Implementation and Evaluation of a Complex Pumped-Storage Hydropower Plant with Four Units, Common Penstock, and Surge Tank in a Real-Time Digital Simulator †
Abstract
1. Introduction
2. Design Methodology
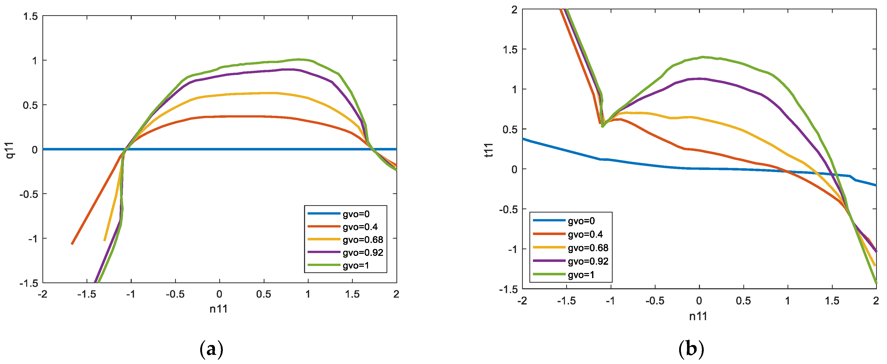
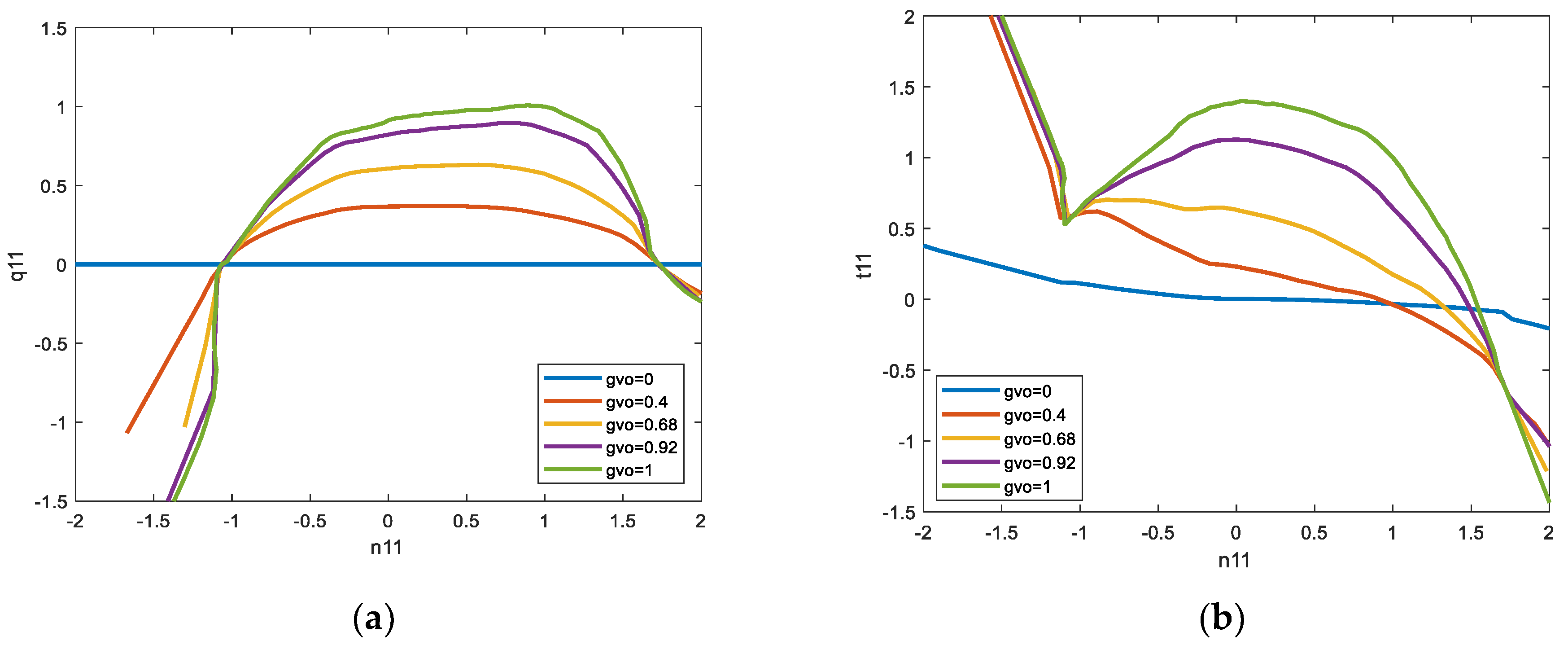
2.1. Turbine Models
2.2. Waterway Models—Headrace Tunnel and Penstocks
- Hc: Dynamic head at the junction of tunnel-penstock(s)
- Qc: Dynamic flow at the junction of tunnel-penstock(s)
- Hd: Dynamic head established by pump-turbine unit(s)
- Qd: Dynamic flow established by pump-turbine unit(s)
- Hs: Total available static head (Hs1 + Hs2)
- Hs1: Static head between upper reservoir water surface and tunnel-penstock(s) junction
- Hs2: Static head between tunnel-penstock(s) junction and lower reservoir water surface
- Tet, Zht: Elastic time and hydraulic impedance of the tunnel part of waterway
- Tep, Zhp: Elastic time and hydraulic impedance of the penstock
- Te: Elastic time of the conduit, penstock, water tunnel (s)
- L: Length of the conduit, penstock, water tunnel (m)
- a: Water pressure wave velocity (m/s)
- Tw: Water starting time of the conduit, penstock, water tunnel (s)
- A: Cross section area of the conduit, penstock, water tunnel (m2)
- Qb: The base water flow/discharge (m3/s)
- ag: The gravitation acceleration (9.81 m/s2)
- Hb: The base head is usually equal to the total available static head (m)
- Qc: Dynamic flow at the junction of the common tunnel and connected penstocks
- Hdi: Dynamic head established by the ith pump-turbine unit
- Qdi: Dynamic flow established by the ith pump-turbine unit
- Hs: Total available static head
- Tet, Zht: Elastic time and hydraulic impedance of the common tunnel
- Tepi, Zhpi: Elastic time and hydraulic impedance of the ith penstock
- Twt: Water starting time of the tunnel part of waterway, Twt = Tet Zht
- Twp: Water starting time of the penstock part of waterway, Twp = Tep Zhp
2.3. Waterway Model—Surge Tank
- QSurge Tank: Water flow/discharge into the surge tank (m3/s)
- ASurge Tank: Cross-section area of the surge tank (m2)
- HSurge Tank: Water level in the surge tank (m)
- QHeadrace: Water flow/discharge coming from the headrace tunnel to the surge tank (m3/s)
- QP1: Water flow/discharge into the penstock 1 (m3/s)
- QP2: Water flow/discharge into the penstock 2 (m3/s)
- TSurge Tank: The time constant (storage constant) of the surge tank (s)
- Qb: The base water flow/discharge (m3/s)
- Hb: The base head, usually equals to the total available static head (m)
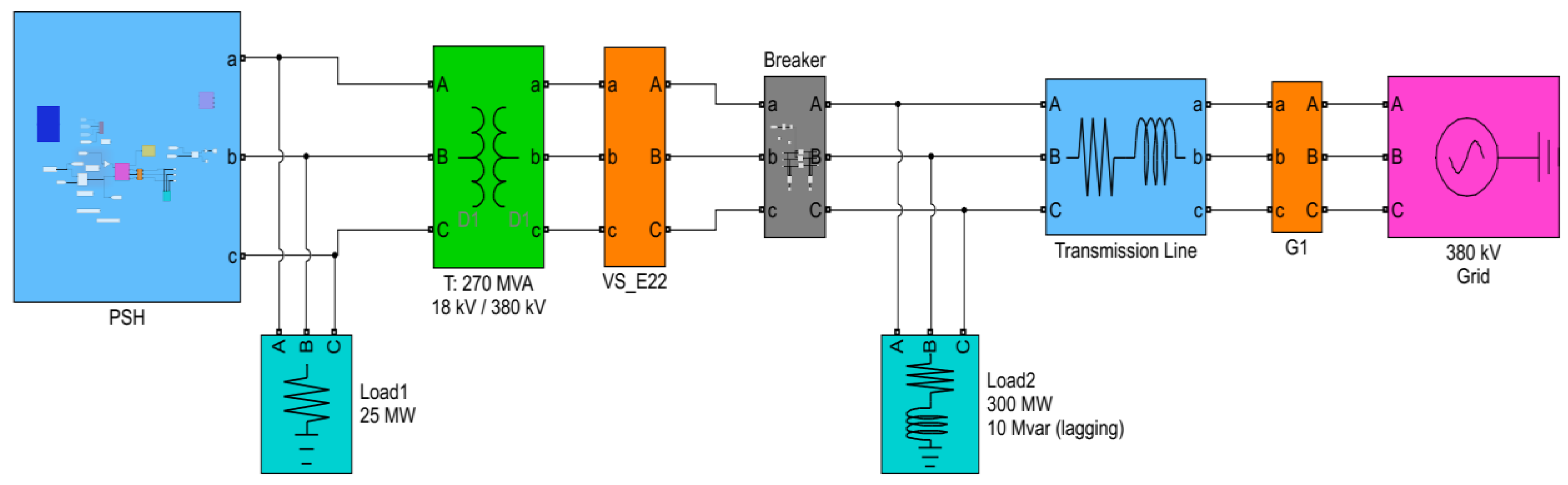
2.4. System under Study
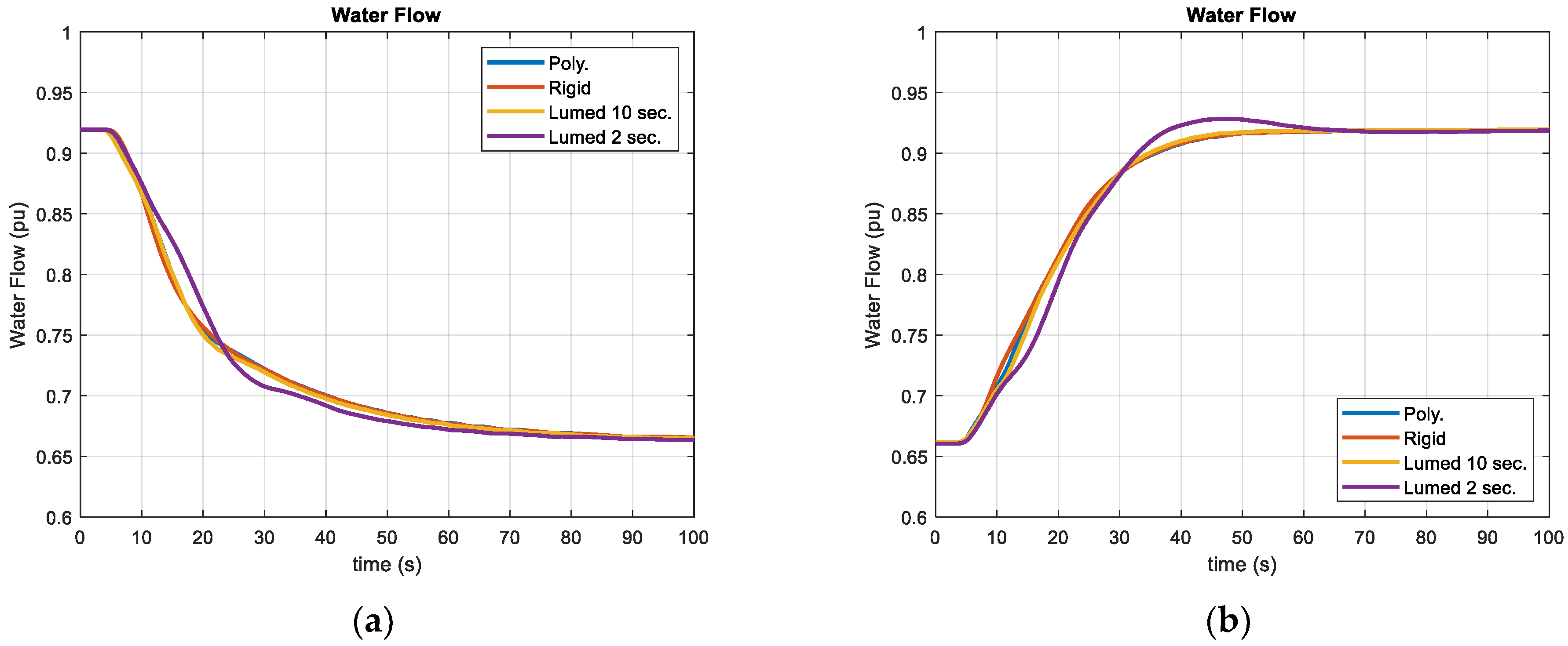
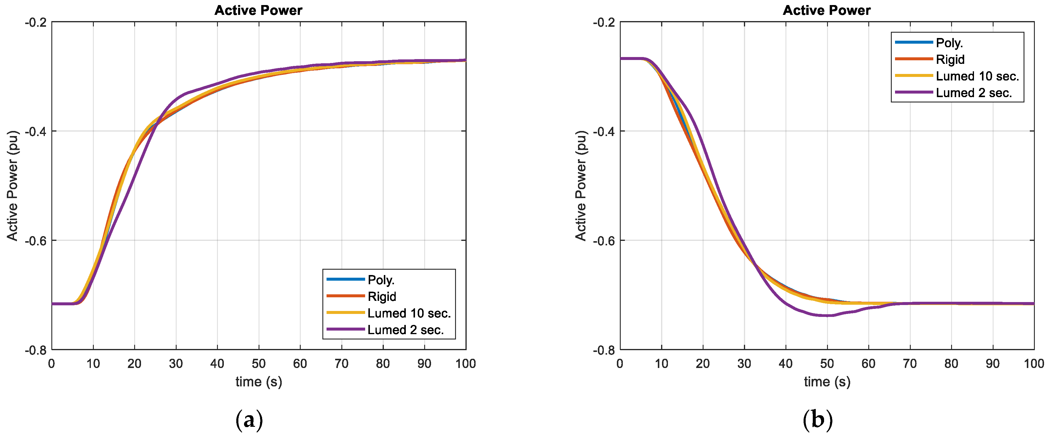
3. Results
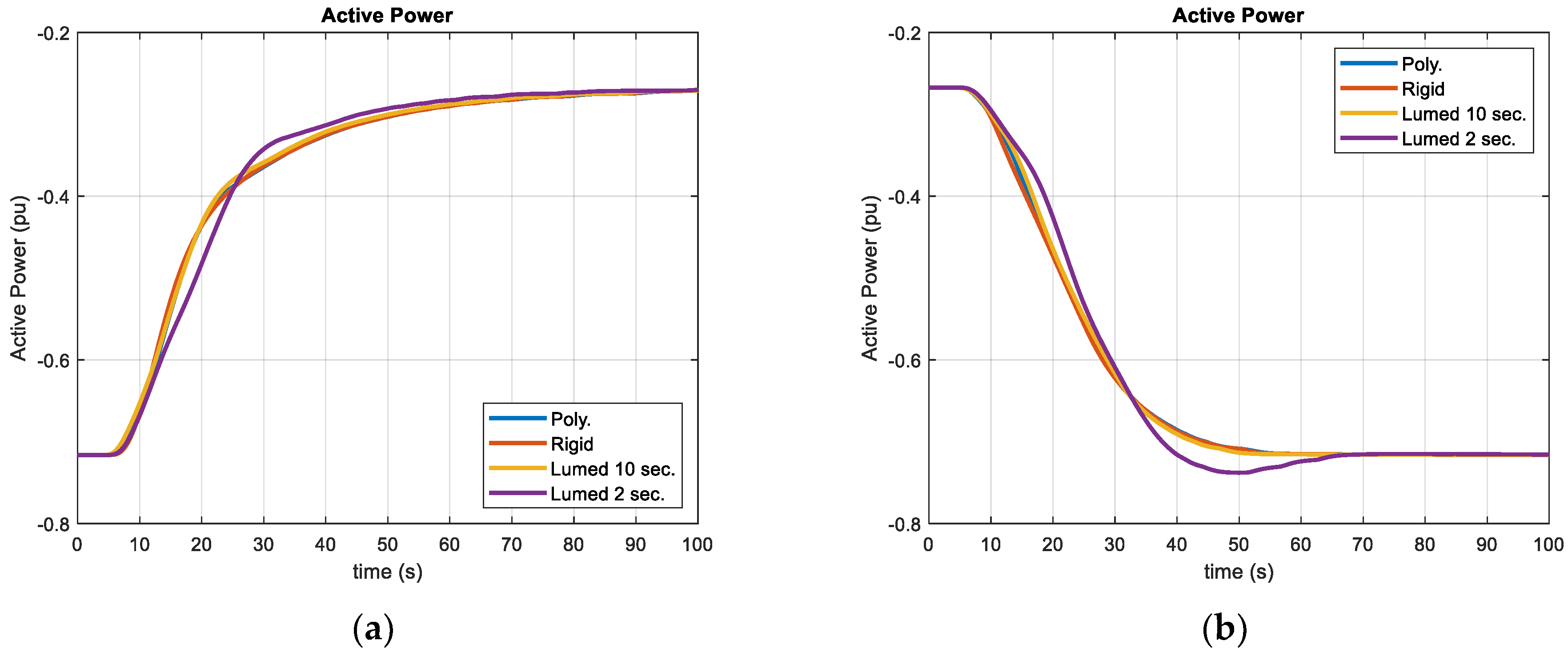
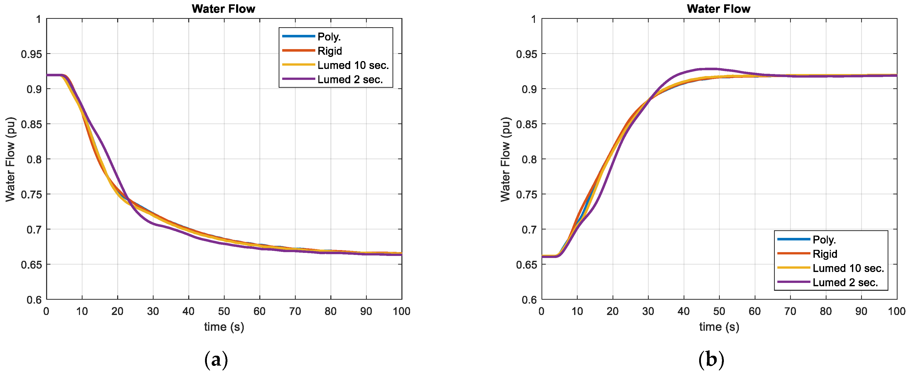
4. Discussion
- An RTDS is capable of emulating the dynamic behavior of a complex pumped-storage hydropower plant with four units.
- An RTDS is capable of presenting the dynamic hydro-electric behaviors of four PSHs with a common penstock and surge tank.
- Last but not least, an RTDS can accurately emulate the hydraulic, mechanical, and electrical transients of a pumped-storage hydropower plant with a complex configuration.
Author Contributions
Funding
Data Availability Statement
Acknowledgments
Conflicts of Interest
References
- Renewables. Global Status Report (GSR). 2022. Available online: https://www.ren21.net/wpcontent/uploads/2019/05/GSR2022_Full_Report.pdf (accessed on 15 February 2023).
- IEA. Available online: https://www.iea.org/data-and-statistics/charts/hydropower-generation-in-the-sustainable-development-scenario-2000-2030 (accessed on 15 February 2023).
- International Hydropower Association (IHA). 2020 Hydropower Status Report. Available online: https://www.hydropower.org/publications/2020-hydropower-status-report (accessed on 15 November 2022).
- Available online: https://www.tugraz.at/en/institutes/iean/research/production-transmisson-and-distribution-of-electrical-energy/power-controller-hardware-in-the-loop/ (accessed on 18 October 2022).
- Yang, C.; Xue, Y.; Zhang, X.-P.; Zhang, Y.; Chen, Y. Real-Time FPGA-RTDS Co-Simulator for Power Systems. IEEE Access 2018, 6, 44917–44926. [Google Scholar] [CrossRef]
- Krata, J.; Saha, T.K. Real-Time Coordinated Voltage Support with Battery Energy Storage in a Distribution Grid Equipped with Medium-Scale PV Generation. IEEE Trans. Smart Grid 2019, 10, 3486–3497. [Google Scholar] [CrossRef]
- Arraño-Vargas, F.; Konstantinou, G. Development of Real-Time Benchmark Models for Integration Studies of Advanced Energy Conversion Systems. IEEE Trans. Energy Convers. 2020, 35, 497–507. [Google Scholar] [CrossRef]
- Cruz, E.S.; Sobrinho, E.G.; Soares, R.P.O.; Garcez, J.N. A computer based real time simulator for teaching and research on automatic generation control in hydroelectric power plant. IFAC Proc. Vol. 1995, 28, 35–38. [Google Scholar] [CrossRef]
- Fang, H.Q.; Shen, Z.Y. Dynamic real-time simulator for hydraulic turbine generating unit based on programmable computer controller. In Proceedings of the 30th Annual Conference of the IEEE Industrial Electronics Society, Busan, Republic of Korea, 2–6 November 2004. [Google Scholar]
- Munoz-Hernandez, G.A.; Mansoor, S.P.; Jones, D.I. Modelling and Controlling Hydropower Plants. In Advances in Industrial Control; Springer: London, UK, 2013. [Google Scholar]
- Mohanpurkar, M.; Ouroua, A.; Hovsapian, R.; Luo, Y.; Singh, M.; Muljadi, E.; Gevorgian, V.; Donalek, P. Real-time co-simulation of adjustable-speed pumped storage hydro for transient stability analysis. Electr. Power Syst. Res. 2018, 154, 276–286. [Google Scholar] [CrossRef]
- Dorji, S. Modelling and real-time simulation of large hydropower plant. Int. J. Eng. Manuf. 2019, 3, 29–43. [Google Scholar]
- Banerjee, A.; Shafiul Alam, S.M.; Mosier, T.M.; Undrill, J. Modeling a Bulb-Style Kaplan Unit Hydrogovernor and Turbine in Mathworks-Simulink and RTDS-RSCAD. In Proceedings of the IEEE PES Transmission and Distribution Conference and Exposition (T&D), New Orleans, LA, USA, 25–28 April 2022. [Google Scholar]
- Shafiul Alam, S.M.; Banerjee, A.; Mosier, T.M. Power Hardware-In-the-Loop Hydropower and Ultracapacitor Hybrid Testbed. In Proceedings of the IEEE PES General Meeting (PESGM), Denver, CO, USA, 17–21 July 2022. [Google Scholar]
- Mansoor, S.P.; Jones, D.I.; Bradley, D.A.; Aris, F.C.; Jones, G.R. Reproducing Oscillatory Behaviour of a Hydroelectric Power Station by Computer Simulation. Control Eng. Pract. 2000, 8, 1261–1272. [Google Scholar] [CrossRef]
- Akbari, H.; Schürhuber, R.; Pérez-Díaz, J.I.; Sarasüa, J.-I. Evaluation of Different Waterway Modelling Techniques for Real Time Digital Simulator Applications. In Proceedings of the 2022 Second International Conference on Sustainable Mobility Applications, Renewables and Technology (SMART), Cassino, Italy, 23–25 November 2022; pp. 1–6. [Google Scholar] [CrossRef]
- Liang, J.; Harley, R.G. Pumped storage hydro-plant models for system transient and long-term dynamic studies. In Proceedings of the IEEE PES General Meeting, Minneapolis, MN, USA, 25–29 July 2010; pp. 1–8. [Google Scholar] [CrossRef]
- Pérez-Díaz, J.I.; Sarasúa, J.I.; Wilhelmi, J.R. Contribution of a Hydraulic Short-Circuit Pumped-Storage Power Plant to the Load–Frequency Regulation of an Isolated Power System. Int. J. Electr. Power Energy Syst. 2014, 62, 199–211. [Google Scholar] [CrossRef]
- Quiroga, O.D. Modelling and Nonlinear Control of Voltage Frequency of Hydroelectric Power Plants. Ph.D. Thesis, Instituto de Organizacion y Control de Sistemas Industriales, Universidad Politecnica de Cataluna, Barcelona, Spain, July 2000. [Google Scholar]
- Akbari, H.; Schürhuber, R.; Pérez-Díaz, J.I.; Sarasúa, J.-I. Evaluation of Different Francis Turbine Modelling Techniques for Real Time Digital Simulator Applications. In Proceedings of the 2022 Second International Conference on Sustainable Mobility Applications, Renewables and Technology (SMART), Cassino, Italy, 23–25 November 2022; pp. 1–6. [Google Scholar] [CrossRef]
- Working Group Prime Mover and Energy Supply. Hydraulic turbine and turbine control models for system dynamic studies. IEEE Trans. Power Syst. 1992, 7, 167–179. [Google Scholar] [CrossRef]
- Shanab, B.H.; Elrefaie, M.E.; El-Badawy, A.A. Active control of variable geometry Francis turbine. Renew. Energy 2020, 145, 1080–1090. [Google Scholar] [CrossRef]
- Pérez-Díaz, J.I.; Sarasúa, J.I. Failures during Load-Frequency Control Maneuvers in an Upgraded Hydropower Plant: Causes, Identification of Causes and Solution Proposals. Energies 2015, 8, 10584–10604. [Google Scholar] [CrossRef]
- Sarasúa, J.I.; Elías, P.; Martínez-Lucas, G.; Pérez-Díaz, J.I.; Wilhelmi, J.R.; Sánchez, J.Á. Stability Analysis of a Run-of-River Diversion Hydropower Plant with Surge Tank and Spillway in the Head Pond. Sci. World J. 2014, 2014, 874060. [Google Scholar] [CrossRef] [PubMed]
- Sarasúa, J.I.; Pérez-Díaz, J.I.; Wilhelmi, J.R.; Sánchez, J.Á. Dynamic Response and Governor Tuning of a Long Penstock Pumped-Storage Hydropower Plant Equipped with a Pump-Turbine and a Doubly Fed Induction Generator. Energy Convers. Manag. 2015, 106, 151–164. [Google Scholar] [CrossRef]
- Erickson, R.; Wozniak, L. Maximum Slew-Rate Governor Control for Impulse Turbines. IEEE Trans. Energy Convers. 1991, 6, 419–425. [Google Scholar] [CrossRef]
- Xu, B.; Zhang, J.; Egusquiza, M.; Zhang, J.; Chen, D.; Egusquiza, E. Exploring the Regulation Reliability of a Pumped Storage Power Plant in a Wind–Solar Hybrid Power Generation System. Water 2021, 13, 2548. [Google Scholar] [CrossRef]
- Dobrijevic, D.M.; Jankovic, M.V. An Approach to the Damping of Local Modes of Oscillations Resulting from Large Hydraulic Transients. IEEE Trans. Energy Convers. 1999, 14, 754–759. [Google Scholar] [CrossRef]
- Marchal, M.; Flesh, G.; Suter, P. The Calculation of Waterhammer Problems by Means of the Digital Computer. In Proceedings of the International Symposium on Waterhammer Pumped Storage Projects ASME, Chicago, IL, USA; 1965; pp. 168–188. [Google Scholar]
- Chaudhry, M.H. Applied Hydraulic Transients, 2nd ed.; Van Nostrand: New York, NY, USA, 1987. [Google Scholar]
- Fang, H.; Chen, F.; Dlakavu, N.; Shen, Z. Basic Modeling and Simulation Tool for Analysis of Hydraulic Transients in Hydroelectric Power Plants. IEEE Trans. Energy Convers. 2008, 23, 834–841. [Google Scholar] [CrossRef]
- Kishor, N.; Saini, R.P.; Singhl, S.P. A Review on Hydropower Plant Models and Control. Renew. Sustain. Energy Rev. 2007, 11, 776–796. [Google Scholar] [CrossRef]
- Jiménez, O.F.; Chaudhry, M. Stability Limits of Hydroelectric Power Plants. J. Energy Eng. 1987, 113, 50–60. [Google Scholar] [CrossRef]
- Liu, X.; Liu, C. Eigenanalysis of Oscillatory Instability of a Hydropower Plant Including Water Conduit Dynamics. IEEE Trans. Power Syst. 2007, 22, 675–681. [Google Scholar] [CrossRef]
- Nicolet, C.; Pannatier, Y.; Kawkabani, B.; Schwery, A.; Avellan, F.; Simond, J.J. Benefits of Variable Speed Pumped Storage Units in Mixed Islanded Power Network During Transient Operation. In Proceedings of the 16th Annual HYDRO Conference, Lyon, France, 26–28 October 2009. [Google Scholar]
- Martínez-Lucas, G.; Sarasúa, J.I.; Sánchez-Fernández, J.A.; Wilhelmi, J.R. Power-Frequency Control of Hydropower Plants with Long Penstocks in Isolated Systems with Wind Generation. Renew. Energy 2015, 83, 245–255. [Google Scholar] [CrossRef]


















| Load1 = Load2 = Load3 = Load4 = 10 MW, 11 kV, 50 Hz; Load5 = (300 MW + 10 Mvar lagging), 380 kV, 50 Hz |
| Transformers (T1, T2, T3, T4): 65 MVA, 11/380 kV, Yd11, x = 0.12 pu, r = 0.004 pu, 50 Hz |
| Synchronous Machines: 65 MVA, 11 kV, 50 Hz, xd = 1.2 pu, xd′ = 0.25 pu, xd″ = 0.18 pu, xq = 0.9 pu, xq″ = 0.18 pu, xl = 0.1 pu, rs = 0.004 pu, H = 4 s, pole-pairs = 5, Td′ = 1.5 s, Td″ = 0.05 s, Tq″ = 0.05 s |
| Transmission Line: R = 0.5 Ohm, L = 0.025 H |
| Pump-turbine rated power (each unit) = 55 MW, ηT = 95%, ag = 9.81 m/s2, Hb (available hydraulic head) = 250 m, Qb (total rated discharge for all 4 units) = 98 m3/s, Penstocks and Waterway: Zheadrace = 2.49 pu, Zcommon penstocks = 5.95 pu, Zseperated penstocks = 12 pu, Te-headrace = 10 s, Te-common penstocks = 0.75 s, Te-seperated penstocks = 0.015 s Lp (length of the 4 seperated penstocks) = 20 m, Lt (length of the 2 common penstocks) = 955 m, Lhr (length of the headrace water tunnel) = 14 km, Dhr (diameter of the headrace water tunnel) = 5.35 m (A = 22.4801 m2), Dt (diameter of the 2 common penstock) = 3.3 m (A = 8.553 m2), Ds (diameter of the surge tank) = 25 m (A = 490.8739 m2), fhr (head loss factor of the headrace water tunnel) = 0.01 pu, fp (head loss factor of the 4 seperated penstocks) = 0.01 pu, ft (head loss factor of the 2 common penstocks) = 0.01 pu |
| Scenario | Change(s) | Interesting Observations |
|---|---|---|
| 1 | Decreasing the power set point of PSH1 by 0.5 pu | Effect on the head, discharge, and output power of PSH2 |
| 2 | Increasing the power set point of PSH1 by 0.5 pu | Effect on the head, discharge, and output power of PSH2 |
| 3 | Decreasing the power set point of both PSH3 and PSH4 by 0.5 pu | Effect on PSH and PSH2; benefit of surge tank |
| 4 | Increasing the power set point of both PSH3 and PSH4 by 0.5 pu | Effect on PSH and PSH2; benefit of surge tank |
| 5 | Decreasing the power set point of PSH2 by 0.2 pu | Effect on the head, discharge, and output power of PSH1; relation between power changes and head disturbances |
| 6 | Increasing the power set point of PSH2 by 0.2 pu | Effect on the head, discharge, and output power of PSH1; relation between power changes and head disturbances |
Disclaimer/Publisher’s Note: The statements, opinions and data contained in all publications are solely those of the individual author(s) and contributor(s) and not of MDPI and/or the editor(s). MDPI and/or the editor(s) disclaim responsibility for any injury to people or property resulting from any ideas, methods, instructions or products referred to in the content. |
© 2023 by the authors. Licensee MDPI, Basel, Switzerland. This article is an open access article distributed under the terms and conditions of the Creative Commons Attribution (CC BY) license (https://creativecommons.org/licenses/by/4.0/).
Share and Cite
Akbari, H.; Pérez-Díaz, J.I.; Sarasúa, J.-I.; Schürhuber, R. Implementation and Evaluation of a Complex Pumped-Storage Hydropower Plant with Four Units, Common Penstock, and Surge Tank in a Real-Time Digital Simulator. Energies 2023, 16, 3828. https://doi.org/10.3390/en16093828
Akbari H, Pérez-Díaz JI, Sarasúa J-I, Schürhuber R. Implementation and Evaluation of a Complex Pumped-Storage Hydropower Plant with Four Units, Common Penstock, and Surge Tank in a Real-Time Digital Simulator. Energies. 2023; 16(9):3828. https://doi.org/10.3390/en16093828
Chicago/Turabian StyleAkbari, Hasan, Juan I. Pérez-Díaz, José-Ignacio Sarasúa, and Robert Schürhuber. 2023. "Implementation and Evaluation of a Complex Pumped-Storage Hydropower Plant with Four Units, Common Penstock, and Surge Tank in a Real-Time Digital Simulator" Energies 16, no. 9: 3828. https://doi.org/10.3390/en16093828
APA StyleAkbari, H., Pérez-Díaz, J. I., Sarasúa, J.-I., & Schürhuber, R. (2023). Implementation and Evaluation of a Complex Pumped-Storage Hydropower Plant with Four Units, Common Penstock, and Surge Tank in a Real-Time Digital Simulator. Energies, 16(9), 3828. https://doi.org/10.3390/en16093828

