Resonant Mechanism for a Long-Distance Wireless Power Transfer Using Class E PA and GaN HEMT
Abstract
1. Introduction
2. Constant Product of Voltage Gain and Coupling Coefficient
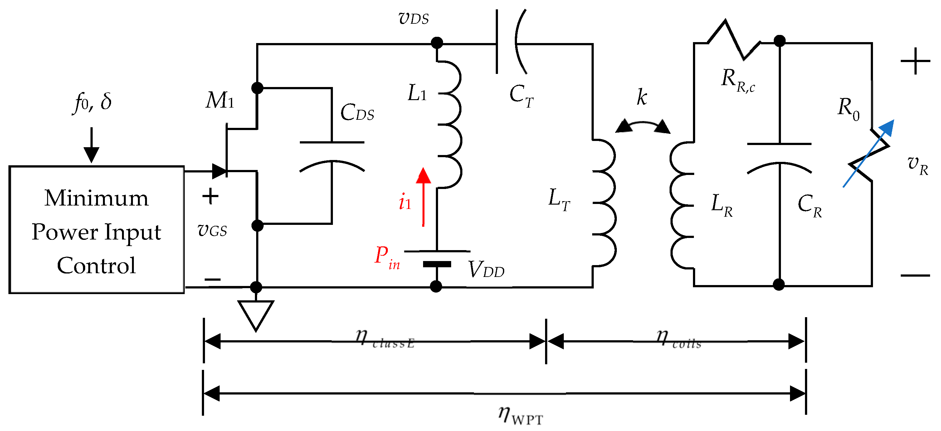
2.1. Inductor for WPT
2.2. Transmitter and Receiver Voltage in WPT
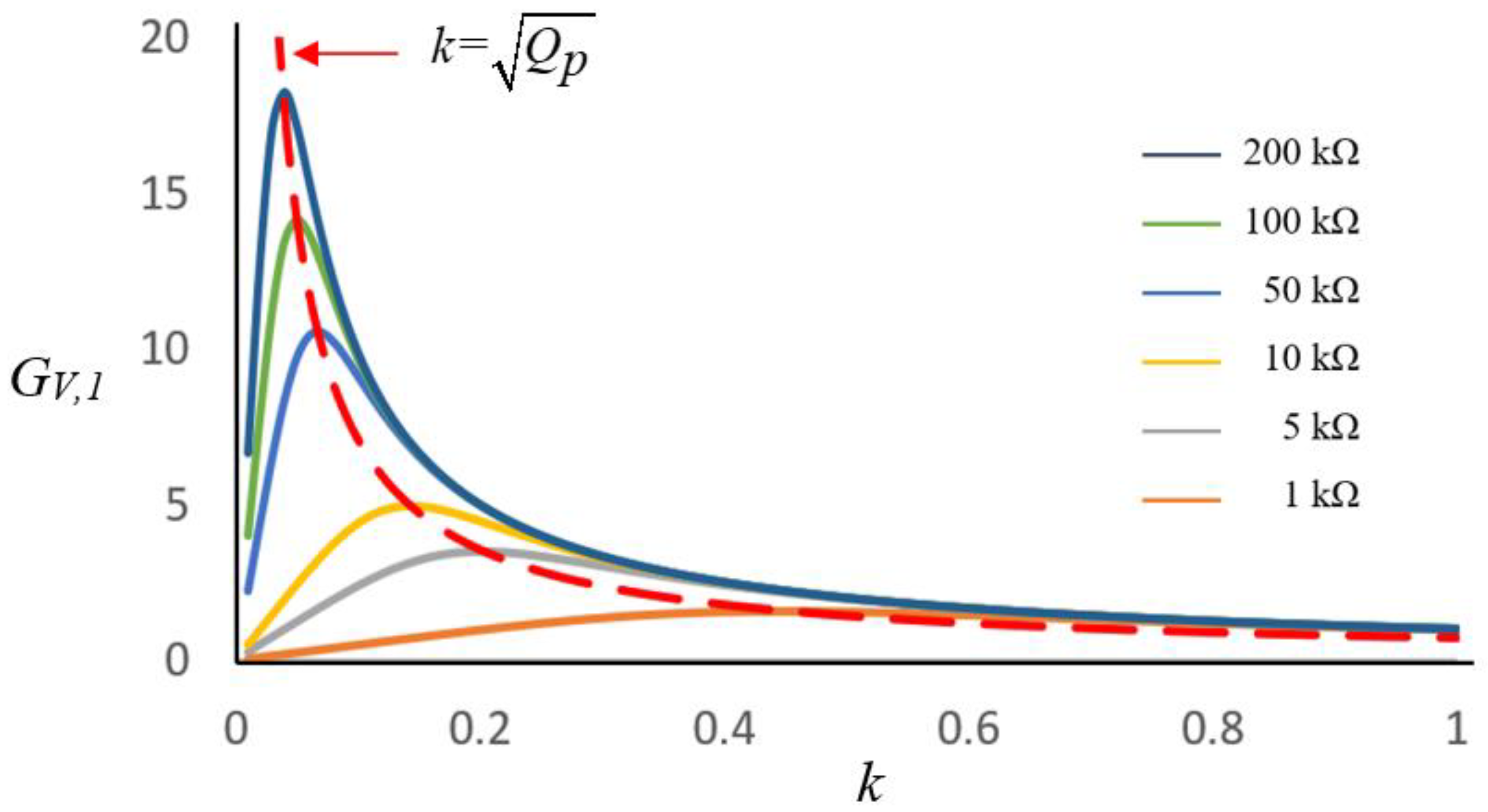
2.3. Voltage Gain beteween Transmitter and Receiver
2.4. Analysis of Transmitted Power and Efficiency
3. WPT Transformer Analysis
3.1. External Inductance of Coil
3.2. Skin Effect on Wire Diameter
3.3. Coupling Coefficient
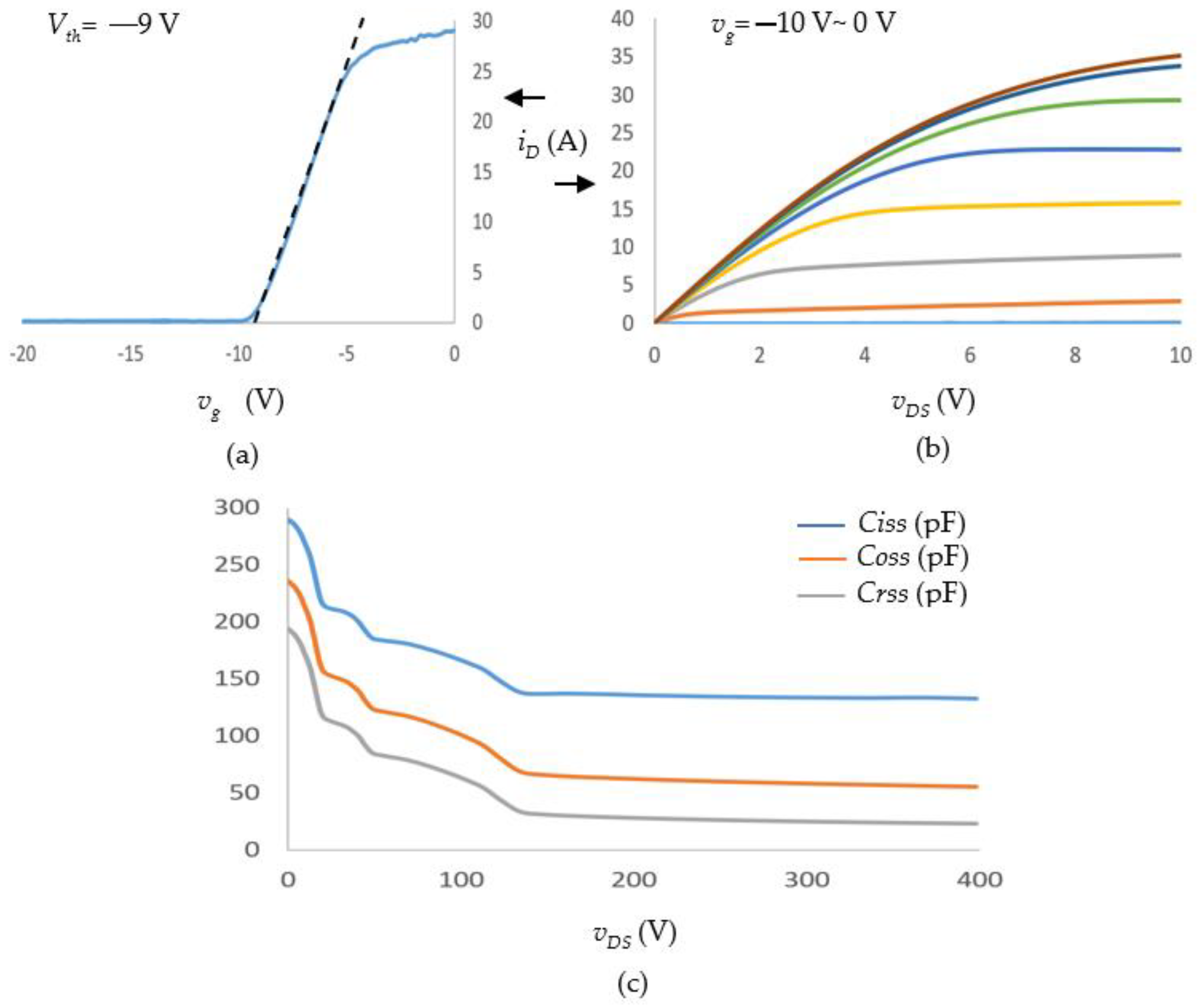
4. Experimental Verification
4.1. Maximum Voltage Gain and Coupling Coefficient
4.2. Power Transfer Efficiency
5. Conclusions
Author Contributions
Funding
Institutional Review Board Statement
Informed Consent Statement
Data Availability Statement
Acknowledgments
Conflicts of Interest
Nomenclature
| Symbol | Abbreviation |
| LT,s | the self-inductance of the PTU |
| Lm | mutual inductance |
| LR,l | the leakage inductance of the PRU |
| vT | the voltage across the transmitter coil |
| vT,i | transfer voltage of the PTU |
| vR,i | the induced receiver voltage |
| vR | the voltage across the receiver coil |
| iT | current flowing through the transmitter coil |
| iR,i | current flowing through the receiver coil |
| NT | turns of the transmitter coil |
| NR | turns of the receiver coil |
| a | the turn ratio of NT and NR |
| RT | the reluctance of the transmitter coil |
| RR,c | the coil resistance on the winding on the receiver side |
| ZR | receiver impedance |
| Zo | the load impedance |
| CR | the resonant capacitor of the PRU |
| A | the cross section area of the inductor of the PTU |
| B | flux density |
| magnetization flux | |
| induction flux | |
| self-induction flux | |
| k | coupling coefficient |
| f0 | the natural frequency |
| LT | transmitter inductance |
| LR | receiver inductance |
| Qp | the parallel quality factor without considering load |
| the mismatch of the inductance | |
| the correction factor | |
| GV,1 | the voltage gain when the transmitter frquency matchs the receiver |
| the voltage gain when the transmitter frquency mismatchs the receiver | |
| f(k) | the monotonic increasing function with the coupling coefficient k |
| Qp,0 | the parallel quality factor with considering load |
| P0,RMS | root mean square received power |
| δ | duty ratio of class E PA control signal |
| M1 | switch of class E PA |
| vGS | gate to source voltage of switch |
| CDS | drain to source capacitance of switch |
| vDS | drain to source voltage of switch |
| Pin | class E PA power input |
| i1 | class E PA input current |
| VDD | class E PA input voltage |
| L1 | choke inductor of class E PA |
| CT | the resonant capacitor of PTU |
| g | distance gap between two coils |
| l | the coil legth |
| D | the coil diameter |
| lw | the wire length of coil |
| Lext | the external inductance |
| δi | The coil skin depth |
| Ciss | The GaN HEMT input capacitance |
| Coss | The GaN HEMT output capacitance |
| Crss | The GaN HEMT reverse tansfer capacitance |
References
- Jiang, C.; Chau, K.T.; Liu, C.; Lee, C.H.T. An Overview of Resonant Circuits for Wireless Power Transfer. Energies 2017, 10, 894. [Google Scholar] [CrossRef]
- Sidiku, M.B.; Eronu, E.M.; Ashigwuike, E.C. A review on wireless power transfer: Concepts, implementations, challenges, and mitigation scheme. Niger. J. Technol. 2020, 39, 1206–1215. [Google Scholar] [CrossRef]
- Sun, L.; Ma, D.; Tang, H. A review of recent trends in wireless power transfer technology and its applications in electric vehicle wireless charging. Renew. Sustain. Energy Rev. 2018, 91, 490–503. [Google Scholar] [CrossRef]
- Ahmad, A.; Alam, M.S.; Chabaan, R. A Comprehensive Review of Wireless Charging Technologies for Electric Vehicles. IEEE Trans. Transp. Electrif. 2018, 4, 38–63. [Google Scholar] [CrossRef]
- Yan, Y.; Shi, W.; Zhang, X. Design of UAV wireless power transmission system based on coupling coil structure optimization. EURASIP J. Wirel. Commun. Netw. 2020, 2020, 67. [Google Scholar] [CrossRef]
- Khan, S.R.; Pavuluri, S.K.; Cummins, G.; Desmulliez, M. Wireless Power Transfer Techniques for Implantable Medical Devices: A Review. Sensors 2020, 20, 3487. [Google Scholar] [CrossRef]
- Weng, Y.C.; Wu, C.C.; Chang, E.Y.; Chieng, W.H. Minimum Power Input Control for Class-E Amplifier Using Depletion-Mode Gallium Nitride High Electron Mobility Transistor. Energies 2021, 14, 2302. [Google Scholar] [CrossRef]
- Gilabert-Palmer, D.; Sanchis-Kilders, E.; Esteve, V.; Ferreres, A.; Ejea, J.B.; Maset, E.; Jordn, J.; Dede, E. Measuring coupling coefficient of windings with dissimilar turns’ number or tight coupling using resonance. IEEE Trans. Power Electron. 2018, 33, 9790–9802. [Google Scholar] [CrossRef]
- Zaoskoufis, K.; Tatakis, E.C. The coupling coefficient impact on the dc voltage gain of the passive clamp coupled inductor boost converter. In Proceedings of the 2018 20th European Conference on Power Electronics and Applications (EPE′18 ECCE Europe), Riga, Latvia, 17–21 September 2018; IEEE: Piscataway, NJ, USA, 2018; pp. P.1–P.9. [Google Scholar]
- Zaoskoufis, K.; Tatakis, E.C. A Thorough Analysis for the Impact of the Coupling Coefficient on the Behavior of the Coupled Inductor High Step-Up Converters. IEEE Trans. Power Electron. 2020, 35, 8287–8302. [Google Scholar] [CrossRef]
- Ayachit, A.; Kazimierczuk, M.K. Transfer functions of a transformer at different values of coupling coefficient. IET Circuits Devices Syst. 2016, 10, 337–348. [Google Scholar] [CrossRef]
- Li, Y.; Zhang, H.; Liang, X.; Huang, B. Event-Triggered-Based Distributed Cooperative Energy Management for Multienergy Systems. IEEE Trans. Ind. Inform. 2019, 15, 2008–2022. [Google Scholar] [CrossRef]
- Hou, X.; Wang, Z.; Su, Y.; Liu, Z.; Deng, Z. A Dual-Frequency Dual-Load Multirelay Magnetic Coupling Wireless Power Transfer System Using Shared Power Channel. IEEE Trans. Power Electron. 2022, 37, 15717–15727. [Google Scholar] [CrossRef]
- Li, X.; Hu, J.; Wang, H.; Dai, X.; Sun, Y. A New Coupling Structure and Position Detection Method for Segmented Control Dynamic Wireless Power Transfer Systems. IEEE Trans. Power Electron. 2020, 35, 6741–6745. [Google Scholar] [CrossRef]
- Mendes Duarte, R.; Klaric Felic, G. Analysis of the coupling coefficient in inductive energy transfer systems. Act. Passiv. Electron. Compon. 2014, 2014, 951624. [Google Scholar] [CrossRef]
- Chabalko, M.J.; Sample, A.P. Resonant cavity mode enabled wireless power transfer. Appl. Phys. Lett. 2014, 105, 243902. [Google Scholar] [CrossRef]
- Nagai, C.; Inukai, K.; Kobayashi, M.; Tanaka, T.; Abumi, K.; Imura, T.; Hori, Y. Scaling law of coupling coefficient and coil size in wireless power transfer design via magnetic coupling. Electr. Eng. Jpn. 2018, 202, 21–30. [Google Scholar] [CrossRef]
- Oshimoto, N.; Sakuma, K.; Sekiya, N. Improvement in Power Transmission Efficiency of Wireless Power Transfer System Using Superconducting Intermediate Coil. IEEE Trans. Appl. Supercond. 2023, 33, 1501004. [Google Scholar] [CrossRef]
- Kurs, A.; Karalis, A.; Moffatt, R.; Joannopoulos, J.D.; Fisher, P.; Soljačić, M. Wireless power transfer via strongly coupled magnetic resonances. Science 2007, 317, 83–86. [Google Scholar] [CrossRef]
- Ziegler, C.; Weber, S.; Heiland, G.; Kraus, D. Influences of WPT-Coil Losses and Coupling Coefficient on the Resonance Circuits of Wireless Power Transfer Systems. In Proceedings of the PCIM Europe 2017, International Exhibition and Conference for Power Electronics, Intelligent Motion, Renewable Energy and Energy Management, Frankfurt, Germany, 16–18 May 2017; pp. 1–7. [Google Scholar]
- Zhang, J.; Cheng, C. Analysis and Optimization of Three-Resonator Wireless Power Transfer System for Predetermined-Goals Wireless Power Transmission. Energies 2016, 9, 274. [Google Scholar] [CrossRef]
- Gu, P.; Wang, Y.; Mai, J.; Yao, Y.; Gao, S.; Huang, S.; Xu, D. A Three-Stage-Five-Coil IPT System Based on Cylindrical Solenoid Coupler Applied to State Detection Equipment of HV Device. IEEE Trans. Power Electron. 2022, 37, 2382–2393. [Google Scholar] [CrossRef]
- Huang, X.; Yu, Z.; Dou, Y.; Lin, S.; Ouyang, Z.; Andersen, M.A.E. Load-Independent Push–Pull Class E 2 Topology with Coupled Inductors for MHz-WPT Applications. IEEE Trans. Power Electron. 2022, 37, 8726–8737. [Google Scholar] [CrossRef]
- He, L.; Huang, X.; Cheng, B. Robust Class E2 Wireless Power Transfer System Based on Parity–Time Symmetry. IEEE Trans. Power Electron. 2023, 38, 4279–4288. [Google Scholar] [CrossRef]
- Sekiya, H.; Tokano, K.; Zhu, W.; Komiyama, Y.; Nguyen, K. Design Procedure of Load-Independent Class-E WPT Systems and Its Application in Robot Arm. IEEE Trans. Ind. Electron. 2022, 70, 10014–10023. [Google Scholar] [CrossRef]
- Issi, F.; Kaplan, O. Design and application of wireless power transfer using Class-E inverter based on Adaptive Impedance-Matching Network. ISA Trans. 2022, 126, 415–427. [Google Scholar] [CrossRef] [PubMed]
- Liu, C.-Y.; Wang, G.-B.; Wu, C.-C.; Chang, E.Y.; Cheng, S.; Chieng, W.-H. Derivation of the Resonance Mechanism for Wireless Power Transfer Using Class-E Amplifier. Energies 2021, 14, 632. [Google Scholar] [CrossRef]
- Wu, C.-C.; Liu, C.-Y.; Anand, S.; Chieng, W.-H.; Chang, E.-Y.; Sarkar, A. Comparisons on Different Innovative Cascode GaN HEMT E-Mode Power Modules and Their Efficiencies on the Flyback Converter. Energies 2021, 14, 5966. [Google Scholar] [CrossRef]
- Wu, C.-C.; Liu, C.-Y.; Wang, G.-B.; Shieh, Y.-T.; Chieng, W.-H.; Chang, E.Y. A New GaN-Based Device, P-Cascode GaN HEMT, and Its Synchronous Buck Converter Circuit Realization. Energies 2021, 14, 3477. [Google Scholar] [CrossRef]
- Kumar, R.; Wu, C.-C.; Liu, C.-Y.; Hsiao, Y.-L.; Chieng, W.-H.; Chang, E.-Y. Discontinuous Current Mode Modeling and Zero Current Switching of Flyback Converter. Energies 2021, 14, 5996. [Google Scholar] [CrossRef]
- Tang, L.-C.; Jeng, S.-L.; Chang, E.-Y.; Chieng, W.-H. Variable-Frequency Pulse Width Modulation Circuits for Resonant Wireless Power Transfer. Energies 2021, 14, 3656. [Google Scholar] [CrossRef]
- Lukashov, S.V. A Self-Tuning 100-Watt Wireless Power Transfer System. Ph.D. Thesis, Massachusetts Institute of Technology, Cambridge, MA, USA, 2017. [Google Scholar]
- Thanh, S.P.; Thao, D.N.; Bui, S.T.; Bui, X.K.; Thu, T.H.; Quang, M.N.; Le, T.H.H.; Vu, D.L. Optimal frequency for magnetic resonant wireless power transfer in conducting medium. Sci. Rep. 2021, 11, 18690. [Google Scholar] [CrossRef]
- De Oliveira Barros Luna, B.E.; Jacobina, C.B.; Oliveira, A.C. Internal Energy Balance of a Modular Multilevel Cascade Converter Based on Chopper-Cells with Distributed Energy Resources for Grid-Connected Photovoltaic Systems. IEEE Trans. Ind. Appl. 2023, 59, 1935–1943. [Google Scholar] [CrossRef]
- Piri, M.; Jaros, V.; Frivaldsky, M. Verification of a mutual inductance calculation between two helical coils. In Proceedings of the 2015 16th International Scientific Conference on Electric Power Engineering (EPE), Kouty nad Desnou, Czech Republic, 20–22 May 2015; pp. 712–717. [Google Scholar]
- Knight, D.W. An Introduction to the Art of Solenoid Inductance Calculation with Emphasis on Radio-Frequency Applications. Version 0.20. 4 February 2016. Available online: https://g3ynh.info/zdocs/magnetics/Solenoids.pdf (accessed on 2 March 2023).













| Ref. | WPT Distance | Frequency (MHz) | Receive Power | Technique | Coil Configure | Efficiency |
|---|---|---|---|---|---|---|
| [5] | 4 cm | 0.162 | 66 W | Resonant | Flat | 62% |
| [13] | 25 cm | 0.34/0.44 | 12.5 W | Six-coil MC | Flat | 68.6% |
| [17] | 45 cm | 1.97 | 1.4 W | Three-Resonator | Solenoid | 33% |
| [18] | 160 cm | 9.14 | N/A * | Resonant | Flat | 49.7% |
| [19] | 200 cm | 0.9 | 60 W | SCMR | Solenoid | 40% |
| [25] | N/A * | 3.39 | 40 W | Three-Resonator | Solenoid | 83.3% |
| [32] | 7.6 cm | 0.96 | 40 W | Resonant | Solenoid | 50% |
| [33] | 10 cm | 10/20 | N/A * | Resonant | Flat | 48/46% |
| Class E PA | Units | ||
|---|---|---|---|
| Gate driver | UCC27614 (TI) | ||
| Switch M1 | GaN HEMT (NYCU) | ||
| Inductance L1 | 47 | μH | |
| Capacitance CT | 200 | pF | |
| Coils | PTU | PRU | |
| Inductance LT, LR | 10 | 9.6 | μH |
| Windings N | 2.75 | 2.75 | Turns |
| Coil Diameter D | 72 | 72 | cm |
| Coil length l | 7.8 | 7.8 | cm |
| Tube Diameter d | 2.8 | 2.8 | cm |
| Tube Thickness | 0.8 | 0.8 | mm |
| Capacitance CR | 137 | pF | |
| Coil Resistance RR,c | 0.08 | Ohm | |
Disclaimer/Publisher’s Note: The statements, opinions and data contained in all publications are solely those of the individual author(s) and contributor(s) and not of MDPI and/or the editor(s). MDPI and/or the editor(s) disclaim responsibility for any injury to people or property resulting from any ideas, methods, instructions or products referred to in the content. |
© 2023 by the authors. Licensee MDPI, Basel, Switzerland. This article is an open access article distributed under the terms and conditions of the Creative Commons Attribution (CC BY) license (https://creativecommons.org/licenses/by/4.0/).
Share and Cite
Liu, C.-Y.; Wu, C.-C.; Tang, L.-C.; Shieh, Y.-T.; Chieng, W.-H.; Chang, E.-Y. Resonant Mechanism for a Long-Distance Wireless Power Transfer Using Class E PA and GaN HEMT. Energies 2023, 16, 3657. https://doi.org/10.3390/en16093657
Liu C-Y, Wu C-C, Tang L-C, Shieh Y-T, Chieng W-H, Chang E-Y. Resonant Mechanism for a Long-Distance Wireless Power Transfer Using Class E PA and GaN HEMT. Energies. 2023; 16(9):3657. https://doi.org/10.3390/en16093657
Chicago/Turabian StyleLiu, Ching-Yao, Chih-Chiang Wu, Li-Chuan Tang, Yueh-Tsung Shieh, Wei-Hua Chieng, and Edward-Yi Chang. 2023. "Resonant Mechanism for a Long-Distance Wireless Power Transfer Using Class E PA and GaN HEMT" Energies 16, no. 9: 3657. https://doi.org/10.3390/en16093657
APA StyleLiu, C.-Y., Wu, C.-C., Tang, L.-C., Shieh, Y.-T., Chieng, W.-H., & Chang, E.-Y. (2023). Resonant Mechanism for a Long-Distance Wireless Power Transfer Using Class E PA and GaN HEMT. Energies, 16(9), 3657. https://doi.org/10.3390/en16093657

