An Improved Artificial Ecosystem-Based Optimization Algorithm for Optimal Design of a Hybrid Photovoltaic/Fuel Cell Energy System to Supply A Residential Complex Demand: A Case Study for Kuala Lumpur
Abstract
1. Introduction
2. Hybrid Energy System Modelling
2.1. HPV/FC Energy System Modeling
2.1.1. PV Model
2.1.2. Electrolyser
2.1.3. Hydrogen Storage Tank
2.1.4. Fuel Cell
2.1.5. Inverter
3. Designing Problem
3.1. Cost Model
3.2. Reliability Model
3.3. Constraints
4. Optimization Method
4.1. Overview of AEO
4.1.1. Production
4.1.2. Consumption
4.1.3. Decomposition
4.2. Overview of IAEO
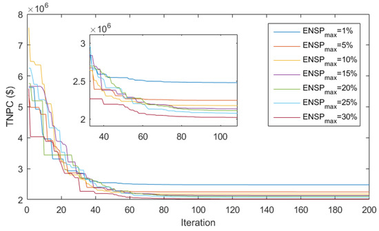
5. Implementation of the IAEO
6. Results and Discussion
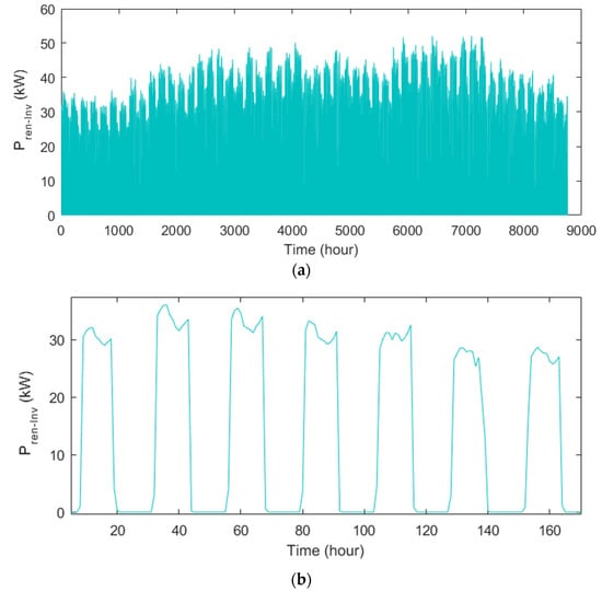
6.1. Hybrid System Data
6.2. Sizing Results for ENSPmax = 1%
6.3. Sizing Results for ENSPmax = 5%
6.4. Results Comparison
6.5. Sensitivity Analysis
6.5.1. Effect of HST Efficiency
6.5.2. Effect of Load Variation
6.6. Comparisons
7. Conclusions
Author Contributions
Funding
Institutional Review Board Statement
Informed Consent Statement
Data Availability Statement
Conflicts of Interest
References
- Alanazi, A.; Alanazi, M.; Nowdeh, S.A.; Abdelaziz, A.Y.; Abu-Siada, A. Stochastic-Metaheuristic Model for Multi-Criteria Allocation of Wind Energy Resources in Distribution Network Using Improved Equilibrium Optimization Algorithm. Electronics 2022, 11, 3285. [Google Scholar] [CrossRef]
- Alanazi, A.; Alanazi, M.; Nowdeh, S.A.; Abdelaziz, A.Y.; El-Shahat, A. An optimal sizing framework for autonomous photovoltaic/hydrokinetic/hydrogen energy system considering cost, reliability and forced outage rate using horse herd optimization. Energy Rep. 2022, 8, 7154–7175. [Google Scholar] [CrossRef]
- Naderipour, A.; Kamyab, H.; Klemeš, J.J.; Ebrahimi, R.; Chelliapan, S.; Nowdeh, S.A.; Abdullah, A.; Marzbali, M.H. Optimal design of hybrid grid-connected photovoltaic/wind/battery sustainable energy system improving reliability, cost and emission. Energy 2022, 257, 124679. [Google Scholar] [CrossRef]
- Naderipour, A.; Abdul-Malek, Z.; Vahid, M.Z.; Seifabad, Z.M.; Hajivand, M.; Arabi-Nowdeh, S. Optimal, Reliable and Cost-Effective Framework of Photovoltaic-Wind-Battery Energy System Design Considering Outage Concept Using Grey Wolf Optimizer Algorithm—Case Study for Iran. IEEE Access 2019, 7, 182611–182623. [Google Scholar] [CrossRef]
- Qi, X.; Wang, J.; Królczyk, G.; Gardoni, P.; Li, Z. Sustainability analysis of a hybrid renewable power system with battery storage for islands application. J. Energy Storage 2022, 50, 104682. [Google Scholar] [CrossRef]
- Moghaddam, M.J.H.; Kalam, A.; Nowdeh, S.A.; Ahmadi, A.; Babanezhad, M.; Saha, S. Optimal sizing and energy management of stand-alone hybrid photovoltaic/wind system based on hydrogen storage considering LOEE and LOLE reliability indices using flower pollination algorithm. Renew. Energy 2018, 135, 1412–1434. [Google Scholar] [CrossRef]
- Kaviani, A.K.; Riahy, G.H.; Kouhsari, S.H.M. Optimal design of a reliable hydrogen-based stand-alone wind/PV generating system, considering component outages. Renew. Energy 2009, 34, 2380–2390. [Google Scholar] [CrossRef]
- Hoseinzadeh, S.; Garcia, D.A. Techno-economic assessment of hybrid energy flexibility systems for islands’ decarbonization: A case study in Italy. Sustain. Energy Technol. Assess. 2021, 51, 101929. [Google Scholar] [CrossRef]
- Hassan, Q.; Jaszczur, M.; Hafedh, S.A.; Abbas, M.K.; Abdulateef, A.M.; Hasan, A.; Abdulateef, J.; Mohamad, A. Optimizing a microgrid photovoltaic-fuel cell energy system at the highest renewable fraction. Int. J. Hydrog. Energy 2022, 47, 13710–13731. [Google Scholar] [CrossRef]
- Bouaouda, A.; Sayouti, Y. Hybrid Meta-Heuristic Algorithms for Optimal Sizing of Hybrid Renewable Energy System: A Review of the State-of-the-Art. Arch. Comput. Methods Eng. 2022, 29, 4049–4083. [Google Scholar] [CrossRef]
- Al-Othman, A.; Tawalbeh, M.; Martis, R.; Dhou, S.; Orhan, M.; Qasim, M.; Olabi, A.G. Artificial intelligence and numerical models in hybrid renewable energy systems with fuel cells: Advances and prospects. Energy Convers. Manag. 2022, 253, 115154. [Google Scholar] [CrossRef]
- Sanajaoba, S. Optimal sizing of off-grid hybrid energy system based on minimum cost of energy and reliability criteria using firefly algorithm. Sol. Energy 2019, 188, 655–666. [Google Scholar] [CrossRef]
- Ghorbani, N.; Kasaeian, A.; Toopshekan, A.; Bahrami, L.; Maghami, A. Optimizing a hybrid wind-PV-battery system using GA-PSO and MOPSO for reducing cost and increasing reliability. Energy 2018, 154, 581–591. [Google Scholar] [CrossRef]
- Fodhil, F.; Hamidat, A.; Nadjemi, O. Potential, optimization and sensitivity analysis of photovoltaic-diesel-battery hybrid energy system for rural electrification in Algeria. Energy 2019, 169, 613–624. [Google Scholar] [CrossRef]
- Jahannoosh, M.; Nowdeh, S.A.; Naderipour, A.; Kamyab, H.; Davoodkhani, I.F.; Klemeš, J.J. New Hybrid Meta-Heuristic Algorithm for Reliable and Cost-Effective Designing of Photovoltaic/Wind/Fuel Cell Energy System Considering Load Interruption Probability. J. Clean. Prod. 2020, 278, 123406. [Google Scholar] [CrossRef]
- Das, B.K.; Alotaibi, M.A.; Das, P.; Islam, M.; Das, S.K.; Hossain, A. Feasibility and techno-economic analysis of stand-alone and grid-connected PV/Wind/Diesel/Batt hybrid energy system: A case study. Energy Strat. Rev. 2021, 37, 100673. [Google Scholar] [CrossRef]
- Sun, H.; Ebadi, A.G.; Toughani, M.; Nowdeh, S.A.; Naderipour, A.; Abdullah, A. Designing framework of hybrid photovoltaic-biowaste energy system with hydrogen storage considering economic and technical indices using whale optimization algorithm. Energy 2021, 238, 121555. [Google Scholar] [CrossRef]
- Bouchekara, H.R.; Shahriar, M.; Irshad, U.; Aban, Y.S.; Mahmud, M.P.; Javaid, M.; Ramli, M.A.; Farjana, S.H. Optimal sizing of hybrid photovoltaic/diesel/battery nanogrid using a parallel multiobjective PSO-based approach: Application to desert camping in Hafr Al-Batin city in Saudi Arabia. Energy Rep. 2021, 7, 4360–4375. [Google Scholar] [CrossRef]
- Mohammed, A.Q.; Al-Anbarri, K.A.; Hannun, R.M. Optimal Combination and Sizing of a Stand–Alone Hybrid Energy System Using a Nomadic People Optimizer. IEEE Access 2020, 8, 200518–200540. [Google Scholar] [CrossRef]
- Guo, X.; Zhou, L.; Guo, Q.; Rouyendegh, B.D. An optimal size selection of hybrid renewable energy system based on Fractional-Order Neural Network Algorithm: A case study. Energy Rep. 2021, 7, 7261–7272. [Google Scholar] [CrossRef]
- Mahmoud, F.S.; Diab, A.A.Z.; Ali, Z.M.; El-Sayed, A.-H.M.; Alquthami, T.; Ahmed, M.; Ramadan, H.A. Optimal sizing of smart hybrid renewable energy system using different optimization algorithms. Energy Rep. 2022, 8, 4935–4956. [Google Scholar] [CrossRef]
- Naderipour, A.; Ramtin, A.R.; Abdullah, A.; Marzbali, M.H.; Nowdeh, S.A.; Kamyab, H. Hybrid energy system optimization with battery storage for remote area application considering loss of energy probability and economic analysis. Energy 2021, 239, 122303. [Google Scholar] [CrossRef]
- Ghaffari, A.; Askarzadeh, A. Design optimization of a hybrid system subject to reliability level and renewable energy penetration. Energy 2020, 193, 116754. [Google Scholar] [CrossRef]
- Cao, Y.; Yao, H.; Wang, Z.; Jermsittiparsert, K.; Yousefi, N. Optimal Designing and Synthesis of a Hybrid PV/Fuel cell/Wind System using Meta-heuristics. Energy Rep. 2020, 6, 1353–1362. [Google Scholar] [CrossRef]
- Singh, S.; Chauhan, P.; Singh, N. Capacity optimization of grid connected solar/fuel cell energy system using hybrid ABC-PSO algorithm. Int. J. Hydrog. Energy 2020, 45, 10070–10088. [Google Scholar] [CrossRef]
- Jamshidi, M.; Askarzadeh, A. Techno-economic analysis and size optimization of an off-grid hybrid photovoltaic, fuel cell and diesel generator system. Sustain. Cities Soc. 2018, 44, 310–320. [Google Scholar] [CrossRef]
- Anoune, K.; Ghazi, M.; Bouya, M.; Laknizi, A.; Ghazouani, M.; Ben Abdellah, A.; Astito, A. Optimization and techno-economic analysis of photovoltaic-wind-battery based hybrid system. J. Energy Storage 2020, 32, 101878. [Google Scholar] [CrossRef]
- Khan, A.; Javaid, N. Optimal sizing of a stand-alone photovoltaic, wind turbine and fuel cell systems. Comput. Electr. Eng. 2020, 85, 106682. [Google Scholar] [CrossRef]
- El-Sattar, H.A.; Kamel, S.; Sultan, H.M.; Zawbaa, H.M.; Jurado, F. Optimal design of Photovoltaic, Biomass, Fuel Cell, Hydrogen Tank units and Electrolyzer hybrid system for a remote area in Egypt. Energy Rep. 2022, 8, 9506–9527. [Google Scholar] [CrossRef]
- Zhao, W.; Wang, L.; Zhang, Z. Artificial ecosystem-based optimization: A novel nature-inspired meta-heuristic algorithm. Neural Comput. Appl. 2019, 32, 9383–9425. [Google Scholar] [CrossRef]
- Long, W.; Jiao, J.; Xu, M.; Tang, M.; Wu, T.; Cai, S. Lens-imaging learning Harris hawks optimizer for global optimization and its application to feature selection. Expert Syst. Appl. 2022, 202, 117255. [Google Scholar] [CrossRef]
- Askarzadeh, A. Electrical power generation by an optimised autonomous PV/wind/tidal/battery system. IET Renew. Power Gener. 2016, 11, 152–164. [Google Scholar] [CrossRef]
- Hosseinalizadeh, R.; Shakouri, G.H.; Amalnick, M.S.; Taghipour, P. Economic sizing of a hybrid (PV–WT–FC) renewable energy system (HRES) for stand-alone usages by an optimization-simulation model: Case study of Iran. Renew. Sustain. Energy Rev. 2016, 54, 139–150. [Google Scholar] [CrossRef]
- Available online: https://solargis.com/maps-and-gis-data/download/malaysia (accessed on 8 January 2023).
- Hossain, M.Z.; Illias, H.A. Binary power generation system by utilizing solar energy in Malaysia. Ain Shams Eng. J. 2022, 13, 101650. [Google Scholar] [CrossRef]
- Ramli, M.A.; Bouchekara, H.; Alghamdi, A.S. Optimal sizing of PV/wind/diesel hybrid microgrid system using multi-objective self-adaptive differential evolution algorithm. Renew. Energy 2018, 121, 400–411. [Google Scholar] [CrossRef]
- Naderipour, A.; Abdul-Malek, Z.; Nowdeh, S.A.; Kamyab, H.; Ramtin, A.R.; Shahrokhi, S.; Klemeš, J.J. Comparative evaluation of hybrid photovoltaic, wind, tidal and fuel cell clean system design for different regions with remote application considering cost. J. Clean. Prod. 2021, 283, 124207. [Google Scholar] [CrossRef]





















| Component | (US$/Unit) | (US$/Unit) | (US$/Unit-yrs.) | Rated Size | Efficiency (%) | Lifetime (yr) |
|---|---|---|---|---|---|---|
| PV | 2000 | 1700 | 100 | 1 kW | - | 20 |
| EL | 2000 | 1500 | 25 | 1 kW | 75 | 20 |
| HST | 1300 | 1200 | 15 | 1 kg | 95 | 20 |
| FC | 4000 | 3500 | 200 | 1 kW | 50 | 5 |
| Inverter | 800 | 750 | 7 | 1 kW | 95 | 10 |
| Algorithm/Item | NPV (kW) | PEL (kW) | MHST (kg) | PFC (kW) | PInv (kW) |
|---|---|---|---|---|---|
| IAEO | 471.44 | 171.33 | 98.38 | 47.88 | 50.18 |
| AEO | 480.59 | 168.12 | 96.88 | 47.16 | 50.02 |
| PSO | 474.02 | 169.60 | 100.04 | 47.89 | 50.15 |
| MRFO | 475.94 | 168.09 | 99.94 | 47.86 | 50.11 |
| Algorithm/Item | Best (M$) | Mean (M$) | Worst (M$) | Std (M$) |
|---|---|---|---|---|
| IAEO | 2.480 | 2.491 | 2.498 | 0.0067 |
| AEO | 2.500 | 2.512 | 2.524 | 0.0104 |
| PSO | 2.487 | 2.496 | 2.503 | 0.0069 |
| MRFO | 2.490 | 2.505 | 2.514 | 0.0078 |
| Algorithm/Item | ENSP (%) | LOLE (h/yr) | LOEE (MWh/yr) | TNPC (M$) | COE ($/kWh) |
|---|---|---|---|---|---|
| IAEO | 0.0058 | 82 | 0.1612 | 2.480 | 0.4465 |
| AEO | 0.0072 | 89 | 0.1999 | 2.500 | 0.4501 |
| PSO | 0.0060 | 86 | 0.1666 | 2.487 | 0.4478 |
| MRFO | 0.0071 | 87 | 0.1971 | 2.490 | 0.4483 |
| Algorithm/Item | NPV (kW) | PEL (kW) | MHST (kg) | PFC (kW) | PInv (kW) |
|---|---|---|---|---|---|
| IAEO | 439.58 | 147.99 | 81.74 | 42.26 | 49.44 |
| AEO | 419.31 | 153.54 | 108.61 | 52.86 | 48.93 |
| PSO | 430.16 | 154.74 | 91.11 | 42.20 | 49.40 |
| MRFO | 443.67 | 148.98 | 75.30 | 41.92 | 49.35 |
| Algorithm/Item | Best (M$) | Mean (M$) | Worst (M$) | Std (M$) |
|---|---|---|---|---|
| IAEO | 2.247 | 2.252 | 2.257 | 0.0048 |
| AEO | 2.258 | 2.266 | 2.274 | 0.0077 |
| PSO | 2.249 | 2.257 | 2.263 | 0.0054 |
| MRFO | 2.251 | 2.263 | 2.270 | 0.0065 |
| Algorithm/Item | ENSP (%) | LOLE (h/yr) | LOEE (MWh/yr) | TNPC (M$) | COE ($/kWh) |
|---|---|---|---|---|---|
| IAEO | 0.0289 | 408 | 0.7925 | 2.247 | 0.4046 |
| AEO | 0.0336 | 438 | 0.9325 | 2.258 | 0.4242 |
| PSO | 0.0291 | 426 | 0.7928 | 2.249 | 0.4049 |
| MRFO | 0.0294 | 429 | 0.7435 | 2.251 | 0.4053 |
| ENSPmax/Item | NPV (kW) | PEL (kW) | MHST (kg) | PFC (kW) | PInv (kW) |
|---|---|---|---|---|---|
| 1% | 471.44 | 171.33 | 98.38 | 47.88 | 50.18 |
| 5% | 439.58 | 147.99 | 81.74 | 42.26 | 49.44 |
| 10% | 431.85 | 140.78 | 97.84 | 37.56 | 49.41 |
| 15% | 429.90 | 144.15 | 94.66 | 33.77 | 48.65 |
| 20% | 423.64 | 155.33 | 92.08 | 31.45 | 48.29 |
| 25% | 413.88 | 131.82 | 88.54 | 29.99 | 47.68 |
| 30% | 418.65 | 136.16 | 93.52 | 28.36 | 47.34 |
| ENSPmax/Item | ENSP (%) | LOLE (h/yr) | LOEE (MWh/yr) | TNPC (M$) | COE ($/kWh) |
|---|---|---|---|---|---|
| 1% | 0.0074 | 87 | 0.20599 | 2.480 | 0.4465 |
| 5% | 0.0289 | 408 | 0.7925 | 2.247 | 0.4046 |
| 10% | 0.0363 | 876 | 1.0091 | 2.178 | 0.3921 |
| 15% | 0.0384 | 1314 | 1.0654 | 2.132 | 0.3838 |
| 20% | 0.0417 | 1752 | 1.1578 | 2.109 | 0.3797 |
| 25% | 0.0520 | 2117 | 1.4450 | 2.073 | 0.3732 |
| 30% | 0.0614 | 2828 | 1.7062 | 2.018 | 0.3633 |
| HST Efficiency/Item | NPV (kW) | PEL (kW) | MHST (kg) | PFC (kW) | PInv (kW) |
|---|---|---|---|---|---|
| 80% | 445.76 | 139.58 | 79.28 | 37.01 | 49.16 |
| 85% | 477.62 | 160.12 | 88.91 | 42.22 | 50.20 |
| 90% | 461.59 | 151.16 | 81.21 | 42.30 | 49.61 |
| 95% | 439.58 | 147.99 | 81.74 | 42.26 | 49.44 |
| 100% | 423.64 | 155.33 | 92.08 | 31.45 | 48.29 |
| HST Efficiency/Item | ENSP (%) | LOLE (h/yr) | LOEE (MWh/yr) | TNPC (M$) | COE ($/kWh) |
|---|---|---|---|---|---|
| 80% | 0.0324 | 438 | 0.8997 | 2.483 | 0.4470 |
| 85% | 0.0312 | 426 | 0.8663 | 2.395 | 0.4312 |
| 90% | 0.0299 | 414 | 0.8302 | 2.318 | 0.4173 |
| 95% | 0.0289 | 408 | 0.7925 | 2.247 | 0.4046 |
| 100% | 0.0278 | 395 | 0.7719 | 2.185 | 0.3934 |
| ENSPmax/Item | NPV (kW) | PEL (kW) | MHST (kg) | PFC (kW) | PInv (kW) |
|---|---|---|---|---|---|
| 60%*PLoad | 258.36 | 91.00 | 55.70 | 25.55 | 30.13 |
| 80%*PLoad | 341.62 | 119.91 | 79.46 | 34.42 | 40.15 |
| 100%*PLoad | 439.58 | 147.99 | 81.74 | 42.26 | 49.44 |
| 120%*PLoad | 546.75 | 164.92 | 82.35 | 50.99 | 60.34 |
| 140%*PLoad | 610.44 | 204.36 | 122.92 | 59.85 | 70.25 |
| ENSPmax/Item | ENSP (%) | LOLE (h/yr) | LOEE (MWh/yr) | TNPC (M$) | COE ($/kWh) |
|---|---|---|---|---|---|
| 60%*PLoad | 0.0200 | 302 | 0.3340 | 1.349 | 0.2428 |
| 80%*PLoad | 0.0224 | 375 | 0.4979 | 1.799 | 0.3239 |
| 100%*PLoad | 0.0289 | 408 | 0.7925 | 2.247 | 0.4046 |
| 120%*PLoad | 0.0295 | 523 | 0.9838 | 2.705 | 0.4870 |
| 140%*PLoad | 0.0309 | 619 | 1.2022 | 3.147 | 0.5666 |
Disclaimer/Publisher’s Note: The statements, opinions and data contained in all publications are solely those of the individual author(s) and contributor(s) and not of MDPI and/or the editor(s). MDPI and/or the editor(s) disclaim responsibility for any injury to people or property resulting from any ideas, methods, instructions or products referred to in the content. |
© 2023 by the authors. Licensee MDPI, Basel, Switzerland. This article is an open access article distributed under the terms and conditions of the Creative Commons Attribution (CC BY) license (https://creativecommons.org/licenses/by/4.0/).
Share and Cite
Yang, J.; Chen, Y.-L.; Yee, P.L.; Ku, C.S.; Babanezhad, M. An Improved Artificial Ecosystem-Based Optimization Algorithm for Optimal Design of a Hybrid Photovoltaic/Fuel Cell Energy System to Supply A Residential Complex Demand: A Case Study for Kuala Lumpur. Energies 2023, 16, 2867. https://doi.org/10.3390/en16062867
Yang J, Chen Y-L, Yee PL, Ku CS, Babanezhad M. An Improved Artificial Ecosystem-Based Optimization Algorithm for Optimal Design of a Hybrid Photovoltaic/Fuel Cell Energy System to Supply A Residential Complex Demand: A Case Study for Kuala Lumpur. Energies. 2023; 16(6):2867. https://doi.org/10.3390/en16062867
Chicago/Turabian StyleYang, Jing, Yen-Lin Chen, Por Lip Yee, Chin Soon Ku, and Manoochehr Babanezhad. 2023. "An Improved Artificial Ecosystem-Based Optimization Algorithm for Optimal Design of a Hybrid Photovoltaic/Fuel Cell Energy System to Supply A Residential Complex Demand: A Case Study for Kuala Lumpur" Energies 16, no. 6: 2867. https://doi.org/10.3390/en16062867
APA StyleYang, J., Chen, Y.-L., Yee, P. L., Ku, C. S., & Babanezhad, M. (2023). An Improved Artificial Ecosystem-Based Optimization Algorithm for Optimal Design of a Hybrid Photovoltaic/Fuel Cell Energy System to Supply A Residential Complex Demand: A Case Study for Kuala Lumpur. Energies, 16(6), 2867. https://doi.org/10.3390/en16062867

