Escope: An Energy Efficiency Simulator for Internet Data Centers
Abstract
1. Introduction
1.1. Energy Efficiency Indicators for Data Centers
1.2. Energy Efficiency and Energy Proportionality of Servers
1.3. Data Center Simulation Tool
- (1)
- Escope: This paper proposes the idea of simulating data center energy efficiency, which is different from other simulators. Escope can clarify the energy usage of data centers according to different workload conditions and server configurations and model and visualize them;
- (2)
- Flexibility: Escope allows for a variety of simulation strategies, and data center operators can simulate energy efficiency according to their own needs;
- (3)
- Depth: Through Escope’s simulation experiments, it has been shown that improving energy efficiency in data centers is not simply a matter of running servers at their highest energy efficiency point or running servers at full load. Escope’s simulation algorithm can select the optimal set of servers and their corresponding utilization levels to achieve optimal energy efficiency.
2. Related Studies
3. Data Center Energy Efficiency Simulator—Escope Design
3.1. System Function Design
- (1)
- Escope integrates the monitoring solution for large-scale distributed clusters in the open-source framework Zabbix, which can collect runtime data of all servers in the cluster, including temperature, CPU utilization, memory utilization, server power consumption, memory power consumption, and power management unit (PMU) information. Monitoring items can be added at any time according to the needs of users;
- (2)
- Escope provides a load model, which integrates a variety of commonly used loads in the industry. Users only need to enter information such as memory utilization, disk I/O, and network I/O, and Escope will automatically complete the test on the designated physical machine to obtain data information. The generated data will support the data center energy efficiency simulation;
- (3)
- For cloud computing operators, Escope provides a VM power consumption model, which can automatically estimate the VM power consumption based on the system information collected on the server;
- (4)
- In addition to automatically testing the energy efficiency of the server according to the load model, Escope can also automatically obtain the server configuration and energy efficiency information (such as SPECpower) disclosed by each website to establish a server energy efficiency information database;
- (5)
- Users can make simulation policies and scenarios, such as setting the utilization rate of all servers to no more than 30% or setting the utilization range for servers to simulate the load of different business scenarios;
- (6)
- Users can add new servers and server prices to the constructed data center. After adding new machines, Escope can simulate the energy efficiency operation of the newly constructed data center and calculate the cost–benefit based on the electricity savings;
- (7)
- Escope provides a web visual interface, so users can input various parameters and display the simulation results. For example, it will classify and display the simulation results according to server parameters (CPU model, memory size, release year, etc.) to deeply analyze the energy efficiency distribution of data center servers.
3.2. Interface Design
- (1)
- Data interface: This interface is mainly used to test and collect energy efficiency information of data center servers, including three components: monitoring, energy efficiency testing, and VM power consumption model. The monitoring component is used to collect information about the server. The energy efficiency testing component integrates a variety of loads to perform energy efficiency testing on the server. The VM power consumption model is used to estimate the power consumption of the VM based on the monitoring information of the server;
- (2)
- External data acquisition interface: This interface is responsible for acquiring server energy efficiency information from the website that publishes server energy efficiency information, sorting the data and storing it in the Escope database; hence, even without real servers, Escope can still simulate data center energy efficiency;
- (3)
- Storage interface: The function of the storage interface is to store and classify server information obtained from various methods. Escope uses MySQL for persistent storage and Redis for data caching, thus speeding up simulation efficiency while ensuring data integrity;
- (4)
- Calculation interface: This interface includes three components, namely, the selector, the energy efficiency simulator, and the load generator. The selector can select qualified server information and quantity from the database according to the parameters provided by the user to construct the data center to be simulated. The load generator can estimate the total throughput of the data center based on the typical load situation of the data center and then input it into the simulator for simulation. The simulator contains an energy efficiency simulation algorithm, which executes the simulation algorithm according to the simulation strategy parameters input by the user. Then, it generates a report after the simulation ends and displays the simulation result on the Web interface;
- (5)
- Visual interface: The visual interface has two functions. The first is to receive simulation parameters provided by users, such as simulation strategies and server combination strategies. The second is to display Escope simulation results for users to analyze;
- (6)
- External call: Escope provides an external call interface, and other systems in the data center can call the simulation results generated by Escope through RPC (remote procedure call).
- (1)
- First, users collect information about the server’s energy efficiency, either by crawling from some web sites (SPECpower, for example) or by entering custom server information through a web interface;
- (2)
- Then, users enter the selection parameters, the selector selects the server according to the parameters and builds the data center to be simulated. The parameters can be server type, server release year, server quantity, and CPU type;
- (3)
- Next, the user inputs a simulation strategy, which can be to limit the total power consumption of the data center or the throughput that the data center needs to achieve. The goal of the simulator is always to select the server and its utilization rate under the existing simulation strategy to maximize the energy efficiency of the data center, thereby maximizing the throughput and energy efficiency of the data center;
- (4)
- Finally, when the simulation is completed, the simulator will send the results to the Web server in JSON format and generate a corresponding result report. The web interface will display different types of simulation result data and charts according to the simulation result, which is convenient for users to view and analyze the data.
3.3. Energy Efficiency Simulation Algorithm for the Data Center
| Algorithm 1: Maximizing throughput simulation algorithm |
| Input: Data center server set N, Total power P Output: Optimal solution bestvalue |
| 1: 2: 3: 4: 5: 6: 7: 8: 9: 10: 11: 12: 13: 14: 15: 16: |
| Algorithm 2: Minimizing total power consumption simulation algorithm |
| Input: Data center server set , Total throughput Output: Optimal solution |
| 1: 2: 3: // maximum power consumption of data center servers 4: 5: 6: 7: 8: 9: 10: 11: 12: 13: 14: 15: 16: 17: 18: 19: 20: 21: |
| Algorithm 3: Server Selection Result output |
| Input: Output: |
| 1: 2: 3: 4: 5: 6: 7: 8: 9: 10: 11: 12: 13: 14: 15: |
| Algorithm 4: Simulated Annealing algorithm |
| Input: , , Output: |
| 1: 2: 3: 4: 5: 6: 7: 8: 9: 10: 11: 12: 13: 14: 15: 16: 17: |
4. Experiment and Analysis
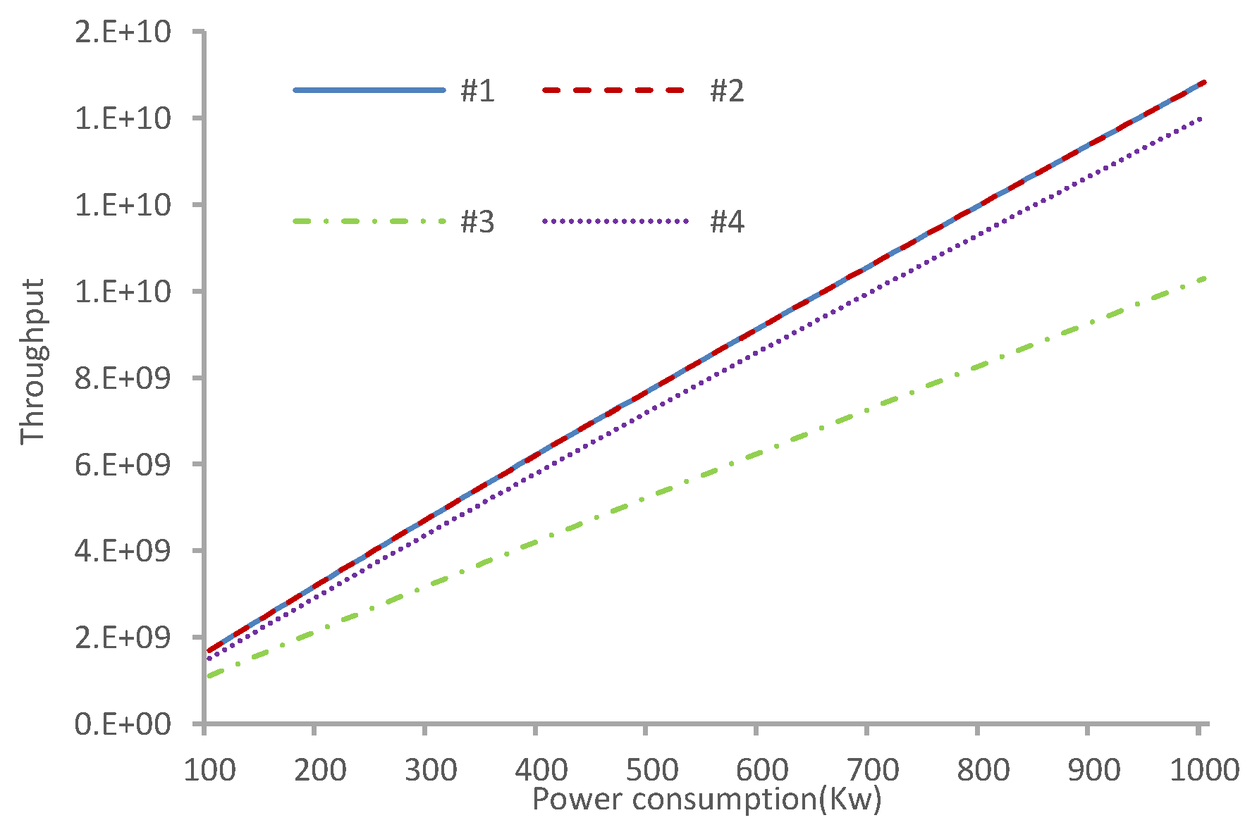
- (1)
- Data center #1: the server can choose to run at any utilization;
- (2)
- Data center #2: the server is always running at the highest energy efficiency;
- (3)
- Data center #3: server utilization is less than 30%;
- (4)
- Data center #4: the server runs at 100% utilization.
4.1. Simulation of Maximum Throughput in Data Center with Limited Power Consumption
- (1)
- Under the same power consumption limit, the number of online servers at peak energy efficiency (data center #2) is about 29.86% higher than servers at 100% utilization (data center #4), and the total number of tasks in the entire data center (ssj_ops) increased by 7.17%;
- (2)
- The number of servers in data center #1 is slightly lower than that in data center #2, but the throughput is 2% higher than that of servers running at peak energy efficiency utilization (data center #2).
- (3)
- The server utilization rate of the traditional data center is lower than 30% (data center #3), and the average throughput is 33% lower than that of data center #1. However, the number of online servers has increased by 25% when compared to #1. The largest number of online servers means that data center #3 has better redundancy, which can ensure that the data center provides stable services.
4.2. Simulation of Power Minimization with Data Center Throughput Preserved
5. Discussion
6. Conclusions
- (1)
- The energy efficiency of the data center cannot be improved by running the server at the highest energy efficiency point or by running the server under full load. The simulation algorithm provided by Escope can select the optimal server set and their corresponding utilization rate;
- (2)
- Escope can set a variety of simulation strategies, and data center operators can simulate data center energy efficiency according to their own needs;
- (3)
- When limiting the server utilization rate to less than 30%, almost all simulation results of the server run at 30% utilization rate. This is because under the existing architecture, the energy efficiency of the server at 30% utilization rate must be higher than a utilization rate of less than 30%, so most of the selected servers run at 30% utilization rate;
- (4)
- Escope can calculate the electricity cost saved by introducing new servers in the data center. This function provides an important reference for operators to purchase servers and design data centers.
Author Contributions
Funding
Data Availability Statement
Acknowledgments
Conflicts of Interest
References
- Cook, G. How Dirty Is Your Data: A Look at the Energy Choices that Power Cloud Computing; Greenpeace: Amsterdam, The Netherlands, 2011. [Google Scholar]
- Pettey, C. Gartner Estimates ICT Industry Accounts for 2 Percent of Global CO2 Emissions; Gartner Symposium/ITxpo: San Francisco, CA, USA, 2007; Available online: http://www.gartner.com/us/symposiumwest (accessed on 3 January 2023).
- Jyothi, S.A.; Curino, C.; Menache, I. Morpheus: Towards Automated SLOs for Enterprise Clusters. In Proceedings of the USENIX OSDI 2016, Savannah, GA, USA, 2–4 November 2016; USENIX: Berkeley, CA, USA, 2016; pp. 117–134. [Google Scholar]
- Rajan, K.; Kakadia, D.; Curino, C. PerfOrator: Eloquent performance models for Resource Optimization. In Proceedings of the Seventh ACM Symposium on Cloud Computing, Santa Clara, CA, USA, 5–7 October 2016; pp. 415–427. [Google Scholar]
- Xu, G.; Xu, C.Z. Prometheus: Online estimation of optimal memory demands for workers in in-memory distributed computation. In Proceedings of the 2017 Symposium on Cloud Computing, Santa Clara, CA, USA, 24–27 September 2017; p. 655. [Google Scholar]
- Yan, Y.; Gao, Y.; Chen, Y.Y. Tr-spark: Transient computing for big data analytics. In Proceedings of the Seventh ACM Symposium on Cloud Computing, Santa Clara, CA, USA, 5–7 October 2016; pp. 484–496. [Google Scholar]
- Chen, W.; Rao, J.; Zhou, X. Preemptive, low latency datacenter scheduling via lightweight virtualization. In Proceedings of the USENIX Annual Technical Conference (USENIX ATC 17), Santa Clara, CA, USA, 12–14 July 2017; pp. 251–263. [Google Scholar]
- Hsu, C.-H.; Deng, Q.; Mars, J. SmoothOperator: Reducing Power Fragmentation and Improving Power Utilization in Large-scale Datacenters. In Proceedings of the 23rd International Conference on Architectural Support for Programming Languages and Operating Systems(ASPLOS ‘18), Providence, RI, USA, 13–17 April 2018; pp. 535–548. [Google Scholar]
- Gu, L.; Zhou, F.; Meng, H. Study on energy consumption and energy efficiency of data centers in China. China Energy 2010, 32, 42–45. [Google Scholar]
- Tantar, A.A.; Tantar, E. A survey on sustainability in ICT: A computing perspective. In Proceedings of the Companion Publication of the 2014 Annual Conference on Genetic and Evolutionary Computation, Vancouver, BC, Canada, 12–16 July 2014; pp. 1213–1220. [Google Scholar]
- Zhang, W.; Wen, Y.; Wong, Y.W.; Toh, K.C.; Chen, C.H. Towards joint optimization over ICT and cooling systems in data centre: A survey. IEEE Commun. Surv. Tutor. 2016, 18, 1596–1616. [Google Scholar] [CrossRef]
- Xing, B.; Lu, M.; Jin, P.; Huang, G.; Yue, L. Energy efficient query Optimization Technology for Green data Center. Comput. Res. Dev. 2019, 56, 1821–1831. [Google Scholar]
- Song, J.; Sun, Z.; Liu, H.; Bao, Y.; Yu, Y. Research Progress on Energy consumption Optimization of Hybrid Power supply data Center. J. Comput. Sci. 2018, 41, 36–54. [Google Scholar]
- Shen, H. Energy consumption calculation and energy efficiency analysis in data center energy conservation evaluation report. Eng. Res. 2019, 4, 245–246. [Google Scholar]
- Jiang, C.; Wang, Y.; Ou, D.; Qiu, Y.; Li, Y.; Wan, J.; Luo, B.; Shi, W.; Cerin, C. EASE: Energy Efficiency and Proportionality Aware Virtual Machine Scheduling. In Proceedings of the 30th International Symposium on Computer Architecture and High Performance Computing (SBAC-PAD2018), Paris, France, 24–27 September 2018. [Google Scholar]
- Ryckbosch, F.; Polfliet, S.; Eeckhout, L. Trends in server energy proportionality. Computer 2011, 44, 69–72. [Google Scholar] [CrossRef]
- Wong, D.; Annavaram, M. Knightshift: Scaling the energy proportionality wall through server-level heterogeneity. In Proceedings of the 2012 45th Annual IEEE/ACM International Symposium on Microarchitecture, Vancouver, BC, Canada, 1–5 December 2012; pp. 119–130. [Google Scholar]
- Barroso, L.A.; Hölzle, U. The case for energy-proportional computing. Computer 2007, 40, 33–37. [Google Scholar] [CrossRef]
- Buyya, R.; Ranjan, R.; Calheiros, R.N. Modeling and simulation of scalable cloud computing environments and the CloudSim toolkit: Challenges and opportunities. In Proceedings of the 2009 International Conference on High Performance Computing & Simulation, Leipzig, Germany, 21–24 June 2009; pp. 1–11. [Google Scholar]
- Calheiros, R.N.; Ranjan, R.; Beloglazov, A.; De Rose, C.A.; Buyya, R. CloudSim: A toolkit for modeling and simulation of cloud computing environments and evaluation of resource provisioning algorithms. Softw. Pract. Exp. 2011, 41, 23–50. [Google Scholar] [CrossRef]
- Calheiros, R.N.; Ranjan, R.; De Rose, C.A.F.; Buyya, R. CloudSim: A novel framework for modeling and simulation of cloud computing infrastructures and services. arXiv 2009, arXiv:0903.2525. [Google Scholar]
- Garg, S.K.; Buyya, R. Networkcloudsim: Modelling parallel applications in cloud simulations. In Proceedings of the 2011 Fourth IEEE International Conference on Utility and Cloud Computing, Washington, DC, USA, 4–9 July 2011; pp. 105–113. [Google Scholar]
- Werner, J.; Geronimo, G.; Westphall, C.; Koch, F.; Freitas, R. Simulator improvements to validate the green cloud computing approach. In Proceedings of the 7th Latin American Network Operations and Management Symposium, Quito, Ecuador, 10–11 October 2011; pp. 1–8. [Google Scholar]
- Belalem, G.; Tayeb, F.Z.; Zaoui, W. Approaches to improve the resources management in the simulator CloudSim. In Proceedings of the International Conference on Information Computing and Applications, Tangshan, China, 15–18 October 2010; Springer: Berlin, Germany, 2010; pp. 189–196. [Google Scholar]
- Li, X.; Jiang, X.; Ye, K.; Huang, P. DartCSim+: Enhanced cloudsim with the power and network models integrated. In Proceedings of the 2013 IEEE Sixth International Conference on Cloud Computing, Dresden, Germany, 9–12 December 2013; pp. 644–651. [Google Scholar]
- Bux, M.; Leser, U. DynamicCloudSim: Simulating heterogeneity in computational clouds. Future Gener. Comput. Syst. 2015, 46, 85–99. [Google Scholar] [CrossRef]
- Guérout, T.; Monteil, T.; Da Costa, G.; Calheiros, R.N.; Buyya, R.; Alexandru, M. Energy-aware simulation with DVFS. Simul. Model. Pract. Theory 2013, 39, 76–91. [Google Scholar] [CrossRef]
- Chen, W.; Deelman, E. WorkflowSim: A toolkit for simulating scientific workflows in distributed environments. In Proceedings of the 2012 IEEE 8th International Conference on E-Science, Chicago, IL, USA, 8–12 October 2012. [Google Scholar]
- Wickremasinghe, B. CloudAnalyst: A CloudSim-based tool for modelling and analysis of large scale cloud computing environments. In MEDC Project Report; Distrib. Comput. Proj. Csse Dept., University of Melbourne: Victoria, Australia, 2009; pp. 433–659. [Google Scholar]
- Wickremasinghe, B.; Calheiros, R.N.; Buyya, R. Cloudanalyst: A cloudsim-based visual modeller for analysing cloud computing environments and applications. In Proceedings of the 2010 24th IEEE International Conference on Advanced Information Networking and Applications, Perth, Australia, 20–23 April 2010; pp. 446–452. [Google Scholar]
- Kecskemeti, G. DISSECT-CF: A simulator to foster energy-aware scheduling in infrastructure clouds. Simul. Model. Pract. Theory 2015, 58, 188–218. [Google Scholar] [CrossRef]
- Tian, W.; Zhao, Y.; Xu, M.; Zhong, Y.; Sun, X. A Toolkit for Modeling and Simulation of Real-Time Virtual Machine Allocation in a Cloud Data Center. IEEE Trans. Autom. Sci. Eng. 2013, 12, 153–161. [Google Scholar] [CrossRef]
- Lim, S.H.; Sharma, B.; Nam, G.; Kim, E.K.; Das, C.R. MDCSim: A multi-tier data center simulation, platform. In Proceedings of the 2009 IEEE International Conference on Cluster Computing and Workshops, New Orleans, LA, USA, 31 August–4 September 2009; pp. 1–9. [Google Scholar]
- Kliazovich, D.; Bouvry, P.; Khan, S.U. GreenCloud: A packet-level simulator of energy-aware cloud computing data centers. J. Supercomput. 2010, 62, 1263–1283. [Google Scholar] [CrossRef]
- Hasan, M.S.; Harding, C.; Yu, H.; Griffiths, A. Modeling delay and packet drop in networked control systems using network simulator NS2. Int. J. Autom. Comput. 2005, 2, 187–194. [Google Scholar] [CrossRef]
- Kurowski, K.; Oleksiak, A.; Piątek, W.; Piontek, T.; Przybyszewski, A.; Węglarz, J. DCworms—A tool for simulation of energy efficiency in distributed computing infrastructures. Simul. Model. Pract. Theory 2013, 39, 135–151. [Google Scholar] [CrossRef]
- Sriram, I. SPECI, a simulation tool exploring cloud-scale data centres. In Proceedings of the IEEE International Conference on Cloud Computing, Bangalore, India, 21–25 September 2009; pp. 381–392. [Google Scholar]
- Avetisyan, A.I.; Campbell, R.; Gupta, I.; Heath, M.T.; Ko, S.Y.; Ganger, G.R.; Namgoong, H. Open cirrus: A global cloud computing testbed. Computer 2010, 43, 35–43. [Google Scholar] [CrossRef]
- Campbell, R.H.; Gupta, I.; Heath, M.T.; Ko, S.Y.; Kozuch, M.; Kunze, M.; Soh, Y.C. Open cirrus™ cloud computing testbed: Federated data centers for open source systems and services research. HotCloud 2009, 9, 1–5. [Google Scholar]
- Deng, Q.; Meisner, D.; Bhattacharjee, A.; Wenisch, T.F.; Bianchini, R. Coscale: Coordinating CPU and memory system DVFS in server systems. In Proceedings of the 45th Annual IEEE International Symposium on Microarchitecture, Vancouver, BC, Canada, 1–5 December 2012; pp. 143–154. [Google Scholar]
- Zhang, Y.; Liu, J.; Kandemir, M. Software-directed data access scheduling for reducing disk energy consumption. In Proceedings of the 2012 IEEE 32nd International Conference on Distributed Computing Systems, Macau, China, 18–21 June 2012; pp. 596–605. [Google Scholar]










| Characteristics | Advantages | Disadvantages | |
|---|---|---|---|
| CloudSim | Cloud computing environment simulation | Open source, user-friendly | Poor scalability |
| CloudAnalyst | Performance evaluation, cost-benefit analysis | Visualization | Not integrated with the latest version of CloudSim functionality |
| DartCSim+ | Resource allocation, load balancing | Simulates large-scale cloud environments | Steep learning curve |
| DVFStoCloudSim | Energy-aware simulation | Integrated with DVFS technology | Considers only CPU power consumption |
| WorkflowSim | Simulates workflow processes | Supports multiple workflow models | No dynamic resource scheduling algorithm |
| Number of Servers (104) | Number of Servers (105) | Number of Servers (105) | |
|---|---|---|---|
| Algorithm 1 completion time | 54 s | 228 s | 1498 s |
| Algorithm 1 accuracy | 100% | 100% | 99.4% |
| Algorithm 2 completion time | 8 s | 19 s | 488 s |
| Algorithm 2 accuracy | 99.1% | 97.6% | 94.1% |
| Data Center | Average EE | Average EP | Average Utilization |
|---|---|---|---|
| #1 | 15,331 | 0.86 | 79.75% |
| #2 | 15,148 | 0.87 | 77.95% |
| #3 | 10,571 | 0.92 | 30% |
| #4 | 14,327 | 0.83 | 100% |
| Server Name | Price (USD) | EE | Number(U) |
|---|---|---|---|
| Fusion 2288 H V5 | 7768 | 13,478 | 10 |
| Fujitsu RX2540 M4 | 11,172 | 12,842 | 10 |
| Fujitsu RX4770 M4 | 9270 | 12,828 | 10 |
| ThinkSystem SR950 | 10,025 | 12,377 | 10 |
| Sugon I820-G30 | 9487 | 12,306 | 10 |
| Throughput | Average Consumption (W) | Number of Severs Online | Time (Hour) |
|---|---|---|---|
| 11,660 | 36 | 2 | |
| 23,645 | 47 | 2 | |
| 36,967 | 71 | 2 | |
| 52,873 | 140 | 2 | |
| 70,823 | 162 | 2 | |
| 91,594 | 210 | 14 |
| Throughput | Average Consumption (W) | Number of Severs Online | Time (Hour) |
|---|---|---|---|
| 6458 | 22 | 2 | |
| 13,082 | 37 | 2 | |
| 19,946 | 41 | 2 | |
| 26,930 | 50 | 2 | |
| 37,193 | 67 | 2 | |
| 49,052 | 38 | 14 |
Disclaimer/Publisher’s Note: The statements, opinions and data contained in all publications are solely those of the individual author(s) and contributor(s) and not of MDPI and/or the editor(s). MDPI and/or the editor(s) disclaim responsibility for any injury to people or property resulting from any ideas, methods, instructions or products referred to in the content. |
© 2023 by the authors. Licensee MDPI, Basel, Switzerland. This article is an open access article distributed under the terms and conditions of the Creative Commons Attribution (CC BY) license (https://creativecommons.org/licenses/by/4.0/).
Share and Cite
Liu, J.; Yan, L.; Yan, C.; Qiu, Y.; Jiang, C.; Li, Y.; Li, Y.; Cérin, C. Escope: An Energy Efficiency Simulator for Internet Data Centers. Energies 2023, 16, 3187. https://doi.org/10.3390/en16073187
Liu J, Yan L, Yan C, Qiu Y, Jiang C, Li Y, Li Y, Cérin C. Escope: An Energy Efficiency Simulator for Internet Data Centers. Energies. 2023; 16(7):3187. https://doi.org/10.3390/en16073187
Chicago/Turabian StyleLiu, Jun, Longchuan Yan, Chengxu Yan, Yeliang Qiu, Congfeng Jiang, Yang Li, Yan Li, and Christophe Cérin. 2023. "Escope: An Energy Efficiency Simulator for Internet Data Centers" Energies 16, no. 7: 3187. https://doi.org/10.3390/en16073187
APA StyleLiu, J., Yan, L., Yan, C., Qiu, Y., Jiang, C., Li, Y., Li, Y., & Cérin, C. (2023). Escope: An Energy Efficiency Simulator for Internet Data Centers. Energies, 16(7), 3187. https://doi.org/10.3390/en16073187

