A Novel PAPR Reduction Scheme for Low-Cost Terminals in 6G
Abstract
1. Introduction
2. An Overview of Existing PAPR Reduction Schemes
3. Hardware Design Perspectives of Low PAPR Waveforms
4. Modulation and Performance Evaluation
4.1. (1 + D) pi/2(N + 1) BPSK Modulation
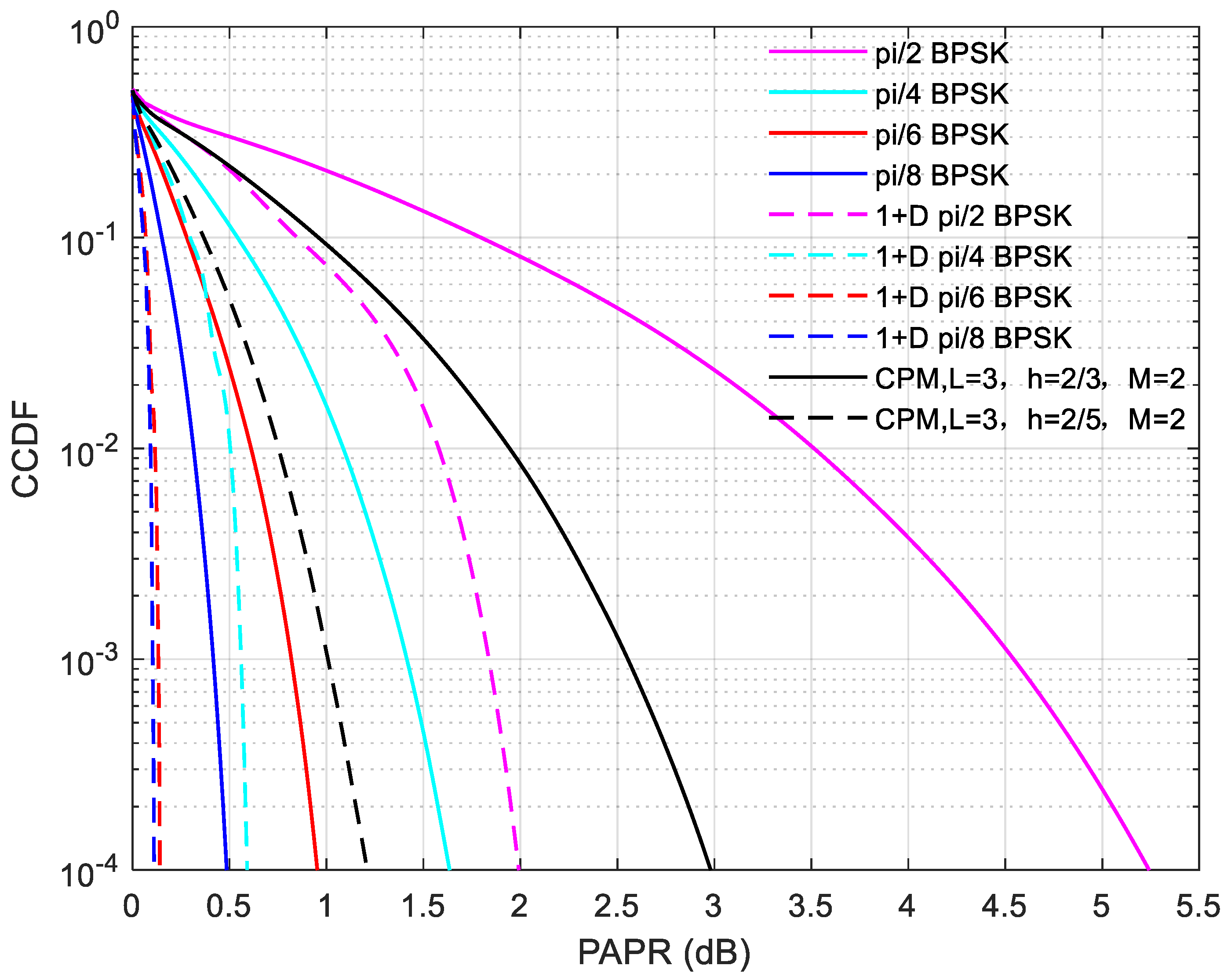
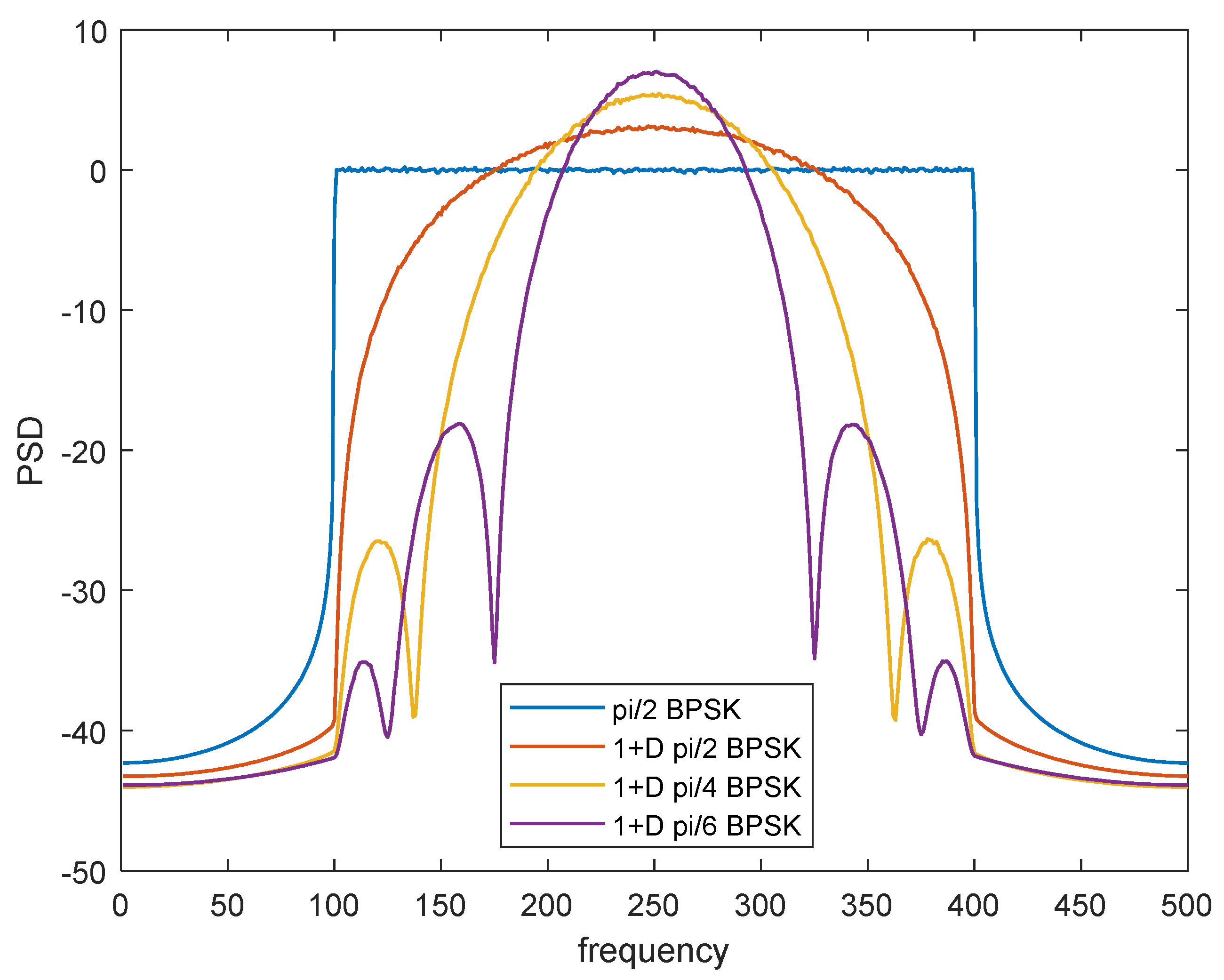
4.2. PAPR and PSD Performance
5. Demodulation and Performance Evaluation
5.1. Log Likelihood Ratio-Based Soft Demodulation
5.2. BLER Performance
6. Conclusions
Author Contributions
Funding
Conflicts of Interest
References
- Latva-aho, M.; Leppänen, K. (Eds.) Key Drivers and Research Challenges for 6G Ubiquitous Wireless Intelligence; White Paper; 6G Flagship, University of Oulu: Oulu, Finland, 2019; pp. 7–30. [Google Scholar]
- Saad, W.; Bennis, M.; Chen, M. A Vision of 6G Wireless Systems: Applications, Trends, Technologies, and Open Research Problems. IEEE Netw. 2020, 34, 134–142. [Google Scholar] [CrossRef]
- Zhang, H.; Yang, L.-L.; Hanzo, L. Piecewise Companding Transform Assisted Optical-OFDM Systems for Indoor Visible Light Communications. IEEE Access 2017, 5, 295–311. [Google Scholar] [CrossRef]
- Xin, Y.; Bao, T.; Hua, J. A Novel Waveform with 1+D Filter Scheme for THz Communications. In Proceedings of the 2022 International Wireless Communications and Mobile Computing (IWCMC), Dubrovnik, Croatia, 30 May–3 June 2022; pp. 1374–1379. [Google Scholar] [CrossRef]
- Zhang, H.; Yang, L.-L.; Hanzo, L. Compressed Sensing Improves the Performance of Subcarrier Index-Modulation-Assisted OFDM. IEEE Access 2016, 4, 7859–7873. [Google Scholar] [CrossRef]
- Na, D.; Choi, K. DFT Spreading-Based Low PAPR FBMC with Embedded Side Information. IEEE Trans. Commun. 2020, 68, 1731–1745. [Google Scholar] [CrossRef]
- Shehzadi, S.; Sheikh, S.A.; Kulsoom, F.; Zeeshan, M.; Khan, Q.U. A Robust Timing and Phase Offset Estimation Technique for CPM-DSSS-Based Secured Communication Link. IEEE Access 2021, 9, 111143–111151. [Google Scholar] [CrossRef]
- Zhou, Y.; Yang, Y.; Zhou, Z.; Anand, K.; Hu, S.; Guan, Y.L. New Complementary Sets with Low PAPR Property under Spectral Null Constraints. IEEE Trans. Inf. Theory 2020, 66, 7022–7032. [Google Scholar] [CrossRef]
- Huang, Y.; Hu, S.; Ma, S.; Liu, Z.; Xiao, M. Designing Low-PAPR Waveform for OFDM-Based RadCom Systems. IEEE Trans. Wirel. Commun. 2022, 21, 6979–6993. [Google Scholar] [CrossRef]
- Hua, L.; Wang, Y.; Lian, Z.; Su, Y.; Xie, Z. Low-Complexity PAPR-Aware Precoding for Massive MIMO-OFDM Downlink Systems. IEEE Wirel. Commun. Lett. 2022, 11, 1339–1343. [Google Scholar] [CrossRef]
- Qin, Y.; Liao, X.; Li, A.; Masouros, C. Low-Complexity PAPR Minimization for Symbol Level Precoded Multi-User MISO-OFDM System. IEEE Commun. Lett. 2022, 26, 409–413. [Google Scholar] [CrossRef]
- Liu, Z.; Hu, X.; Han, K.; Zhang, S.; Sun, L.; Xu, L.; Wang, W.; Ghannouchi, F.M. Low-Complexity PAPR Reduction Method for OFDM Systems Based on Real-Valued Neural Networks. IEEE Wirel. Commun. Lett. 2020, 9, 1840–1844. [Google Scholar] [CrossRef]
- Cheng, X.; Liu, D.; Shi, W.; Zhao, Y.; Li, Y.; Kong, D. A Novel Conversion Vector-Based Low-Complexity SLM Scheme for PAPR Reduction in FBMC/OQAM Systems. IEEE Trans. Broadcast. 2020, 66, 656–666. [Google Scholar] [CrossRef]
- Fathy, S.A.; Ibrahim, M.; El-Agooz, S.; El-Hennawy, H. Low-Complexity SLM PAPR Reduction Approach for UFMC Systems. IEEE Access 2020, 8, 68021–68029. [Google Scholar] [CrossRef]
- Zhang, H.; Yang, L.-L.; Hanzo, L. Compressed Impairment Sensing-Assisted and Interleaved-Double-FFT-Aided Modulation Improves Broadband Power Line Communications Subjected to Asynchronous Impulsive Noise. IEEE Access 2016, 4, 81–96. [Google Scholar] [CrossRef]
- 3GPP. 3GPP TSG 38.211-BR, NR Physical Channels and Modulation. 3rd Generation Partnership Project (3GPP), March 2019, v15.5.0. Available online: https://portal.3gpp.org/desktopmodules/Specifications/SpecificationDetails.aspx?specificationId=3213 (accessed on 1 February 2023).
- Qualcomm Incorporated. Lower PAPR Reference Signals. In Proceedings of the 3GPP TSG RAN WG1 Meeting #94bis, Chengdu, China, 8–12 October 2018. R1-1811280. [Google Scholar]
- Qualcomm Incorporated. Description of 8-BPSK for the NB-IoT Uplink. In Proceedings of the 3GPP TSG RAN WG1 #83, Anaheim, CA, USA, 15–22 November 2015. R1-157607. [Google Scholar]
- Ramírez-Pérez, A.; Aldana-López, R.; Longoria-Gandara, O.; Valencia-Velasco, J.; Pizano-Escalante, L.; Parra-Michel, R. Modular Arithmetic CPM for SDR Platforms. IEEE Trans. Circuits Syst. II Express Briefs 2022, 69, 2111–2115. [Google Scholar] [CrossRef]
- Samsung. Spectrum Shaping for π/2-BPSK DFT-s-OFDM. In Proceedings of the 3GPP TSG RAN WG1 Meeting #89, Hangzhou, China, 15–19 May 2017. R1-1709043. [Google Scholar]
- Ramabadran, P.; Afanasyev, P.; Malone, D.; Leeser, M.; McCarthy, D.; O’Brien, B.; Farrell, R.; Dooley, J. A Novel Physical Layer Authentication with PAPR Reduction Based on Channel and Hardware Frequency Responses. IEEE Trans. Circuits Syst. I Regul. Pap. 2020, 67, 526–539. [Google Scholar] [CrossRef]
- Şahin, A. Encoding and Decoding with Partitioned Complementary Sequences for Low-PAPR OFDM. IEEE Trans. Wirel. Commun. 2022, 21, 2561–2572. [Google Scholar] [CrossRef]
- Tahkoubit, K.; Shaiek, H.; Roviras, D.; Faci, S.; Ali-Pacha, A. Generalized Iterative Dichotomy PAPR Reduction Method for Multicarrier Waveforms. IEEE Access 2021, 9, 114235–114245. [Google Scholar] [CrossRef]
- Choi, Y.C.; Choi, W.; Oh, H.; Chen, Y.; Shin, J.; Jeon, H.; Hwang, K.C.; Lee, K.-Y.; Yang, Y. Doherty Power Amplifier with Extended High-Efficiency Range Based on the Utilization of Multiple Output Power Back-Off Parameters. IEEE Trans. Microw. Theory Tech. 2022, 70, 2258–2270. [Google Scholar] [CrossRef]
- Thota, S.; Kamatham, Y.; Paidimarry, C.S. Analysis of Hybrid PAPR Reduction Methods of OFDM Signal for HPA Models in Wireless Communications. IEEE Access 2020, 8, 22780–22791. [Google Scholar] [CrossRef]
- Ramírez-Pérez, A.; Parra-Michel, R.; Rodríguez-García, A.; González-Pérez, L.F. A New Single h and Multi-h CPM Transmitter. IEEE Trans. Circuits Syst. I Regul. Pap. 2016, 63, 716–726. [Google Scholar] [CrossRef]
- Valencia-Velasco, J.; Longoria-Gandara, O.; Aldana-Lopez, R.; Pizano-Escalante, L. Low-Complexity Maximum-Likelihood Detector for IoT BLE Devices. IEEE Internet Things J. 2020, 7, 4737–4745. [Google Scholar] [CrossRef]
- Kim, J.; Yun, Y.H.; Kim, C.; Cho, J.H. Minimization of PAPR for DFT-Spread OFDM with BPSK Symbols. IEEE Trans. Veh. Technol. 2018, 67, 11746–11758. [Google Scholar] [CrossRef]
- Zhang, H.; Yang, L.-L.; Hanzo, L. LDPC-Coded Index-Modulation Aided OFDM for In-Vehicle Power Line Communications. In Proceedings of the 2016 IEEE 83rd Vehicular Technology Conference (VTC Spring), Nanjing, China, 15–18 May 2016; pp. 1–5. [Google Scholar] [CrossRef]







| Waveform | Techniques | Advantages | Limitations |
|---|---|---|---|
| OFDM | Companding | Low PAPR | High complexity |
| Piecewise Linear Companding | Low PAPR Better BER performance Low complexity | High OOBE | |
| Complementary set sequences | Low PAPR Low spectral nulls | Hard to implement | |
| Constructive interference | Low complexity | High PAPR | |
| lexicographical symbol position permutation | Low PAPR | / | |
| Neural network | Low PAPR Better BER performance | Higher complexity | |
| FBMC | Dispersive selection mapping | Low PAPR Low complexity | Higher PAPR incompatible with MIMO. |
| LP-FBMC | Low PAPR Better SI solution | / | |
| UFMC | Modified selected mapping | Low PAPR | High complexity |
| DFT-s-OFDM | (1 + D) filter | Low PAPR Low OOBE | High demodulation complexity |
| Chirp signal | Better BER Better OOBE | High complexity | |
| CPM | Low PAPR | Require new hardware design |
| Hardware | PAPR Reduction Schemes | Waveform | Advantages |
|---|---|---|---|
| Modulator | MA-DSP Multi-h CPM | Multicarrier waveforms | Low memory resources |
| CPM | Single carrier | Low memory cost | |
| SOQPSK | Single carrier | Low hardware cost | |
| Encoder | Encryption encoder and decoder | OFDM | Low PAPR |
| Partitioned complementary sequences | OFDM | Low PAPR | |
| Power amplifiers | Iterative Dichotomy | OFDM | Low PAPR |
| Doherty power amplifiers | OFDM | Low PAPR Low power consumption | |
| Hybrid PAPR reduction method based on HPA | OFDM | Low PAPR | |
| Receiver | New metrics | Single carrier | Low resources cost |
| Description | Value |
|---|---|
| Waveform | DFT-s-OFDM |
| FFT Number | 4800 |
| Available Carrier Number | 600 |
| Symbol Number | 15 |
| Transfer Length | 500 subframes |
| Oversampling Ratio | 8 times |
| Description | Value |
|---|---|
| Waveform | DFT-s-OFDM |
| FFT Number | 300, 500 |
| Available Carrier Number | 300 |
| Symbol Number | 15 |
| Transfer Length | 500 sub-frames |
| Oversampling Ratio | 5/3 times |
| ||||
| Bit\Symbol | s2i−2 | s2i−1 | s2i | s2i+1 |
| 0 | 3, 6 | 4, 5 | 4, 5 | 3, 6 |
| 1 | 2, 7 | 1, 8 | 1, 8 | 2, 7 |
| ||||
| Bit\Symbol | s2i | s2i+1 | s2i+2 | s2i+3 |
| 0 | 5, 8 | 6, 7 | 6, 7 | 5, 8 |
| 1 | 1, 4 | 2, 3 | 2, 3 | 1, 4 |
| Description | Value |
|---|---|
| Waveform | DFT-s-OFDM |
| FFT Number | 1024, 512 |
| RB Number | 56, 25 |
| Channel Model | AWGN TDL-D 10 Hz 300 ns, TDL-A 10 Hz 300 ns |
| Modulation Mode | pi/2 BPSK, 1 + D pi/4 BPSK |
| Coding Scheme | Low Density Parity Check Code (LDPC) |
| Channel Estimation | Ideal Channel Estimation |
Disclaimer/Publisher’s Note: The statements, opinions and data contained in all publications are solely those of the individual author(s) and contributor(s) and not of MDPI and/or the editor(s). MDPI and/or the editor(s) disclaim responsibility for any injury to people or property resulting from any ideas, methods, instructions or products referred to in the content. |
© 2023 by the authors. Licensee MDPI, Basel, Switzerland. This article is an open access article distributed under the terms and conditions of the Creative Commons Attribution (CC BY) license (https://creativecommons.org/licenses/by/4.0/).
Share and Cite
Xin, Y.; Hua, J.; Bao, T.; Zhang, H. A Novel PAPR Reduction Scheme for Low-Cost Terminals in 6G. Energies 2023, 16, 3307. https://doi.org/10.3390/en16083307
Xin Y, Hua J, Bao T, Zhang H. A Novel PAPR Reduction Scheme for Low-Cost Terminals in 6G. Energies. 2023; 16(8):3307. https://doi.org/10.3390/en16083307
Chicago/Turabian StyleXin, Yu, Jian Hua, Tong Bao, and Hongming Zhang. 2023. "A Novel PAPR Reduction Scheme for Low-Cost Terminals in 6G" Energies 16, no. 8: 3307. https://doi.org/10.3390/en16083307
APA StyleXin, Y., Hua, J., Bao, T., & Zhang, H. (2023). A Novel PAPR Reduction Scheme for Low-Cost Terminals in 6G. Energies, 16(8), 3307. https://doi.org/10.3390/en16083307

