Large Eddy Simulation of Flow and Heat Transfer in a Ribbed Channel for the Internal Cooling Passage of a Gas Turbine Blade: A Review
Abstract
1. Introduction
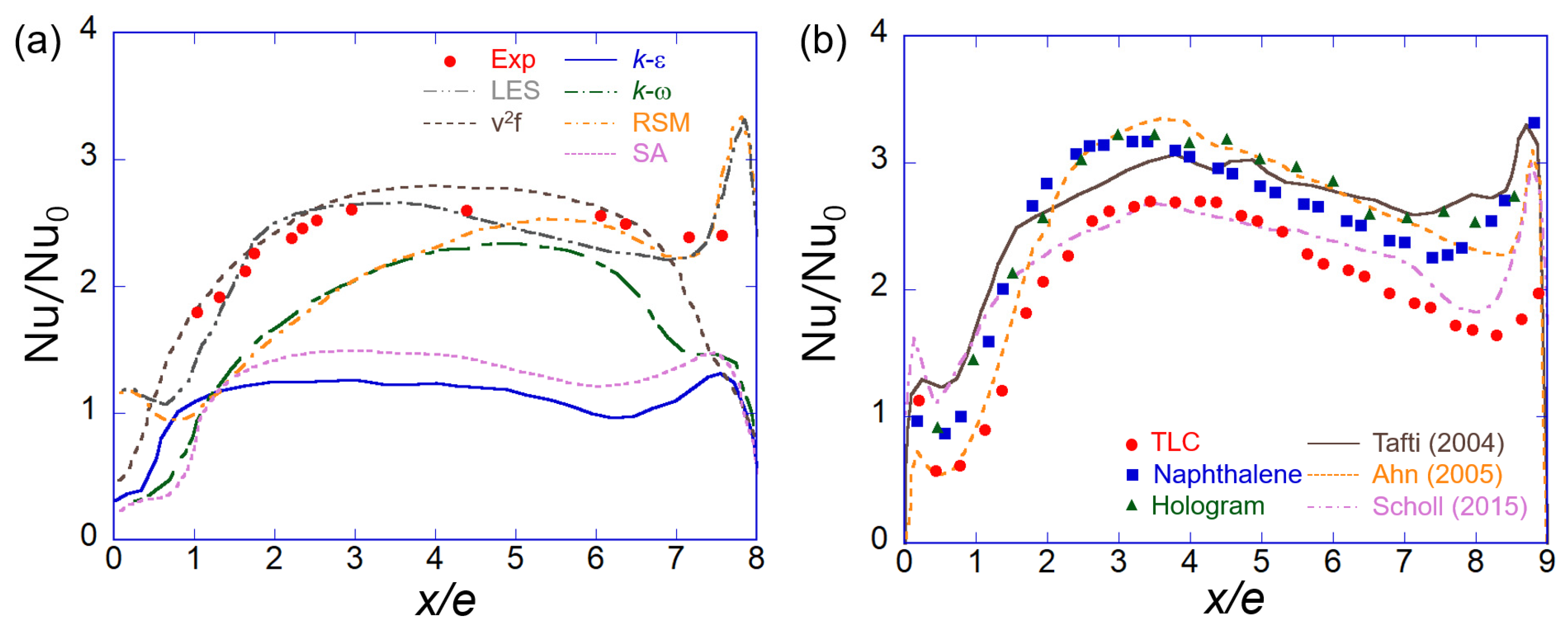
2. Numerical Challenges and Comparative Studies
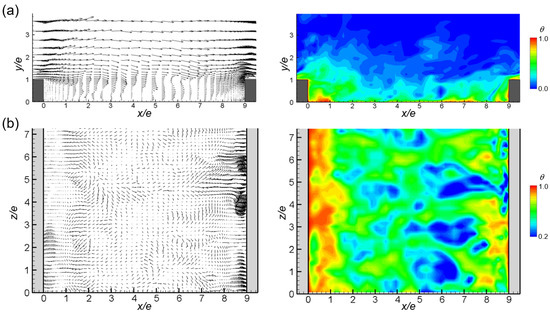
3. Instantaneous Flow and Thermal Fields
4. Heat Transfer on the Rib
5. Conjugate Heat Transfer
6. The Effects of Rotating the Gas Turbine Blade
7. Geometrical Shapes for Performance Improvement
8. Conclusions
9. Future Directions
Funding
Data Availability Statement
Conflicts of Interest
Nomenclature
| d | thickness of the channel wall [m] |
| Dh | hydraulic diameter of the channel [m] |
| e | rib height [m] |
| f | friction factor |
| h | heat transfer coefficient [W/m2K] |
| H | channel height [m] |
| kf | thermal conductivity of fluid [W/mK] |
| Nu | Nusselt number (=h Dh/kf) |
| p | rib-to-rib pitch [m] |
| Pr | Prandtl number (=ν/α) |
| Re | bulk Reynolds number (=Ub Dh/ν) |
| Ro | rotation number (=ω Dh/Ub) |
| q | heat transfer rate [W] |
| t | time [s] |
| T | temperature [K] |
| Tb | bulk temperature [K] |
| Tw | wall temperature [K] |
| Ub | bulk velocity [m/s] |
| W | channel width [m] |
| Greek symbols | |
| α | thermal diffusivity [m2/s] |
| ν | kinematic viscosity [m2/s] |
| θ | dimensionless temperature (=(T − Tb)/(Tw − Tb)) |
| Θ | time-averaged dimensionless temperature |
| Subscripts | |
| 0 | fully developed value in a smooth pipe |
References
- Han, J.C. Advanced cooling in gas turbines 2016 Max Jakob memorial award paper. J. Heat Transf. 2018, 140, 113001. [Google Scholar] [CrossRef]
- Bunker, R.S. Gas turbine heat transfer: Ten remaining hot gas path challenges. J. Turbomach. 2017, 129, 193–201. [Google Scholar] [CrossRef]
- Ekkad, S.V.; Singh, P. Detailed heat transfer measurements for rotating turbulent flows in gas turbine systems. Energies 2021, 14, 39. [Google Scholar] [CrossRef]
- Yeranee, K.; Yu, R.A.O. A review of recent studies on rotating internal cooling for gas turbine blades. Chin. J. Aeronaut. 2021, 34, 85–113. [Google Scholar] [CrossRef]
- Ligrani, P. Heat transfer augmentation technologies for internal cooling of turbine components of gas turbine engines. Int. J. Rotating Mach. 2013, 2013, 275653. [Google Scholar] [CrossRef]
- Du, W.; Luo, L.; Jiao, Y.; Wang, S.; Li, X.; Sunden, B. Heat transfer in the trailing region of gas turbines—A state-of-the-art review. Appl. Therm. Eng. 2021, 199, 117614. [Google Scholar] [CrossRef]
- Chang, S.W.; Wu, P.-S.; Wan, T.-Y.; Cai, W.-L. A review of cooling studies on gas turbine rotor blades with rotation. Inventions 2023, 8, 21. [Google Scholar] [CrossRef]
- Takeishi, K. Evolution of turbine cooled vanes and blades applied for large industrial gas turbines and its trend toward carbon neutrality. Energies 2022, 15, 8935. [Google Scholar] [CrossRef]
- Alam, T.; Saini, R.P.; Saini, J.S. Heat and flow characteristics of air heater ducts provided with turbulators—A review. Renew. Sustain. Energy Rev. 2014, 31, 289–304. [Google Scholar] [CrossRef]
- Ahn, J.; Song, J.C.; Lee, J.S. Fully coupled large eddy simulation of conjugate heat transfer in a ribbed channel with a 0.1 blockage ratio. Energies 2021, 14, 2096. [Google Scholar] [CrossRef]
- Casarsa, L.; Arts, T. Experimental investigation of the aerothermal performance of a high blockage rib-roughened cooling channel. J. Turbomach. 2005, 127, 580–588. [Google Scholar] [CrossRef]
- Keshmiri, A.; Osman, K.; Benhamadouche, S.; Shokri, N. Assessment of advanced RANS models against large eddy simulation and experimental data in the investigation of ribbed passages with passive heat transfer. Numer. Heat Transf. B 2016, 69, 96–110. [Google Scholar] [CrossRef]
- Sharma, S.K.; Kalamkar, V.R. Computational Fluid Dynamics approach in thermo-hydraulic analysis of flow in ducts with rib roughened walls—A review. Renew. Sustain. Energy Rev. 2016, 55, 756–788. [Google Scholar] [CrossRef]
- Nidhul, K.; Yadav, A.K.; Anish, S.; Kumar, S. Critical review of ribbed solar air heater and performance evaluation of various V-rib configuration. Renew. Sustain. Energy Rev. 2021, 142, 110871. [Google Scholar] [CrossRef]
- Ekkad, S.V.; Singh, P. Liquid crystal thermography in gas turbine heat transfer: A review on measurement techniques and recent investigations. Crystals 2021, 11, 1332. [Google Scholar] [CrossRef]
- Jang, H.N.; Park, J.S.; Kwak, J.S. Experimental study on heat transfer characteristics in a ribbed channel with dimples, semi-spherical protrusions, or oval protrusions. Appl. Therm. Eng. 2018, 131, 734–742. [Google Scholar] [CrossRef]
- Unnikrishnan, U.; Yang, V. A review of cooling technologies for high temperature rotating components in gas turbine. Propuls. Power Res. 2022, 11, 293–310. [Google Scholar] [CrossRef]
- Taslim, M.E.; Wadsworth, C.M. An experimental investigation of the rib surface-averaged heat transfer coefficient in a rib-roughened square passage. J. Turbomach. 1997, 119, 381–389. [Google Scholar] [CrossRef]
- Kumar, S.; Amano, R.S. An investigation in the numerical approach to solve the heat transfer phenomenon in gas turbine. J. Energy Resour. Technol. 2021, 143, 080805. [Google Scholar] [CrossRef]
- Tyacke, J.C.; Tucker, P.G. Future use of large eddy simulation in aero–engines. J. Turbomach. 2015, 137, 081005. [Google Scholar] [CrossRef]
- Tyacke, J.; Vadlamani, N.R.; Trojak, W.; Watson, R.; Ma, Y.; Tucker, P.G. Turbomachinery simulation challenges and the future. Prog. Aerosp. Sci. 2019, 110, 100554. [Google Scholar] [CrossRef]
- Han, J.C.; Dutta, S. Recent developments in turbine blade internal cooling. Ann. N. Y. Acad. Sci. USA 2001, 934, 162–178. [Google Scholar] [CrossRef] [PubMed]
- Yadav, A.S.; Agrawal, A.; Sharma, A.; Gupta, A. Revisiting the effect of ribs on performance of solar air heater using CFD approach. Mater. Today Proc. 2022, 60, 240–252. [Google Scholar] [CrossRef]
- Iacovides, H.; Launder, B.E. Computational fluid dynamics applied to internal gas-turbine blade cooling: A review. Int. J. Heat Fluid Flow 1995, 16, 454–470. [Google Scholar] [CrossRef]
- Murata, A.; Mochizuki, S. Large eddy simulation with a dynamic subgrid-scale model of turbulent heat transfer in an orthogonally rotating rectangular duct with transverse rib turbulators. Int. J. Heat Mass Transf. 2000, 43, 1243–1259. [Google Scholar] [CrossRef]
- Murata, A.; Mochizuki, S. Comparison between laminar and turbulent heat transfer in a stationary square duct with transverse or angled rib turbulators. Int. J. Heat Mass Transf. 2001, 44, 1127–1141. [Google Scholar] [CrossRef]
- Murata, A.; Mochizuki, S. Large eddy simulation of turbulent heat transfer in an orthogonally rotating square duct with angled rib turbulators. J. Heat Transf. 2001, 123, 858–867. [Google Scholar] [CrossRef]
- Murata, A.; Mochizuki, S. Effect of centrifugal buoyancy on turbulent heat transfer in an orthogonally rotating square duct with transverse or angled rib turbulators. Int. J. Heat Mass Transf. 2001, 44, 2739–2750. [Google Scholar] [CrossRef]
- Murata, A.; Mochizuki, S. Effect of cross-sectional aspect ratio on turbulent heat transfer in an orthogonally rotating rectangular duct with angled rib turbulators. Int. J. Heat Mass Transf. 2003, 46, 3119–3133. [Google Scholar] [CrossRef]
- Murata, A.; Mochizuki, S. Centrifugal buoyancy effect on turbulent heat transfer in a rotating two-pass smooth square channel with sharp 180-deg turns. Int. J. Heat Mass Transf. 2004, 47, 3215–3231. [Google Scholar] [CrossRef]
- Murata, A.; Mochizuki, S. Aiding and opposing contributions of centrifugal buoyancy on turbulent heat transfer in a two-pass transverse-or angled-rib-roughened channel with sharp 180 turns. Int. J. Heat Mass Transf. 2004, 47, 3721–3743. [Google Scholar] [CrossRef]
- Murata, A.; Mochizuki, S. Effects of centrifugal buoyancy and Reynolds number on turbulent heat transfer in a two-pass angled-rib-roughened channel with sharp 180 turns investigated by using large eddy simulation. Int. J. Rotating Mach. 2008, 2008, 764720. [Google Scholar] [CrossRef]
- Watanabe, K.; Takahashi, T. LES analysis and measurement of fully developed transverse ribbed channel flows and heat transfer. Trans. Jpn. Soc. Mech. Eng. B 2002, 68, 240–245. [Google Scholar] [CrossRef]
- Watanabe, K.; Takahashi, T. LES and measurement of heat transfer and flow in rectangular channels with crossed angled ribs. Trans. Jpn. Soc. Mech. Eng. B 2005, 17, 1459–1464. [Google Scholar] [CrossRef]
- Cui, J.; Patel, V.C.; Lin, C.L. Large-eddy simulation of turbulent flow in a channel with rib roughness. Int. J. Heat Fluid Flow 2003, 24, 372–388. [Google Scholar] [CrossRef]
- Lee, J.S.; Meng, N.; Pletcher, R.H.; Liu, Y. Numerical study of the effects of rotation on heat transfer in channels with and without ribs. Int. J. Heat Mass Transfer 2004, 47, 4673–4684. [Google Scholar] [CrossRef]
- Abdel-Wahab, S.; Tafti, D.K. Large eddy simulation of flow and heat transfer in a 90 deg ribbed duct with rotation: Effect of Coriolis and centrifugal buoyancy forces. J. Turbomach. 2004, 126, 627–636. [Google Scholar] [CrossRef]
- Tafti, D.K. Evaluating the role of subgrid stress modeling in a ribbed duct for the internal cooling of turbine blades. Int. J. Heat Fluid Flow 2005, 26, 92–104. [Google Scholar] [CrossRef]
- Sewall, E.A.; Tafti, D.K.; Graham, A.B.; Thole, K.A. Experimental validation of large eddy simulations of flow and heat transfer in a stationary ribbed duct. Int. J. Heat Fluid Flow 2006, 27, 243–258. [Google Scholar] [CrossRef]
- Viswanathan, A.K.; Tafti, D.K. Detached eddy simulation of turbulent flow and heat transfer in a two-pass internal cooling duct. Int. J. Heat Fluid Flow 2006, 27, 1–20. [Google Scholar] [CrossRef]
- Viswanathan, A.K.; Tafti, D.K. Detached eddy simulation of flow and heat transfer in fully developed rotating internal cooling channel with normal ribs. Int. J. Heat Fluid Flow 2006, 27, 351–370. [Google Scholar] [CrossRef]
- Sewall, E.A.; Tafti, D.K. Large eddy simulation of flow and heat transfer in the developing flow region of a rotating gas turbine blade internal cooling duct with Coriolis and buoyancy forces. J. Turbomach. 2008, 130, 011005. [Google Scholar] [CrossRef]
- Tafti, D.; Dowd, C.; Tan, X. High Reynold number LES of a rotating two-pass ribbed duct. Aerospace 2018, 5, 124. [Google Scholar] [CrossRef]
- Oh, T.K.; Tafti, D.K.; Nagendra, K. Fully coupled large eddy simulation-conjugate heat transfer analysis of a ribbed cooling passage using the immersed boundary method. J. Turbomach. 2021, 143, 041012. [Google Scholar] [CrossRef]
- Sreekesh, K.; Tafti, D.K.; Vengadesan, S. Large-eddy simulation investigation of modified rib shapes on heat transfer in a ribbed duct. J. Heat Transf. 2021, 143, 112101. [Google Scholar] [CrossRef]
- Sreekesh, K.; Tafti, D.K.; Vengadesan, S. The combined effect of Coriolis and centrifugal buoyancy forces on internal cooling of turbine blades with modified ribs using large eddy simulation (LES). Int. J. Therm. Sci. 2022, 182, 107797. [Google Scholar] [CrossRef]
- Ahn, J.; Choi, H.; Lee, J.S. Large eddy simulation of flow and heat transfer in a channel roughened by square or semicircle ribs. J. Turbomach. 2005, 127, 263–269. [Google Scholar] [CrossRef]
- Ahn, J.; Choi, H.; Lee, J.S. Large eddy simulation of flow and heat transfer in a rotating ribbed channel. Int. J. Heat Mass Transf. 2007, 50, 4937–4947. [Google Scholar] [CrossRef]
- Ahn, J.; Lee, J.S. Large eddy simulation of flow and heat transfer in a channel with a detached rib array. Int. J. Heat Mass Transf. 2010, 53, 445–452. [Google Scholar] [CrossRef]
- Tyagi, M.; Acharya, S. Large eddy simulations of flow and heat transfer in rotating ribbed duct flows. J. Heat Transf. 2005, 127, 486–498. [Google Scholar] [CrossRef]
- Saha, A.K.; Acharya, S. Flow and heat transfer in an internally ribbed duct with rotation: An assessment of large eddy simulations and unsteady Reynolds-averaged Navier-Stokes simulations. J. Turbomach. 2005, 127, 306–320. [Google Scholar] [CrossRef]
- Saha, A.; Acharya, S. Turbulent heat transfer in ribbed coolant passages of different aspect ratios: Parametric effects. J. Heat Transf. 2007, 129, 449–463. [Google Scholar] [CrossRef]
- Liu, Y.; Tucker, P.G.; Iacono, G.L. Comparison of zonal RANS and LES for a non-isothermal ribbed channel flow. Int. J. Heat Fluid Flow 2006, 27, 391–401. [Google Scholar] [CrossRef]
- Tyacke, J.; Tucker, P.G. Large eddy simulation of turbine internal cooling ducts. Comput. Fluids 2015, 114, 130–140. [Google Scholar] [CrossRef]
- Tyacke, J.C.; Dai, Y.; Tucker, P.G. Impact of rib shape on heat transfer using LES. Appl. Math. Model. 2021, 97, 244–267. [Google Scholar] [CrossRef]
- Lohász, M.M.; Rambaud, P.; Benocci, C. Flow features in a fully developed ribbed duct flow as a result of MILES. Flow Turbul. Combust. 2006, 77, 59–76. [Google Scholar] [CrossRef]
- Scholl, S.; Verstraete, T.; Torres-Garcia, J.; Duchaine, F.; Gicquel, L.Y.M. Influence of the thermal boundary conditions on the heat transfer of a rib-roughened cooling channel using LES. Proc. Inst. Mech. Eng. A 2015, 229, 498–507. [Google Scholar] [CrossRef]
- Scholl, S.; Verstraete, T.; Duchaine, F.; Gicquel, L. Conjugate heat transfer of a rib-roughened internal turbine blade cooling channel using large eddy simulation. Int. J. Heat Fluid Flow 2016, 61, 650–664. [Google Scholar] [CrossRef]
- Ramgadia, A.G.; Saha, A.K. Large eddy simulation of turbulent flow and heat transfer in a ribbed coolant passage. J. Appl. Math. 2012, 2012, 246313. [Google Scholar] [CrossRef]
- Borello, D.; Salvagni, A.; Hanjalić, K. Effects of rotation on flow in an asymmetric rib-roughened duct: LES study. Int. J. Heat Fluid Flow 2015, 55, 104–119. [Google Scholar] [CrossRef]
- Salvagni, A.; Borello, D.; Rispoli, F.; Hanjalić, K. Large-eddy simulations of heat transfer in asymmetric rib-roughened ducts: Effects of rotation. Int. J. Heat Fluid Flow 2017, 68, 373–385. [Google Scholar] [CrossRef]
- Labbé, O. Large-eddy-simulation of flow and heat transfer in a ribbed duct. Comput. Fluids 2013, 76, 23–32. [Google Scholar] [CrossRef]
- Jiang, Z.; Xiao, Z.; Shi, Y.; Chen, S. Constrained large-eddy simulation of turbulent flow and heat transfer in a stationary ribbed duct. Int. J. Numer. Methods Heat Fluid Flow 2016, 26, 1069–1091. [Google Scholar] [CrossRef]
- Fang, X.; Yang, Z.; Wang, B.C.; Tachie, M.F.; Bergstrom, D.J. Highly-disturbed turbulent flow in a square channel with V-shaped ribs on one wall. Int. J. Heat Fluid Flow 2015, 56, 182–197. [Google Scholar] [CrossRef]
- Fang, X.; Yang, Z.; Wang, B.C.; Tachie, M.F.; Bergstrom, D.J. Large-eddy simulation of turbulent flow and structures in a square duct roughened with perpendicular and V-shaped ribs. Phys. Fluids 2017, 29, 065110. [Google Scholar] [CrossRef]
- Mahmoodi-Jezeh, S.V.; Wang, B.C. Direct numerical simulation of turbulent heat transfer in a square duct with transverse ribs mounted on one wall. Int. J. Heat Fluid Flow 2021, 89, 108782. [Google Scholar] [CrossRef]
- Matsubara, K.; Ohta, H.; Miura, T. Entrance region heat transfer in a channel with a ribbed wall. J. Heat Transf. 2016, 138, 122001. [Google Scholar] [CrossRef]
- Matsubara, K.; Ohta, H.; Ishino, T. Direct simulation of inlet region heat transfer in a channel with repeated ribs under iso-thermal wall heating condition. Int. J. Therm. Sci. 2020, 154, 106408. [Google Scholar] [CrossRef]
- Song, J.C.; Ahn, J.; Lee, J.S. An immersed-boundary method for conjugate heat transfer analysis. J. Mech. Sci. Technol. 2017, 31, 2287–2294. [Google Scholar] [CrossRef]
- Ahn, J.; Song, J.C.; Lee, J.S. Dependence of conjugate heat transfer in ribbed channel on thermal conductivity of channel wall: An LES study. Energies 2021, 14, 5698. [Google Scholar] [CrossRef]
- Ahn, J.; Song, J.C.; Lee, J.S. Large eddy simulation of conjugate heat transfer in a ribbed channel: Reynolds number effect. Processes 2022, 10, 1928. [Google Scholar] [CrossRef]
- Abdelmoula, A.; Younis, B.A.; Spring, S.; Weigand, B. Large-eddy simulations of heated flows in ribbed channels with spanwise rotation. Numer. Heat Transf. A 2018, 74, 895–916. [Google Scholar] [CrossRef]
- Ruck, S.; Arbeiter, F. Detached eddy simulation of turbulent flow and heat transfer in cooling channels roughened by variously shaped ribs on one wall. Int. J. Heat Mass Transf. 2018, 118, 388–401. [Google Scholar] [CrossRef]
- Duchaine, F.; Gicquel, L.; Grosnickel, T.; Koupper, C. Large-eddy simulation of the flow developing in static and rotating ribbed channels. J. Turbomach. 2020, 142, 041003. [Google Scholar] [CrossRef]
- Perrot, A.; Gicquel, L.; Duchaine, F.; Odier, N.; Dombard, J.; Grosnickel, T. Unsteady analysis of heat transfer coefficient distribution in a static ribbed channel for an established flow. J. Turbomach. 2021, 143, 121004. [Google Scholar] [CrossRef]
- Zhiyin, Y. Large-eddy simulation: Past, present and the future. Chin. J. Aeronaut. 2015, 28, 11–24. [Google Scholar] [CrossRef]
- Oliver, T.A.; Bogard, D.G.; Moser, R.D. Large eddy simulation of compressible, shaped-hole film cooling. Int. J. Heat Mass Transf. 2019, 140, 498–517. [Google Scholar] [CrossRef]
- Ahn, J. Large eddy simulation of film cooling: A review. Energies 2022, 15, 8876. [Google Scholar] [CrossRef]
- Patankar, S.V.; Liu, C.H.; Sparrow, E.M. Fully developed flow and heat transfer in ducts having streamwise-periodic variations of cross-sectional area. J. Heat Transf. 1977, 99, 180–186. [Google Scholar] [CrossRef]
- Germano, M.; Piomelli, P.; Moin, P.; Cabot, W.H. A dynamic sub-grid scale eddy viscosity model. Phys. Fluids 1991, A3, 1760–1765. [Google Scholar] [CrossRef]
- Anderson, R.; Meneveau, C. Effects of the similarity model in finite-difference LES of isotropic turbulence using a Lagrangian dynamic mixed model. Flow Turbul. Combust. 1999, 62, 201–225. [Google Scholar] [CrossRef]
- Stoll, R.; Porté-Agel, F. Large-eddy simulation of the stable atmospheric boundary layer using dynamic models with different averaging schemes. Bound. Layer Meteorol. 2008, 126, 1–28. [Google Scholar] [CrossRef]
- Ooi, A.; Iaccarino, G.; Durbin, P.A.; Behnia, M. Reynolds averaged simulation of flow and heat transfer in ribbed ducts. Int. J. Heat Fluid Flow 2002, 23, 750–757. [Google Scholar] [CrossRef]
- Rau, G.; Çakan, M.; Moeller, D.; Arts, T. The effect of periodic ribs on the local aerodynamic and heat transfer performance of a straight cooling channel. J. Turbomach. 1998, 120, 368–375. [Google Scholar] [CrossRef]
- Cho, H.H.; Wu, S.J.; Kwon, H.J. Local heat/mass transfer measurements in a rectangular duct with discrete ribs. J. Turbomach. 2000, 122, 579–586. [Google Scholar] [CrossRef]
- Liou, T.M.; Hwang, J.J. Effect of ridge shapes on turbulent heat transfer and friction in a rectangular channel. Int. J. Heat Mass Transf. 1993, 36, 931–940. [Google Scholar] [CrossRef]
- Cukurel, B.; Arts, T. Local heat transfer dependency on thermal boundary condition in ribbed cooling channel geometries. J. Heat Transfer 2013, 135, 101001. [Google Scholar] [CrossRef]
- Iaccarino, G.; Ooi, A.; Durbin, P.A.; Behnia, M. Conjugate heat transfer predictions in two-dimensional ribbed passages. Int. J. Heat Fluid Flow 2002, 23, 340–345. [Google Scholar] [CrossRef]
- Cukurel, B.; Arts, T.; Selcan, C. Conjugate heat transfer characterization in cooling channels. J. Therm. Sci. 2012, 21, 286–294. [Google Scholar] [CrossRef]
- Jung, E.Y.; Chung, H.; Choi, S.M.; Woo, T.-K.; Cho, H.H. Conjugate heat transfer on full-coverage film cooling with array jet impingement with various Biot numbers. Exp. Thermal Fluid Sci. 2017, 83, 1–8. [Google Scholar] [CrossRef]
- Kim, K.M.; Kim, Y.Y.; Lee, D.H.; Rhee, D.H.; Cho, H.H. Influence of duct aspect ratio on heat/mass transfer in coolant passages with rotation. Int. J. Heat Fluid Flow 2007, 28, 357–373. [Google Scholar] [CrossRef]
- Schüler, M.; Zehnder, F.; Weigand, B.; von Wolfersdorf, J.; Neumann, S.O. The effect of turning vanes on pressure loss and heat transfer of a ribbed rectangular two-pass internal cooling channel. J. Turbomach. 2011, 133, 021017. [Google Scholar] [CrossRef]
- Krishnaswamy, K.; Sivan, S. Improvement in thermal hydraulic performance by using continuous V and W-Shaped rib turbulators in gas turbine blade cooling application. Case Stud. Therm. Eng. 2021, 24, 100857. [Google Scholar] [CrossRef]
- Ahn, J.; Kim, M.S.; Jang, S. Effects of cross-sectional aspect ratio of V-shaped ribs and blockage ratio on heat transfer in a channel at a low Reynolds number. J. Mech. Sci. Technol. 2018, 32, 5465–5473. [Google Scholar] [CrossRef]
- Lee, D.H.; Rhee, D.H.; Kim, K.M.; Cho, H.H.; Moon, H.K. Detailed measurement of heat/mass transfer with continuous and multiple V–shaped ribs in rectangular channel. Energy 2009, 24, 1770–1778. [Google Scholar] [CrossRef]
- Jin, D.; Zuo, J.; Quan, S.; Xu, S.; Gao, H. Thermohydraulic performance of solar air heater with staggered multiple V-shaped ribs on the absorber plate. Energy 2017, 127, 68–77. [Google Scholar] [CrossRef]
- Moon, M.A.; Park, M.J.; Kim, K.Y. Evaluation of heat transfer performances of various rib shapes. Int. J. Heat Mass Transf. 2014, 71, 275–284. [Google Scholar] [CrossRef]
- Togun, H.; Hamidatou, S.; Mohammed, H.I.; Abed, A.M.; Hasan, H.A.; Homod, R.Z.; Al-Fatlawi, A.W.; Al-Thamir, M.; Abdulrazzaq, T. Numerical Simulation on Heat Transfer Augmentation by Using Innovative Hybrid Ribs in a Forward-Facing Contracting Channel. Symmetry 2023, 15, 690. [Google Scholar] [CrossRef]
- Liou, T.; Wang, W.; Chang, Y. Holographic interferometry study of spatially periodic heat transfer in a channel with ribs detached from one wall. J. Heat Transfer. 1995, 117, 32–39. [Google Scholar] [CrossRef]
- Kim, S.; Suh, S.; Baek, S.; Hwang, W. The effect of single-sided ribs on heat transfer and pressure drop within a trailing edge internal channel of a gas turbine blade. J. Thermal Sci. Eng. Appl. 2022, 14, 081005. [Google Scholar] [CrossRef]
- Elyyan, M.A.; Tafti, D.K. Large eddy simulation investigation of flow and heat transfer in a channel with dimples and protrusions. J. Turbomach. 2008, 130, 041016. [Google Scholar] [CrossRef]
- Lee, Y.O.; Ahn, J.; Kim, J.; Lee, J.S. Effect of dimple arrangements on the turbulent heat transfer in a dimpled channel. J. Enhanced Heat Transf. 2012, 19, 359–367. [Google Scholar] [CrossRef]
- Hao, Z.; Gorlé, C. Large eddy simulations of forced heat convection in a pin-fin array with a priori examination of an eddy-viscosity turbulence model. Int. J. Heat Fluid Flow 2019, 77, 73–83. [Google Scholar] [CrossRef]
- Fan, X.; Li, L.; Zou, J.; Zhou, Y. Cooling methods for gas turbine blade leading edge: Comparative study on impingement cooling, vortex cooling and double vortex cooling. Int. Commun. Heat Mass Transf. 2019, 100, 133–145. [Google Scholar] [CrossRef]












| Institution | Country | Year [Ref] | Software | Reynolds Number | p/e | e/H | Aspect Ratio | Rib Geometry |
|---|---|---|---|---|---|---|---|---|
| Tokyo Univ. Agriculture and Mechanics | Japan | 2000 [25] | In-house | 4000–9000 | 10 | 0.1 | 1, 2, 4 | 90° |
| 2001 [26] | In-house | 1000, 4000 | 10 | 0.1 | 1 | 60°, 90° | ||
| 2001 [27] | In-house | 4000 | 10 | 0.1 | 1 | 60°, 90° | ||
| 2001 [28] | In-house | 4000 | 10 | 0.1 | 1 | 60°, 90° | ||
| 2003 [29] | In-house | 4000 | 10 | 0.1 | 0.25, 1, 4 | 60°, 90° | ||
| 2004 [30] | In-house | 4000 | 10 | 0.1 | 1 | 60°, 90° | ||
| 2004 [31] | In-house | 4000 | 10 | 0.1 | 1 | 60°, 90° | ||
| 2008 [32] | In-house | 1000, 4000 | 10 | 0.1 | 1 | 60° | ||
| Denken | Japan | 2002 [33] | In-house | 100,000 | 10 | 0.1 | ∞ | 90° |
| 2005 [34] | In-house | 50,000 | 10 | 0.1 | 2 | 60° | ||
| Univ. Iowa | USA | 2003 [35] | In-house | 10,020 | 1, 5, 10 | 0.1 | ∞ | 90° |
| Iowa State Univ. | USA | 2004 [36] | In-house | 5600 | 10 | 0.2 | ∞ | 90° |
| Virginia Tech | USA | 2004 [37] | In-house | 20,000 | 10 | 0.1 | 1 | 90° |
| 2005 [38] | In-house | 20,000 | 10 | 0.1 | 1 | 90° | ||
| 2006 [39] | In-house | 20,000 | 10 | 0.1 | 1 | 90° | ||
| 2006 [40] | In-house | 20,000 | 10 | 0.1 | 1 | 90° | ||
| 2006 [41] | In-house | 20,000 | 10 | 0.1 | 1 | 90° | ||
| 2008 [42] | In-house | 20,000 | 10 | 0.1 | 1 | 90° | ||
| 2018 [43] | In-house | 100,000 | 10 | 0.1 | 1 | 90° | ||
| 2021 [44] | In-house | 10,000 | 10 | 0.3 | 90° | |||
| 2021 [45] | In-house | 20,000 | 10 | 0.1 | 1 | 90°, BS, FS | ||
| 2022 [46] | In-house | 20,000 | 10 | 0.1 | 1 | 90°, BS, FS | ||
| Seoul Nat’l Univ. | Republic of Korea | 2005 [47] | In-house | 30,000 | 10 | 0.1 | ∞ | 90°, semicircle |
| 2007 [48] | In-house | 30,000 | 10 | 0.1 | ∞ | 90° | ||
| 2010 [49] | In-house | 30,000 | 10 | 0.1 | ∞ | 90°, detached | ||
| Louisiana State Univ. | USA | 2005 [50] | In-house | 12,500 | 10 | 0.1 | 1 | 90° |
| 2005 [51] | In-house | 25,000 | 10 | 0.1 | 0.25, 1, 4 | 90° | ||
| 2007 [52] | In-house | 25,000, 100,000 | 10 | 0.1 | 0.25, 1, 4 | 90° | ||
| Cambridge | UK | 2005 [53] | In-house | 14,200 | 20 | 0.1 | 1 | 90° |
| 2015 [54] | In-house | 20,000 | 10 | 0.1 | 1 | 90° | ||
| 2021 [55] | In-house | 14,200 | 20 | 0.1 | 1 | 90° | ||
| Von Karman Institute | Belgium | 2006 [56] | Fluent6.1 | 40,000 | 10 | 0.3 | 1 | 90° |
| 2015 [57] | In-house | 40,000 | 10 | 0.3 | 1 | 90° | ||
| 2016 [58] | In-house | 40,000 | 10 | 0.3 | 1 | 90° | ||
| IIT | India | 2012 [59] | In-house | 2053 | 10 | 0.1 | 1 | 90° |
| Univ. Manchester | UK | 2015 [12] | In-house | 30,000 | 9 | 0.1 | ∞ | 90° |
| Sapienza Univ. Roma | Italy | 2015 [60] | In-house | 15,000 | 10 | 0.1 | 1 | 90° |
| 2017 [61] | In-house | 15,000 | 10 | 0.1 | 1 | 90° | ||
| ONERA | France | 2016 [62] | In-house | 40,000 | 10 | 0.3 | 1 | 90° |
| Peking Univ. | China | 2016 [63] | In-house | 30,000 | 9 | 0.1 | 1 | 90° |
| Univ, Manitoba | Canada | 2015 [64] | PIV | 13,000 | 8 | 0.1 | 1 | 90°, V(30,45,60°) |
| 2017 [65] | In-house | 5600 | 8 | 0.1 | 1 | 90°, V(45,60°) | ||
| 2021 [66] | In-house | 5600 | 8 | 0.1 | 1 | 90° | ||
| Niigata Univ. | Japan | 2016 [67] | In-house | 5000 | 2, 4, 8, 16 | 0.1 | ∞ | 90° |
| 2020 [68] | In-house | 5000 | 2, 4, 8, 16 | 0.1 | ∞ | 90° | ||
| Kookmin Univ. | Republic of Korea | 2017 [69] | In-house | 30,000 | 10 | 0.1 | ∞ | 90° |
| 2021 [10] | In-house | 30,000 | 10 | 0.1 | ∞ | 90° | ||
| 2021 [70] | In-house | 30,000 | 10 | 0.1 | ∞ | 90° | ||
| 2022 [71] | In-house | 30,000 | 10 | 0.1 | ∞ | 90° | ||
| Univ. Stuttgart | Germany | 2018 [72] | o-FOAM | 30,000 | 10 | 0.1 | 1 | |
| Karlsruhe Institute of Tech. | Germany | 2018 [73] | Fluent v.15 | 100,000 | 10 | 0.1 | 1 | 90, V(60°) |
| CEFRACS | France | 2020 [74] | In-house | 15,000 | 10 | 0.1 | 1 | 90° |
| 2021 [75] | In-house | 15,000 | 10 | 0.1 | 1 | 90° |
Disclaimer/Publisher’s Note: The statements, opinions and data contained in all publications are solely those of the individual author(s) and contributor(s) and not of MDPI and/or the editor(s). MDPI and/or the editor(s) disclaim responsibility for any injury to people or property resulting from any ideas, methods, instructions or products referred to in the content. |
© 2023 by the author. Licensee MDPI, Basel, Switzerland. This article is an open access article distributed under the terms and conditions of the Creative Commons Attribution (CC BY) license (https://creativecommons.org/licenses/by/4.0/).
Share and Cite
Ahn, J. Large Eddy Simulation of Flow and Heat Transfer in a Ribbed Channel for the Internal Cooling Passage of a Gas Turbine Blade: A Review. Energies 2023, 16, 3656. https://doi.org/10.3390/en16093656
Ahn J. Large Eddy Simulation of Flow and Heat Transfer in a Ribbed Channel for the Internal Cooling Passage of a Gas Turbine Blade: A Review. Energies. 2023; 16(9):3656. https://doi.org/10.3390/en16093656
Chicago/Turabian StyleAhn, Joon. 2023. "Large Eddy Simulation of Flow and Heat Transfer in a Ribbed Channel for the Internal Cooling Passage of a Gas Turbine Blade: A Review" Energies 16, no. 9: 3656. https://doi.org/10.3390/en16093656
APA StyleAhn, J. (2023). Large Eddy Simulation of Flow and Heat Transfer in a Ribbed Channel for the Internal Cooling Passage of a Gas Turbine Blade: A Review. Energies, 16(9), 3656. https://doi.org/10.3390/en16093656
