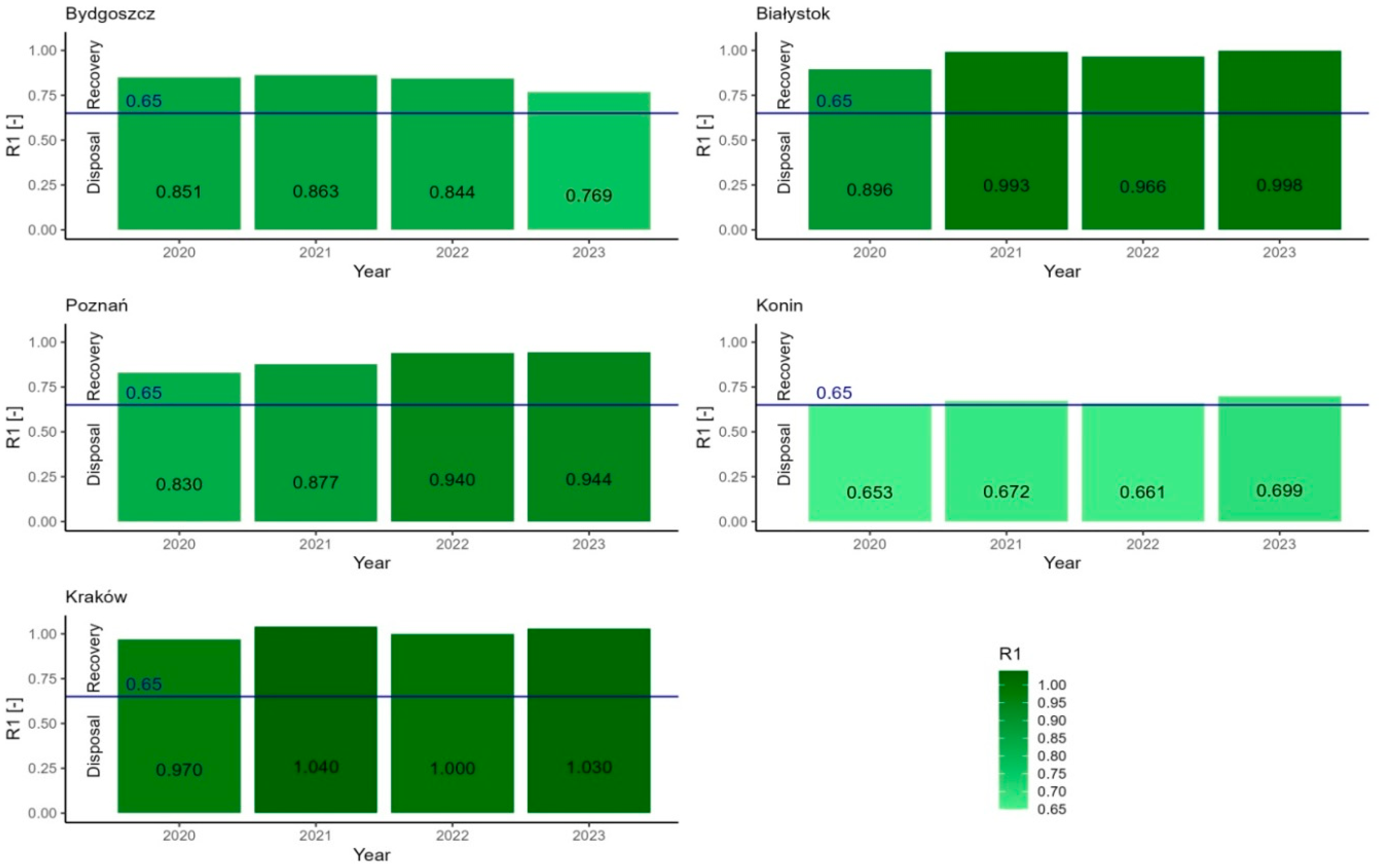
- Each of the analysed incineration plants meets the primary criterion for qualifying an incineration plant as recovering, as for each of the analysed incineration plants and each year of operation, the R1 coefficient is greater than 0.65, which is the primary statutory condition for this qualification [6]. However, significant differences can be seen, for example, when comparing the value of the R1 coefficient for the WtE Plant ZTPO Kraków and the WtE Plant ZTUOK Konin;
- The apparent differences in the value of the R1 coefficient are primarily the result of the mode of operation of a given incineration plant and, more specifically, depend on the reciprocal relationship of cogeneration, the simultaneous generation of electricity and heat in a given incineration plant, which, if such a relationship is met, leads to an increase in the energy efficiency of a given incineration plant and, at the same time, an increase in the value of the R1 coefficient. Such an incineration plant can then be considered as having the character of a combined heat and power plant (called WtE CHP—waste-to-energy combined heat and power plant) and, as mentioned at the beginning of this publication, the climatic conditions in Poland are favourable for a highly efficient mode of operation of incineration plants such as this;
- In most cases, Polish incineration plants operating as WtE CHP plants have no problems selling the heat generated in cogeneration. However, there are cases where there may be significant competition from other sources of district heating generation in the region where the incinerator is operating. Such is the case at the WtE Plant ZTUOK Konin, where the competing source of district heating is a biomass-fired heat plant, which prioritises heat sales. Hence, the values of the R1 coefficient for WtE Plant ZTUOK are very low;
- An interesting case of an orderly increase in R1 over the years 2020 to 2023 is WtE Plant ITPOK Poznań, where there has been a systematic increase in and sale of district heating in cogeneration operation since 2020 for heating and in the summer season for the domestic hot water needs of the city of Poznań;
- Also worth commenting on is the high value of R1 for WtE Plant ZUOK Białystok, which is the result of network heat sales systematised from 2021 to 2023. A similar conclusion could also be drawn for WtE Plant ZTPOK Bydgoszcz. However, in 2023, there was a failure of the steam turbine and generator (steam turbine-driven generator), resulting in a significant decrease in heat and power production and, thus, a decrease in R1;
- It is also easy to see that WtE Plant ZTPO Kraków represents the highest value of R1. That is due to modernising this incineration plant by extending it with a flue gas condensation heat recovery installation. Additional heat is then generated; thus, the parameter Ep’s value means annual energy produced as heat or electricity increases. At the same time, there is no change in the value of the parameter Ew, which is the annual energy contained in the treated waste, which, according to the R1 formula, directly increases the value of the R1.
6. Summary and Conclusions
Author Contributions
Funding
Data Availability Statement
Acknowledgments
Conflicts of Interest
References
- European Commission. Communication from the Commission to the European Parliament, the European Council, the Council, the European Economic and Social Committee and the Committee of the Regions. The European Green Deal.COM (2019) 640 Final. Brussels, 11.12.2019. Available online: https://eur-lex.europa.eu/legal-content/EN/TXT/?uri=CELEX:52019DC0640 (accessed on 17 February 2024).
- Commission Welcomes Completion of Key ‘Fit for 55’ Legislation, Putting EU on Track to Exceed 2030 Targets. Available online: https://ec.europa.eu/commission/presscorner/detail/en/IP_23_4754 (accessed on 17 February 2024).
- Directive (EU) 2023/1791 of the European Parliament and of the Council of 13 September 2023 on Energy Efficiency and Amending Regulation (EU) 2023/955 (Recast). Available online: https://eur-lex.europa.eu/legal-content/EN/TXT/PDF/?uri=CELEX:32023L1791 (accessed on 17 February 2024).
- Industry Barometer Waste-to-Energy 2023; CEWEP, ECOPROG: Cologne, Germany, 2023.
- Poretti, F.; Stengler, E. The Climate Roadmap of the European Waste-to-Energy Sector. The Path to Carbon Negative. In Proceedings of the 16th International Conference on Greenhouse Gas Control Technologies, GHGT-16, Lyon, France, 23–27 October 2022; Available online: https://papers.ssrn.com/sol3/papers.cfm?abstract_id=4284664 (accessed on 17 February 2024).
- Waste Framework Directive (EU) 2018/851 of the European Parliament and of the Council of 30 May 2018 Amending Directive 2008/98/EC on Waste (Text with EEA Relevance). Available online: https://eur-lex.europa.eu/eli/dir/2018/851/oj (accessed on 17 February 2024).
- Debunking Efficient Recovery. The Performance of EU Incineration Facilities. Equanimator Ltd. for Zero Waste Europe. Report January 2023. Available online: https://zerowasteeurope.eu/wp-content/uploads/2023/01/Debunking-Efficient-Recovery-Full-Report-EN.docx.pdf (accessed on 17 February 2024).
- Studie: Perspektiven der Thermischen Abfallbehandlung-Roadmap 2040. Prof. Martin Faulstich. Im Auftrag der ITAD–Interessengemeinschaft der Thermischen Abfallbehandlungsanlagen in Deutschland e.V. August 2020. Available online: https://www.itad.de/wissen/studien/tab_roadmap-2040.pdf (accessed on 17 February 2024).
- Pająk, T. Municipal solid waste as an efficient and renewable source of energy. Pol. J. Environ. Studies 2012, 21, 332–337. [Google Scholar]
- Available online: https://wikiwaste.org.uk/R1_Recovery_Facility (accessed on 17 February 2024).
- Available online: https://consult.environment-agency.gov.uk/psc/ba13-4we-northacre-renewable-energy-limited/supporting_documents/Application%20%20Bespoke%20%20Appendix%20K%20%20R1%20Technical%20Note.pdf (accessed on 17 February 2024).
- Basaran, A. A study on the renewable energy potential of incineration of municipal solid wastes produced in Izmir province. Int. Adv. Res. Eng. J. 2022, 6, 123–131. [Google Scholar] [CrossRef]
- Kwon, Y. Evaluation of Incinerator Performance and Policy Framework for Effective Waste Management and Energy Recovery: A Case Study of South Korea. Sustainability 2024, 16, 448. [Google Scholar] [CrossRef]
- European Commission. Communication from the Commission to the European Parliament, the Council, the European Economic and Social Committee and the Committee of the Regions. The Role of Waste-to-Energy in the Circular Economy. The Role of Waste-to-Energy in the Circular Economy. COM (2017) 34 Final. Brussels, 26.1.2017. Available online: https://eur-lex.europa.eu/legal-content/EN/TXT/HTML/?uri=CELEX%3A52017DC0034 (accessed on 17 February 2024).
- Available online: https://ec.europa.eu/eurostat/statistics-explained/index.php?title=Waste_management_indicators (accessed on 17 February 2024).
- Waste-to-Energy Climate Roadmap. Technical Annex (TA). Main Assumptions & Methodology. CEWEP Confederation of European Waste-to-Energy Plants. June 2022. Available online: https://www.cewep.eu/wp-content/uploads/2022/06/TA-Technical-Annex_CEWEP-Climate-Roadmap_June22.pdf (accessed on 17 February 2024).
- International Energy Agency GHG Program (IEAGHG), “CCS on Waste to Energy”, 2020-06, December 2020. Available online: https://www.club-co2.fr/files/2021/01/2020-06-CCS-on-Waste-to-Energy.pdf (accessed on 17 February 2024).
- Parliamentary Questions 3 February 2021, Subject: Contribution of Waste-to-Energy Plants to Reducing CO2 Emissions, 19 February 2021. Available online: https://www.europarl.europa.eu/doceo/document/E-9-2021-000670_EN.html (accessed on 17 February 2024).
- Commission Implementing Decision (EU) 2019/2010 of 12 November 2019 Establishing the Best Available Techniques (BAT) Conclusions, under Directive 2010/75/EU of the European Parliament and of the Council, for Waste Incineration (Notified under Document C (2019) 7987). Available online: https://eur-lex.europa.eu/legal-content/EN/TXT/PDF/?uri=CELEX:32019D2010 (accessed on 17 February 2024).
- Guidelines on the Interpretation of the R1 Energy Efficiency Formula for Incineration Facilities Dedicated to the Processing of Municipal Solid Waste According to Annex II of Directive 2008/98/EC on Waste. Available online: https://ec.europa.eu/environment/pdf/waste/framework/guidance.pdf (accessed on 17 February 2024).
- European Commission. Operational Programme Infrastructure and Environment 2007–2013. Available online: https://trimis.ec.europa.eu/programme/operational-programme-infrastructure-and-environment-2007-2013 (accessed on 17 February 2024).
- Pająk, T. Polish Waste-to-Energy Projects and Their Perspectives; Thomé-Kozmiensky, K.J., Thiel, S., Eds.; Waste Management. Volume 3, Recycling and Recovery; TK Verlag Karl Thomé-Kozmiensky: Neuruppin, Germany, 2012; pp. 87–95. ISBN 978-3-935317-83-2. [Google Scholar]
- Termiczne Przekształcanie Odpadów Komunalnych w Polsce w 2021 r. Instytut Ochrony Środowiska. Państwowy Instytut Badawczy. Warszawa 2021. Available online: https://ios.edu.pl/wp-content/uploads/2023/12/raport-termika.pdf (accessed on 17 February 2024).
- Spajamy Europejski Zielony Ład—Osiągnięcie Neutralności Emisyjnej w Łańcuchu Eartości Cementu i Betonu do Roku 2050. The European Cement Association. Polish Cement Association. Available online: https://www.polskicement.pl/mapa-drogowa-2050/ (accessed on 17 February 2024).
- Regulation of the Minister of Climate of January 2, 2020 on the Catalogue of Wastes. Poland. Journal of Laws 2020 Pos. 10. Original Title: Rozporządzenie Ministra Klimatu z dnia 2 Stycznia 2020 r. w Sprawie katalogu odpadów. (Dz. U. 2020 poz. 10). Available online: https://leap.unep.org/en/countries/pl/national-legislation/regulation-catalogue-wastes-0 (accessed on 17 February 2024).
- Commission of the European Communities. Guidance on Classification of Waste According to EWC-Stat Categories. Available online: https://ec.europa.eu/eurostat/documents/342366/351806/Guidance-on-EWCStat-categories-2010.pdf/0e7cd3fc-c05c-47a7-818f-1c2421e55604 (accessed on 17 February 2024).
- Rachael Lew. Moving Grate Incineration: The Most Common WTE Technology. 29 November 2022. Available online: https://www.bioenergyconsult.com/moving-grate-incineration/#google_vignette (accessed on 17 February 2024).
- Cyranka, M.; Jurczyk, M. Energy recovery from municipal waste based on moving grate technology. Agric. Eng. 2016, 20, 23–33. [Google Scholar] [CrossRef][Green Version]
- Główny Urząd Statystyczny. Ochrona środowiska 2023. Warszawa 2023. Statistics Poland. Environment 2023. Warsaw 2023. Available online: https://stat.gov.pl›ochrona_srodowiska_2023 (accessed on 17 February 2024).
- Circular Economy—European Commission. Available online: https://environment.ec.europa.eu/topics/circular-economy_en (accessed on 17 February 2024).
- Krajowy Plan GospodarkiOdpadami 2028. National Waste Management Plan 2028. Available online: https://isap.sejm.gov.pl/isap.nsf/download.xsp/WMP20230000702/O/M20230702.pdf (accessed on 17 February 2024).
- National Fund for Environmental Protection and Water Management. Available online: https://www.gov.pl/web/nfosigw-en (accessed on 17 February 2024).
- Budowa Zakładu Odzysku Energii—Trzeciej Linii z Dofinansowaniem. Construction of the Energy Recovery Plant—Third Line with Co-Financing. Available online: https://khk.krakow.pl/pl/aktualnosci/budowa-zakladu-odzysku-energii-trzeciej-linii-z-dofinansowaniem-nfosigw/ (accessed on 17 February 2024).
- Powstanie II Linia ITPOE w Rzeszowie. The Second ITPOE Line Will Be Built in Rzeszów. Available online: https://pgeenergiaciepla.pl/aktualnosci/powstanie-ii-linia-itpoe-w-rzeszowie (accessed on 17 February 2024).
- Budowa Instalacji Termicznego Przekształcania Odpadów (ITPO). Construction of the Energy Recovery Facility. Available online: https://www.veolia.pl/budowa-instalacji-termicznego-przeksztalcania-odpadow-itpo (accessed on 17 February 2024).
- Hoque, K.M.R.; Ozansoy, C.; Fahrioglu, M. Climate and Size Correction in European Union’s Waste Framework Directive and R1 Energy Efficiency Criteria. Waste Manag. Res. 2018, 36, 670–688. [Google Scholar] [CrossRef] [PubMed]
- Medarac, H.; Scarlat, N.; Monforti, F.; Bódis, K. Report on the Impact of R1 Climate Correction Factor on the Waste-to-Energy (WtE) Plants Based on Data Provided by Member States. European Commission. Joint Research Centre. Technical Report. September 2014. Available online: https://www.researchgate.net/publication/265600682_Report_on_the_impact_of_R1_climate_correction_factor_on_the_Waste-toEnergy_WtE_plants_based_on_data_provided_by_Member_States (accessed on 17 February 2024).
- EUROSTAT Statistics Explained. Heating and Cooling Degree Days—Statistics. Available online: https://ec.europa.eu/eurostat/statistics-explained/index.php?title=Heating_and_cooling_degree_days_-_statistics (accessed on 17 February 2024).
- Rozporządzenie Ministra Środowiska z dn. 8 Czerwca 2016 r. w Sprawiewarunkówtechnicznychkwalifikowaniaczęścienergiiodzyskanej z Termicznego Przekształcania Odpadów (Dz. U. 2016, poz. 847). Regulation of the Minister of the Environment of 8 June, 2016 on the Technical Conditions for Qualifying Part of the Energy Recovered from Thermal Treated of Waste (Journal of Laws of 2016, Item 847). Available online: https://isap.sejm.gov.pl/isap.nsf/download.xsp/WDU20160000847/O/D20160847.pdf (accessed on 17 February 2024).







| No. | WtE Plant Name | Launch Year | Capacity Mg/Year | Kind of Waste | Technology, Comments |
|---|---|---|---|---|---|
| 1. | ZUOK Białystok | December 2015 | 120,000 | non-recyclable waste, code 200301 and 191212 (RDF) | 1 line, moving grate boiler technology |
| 2. | ZTPOK Bydgoszcz | February 2016 | 180,000 | non-recyclable waste, code 200301 and 191212 (RDF) | 2 lines, moving grate boiler technology |
| 3. | ZTUOK Konin | December 2015 | 94,000 | non-recyclable waste, code 200301 and 191212 (RDF) | 1 line, moving grate boiler technology |
| 4. | ZTPO Kraków | June 2016 | 220,000 | non-recyclable waste, code 200301 and 191212 (RDF) | 2 lines, moving grate boiler technology Planned 3rd line—100 tys. Mg/year |
| 5. | ITPOK Poznań | December 2016 | 210,000 | non-recyclable waste, code 200301 | 2 lines, moving grate boiler technology |
| 6. | ZTUO Szczecin | January 2018 | 150,000 | non-recyclable waste, code 200301 and 191212 (RDF) | 2 lines, moving grate boiler technology |
| 7. | ITPOE Rzeszów | December 2018 | 100,000 | non-recyclable waste, code 200301 and 191212 (RDF) | 1 line, moving grate boiler technology Planned 2nd line—80 tys. Mg/year |
| 8. | ZUSOK 1 Warszawa | April 2001 | 40,000 | non-recyclable waste, code 200301 | 1 line, moving grate technology |
| Total capacity of items 1–8 | 1,114,000 | ||||
| 9. | Fortum CHP Plant Zabrze | September 2018 | 250,000 | co-incineration of non-recyclable waste, code 191212 (RDF) | circulation fluidised bed (CFB) |
| Total capacity of item 9 | 250,000 | ||||
| 10. | ITPO Olsztyn | February 2024 | 110,000 | non-recyclable waste, code 191212 (RDF) | 1 line, moving grate boiler technology |
| 11. | ZTPO Gdańsk | March 2024 | 160,000 | non-recyclable waste, code 191212 (RDF) | 1 line, moving grate boiler technology |
| 12. | ZUSOK 2 Warszawa | Planned for December 2024 | 265,000 | non-recyclable waste, code 200301 and 191212 (RDF) | 2 lines, moving grate boiler technology ZUSOK1 extension |
| Total capacity of items 10–12 | 535,000 | ||||
| 13. | Co-incineration in cement furnaces | Achieved in 2024 | 1,100,000 | Co-incineration of non-recyclable waste, code 191212 (high-quality RDF) | Clinker-burning furnaces |
| Total Poland’s potential 2024 in terms of WtE | 3,000,000 Mg/year | ||||
| Factor | 2020 | 2021 | 2022 | 2023 |
|---|---|---|---|---|
| Ep—annual energy produced as heat or electricity [GJ/year] | 889,011.2 | 890,557.8 | 892,589 | 822,000.2 |
| Ew—annual energy contained in the treated waste [GJ/year] | 1,015,911 | 919,464 | 947,393 | 837,985 |
| Ef—annual energy input to the system from fuels [GJ/year] | 866.5 | 610.5 | 620.9 | 2425.3 |
| Ei—annual energy imported [GJ/year] | 4183 | 3785.9 | 3827.8 | 5933.1 |
| Climate correction factor CCF [-] | 1.0 | 1.0 | 1.0 | 1.0 |
| Energy Efficiency R1 [-] | 0.896 | 0.993 | 0.966 | 0.998 |
| MY (mass yield)—mass of thermally treated waste [Mg/year] | 107,600 | 111,132 | 113,067 | 107,308 |
| ALHV (average lower heating value) [MJ/kg] | 9.44 | 8.27 | 8.38 | 7.81 |
| Factor | 2020 | 2021 | 2022 | 2023 |
|---|---|---|---|---|
| Ep [GJ/year] | 1,002,232 | 1,085,988 | 1,090,687 | 968,569 |
| Ew [GJ/year] | 1,203,556 | 1,289,506 | 1,320,670 | 1,291,688 |
| Ef [GJ/year] | 0.00 | 0.00 | 0.00 | 0.00 |
| Ei [GJ/year] | 8779.7 | 6947.5 | 9538.7 | 4595.7 |
| CCF [-] | 1.0 | 1.0 | 1.0 | 1.0 |
| R1 [-] | 0.851 | 0.863 | 0.844 | 0.769 |
| MY [Mg/year] | 159,104 | 157,645 | 160,327 | 161,168 |
| ALHV [MJ/kg] | 7.56 | 8.18 | 8.24 | 8.02 |
| Factor | 2020 | 2021 | 2022 | 2023 |
|---|---|---|---|---|
| Ep [GJ/year] | 582,450 | 614,851 | 595,803 | 631,463 |
| Ew [GJ/year] | 914,241.6 | 938,660.3 | 924,886.4 | 929,734.7 |
| Ef [GJ/year] | 2152.7 | 2003.7 | 1922.8 | 2.502.6 |
| Ei [GJ/year] | 0.00 | 0.00 | 0.00 | 0.00 |
| CCF [-] | 1.0 | 1.0 | 1.0 | 1.0 |
| R1 [-] | 0.653 | 0.672 | 0.661 | 0.699 |
| MY [Mg/year] | 81,314 | 83,910 | 85,468 | 89,494 |
| ALHV [MJ/kg] | 11.24 | 11.18 | 10.82 | 10.39 |
| Factor | 2020 | 2021 | 2022 | 2023 |
|---|---|---|---|---|
| Ep [GJ/year] | 2,043,406 | 2,129,051 | 2,096,412 | 2,158,921 |
| Ew [GJ/year] | 2,144,465 | 2,098,802 | 2,152,884 | 2,105,967 |
| Ef [GJ/year] | 7796.6 | 6446.7 | 9368.8 | 24,895 |
| Ei [GJ/year] | 0.00 | 0.00 | 0.00 | 0.00 |
| CCF [-] | 1.0 | 1.0 | 1.0 | 1.0 |
| R1 [-] | 0.97 | 1.04 | 1.00 | 1.03 |
| MY [Mg/year] | 224,082 | 232,429 | 230,335 | 232,215 |
| ALHV [MJ/kg] | 9.57 | 9.03 | 9.34 | 9.08 |
| Factor | 2020 | 2021 | 2022 | 2023 |
|---|---|---|---|---|
| Ep [GJ/year] | 1,402,109 | 1,450,103 | 1,540,909 | 1,576,216 |
| Ew [GJ/year] | 1,713,895 | 1,696,988 | 1,679,500 | 1,715,228 |
| Ef [GJ/year] | 1171.8 | 932.3 | 963.6 | 824.1 |
| Ei [GJ/year] | 4966.2 | 5172.4 | 8477.0 | 3624.7 |
| CCF [-] | 1.0 | 1.0 | 1.0 | 1.0 |
| R1 [-] | 0.830 | 0.877 | 0.940 | 0.944 |
| MY [Mg/year] | 210,000 | 212,697 | 209,818 | 205,963 |
| ALHV [MJ/kg] | 8.20 | 7.98 | 8.00 | 8.33 |
Disclaimer/Publisher’s Note: The statements, opinions and data contained in all publications are solely those of the individual author(s) and contributor(s) and not of MDPI and/or the editor(s). MDPI and/or the editor(s) disclaim responsibility for any injury to people or property resulting from any ideas, methods, instructions or products referred to in the content. |
© 2024 by the authors. Licensee MDPI, Basel, Switzerland. This article is an open access article distributed under the terms and conditions of the Creative Commons Attribution (CC BY) license (https://creativecommons.org/licenses/by/4.0/).
Share and Cite
Banaś, M.; Pająk, T.; Bator, J.; Wróbel, W.; Ciuła, J. Energy Efficiency Analysis of Waste-to-Energy Plants in Poland. Energies 2024, 17, 2390. https://doi.org/10.3390/en17102390
Banaś M, Pająk T, Bator J, Wróbel W, Ciuła J. Energy Efficiency Analysis of Waste-to-Energy Plants in Poland. Energies. 2024; 17(10):2390. https://doi.org/10.3390/en17102390
Chicago/Turabian StyleBanaś, Marian, Tadeusz Pająk, Jakub Bator, Wojciech Wróbel, and Józef Ciuła. 2024. "Energy Efficiency Analysis of Waste-to-Energy Plants in Poland" Energies 17, no. 10: 2390. https://doi.org/10.3390/en17102390
APA StyleBanaś, M., Pająk, T., Bator, J., Wróbel, W., & Ciuła, J. (2024). Energy Efficiency Analysis of Waste-to-Energy Plants in Poland. Energies, 17(10), 2390. https://doi.org/10.3390/en17102390

