Numerical Modeling and Simulation of the Solid Oxide Cell Stacks and Metal Interconnect Oxidation with OpenFOAM
Abstract
1. Introduction
2. Geometry of the Model
- The barrier layer and protective coating are ignored in the geometry of the model. Their effects on the resistance are considered in the electronic conductivity of the air electrode and air-side contact layer.
- The metal frame is ignored in the geometry of the model.
3. Governing Equations of the Basic Model
- Properties of materials, such as permeability, porosity and electrical conductivity, are homogeneous and isotropic.
- All fluid is in the laminar flow regime.
- Heat transfer is ignored. In other words, isothermal assumption is applied in the model. The assumption holds well for stacks listed in this work, as the temperature difference is 10∼15 C according to thermocouple measurements.
- The quality of the inlet gas is perfect, meaning the air only has oxygen and nitrogen, and the fuel only has hydrogen and steam.
3.1. Electrochemical Reaction
3.2. Momentum Transfer
3.3. Mass Transport
4. Governing Equations of the Degradation Model of MIC Oxidation
4.1. Thickness of the Oxide Scale on a Clean Surface
4.2. Thickness of the Oxide Scale on the Surface Covered by a Porous Coating
4.3. Voltage Drop Due to MIC Oxidation
4.4. Parameters
5. Numerical Procedure
6. Experiment
7. Validation
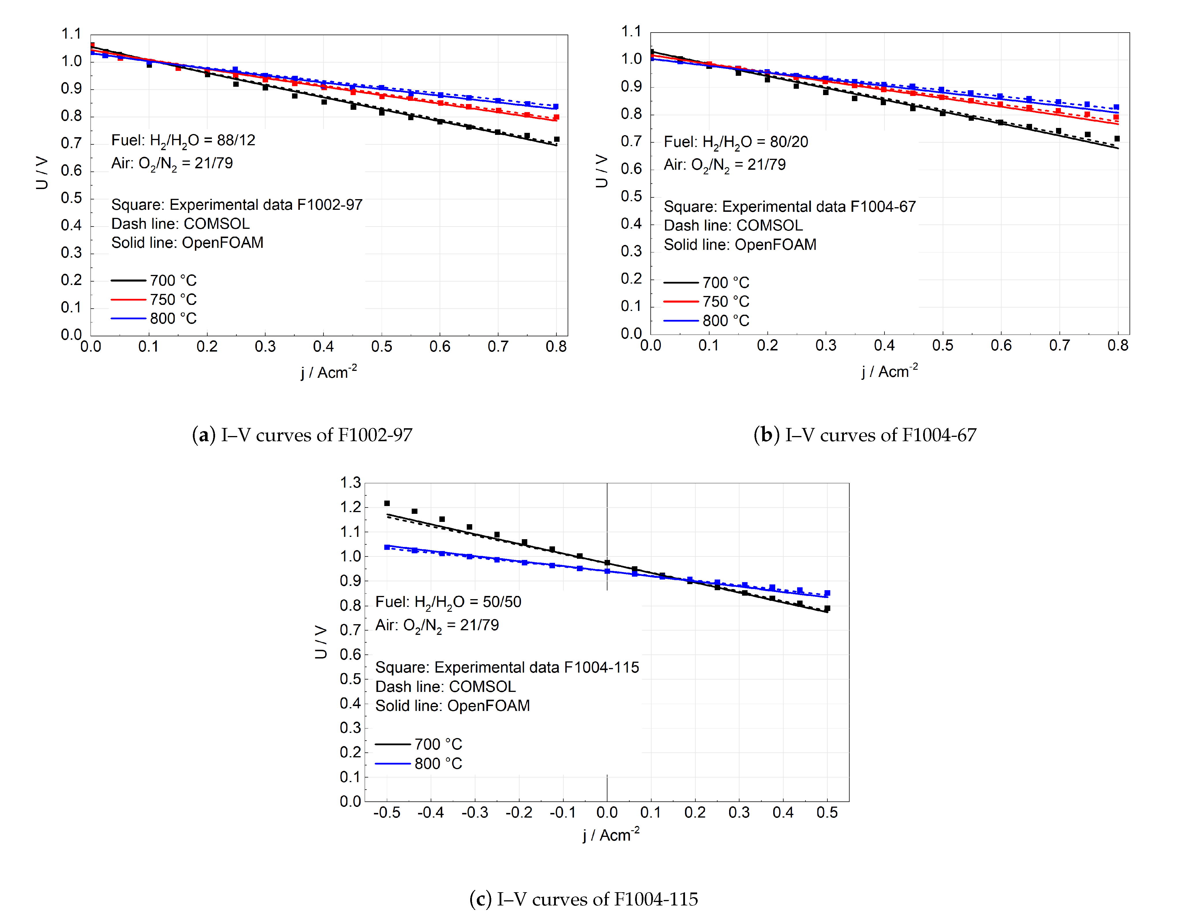
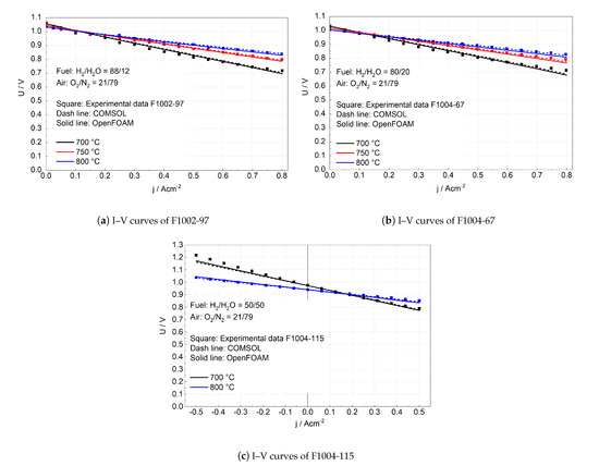
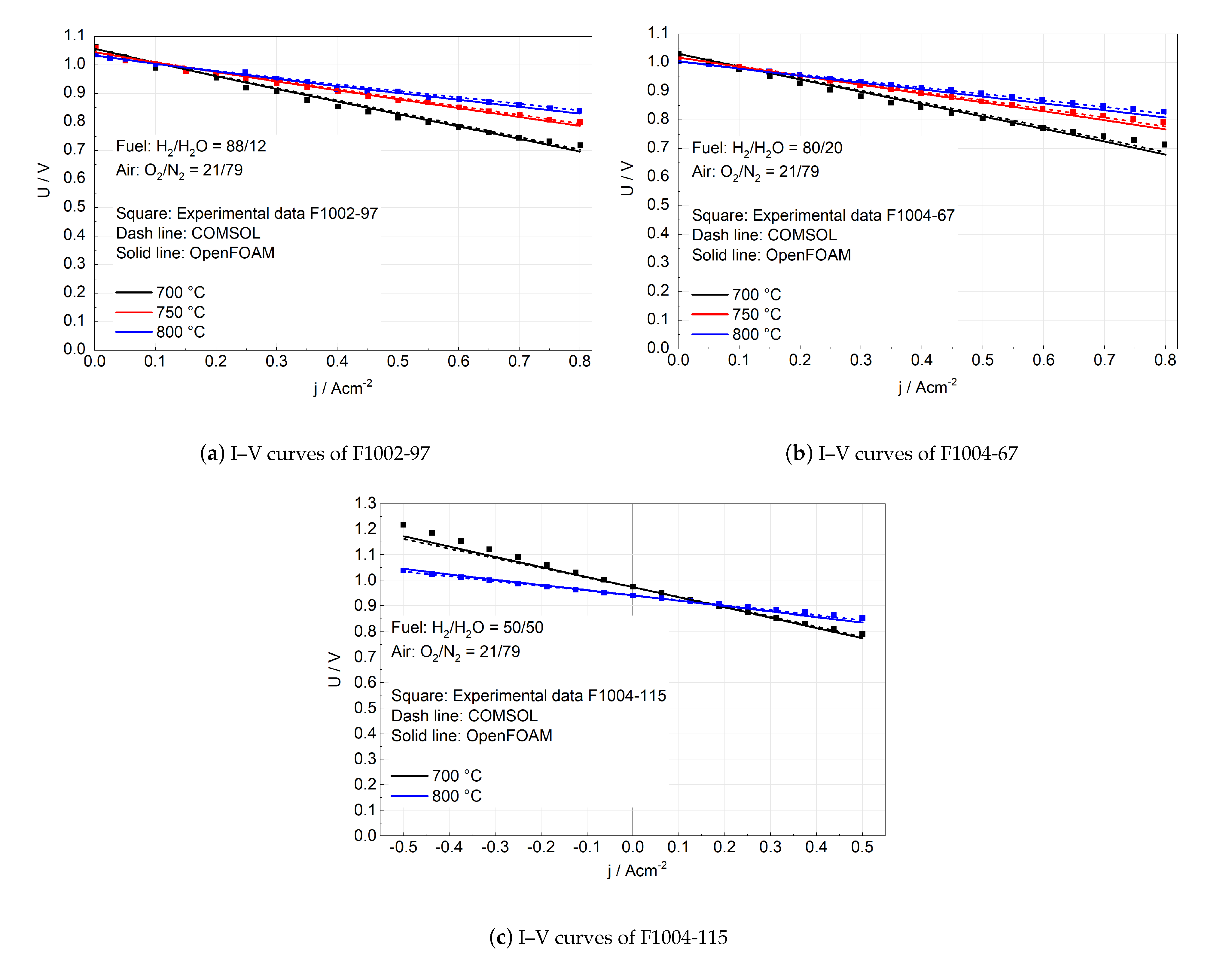
7.1. Validation of I–V Curves of the Basic Model
7.2. Validation of MIC Degradation Model
7.2.1. Result from Persson: Crofer 22 APU with and without (LSM) Coating
7.2.2. Result from FZJ: F1002-95 and F1002-97
8. Results and Discussions
8.1. Spatial Distribution of Mole Fraction and Overpotential
8.2. Voltage Degradation Due to MIC Oxidation in F1002-97
8.3. Voltage Degradation Due to MIC Oxidation in F1004-67
9. Conclusions and Outlook
Author Contributions
Funding
Data Availability Statement
Acknowledgments
Conflicts of Interest
Abbreviations
| 8YSZ | 8 mol% yttria-stabilized zirconia | |
| AEL/ELEC | The interface between the air electrode and the electrolyte | |
| APS | Atmospheric plasma spraying | |
| FEL/ELEC | The interface between the fuel electrode and the electrolyte | |
| FESC | Fuel electrode-supported cell (FESC) | |
| FZJ | Forschungszentrum Jülich GmbH | |
| GDC | Gadolinia-doped ceria | |
| ITM | Intermediate temperature metal | |
| LCC12 | La0.97Mn0.4Co0.3Cu0.3O3-δ | |
| LSCF | La0.58Sr0.4Co0.2Fe0.8O3-δ | |
| MCF | MnCo1.9Fe0.1O3-δ | |
| MFC | Mass flow controller | |
| MIC | Metal interconnect | |
| NS | Navier–Stokes | |
| PVD | Physical vapor deposition | |
| SOC | Solid oxide cell | |
| SP | Screen printing | |
| WPS | Wet powder spraying | |
| Greek symbols | ||
| Volume fraction | [1] | |
| Permeability | [m2] | |
| Electronic potential | [V] | |
| Ionic Potential | [V] | |
| Electronic conductivity of phase i | [S/m] | |
| Ionic conductivity of phase i | [S/m] | |
| Electronic conductivity of the oxide scale | [S/m] | |
| Tortuosity | [1] | |
| Diffusion volume | [m/mol] | |
| Porosity | [1] | |
| Parabolic constant | [m/s] | |
| Roman symbols | ||
| Velocity | [m/s] | |
| c | Molar density | [mol/m] |
| d | Thickness of the oxide scale | [m] |
| Binary diffusion coefficient | [m/s] | |
| Knudsen diffusion coefficient | [m/s] | |
| Electronic current density | [A/m] | |
| Ionic current density | [A/m] | |
| Reaction current density | [A/m] | |
| M | Molar mass | [g/mol] |
| N | Molar diffusion flux | [mol/(m s)] |
| P | Pressure | [Pa] |
| Source term of mass | [g/(m s)] | |
| Source term of mole | [mol/(m s)] | |
| T | Temperature | [K] |
| Y | Molar fraction | [1] |
| R | Gas constant | [(J mol)/K] |
Appendix A
| Parameter | Value | Unit | Reference |
|---|---|---|---|
| Mean pore diameter of the fuel electrode () | 641 | [59] | |
| Mean pore diameter of the air electrode () | 306 | [59] | |
| Permeability in the fuel electrode () | 1 × 10−13 | ||
| Permeability in the air electrode () | 1 × 10−13 | ||
| Hydrogen diffusion volume () | 6.12 × 10−6 | [60] | |
| Water diffusion volume () | 1.31 × 10−5 | [60] | |
| Nitrogen diffusion volume () | 1.79 × 10−5 | [22] | |
| Oxygen diffusion volume () | 1.66 × 10−5 | [22] | |
| Volume fraction of Ni in solid part of fuel electrode () | 0.4 | 1 | [25] |
| Volume fraction of YSZ in solid part of fuel electrode () | 1- | 1 | [25] |
| Volume fraction of LSCF in solid part of air electrode () | 1 | 1 | [57] |
| Porosity of the Ni mesh () | 0.8 | 1 | |
| Porosity of the fuel electrode () | 0.2 | 1 | [57] |
| Porosity of the fuel electrode support layer () | 0.415 | 1 | [25] |
| Porosity of the air electrode () | 0.45 | 1 | [25] |
| Porosity of the contact layer () | 0.45 | 1 | |
| Porosity of the WPS coating () | 0.45 | 1 | [52] |
| Porosity of the APS coating () | 0.03 | 1 | [53] |
| Tortuosity of LSCF () | 2.2 | 1 | [25] |
| Tortuosity of Ni () | 4.64 | 1 | [25] |
| Tortuosity of YSZ () | 2.18 | 1 | [25] |
References
- Hawkes, G.; O’Brien, J.; Stoots, C.; Hawkes, B. 3D CFD model of a multi-cell high-temperature electrolysis stack. Int. J. Hydrog. Energy 2009, 34, 4189–4197. [Google Scholar] [CrossRef]
- Nohl, M.; Mazumder, J.; Vinke, I.C.; Eichel, R.A.; de Haart, L.G.J. Modeling of Multi-Physics Phenomena for High-Temperature Co-Electrolysis. ECS Trans. 2021, 103, 797. [Google Scholar] [CrossRef]
- Zheng, J.; Xiao, L.; Wu, M.; Lang, S.; Zhang, Z.; Chen, M.; Yuan, J. Numerical Analysis of Thermal Stress for a Stack of Planar Solid Oxide Fuel Cells. Energies 2022, 15, 343. [Google Scholar] [CrossRef]
- Navasa, M.; Miao, X.Y.; Frandsen, H.L. A fully-homogenized multiphysics model for a reversible solid oxide cell stack. Int. J. Hydrog. Energy 2019, 44, 23330–23347. [Google Scholar] [CrossRef]
- Miao, X.Y.; Rizvandi, O.B.; Navasa, M.; Frandsen, H.L. Modelling of local mechanical failures in solid oxide cell stacks. Appl. Energy 2021, 293, 116901. [Google Scholar] [CrossRef]
- Mozdzierz, M.; Berent, K.; Kimijima, S.; Szmyd, J.S.; Brus, G. A Multiscale Approach to the Numerical Simulation of the Solid Oxide Fuel Cell. Catalysts 2019, 9, 253. [Google Scholar] [CrossRef]
- Wehrle, L.; Schmider, D.; Dailly, J.; Banerjee, A.; Deutschmann, O. Benchmarking solid oxide electrolysis cell-stacks for industrial Power-to-Methane systems via hierarchical multi-scale modelling. Appl. Energy 2022, 317, 119143. [Google Scholar] [CrossRef]
- Wang, Y.; Wehrle, L.; Banerjee, A.; Shi, Y.; Deutschmann, O. Analysis of a biogas-fed SOFC CHP system based on multi-scale hierarchical modeling. Renew. Energy 2021, 163, 78–87. [Google Scholar] [CrossRef]
- Zhang, S. Modeling and Simulation of Polymer Electrolyte Fuel Cells. Ph.D. Thesis, Forschungszentrum Jülich GmbH Zentralbibliothek, Verlag, Jülich, Germany, 2020. [Google Scholar]
- Zhang, S.; Hess, S.; Marschall, H.; Reimer, U.; Beale, S.B.; Lehnert, W. openFuelCell2: A New Computational Tool for Fuel Cells, Electrolyzers, and other Electrochemical Devices and Processes. Comput. Phys. Commun. 2023. In preparation. [Google Scholar]
- Ltd, O. OpenFOAM. Available online: https://www.openfoam.com (accessed on 18 February 2023).
- Zhang, S.; Reimer, U.; Beale, S.B.; Lehnert, W.; Stolten, D. Modeling Polymer Electrolyte Fuel Cells: A High Precision Analysis. Appl. Energy 2019, 233–234, 1094–1103. [Google Scholar] [CrossRef]
- Zhang, S.; Beale, S.B.; Reimer, U.; Andersson, M.; Lehnert, W. Polymer Electrolyte Fuel Cell Modeling—A Comparison of Two Models with Different Levels of Complexity. Int. J. Hydrogen Energy 2020, 45, 19761–19777. [Google Scholar] [CrossRef]
- Zhang, S.; Beale, S.B.; Shi, Y.; Janßen, H.; Reimer, U.; Lehnert, W. Development of an Open-Source Solver for Polymer Electrolyte Fuel Cells. Ecs Trans. 2020, 98, 317. [Google Scholar] [CrossRef]
- Zhang, S. Low-Temperature Polymer Electrolyte Fuel Cells. In Electrochemical Cell Calculations with OpenFOAM; Beale, S., Lehnert, W., Eds.; Lecture Notes in Energy; Springer International Publishing: Cham, Switzerland, 2022; pp. 59–85. [Google Scholar] [CrossRef]
- Steinberger-Wilckens, R.; De Haart, L.; Vinke, I.; Blum, L.; Cramer, A.; Remmel, J.; Blass, G.; Tietz, F.; Quadakkers, W. Recent Results of Stack Development at Forschungszentrum Jülich. In Proceedings of the Fuel Cell Technologies: State and Perspectives; Sammes, N., Smirnova, A., Vasylyev, O., Eds.; Springer: Dordrecht, The Netherlands, 2005; pp. 123–134. [Google Scholar]
- Geisler, H.I. Finite Element Method (FEM) Model and Performance Analysis of Solid Oxide Fuel Cells. Ph.D. Thesis, Karlsruher Institut für Technologie (KIT), Karlsruhe, Germany, 2019. [Google Scholar] [CrossRef]
- Blum, L.; Fang, Q.; Groß-Barsnick, S.M.; de Haart, L.B.; Malzbender, J.; Menzler, N.H.; Quadakkers, W.J. Long-term operation of solid oxide fuel cells and preliminary findings on accelerated testing. Int. J. Hydrog. Energy 2020, 45, 8955–8964. [Google Scholar] [CrossRef]
- Chan, S.H.; Khor, K.A.; Xia, Z.T. A complete polarization model of a solid oxide fuel cell and its sensitivity to the change of cell component thickness. J. Power Sources 2001, 93, 130–140. [Google Scholar] [CrossRef]
- Mogensen, M.; Frandsen, H.; Nielsen, J.; Li, W.; Jacobsen, T.; Graves, C. Current density—Overvoltage relations for solid oxide electrodes. In Proceedings of the Smart Energy Conversion and Storage Conference: IV Polish Forum, Krynica, Poland, 1–4 October 2013. [Google Scholar]
- Adler, S.B.; Bessler, W.G. Chapter 29—Elementary Kinetic Modeling of Solid Oxide Fuel Cell Electrode Reactions. In Handbook of Fuel Cells; John Wiley & Sons, Ltd.: Hoboken, NJ, USA, 2010; Volume 5, p. p. 441. [Google Scholar] [CrossRef]
- Navasa, M.; Graves, C.; Chatzichristodoulou, C.; Løye Skafte, T.; Sundén, B.; Lund Frandsen, H. A three dimensional multiphysics model of a solid oxide electrochemical cell: A tool for understanding degradation. Int. J. Hydrog. Energy 2018, 43, 11913–11931. [Google Scholar] [CrossRef]
- Chang, H.; Jaffé, G. Polarization in Electrolytic Solutions. Part I. Theory. J. Chem. Phys. 1952, 20, 1071–1077. [Google Scholar] [CrossRef]
- Mogensen, M.; Jacobsen, T. The Course of Oxygen Partial Pressure and Electric Potentials across an Oxide Electrolyte Cell, the Electrochemical Society. In Proceedings of the 213th ECS Meeting, Phoenix, AZ, USA, 18–23 May 2008; Volume 13, pp. 259–273. [Google Scholar]
- Joos, J. Microstructural Characterisation, Modelling and Simulation of Solid Oxide Fuel Cell Cathodes. Ph.D. Thesis, Karlsruher Institut für Technologie (KIT), Karlsruhe, Germany, 2017. [Google Scholar] [CrossRef]
- VDM. Crofer 22 APU. Available online: https://www.vdm-metals.com/fileadmin/user_upload/Downloads/Data_Sheets/Data_Sheet_VDM_Crofer_22_APU.pdf (accessed on 25 November 2022).
- Guo, M.; Ru, X.; Lin, Z.; Xiao, G.; Wang, J. Optimization Design of Rib Width and Performance Analysis of Solid Oxide Electrolysis Cell. Energies 2020, 13, 5468. [Google Scholar] [CrossRef]
- Kundu, P.K.; Cohen, I.M.; Dowling, D.R. (Eds.) Chapter 4—Conservation Laws; Academic Press: Boston, MA, USA, 2012; pp. 95–169. [Google Scholar] [CrossRef]
- Zeng, Z.; Grigg, R. A Criterion for Non-Darcy Flow in Porous Media. Transp. Porous Media 2006, 63, 57–69. [Google Scholar] [CrossRef]
- Brinkman, H.C. A calculation of the viscous force exerted by a flowing fluid on a dense swarm of particles. Flow Turbul. Combust. 1949, 1, 27. [Google Scholar] [CrossRef]
- Le Bars, M.; Worster, M.G. Interfacial conditions between a pure fluid and a porous medium: Implications for binary alloy solidification. J. Fluid Mech. 2006, 550, 149–173. [Google Scholar] [CrossRef]
- COMSOL Multiphysics v. 5.6 CFD User Guide, Chapter 7—Porous Media and Subsurface Flow. Available online: https://doc.comsol.com/5.6/doc/com.comsol.help.cfd/CFDModuleUsersGuide.pdf (accessed on 25 November 2022).
- Ni, M.; Leung, M.K.H.; Leung, D.Y.C. A modeling study on concentration overpotentials of a reversible solid oxide fuel cell. J. Power Sources 2006, 163, 460–466. [Google Scholar] [CrossRef]
- Ni, M. Computational fluid dynamics modeling of a solid oxide electrolyzer cell for hydrogen production. Int. J. Hydrog. Energy 2009, 34, 7795–7806. [Google Scholar] [CrossRef]
- Webb, S.W.; Pruess, K. The Use of Fick’s Law for Modeling Trace Gas Diffusion in Porous Media. Transp. Porous Media 2003, 51, 327–341. [Google Scholar] [CrossRef]
- Reiss, G.; Frandsen, H.L.; Persson, H.; Weiß, C.; Brandstätter, W. Numerical evaluation of oxide growth in metallic support microstructures of Solid Oxide Fuel Cells and its influence on mass transport. J. Power Sources 2015, 297, 388–399. [Google Scholar] [CrossRef]
- Fuller, E.N.; Schettler, P.D.; Giddings, J.C. New method for prediction of binary gas-phase diffusion coefficients. Ind. Eng. Chem. 1966, 58, 18–27. [Google Scholar] [CrossRef]
- Beale, S.B.; Andersson, M.; Boigues-Muñoz, C.; Frandsen, H.L.; Lin, Z.; McPhail, S.J.; Ni, M.; Sundén, B.; Weber, A.; Weber, A.Z. Continuum scale modelling and complementary experimentation of solid oxide cells. Prog. Energy Combust. Sci. 2021, 85, 100902. [Google Scholar] [CrossRef]
- Grondin, D.; Deseure, J.; Brisse, A.; Zahid, M.; Ozil, P. Simulation of a high temperature electrolyzer. J. Appl. Electrochem. 2010, 40, 933–941. [Google Scholar] [CrossRef]
- Serincan, M.F.; Pasaogullari, U.; Singh, P. Controlling reformation rate for a more uniform temperature distribution in an internal methane steam reforming solid oxide fuel cell. J. Power Sources 2020, 468, 228310. [Google Scholar] [CrossRef]
- Jian, P.; Jian, L.; Bing, H.; Xie, G. Oxidation kinetics and phase evolution of a Fe–16Cr alloy in simulated SOFC cathode atmosphere. J. Power Sources 2006, 158, 354–360. [Google Scholar] [CrossRef]
- Froitzheim, J.H. Ferritic Steel Interconnectors and Their Interactions with Ni Base Anodes in Solid Oxide Fuel Cells (SOFC). Ph.D. Thesis, Lehrstuhl für Werkstoffe der Energietechnik (FZ Jülich), Jülich, Germany, 2008. [Google Scholar]
- Asensio Jimenez, C. Effect of Composition, Microstructure and Component Thickness on the Oxidation Behaviour of Laves Phase Strengthened Interconnect Steel for Solid Oxide Fuel Cells (SOFC). Ph.D. Thesis, Lehrstuhl für Werkstoffe der Energietechnik (FZ Jülich), Jülich, Germany, 2013. [Google Scholar]
- Hope, G.A.; Ritchie, I.M. Mechanism of chromium oxidation. J. Chem. Soc. Faraday Trans. 1 1981, 77, 2621–2631. [Google Scholar] [CrossRef]
- Persson, Å.H. High Temperature Oxidation of Slurry Coated Interconnect Alloys. Ph.D. Thesis, Technical University of Denmark, Lyngby, Denmark, 2012. [Google Scholar]
- Unutulmazsoy, Y. Oxidation Kinetics of Metal Films and Diffusion in NiO for Data Storage. Ph.D. Thesis, University of Stuttgart, Stuttgart, Germany, 2016. [Google Scholar]
- Tsai, S.C.; Huntz, A.M.; Dolin, C. Diffusion of 18O in massive Cr2O3 and in Cr2O3 scales at 900 °C and its relation to the oxidation kinetics of chromia forming alloys. Oxid. Met. 1995, 43, 581–596. [Google Scholar] [CrossRef]
- Holt, A.; Kofstad, P. Electrical conductivity and defect structure of Cr2O3. I. High temperatures (>∼1000 ∘C). Solid State Ionics 1994, 69, 127–136. [Google Scholar] [CrossRef]
- Tsai, S.C.; Huntz, A.M.; Dolin, C. Growth mechanism of Cr2O3 scales: Oxygen and chromium diffusion, oxidation kinetics and effect of yttrium. Mater. Sci. Eng. A 1996, 212, 6–13. [Google Scholar] [CrossRef]
- Glatz, W. P/M Processing and Properties of High Performance Interconnect Materials and Components for SOFC Applications. ECS Proc. Vol. 2005, 2005, 1773–1780. [Google Scholar] [CrossRef]
- Megel, S.; Girdauskaite, E.; Sauchuk, V.; Kusnezoff, M.; Michaelis, A. Area specific resistance of oxide scales grown on ferritic alloys for solid oxide fuel cell interconnects. J. Power Sources 2011, 196, 7136–7143. [Google Scholar] [CrossRef]
- Ruder, A.; Buchkremer, H.P.; Jansen, H.; Malléner, W.; Stöver, D. Wet powder spraying—a process for the production of coatings. Surf. Coatings Technol. 1992, 53, 71–74. [Google Scholar] [CrossRef]
- Grünwald, N.; Lhuissier, P.; Salvo, L.; Villanova, J.; Menzler, N.H.; Guillon, O.; Martin, C.L.; Vaßen, R. In situ investigation of atmospheric plasma-sprayed Mn-Co-Fe-O by synchrotron X-ray nano-tomography. J. Mater. Sci. 2020, 55, 12725–12736. [Google Scholar] [CrossRef]
- Patankar, S.V.; Spalding, D.B. A calculation procedure for heat, mass and momentum transfer in three-dimensional parabolic flows. In Numerical Prediction of Flow, Heat Transfer, Turbulence and Combustion; Elsevier: Amsterdam, The Netherlands, 1983; pp. 54–73. [Google Scholar]
- Schäfer, D.; Queda, L.; Nischwitz, V.; Fang, Q.; Blum, L. Origin of Steam Contaminants and Degradation of Solid-Oxide Electrolysis Stacks. Processes 2022, 10, 598. [Google Scholar] [CrossRef]
- Fang, Q.; Blum, L.; Stolten, D. Electrochemical Performance and Degradation Analysis of an SOFC Short Stack Following Operation of More than 100,000 Hours. J. Electrochem. Soc. 2019, 166, F1320–F1325. [Google Scholar] [CrossRef]
- Menzler, N.H.; Sebold, D.; Sohn, Y.J.; Zischke, S. Post-test characterization of a solid oxide fuel cell after more than 10 years of stack testing. J. Power Sources 2020, 478, 228770. [Google Scholar] [CrossRef]
- Menzler, N.H.; Batfalsky, P.; Groß, S.; Shemet, V.; Tietz, F. Post-Test Characterization of an SOFC Short-Stack after 17,000 Hours of Steady Operation. ECS Trans. 2011, 35, 195–206. [Google Scholar] [CrossRef]
- Geisler, H.; Kromp, A.; Weber, A.; Ivers-Tiffée, E. Stationary FEM Model for Performance Evaluation of Planar Solid Oxide Fuel Cells Connected by Metal Interconnectors. J. Electrochem. Soc. 2014, 161, F778–F788. [Google Scholar] [CrossRef]
- Kong, W.; Zhu, H.; Fei, Z.; Lin, Z. A modified dusty gas model in the form of a Fick’s model for the prediction of multicomponent mass transport in a solid oxide fuel cell anode. J. Power Sources 2012, 206, 171–178. [Google Scholar] [CrossRef]











| Physical Phenomenon | Domain or Surface | Main Equation | Variables to Be Solved |
|---|---|---|---|
| Electrochemical reaction | Electrodes | Chang–Jaffe kinetic | Electronic and ionic potential |
| Momentum transfer | Channels | Navier–Stokes equations | Pressure and velocity |
| Porous medium | Darcy–Forchheimer equation | Pressure and velocity | |
| Mass transport | Channels and porous medium | Fick’s law | Molar fractions of species |
| MIC oxidation | Rib surface | Parabolic law | Electronic potential difference due to the oxide scale |
| Component | (S/m) [22,26,27] | (S/m) [22] |
|---|---|---|
| Ni | 3.27 × 106 −1065.3T | |
| 8YSZ | 6.25 × 104 exp(−10,300/T) | |
| LSCF | 22,591–1.6 × 106 exp(−6024/T) | 5.5 × 109 exp(−9050/R/T) |
| LCC12 1 | 22,591–1.6 × 106 exp(−6024/T) | 5.5 × 109 exp(−9050/R/T) |
| Crofer 22 APU | 9.09 × 105 |
| F1002-97 | F1002-95 | F1004-67 | F1004-115 | ||
|---|---|---|---|---|---|
| Instrument | MFC | Bronkhorst, F-201CV | Bronkhorst, F-201CV | Bronkhorst, F-201CV | Brooks, 0254 |
| Stack design | Contact layer | LCC12 | LCC12 | LSCF | LSCF |
| MIC | ITM | Crofer 22 APU | Crofer 22 APU | Crofer 22 APU | |
| Protective coating | WPS MnOx | WPS MnOx | APS MCF | APS MCF | |
| Operation conditions | Temperature | 720 C | 710 C | 730 C | |
| Fuel mass flow | 1.18 × 10−7 kg/s | 1.15 × 10−7 kg/s | 1.15 × 10−7 kg/s | ||
| Molar ratio in fuel | H2/H2O = 79/21 | H2/H2O = 80/20 | H2/H2O = 80/20 | ||
| Air mass flow | 1.9 × 10−6 kg/s | 1.18 × 10−6 kg/s | 1.18 × 10−6 kg/s | ||
| Molar ratio in air | O2/N2 = 21/79 | O2/N2 = 21/79 | O2/N2 = 21/79 | ||
| Current density | 0.5 A/cm | 0.5 A/cm | 0.5 A/cm | ||
| Time | 100 kh | 17 kh | 25 kh | ||
| Conditions of I-V curves characterization | Temperature | 700∼800 C | 700∼800 C | 700∼800 C | |
| Fuel mass flow | 1.52 × 10−7 kg/s | 1.85 × 10−7 kg/s | 5.53 × 10−7 kg/s | ||
| Molar ratio in fuel | H2/H2O = 88/12 | H2/H2O = 80/20 | H2/H2O = 50/50 | ||
| Air mass flow | 2.38 × 10−6 kg/s | 1.79 × 10−6 kg/s | 2.83 × 10−6 kg/s | ||
| Molar ratio in air | O2/N2 = 21/79 | O2/N2 = 21/79 | O2/N2 = 21/79 | ||
| Current density | 0∼0.8 A/cm | 0∼0.8 A/cm | −0.5∼0.5 A/cm |
Disclaimer/Publisher’s Note: The statements, opinions and data contained in all publications are solely those of the individual author(s) and contributor(s) and not of MDPI and/or the editor(s). MDPI and/or the editor(s) disclaim responsibility for any injury to people or property resulting from any ideas, methods, instructions or products referred to in the content. |
© 2023 by the authors. Licensee MDPI, Basel, Switzerland. This article is an open access article distributed under the terms and conditions of the Creative Commons Attribution (CC BY) license (https://creativecommons.org/licenses/by/4.0/).
Share and Cite
Yu, S.; Zhang, S.; Schäfer, D.; Peters, R.; Kunz, F.; Eichel, R.-A. Numerical Modeling and Simulation of the Solid Oxide Cell Stacks and Metal Interconnect Oxidation with OpenFOAM. Energies 2023, 16, 3827. https://doi.org/10.3390/en16093827
Yu S, Zhang S, Schäfer D, Peters R, Kunz F, Eichel R-A. Numerical Modeling and Simulation of the Solid Oxide Cell Stacks and Metal Interconnect Oxidation with OpenFOAM. Energies. 2023; 16(9):3827. https://doi.org/10.3390/en16093827
Chicago/Turabian StyleYu, Shangzhe, Shidong Zhang, Dominik Schäfer, Roland Peters, Felix Kunz, and Rüdiger-A. Eichel. 2023. "Numerical Modeling and Simulation of the Solid Oxide Cell Stacks and Metal Interconnect Oxidation with OpenFOAM" Energies 16, no. 9: 3827. https://doi.org/10.3390/en16093827
APA StyleYu, S., Zhang, S., Schäfer, D., Peters, R., Kunz, F., & Eichel, R.-A. (2023). Numerical Modeling and Simulation of the Solid Oxide Cell Stacks and Metal Interconnect Oxidation with OpenFOAM. Energies, 16(9), 3827. https://doi.org/10.3390/en16093827

