A Low-Density Polyethylene-Reinforced Ternary Phase-Change Composite with High Thermal Conductivity for Battery Thermal Management
Abstract
1. Introduction
2. Materials and Methods
2.1. Materials
2.2. Preparation of EG/LDPE/Paraffin Composites
2.3. Characterization of Composite PCMs
2.4. Thermal Management Performance Test of Composite PCMs
3. Results
3.1. Microstructural Analysis of the Composite PCMs
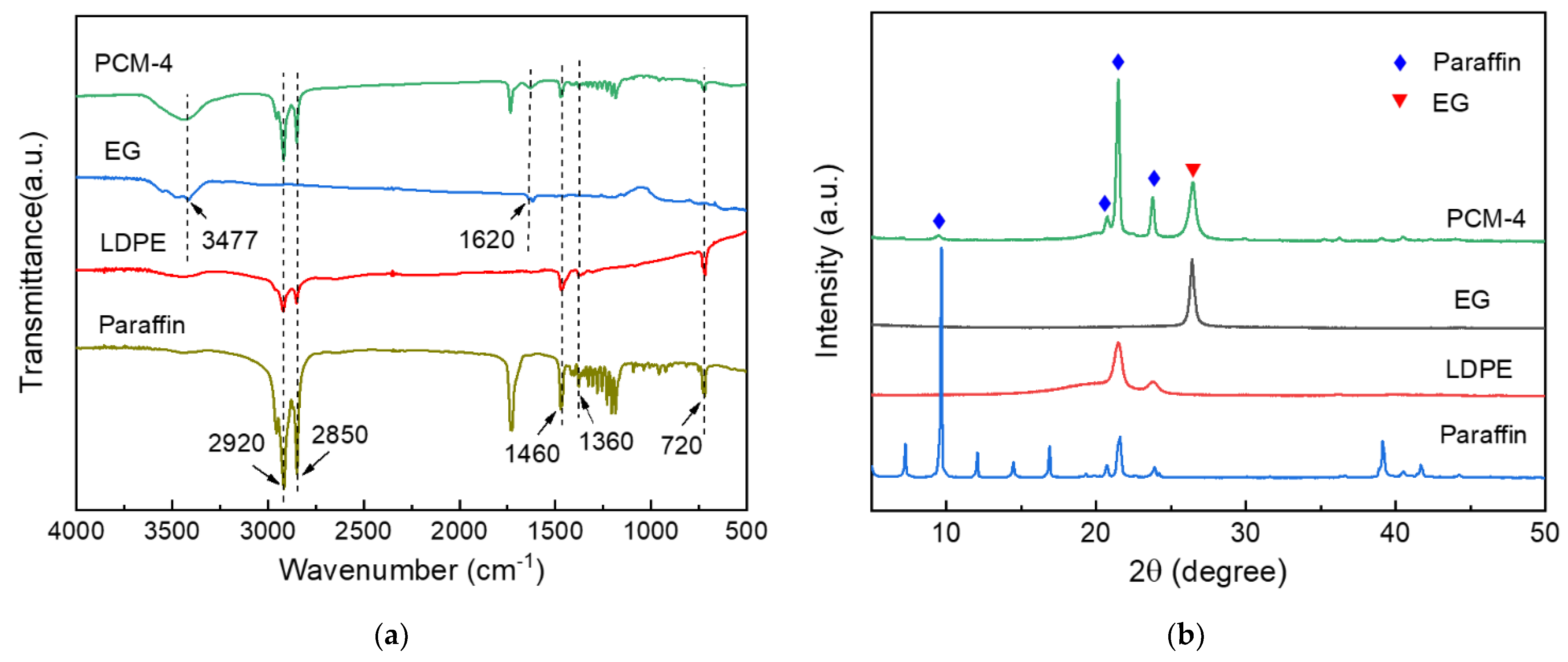
3.2. Chemical Composition and Crystalline Structure of the Composite PCMs
3.3. Thermal Properties of the Composite PCMs
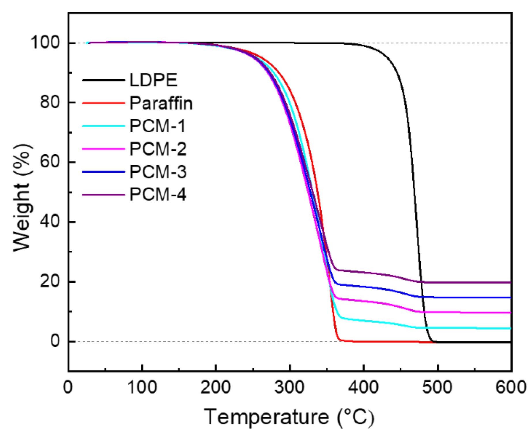
3.4. Weight Loss Ratios of the Composite PCMs
3.5. Thermal Management Properties of the Composite PCMs
4. Conclusions
Author Contributions
Funding
Data Availability Statement
Acknowledgments
Conflicts of Interest
References
- Ibrahim, A.; Jiang, F.M. The electric vehicle energy management: An overview of the energy system and related modeling and simulation. Renew. Sust. Energ. Rev. 2021, 144, 111049. [Google Scholar] [CrossRef]
- He, C.; Li, M.; Wang, F.; Zheng, J. Simulation study of a cylindrical battery module. J. Energy Storage 2022, 48, 104000. [Google Scholar] [CrossRef]
- Li, J.; Huang, J.; Cao, M. Properties enhancement of phase-change materials via silica and Al honeycomb panels for the thermal management of LiFeO4 batteries. Appl. Therm. Eng. 2018, 131, 660–668. [Google Scholar] [CrossRef]
- Zichen, W.; Changqing, D. A comprehensive review on thermal management systems for power lithium-ion batteries. Renew. Sustain. Energy Rev. 2021, 139, 110685. [Google Scholar] [CrossRef]
- Ramadass, P.; Haran, B.; White, R.; Popov, B.N. Capacity fade of Sony 18650 cells cycled at elevated temperatures. J. Power Sources 2002, 112, 614–620. [Google Scholar] [CrossRef]
- Motloch, C.G.; Christophersen, J.P.; Belt, J.R.; Wright, R.B.; Hunt, G.L.; Sutula, R.A.; Duong, T.; Tartamella, T.J.; Haskins, H.J.; Miller, T.J. High-Power Battery Testing Procedures and Analytical Methodologies for HEVs. SAE Trans. 2002, 111, 797–802. [Google Scholar]
- Landini, S.; Leworthy, J.; O’Donovan, T.S. A Review of Phase Change Materials for the Thermal Management and Isothermalisation of Lithium-Ion Cells. J. Energy Storage 2019, 25, 100887. [Google Scholar] [CrossRef]
- Wei, Z.; Zhao, J.; Xiong, B. Dynamic electro-thermal modeling of all-vanadium redox flow battery with forced cooling strategies. Appl. Energy 2014, 135, 1–10. [Google Scholar] [CrossRef]
- Wu, W.; Wang, S.; Wu, W.; Chen, K.; Hong, S.; Lai, Y. A critical review of battery thermal performance and liquid based battery thermal management. Energy Convers. Manag. 2019, 182, 262–281. [Google Scholar] [CrossRef]
- Al-Hallaj, S.; Selman, J.R. Thermal modeling of secondary lithium batteries for electric vehicle/hybrid electric vehicle applications. J. Power Sources 2002, 110, 341–348. [Google Scholar] [CrossRef]
- Sabbah, R.; Kizilel, R.; Selman, J.R.; Al-Hallaj, S. Active (air-cooled) vs. passive (phase change material) thermal management of high power lithium-ion packs: Limitation of temperature rise and uniformity of temperature distribution. J. Power Sources 2008, 182, 630–638. [Google Scholar] [CrossRef]
- Tiskatine, R.; Aharoune, A.; Bouirden, L.; Ihlal, A. Identification of suitable storage materials for solar thermal power plant using selection methodology. Appl. Therm. Eng. 2017, 117, 591–608. [Google Scholar] [CrossRef]
- Reddy, K.S.; Mudgal, V.; Mallick, T.K. Review of latent heat thermal energy storage for improved material stability and effective load management. J. Energy Storage 2018, 15, 205–227. [Google Scholar] [CrossRef]
- Lazrak, A.; Fourmigué, J.-F.; Robin, J.-F. An innovative practical battery thermal management system based on phase change materials: Numerical and experimental investigations. Appl. Therm. Eng. 2018, 128, 20–32. [Google Scholar] [CrossRef]
- Sharma, R.K.; Ganesan, P.; Tyagi, V.V.; Metselaar, H.S.C.; Sandaran, S.C. Developments in organic solid–liquid phase change materials and their applications in thermal energy storage. Energy Convers. Manag. 2015, 95, 193–228. [Google Scholar] [CrossRef]
- Kahwaji, S.; White, M.A. Organic Phase Change Materials for Thermal Energy Storage: Influence of Molecular Structure on Properties. Molecules 2021, 26, 6635. [Google Scholar] [CrossRef] [PubMed]
- Wang, J.; Hao, Y.; Zhu, B.; Han, T.; Li, Z.; Zhang, J. Crystalline Behavior of Paraffin Wax. J. Phys. Chem. B 2022, 126, 985–995. [Google Scholar] [CrossRef]
- Chang, Z.; Wang, K.; Wu, X.; Lei, G.; Wang, Q.; Liu, H.; Wang, Y.; Zhang, Q. Review on the preparation and performance of paraffin-based phase change microcapsules for heat storage. J. Energy Storage 2022, 46, 103840. [Google Scholar] [CrossRef]
- Umair, M.M.; Zhang, Y.; Iqbal, K.; Zhang, S.; Tang, B. Novel strategies and supporting materials applied to shape-stabilize organic phase change materials for thermal energy storage—A review. Appl. Energy 2019, 235, 846–873. [Google Scholar] [CrossRef]
- Liu, L.; Su, D.; Tang, Y.; Fang, G. Thermal conductivity enhancement of phase change materials for thermal energy storage: A review. Renew. Sustain. Energy Rev. 2016, 62, 305–317. [Google Scholar] [CrossRef]
- Mishra, D.K.; Bhowmik, C.; Bhowmik, S.; Pandey, K.M. Property-enhanced paraffin-based composite phase change material for thermal energy storage: A review. Env. Sci. Pollut. Res. Int. 2022, 29, 43556–43587. [Google Scholar] [CrossRef] [PubMed]
- Lv, P.; Liu, C.; Rao, Z. Review on clay mineral-based form-stable phase change materials: Preparation, characterization and applications. Renew. Sustain. Energy Rev. 2017, 68, 707–726. [Google Scholar] [CrossRef]
- Hamidi, E.; Ganesan, P.B.; Sharma, R.K.; Yong, K.W. Computational study of heat transfer enhancement using porous foams with phase change materials: A comparative review. Renew. Sustain. Energy Rev. 2023, 176, 113196. [Google Scholar] [CrossRef]
- Li, M.; Mu, B. Effect of different dimensional carbon materials on the properties and application of phase change materials: A review. Appl. Energy 2019, 242, 695–715. [Google Scholar] [CrossRef]
- Liu, Z.-X.; Jiang, L.-Y.; Wang, X.-X.; Ma, M.-J.; Lu, Q.-Q.; Liang, P. Novel expanded graphite with a ‘Spitball’ structure. Mater. Sci. Technol. 2021, 38, 1–4. [Google Scholar] [CrossRef]
- Zhang, Z.; Fang, X. Study on paraffin/expanded graphite composite phase change thermal energy storage material. Energy Convers. Manag. 2006, 47, 303–310. [Google Scholar] [CrossRef]
- Dong, Q.; Sun, B.; Dong, Z.; Tian, Y.; Zhu, H.; Yuan, G.; Cong, Y.; Li, B.; Guo, J.; Li, X. Construction of highly efficient heat conduction channels within expanded graphite/paraffin phase change composites and their thermophysical properties. Energy Rep. 2022, 8, 7071–7084. [Google Scholar] [CrossRef]
- Lv, Y.; Yang, X.; Li, X.; Zhang, G.; Wang, Z.; Yang, C. Experimental study on a novel battery thermal management technology based on low density polyethylene-enhanced composite phase change materials coupled with low fins. Appl. Energy 2016, 178, 376–382. [Google Scholar] [CrossRef]
- JianShe, H.; Chao, Y.; Xu, Z.; Jiao, Z.; JinXing, D. Structure and thermal properties of expanded graphite/paraffin composite phase change material. Energy Sources Part A Recovery Util. Environ. Eff. 2018, 41, 86–93. [Google Scholar] [CrossRef]
- Drissi, S.; Ling, T.-C.; Mo, K.H. Thermal efficiency and durability performances of paraffinic phase change materials with enhanced thermal conductivity—A review. Thermochim. Acta 2019, 673, 198–210. [Google Scholar] [CrossRef]
- Liu, S.; Fei, X.; Zhang, B.; Zhao, H.; Wan, M. Expanded graphite/paraffin/silica phase change composites with high thermal conductivity and low permeability prepared by the solid-state wet grinding method. Sol. Energy Mater. Sol. Cells 2022, 236, 111484. [Google Scholar] [CrossRef]
- Liu, X.; Wang, C.; Wu, T.; Li, Z.; Wu, C. A novel stable and flexible composite phase change materials for battery thermal management. Appl. Therm. Eng. 2022, 212, 118510. [Google Scholar] [CrossRef]
- Chriaa, I.; Karkri, M.; Trigui, A.; Jedidi, I.; Abdelmouleh, M.; Boudaya, C. The performances of expanded graphite on the phase change materials composites for thermal energy storage. Polymer 2021, 212, 123128. [Google Scholar] [CrossRef]
- Liu, C.; Song, Y.; Xu, Z.; Zhao, J.; Rao, Z. Highly efficient thermal energy storage enabled by a hierarchical structured hypercrosslinked polymer/expanded graphite composite. Int. J. Heat Mass Transf. 2020, 148, 119068. [Google Scholar] [CrossRef]
- Wu, M.; Li, T.; He, Q.; Du, R.; Wang, R. Thermally conductive and form-stable phase change composite for building thermal management. Energy 2022, 239, 121938. [Google Scholar] [CrossRef]
- Zhang, H.; Wang, L.; Xi, S.; Xie, H.; Yu, W. 3D porous copper foam-based shape-stabilized composite phase change materials for high photothermal conversion, thermal conductivity and storage. Renew. Energy 2021, 175, 307–317. [Google Scholar] [CrossRef]
- Lu, B.; Zhang, Y.; Sun, D.; Jing, X. Experimental investigation on thermal properties of paraffin/expanded graphite composite material for low temperature thermal energy storage. Renew. Energy 2021, 178, 669–678. [Google Scholar] [CrossRef]
- Cai, W.; Yang, W.; Jiang, Z.; He, F.; Zhang, K.; He, R.; Wu, J.; Fan, J. Numerical and experimental study of paraffin/expanded graphite phase change materials with an anisotropic model. Sol. Energy Mater. Sol. Cells 2019, 194, 111–120. [Google Scholar] [CrossRef]
- Guo, X.; Zhang, S.; Cao, J. An energy-efficient composite by using expanded graphite stabilized paraffin as phase change material. Compos. Part A Appl. Sci. Manuf. 2018, 107, 83–93. [Google Scholar] [CrossRef]
- Li, R.; Zhou, Y.; Duan, X. A novel composite phase change material with paraffin wax in tailings porous ceramics. Appl. Therm. Eng. 2019, 151, 115–123. [Google Scholar] [CrossRef]
- Ren, X.; Shen, H.; Yang, Y.; Yang, J. Study on the properties of a novel shape-stable epoxy resin sealed expanded graphite/paraffin composite PCM and its application in buildings. Phase Transit. 2019, 92, 581–594. [Google Scholar] [CrossRef]
- Tao, Z.; Wang, H.; Liu, J.; Zhao, W.; Liu, Z.; Guo, Q. Dual-level packaged phase change materials – thermal conductivity and mechanical properties. Sol. Energy Mater. Sol. Cells 2017, 169, 222–225. [Google Scholar] [CrossRef]
- Xiao, C.; Zhang, G.; Li, Z.; Yang, X. Custom design of solid–solid phase change material with ultra-high thermal stability for battery thermal management. J. Mater. Chem. A 2020, 8, 14624–14633. [Google Scholar] [CrossRef]
- Jiang, G.; Huang, J.; Fu, Y.; Cao, M.; Liu, M. Thermal optimization of composite phase change material/expanded graphite for Li-ion battery thermal management. Appl. Therm. Eng. 2016, 108, 1119–1125. [Google Scholar] [CrossRef]
- Ling, Z.; Chen, J.; Fang, X.; Zhang, Z.; Xu, T.; Gao, X.; Wang, S. Experimental and numerical investigation of the application of phase change materials in a simulative power batteries thermal management system. Appl. Energy 2014, 121, 104–113. [Google Scholar] [CrossRef]











| Sample | Paraffin (g) | EG (g) | LDPE (g) |
|---|---|---|---|
| S−1 | 90 | 10 | 0 |
| PCM−1 | 93 | 5 | 2 |
| PCM−2 | 86 | 10 | 4 |
| PCM−3 | 79 | 15 | 6 |
| PCM−4 | 72 | 20 | 8 |
| Sample | Melt | Solidification | Thermal Conductivity K (Wm−1K−1) | ||
|---|---|---|---|---|---|
| Tm (°C) | ∆Hm (J/g) | Ts (°C) | ∆Hs (J/g) | ||
| Paraffin | 42.79 | 205.20 | 36.22 | 203.89 | 0.21 |
| PCM−1 | 43.46 | 192.14 | 36.80 | 191.79 | 2.09 |
| PCM−2 | 43.04 | 172.06 | 34.96 | 170.97 | 3.85 |
| PCM−3 | 42.42 | 157.81 | 34.34 | 154.96 | 5.39 |
| PCM−4 | 42.88 | 144.08 | 33.55 | 140.71 | 5.62 |
| Sample | K (Wm−1K−1) | ∆Hm (J/g) | Ref |
|---|---|---|---|
| Tailing porous ceramics/paraffin | 0.51 | 123 | [40] |
| Copper foam/reduced graphene oxide /paraffin | 1.04 | 111.53 | [36] |
| Wood flour/high density polyethylene/EG/paraffin | 0.258 | 17.79 | [39] |
| Epoxy/EG/paraffin | 4.98 | 142 | [42] |
| Epoxy/EG/paraffin | 2.141 | 137 | [41] |
| Silica/EG/paraffin | 2.053 | 106.2 | [31] |
| EG/solid–solid PCM (polymer octadecyl acrylate) | 2.33 | 98.8 | [43] |
Disclaimer/Publisher’s Note: The statements, opinions and data contained in all publications are solely those of the individual author(s) and contributor(s) and not of MDPI and/or the editor(s). MDPI and/or the editor(s) disclaim responsibility for any injury to people or property resulting from any ideas, methods, instructions or products referred to in the content. |
© 2023 by the authors. Licensee MDPI, Basel, Switzerland. This article is an open access article distributed under the terms and conditions of the Creative Commons Attribution (CC BY) license (https://creativecommons.org/licenses/by/4.0/).
Share and Cite
Yu, Y.; Qin, H.; Ran, S.; Song, J.; Xia, W.; Wang, S.; Xiong, C. A Low-Density Polyethylene-Reinforced Ternary Phase-Change Composite with High Thermal Conductivity for Battery Thermal Management. Energies 2023, 16, 3838. https://doi.org/10.3390/en16093838
Yu Y, Qin H, Ran S, Song J, Xia W, Wang S, Xiong C. A Low-Density Polyethylene-Reinforced Ternary Phase-Change Composite with High Thermal Conductivity for Battery Thermal Management. Energies. 2023; 16(9):3838. https://doi.org/10.3390/en16093838
Chicago/Turabian StyleYu, Yueliang, Hongmei Qin, Shusen Ran, Jinhui Song, Wenlai Xia, Shan Wang, and Chuanxi Xiong. 2023. "A Low-Density Polyethylene-Reinforced Ternary Phase-Change Composite with High Thermal Conductivity for Battery Thermal Management" Energies 16, no. 9: 3838. https://doi.org/10.3390/en16093838
APA StyleYu, Y., Qin, H., Ran, S., Song, J., Xia, W., Wang, S., & Xiong, C. (2023). A Low-Density Polyethylene-Reinforced Ternary Phase-Change Composite with High Thermal Conductivity for Battery Thermal Management. Energies, 16(9), 3838. https://doi.org/10.3390/en16093838

