Multi-Objective Hybrid Optimization for Optimal Sizing of a Hybrid Renewable Power System for Home Applications
Abstract
1. Introduction
1.1. General and Motivation
1.2. Literature Review
1.3. Research Gap and Contributions
- To the authors’ best knowledge, this is the only contribution to propose an optimal mix of HRES using hybrid optimization technique as multi-objective optimization for a typical residential load in Auckland, New Zealand.
- Performance testing of the proposed optimization algorithm to justify the efficacy in designing HRES and comparing against other MOO algorithms, such as MOPSO and NSGA-II, in the literature.
- Generating multiple solutions with varying levels of LPSP to provide flexibility in choice of HRES deployment for the policy makers and energy service providers of Auckland, New Zealand.
- Statistical justification of the proposed hybridization of algorithms is provided.
1.4. Paper Structure
2. Methodology
2.1. Hybrid Renewable System Components
2.2. Load Demand
2.3. Renewable Resources
2.4. Mathematical Modeling of the System Components
2.4.1. Wind Turbine
2.4.2. Solar Photovoltaic Module
2.4.3. Battery
2.5. Problem Formulation for Optimization
3. Results and Discussion
3.1. Statistical Descriptive Performance Comparison
3.2. Performance Comparison of Normality Test for the Hybrid, NSGA II, and MOPSO Algorithms
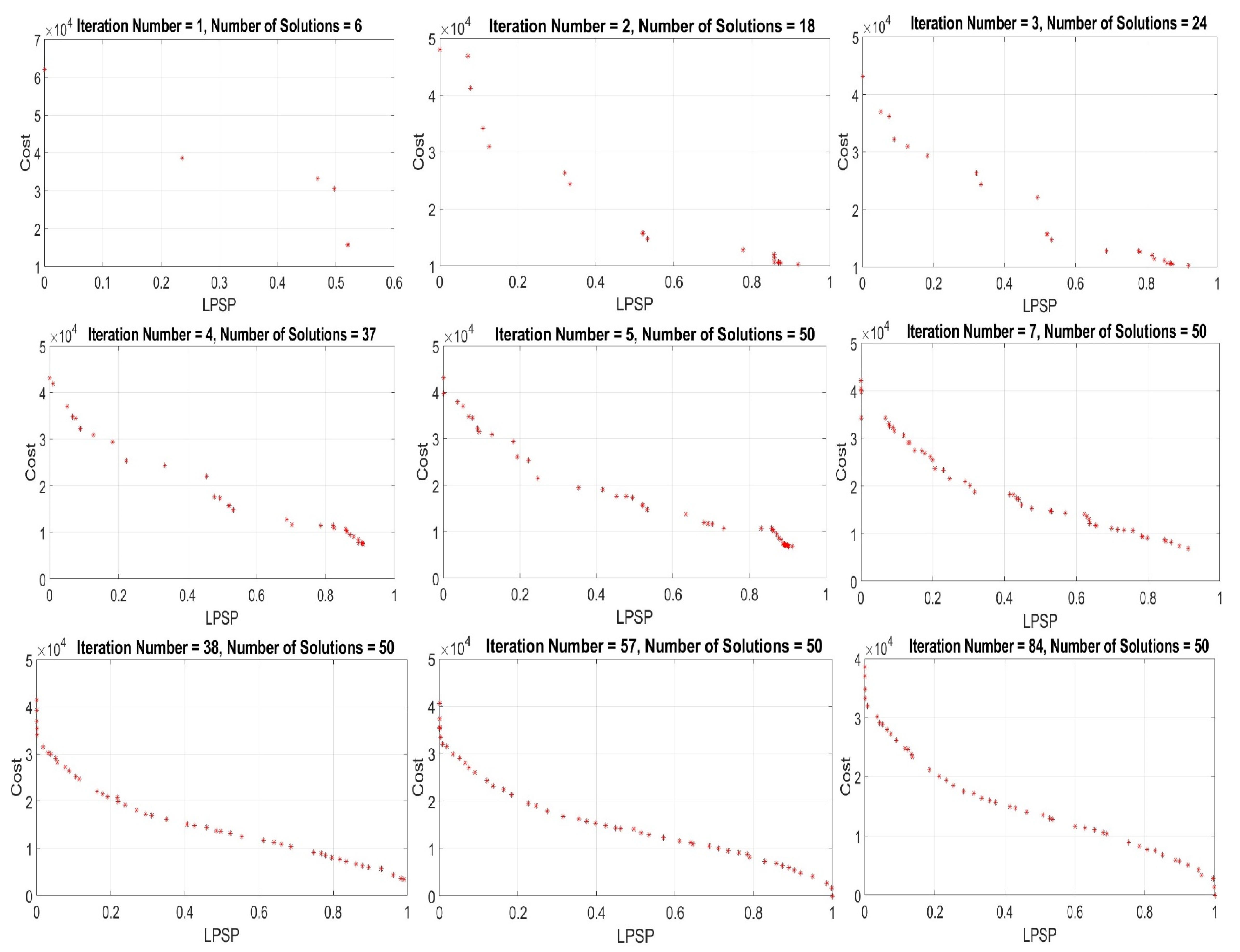
3.3. Comparative Study: Gradual Convergence towards Pareto-Optimal Front
3.4. Final Set of Solutions
3.5. Cost Reduction with Loss of Power Supply Probability Relaxation
3.6. Recommendations for Practical Implementation
4. Conclusions
Author Contributions
Funding
Data Availability Statement
Conflicts of Interest
References
- Jacobson, M.Z.; Delucchi, M.A. Providing All Global Energy with Wind, Water, and Solar Power, Part I: Technologies, Energy Resources, Quantities and Areas of Infrastructure, and Materials. Energy Policy 2011, 39, 1154–1169. [Google Scholar] [CrossRef]
- Nengroo, S.H.; Jin, H.; Lee, S. Management of Distributed Renewable Energy Resources with the Help of a Wireless Sensor Network. Appl. Sci. 2022, 12, 6908. [Google Scholar] [CrossRef]
- Sawle, Y.; Gupta, S.C.; Bohre, A.K. Review of Hybrid Renewable Energy Systems with Comparative Analysis of Off-Grid Hybrid System. Renew. Sustain. Energy Rev. 2018, 81, 2217–2235. [Google Scholar] [CrossRef]
- Deshmukh, M.; Deshmukh, S. Modeling of Hybrid Renewable Energy Systems. Renew. Sustain. Energy Rev. 2008, 12, 235–249. [Google Scholar] [CrossRef]
- Auckland Council. Auckland’s Electricity Network. Available online: http://www.aucklandcouncil.govt.nz/plans-projects-policies-reports-bylaws/our-plans-strategies/auckland-plan/development-strategy/Pages/aucklands-electricity-network.aspx (accessed on 15 December 2022).
- Auckland Council. Decentralise Renewable Energy Solutions. Available online: http://www.aucklandcouncil.govt.nz/plans-projects-policies-reports-bylaws/our-plans-strategies/topic-based-plans-strategies/environmental-plans-strategies/aucklands-climate-plan/energy-industry/Pages/decentralise-renewable-energy-solutions.aspx (accessed on 15 December 2022).
- Al-Ghussain, L.; Ahmed, H.; Haneef, F. Optimization of Hybrid PV-Wind System: Case Study Al-Tafilah Cement Factory, Jordan. Sustain. Energy Technol. Assess. 2018, 30, 24–36. [Google Scholar] [CrossRef]
- Nengroo, S.H.; Ali, M.U.; Zafar, A.; Hussain, S.; Murtaza, T.; Alvi, M.J.; Raghavendra, K.; Kim, H.J. An Optimized Methodology for a Hybrid Photo-Voltaic and Energy Storage System Connected to a Low-Voltage Grid. Electronics 2019, 8, 176. [Google Scholar] [CrossRef]
- Nengroo, S.H.; Lee, S.; Jin, H.; Har, D. Optimal Scheduling of Energy Storage for Power System with Capability of Sensing Short-Term Future PV Power Production. In Proceedings of the 11th International Conference on Power and Energy Systems (ICPES), Shanghai, China, 18–20 December 2021; IEEE: Piscataway, NJ, USA, 2021; pp. 172–177. [Google Scholar]
- Rodrigues, E.; Godina, R.; Santos, S.F.; Bizuayehu, A.W.; Contreras, J.; Catalão, J. Energy Storage Systems Supporting Increased Penetration of Renewables in Islanded Systems. Energy 2014, 75, 265–280. [Google Scholar] [CrossRef]
- Nelson, D.; Nehrir, M.; Wang, C. Unit Sizing and Cost Analysis of Stand-Alone Hybrid Wind/PV/Fuel Cell Power Generation Systems. Renew. Energy 2006, 31, 1641–1656. [Google Scholar] [CrossRef]
- Hosseinalizadeh, R.; Shakouri, H.; Amalnick, M.S.; Taghipour, P. Economic Sizing of a Hybrid (PV–WT–FC) Renewable Energy System (HRES) for Stand-Alone Usages by an Optimization-Simulation Model: Case Study of Iran. Renew. Sustain. Energy Rev. 2016, 54, 139–150. [Google Scholar] [CrossRef]
- Sheng, W.; Liu, K.; Meng, X.; Ye, X.; Liu, Y. Research and Practice on Typical Modes and Optimal Allocation Method for PV-Wind-ES in Microgrid. Electr. Power Syst. Res. 2015, 120, 242–255. [Google Scholar] [CrossRef]
- Maleki, A.; Pourfayaz, F. Optimal Sizing of Autonomous Hybrid Photovoltaic/Wind/Battery Power System with LPSP Technology by Using Evolutionary Algorithms. Sol. Energy 2015, 115, 471–483. [Google Scholar] [CrossRef]
- Khan, A.A.; Minai, A.F.; Pachauri, R.K.; Malik, H. Optimal Sizing, Control, and Management Strategies for Hybrid Renewable Energy Systems: A Comprehensive Review. Energies 2022, 15, 6249. [Google Scholar] [CrossRef]
- Chowdhury, T.; Hasan, S.; Chowdhury, H.; Hasnat, A.; Rashedi, A.; Asyraf, M.R.M.; Hassan, M.Z.; Sait, S.M. Sizing of an Island Standalone Hybrid System Considering Economic and Environmental Parameters: A Case Study. Energies 2022, 15, 5940. [Google Scholar] [CrossRef]
- Bhandari, B.; Poudel, S.R.; Lee, K.-T.; Ahn, S.-H. Mathematical Modeling of Hybrid Renewable Energy System: A Review on Small Hydro-Solar-Wind Power Generation. Int. J. Precis. Eng. Manuf. Green Technol. 2014, 1, 157–173. [Google Scholar] [CrossRef]
- Smaoui, M.; Abdelkafi, A.; Krichen, L. Optimal Sizing of Stand-Alone Photovoltaic/Wind/Hydrogen Hybrid System Supplying a Desalination Unit. Sol. Energy 2015, 120, 263–276. [Google Scholar] [CrossRef]
- Al-Falahi, M.D.; Jayasinghe, S.; Enshaei, H. A Review on Recent Size Optimization Methodologies for Standalone Solar and Wind Hybrid Renewable Energy System. Energy Convers. Manag. 2017, 143, 252–274. [Google Scholar] [CrossRef]
- Hossain, M.; Mekhilef, S.; Olatomiwa, L. Performance Evaluation of a Stand-Alone PV-Wind-Diesel-Battery Hybrid System Feasible for a Large Resort Center in South China Sea, Malaysia. Sustain. Cities Soc. 2017, 28, 358–366. [Google Scholar] [CrossRef]
- Li, C.; Ge, X.; Zheng, Y.; Xu, C.; Ren, Y.; Song, C.; Yang, C. Techno-Economic Feasibility Study of Autonomous Hybrid Wind/PV/Battery Power System for a Household in Urumqi, China. Energy 2013, 55, 263–272. [Google Scholar] [CrossRef]
- Islam, M.R.; Akter, H.; Howlader, H.O.R.; Senjyu, T. Optimal Sizing and Techno-Economic Analysis of Grid-Independent Hybrid Energy System for Sustained Rural Electrification in Developing Countries: A Case Study in Bangladesh. Energies 2022, 15, 6381. [Google Scholar] [CrossRef]
- Al-Badi, A.; Al Wahaibi, A.; Ahshan, R.; Malik, A. Techno-Economic Feasibility of a Solar-Wind-Fuel Cell Energy System in Duqm, Oman. Energies 2022, 15, 5379. [Google Scholar] [CrossRef]
- Ahshan, R.; Hosseinzadeh, N.; Al-Badi, A.H. Economic Evaluation of a Remote Microgrid System for an Omani Island. Int. J. Smart Grid Clean Energy 2020, 9, 495–510. [Google Scholar] [CrossRef]
- Anoune, K.; Laknizi, A.; Bouya, M.; Astito, A.; Abdellah, A.B. Sizing a PV-Wind Based Hybrid System Using Deterministic Approach. Energy Convers. Manag. 2018, 169, 137–148. [Google Scholar] [CrossRef]
- Mazzeo, D.; Baglivo, C.; Matera, N.; Congedo, P.M.; Oliveti, G. A Novel Energy-Economic-Environmental Multi-Criteria Decision-Making in the Optimization of a Hybrid Renewable System. Sustain. Cities Soc. 2020, 52, 101780. [Google Scholar] [CrossRef]
- Mazzeo, D.; Oliveti, G.; Baglivo, C.; Congedo, P.M. Energy Reliability-Constrained Method for the Multi-Objective Optimization of a Photovoltaic-Wind Hybrid System with Battery Storage. Energy 2018, 156, 688–708. [Google Scholar] [CrossRef]
- Fathima, A.H.; Palanisamy, K. Optimization in Microgrids with Hybrid Energy Systems—A Review. Renew. Sustain. Energy Rev. 2015, 45, 431–446. [Google Scholar] [CrossRef]
- Clarke, D.P.; Al-Abdeli, Y.M.; Kothapalli, G. Multi-Objective Optimisation of Renewable Hybrid Energy Systems with Desalination. Energy 2015, 88, 457–468. [Google Scholar] [CrossRef]
- Tozzi, P., Jr.; Jo, J.H. A Comparative Analysis of Renewable Energy Simulation Tools: Performance Simulation Model vs. System Optimization. Renew. Sustain. Energy Rev. 2017, 80, 390–398. [Google Scholar] [CrossRef]
- Zhang, J.; Tang, Q.; Chen, Y.; Lin, S. A Hybrid Particle Swarm Optimization with Small Population Size to Solve the Optimal Short-Term Hydro-Thermal Unit Commitment Problem. Energy 2016, 109, 765–780. [Google Scholar] [CrossRef]
- Koutroulis, E.; Kolokotsa, D.; Potirakis, A.; Kalaitzakis, K. Methodology for Optimal Sizing of Stand-Alone Photovoltaic/Wind-Generator Systems Using Genetic Algorithms. Sol. Energy 2006, 80, 1072–1088. [Google Scholar] [CrossRef]
- Amer, M.; Namaane, A.; M’sirdi, N. Optimization of Hybrid Renewable Energy Systems (HRES) Using PSO for Cost Reduction. Energy Procedia 2013, 42, 318–327. [Google Scholar] [CrossRef]
- Bukar, A.L.; Tan, C.W.; Lau, K.Y. Optimal Sizing of an Autonomous Photovoltaic/Wind/Battery/Diesel Generator Microgrid Using Grasshopper Optimization Algorithm. Sol. Energy 2019, 188, 685–696. [Google Scholar] [CrossRef]
- Fadaee, M.; Radzi, M. Multi-Objective Optimization of a Stand-Alone Hybrid Renewable Energy System by Using Evolutionary Algorithms: A Review. Renew. Sustain. Energy Rev. 2012, 16, 3364–3369. [Google Scholar] [CrossRef]
- Bilal, B.O.; Sambou, V.; Ndiaye, P.; Kébé, C.; Ndongo, M. Multi-Objective Design of PV-Wind-Batteries Hybrid Systems by Minimizing the Annualized Cost System and the Loss of Power Supply Probability (LPSP). In Proceedings of the IEEE International Conference on Industrial Technology (ICIT), Cape Town, South Africa, 25–28 February 2013; pp. 861–868. [Google Scholar]
- Kamjoo, A.; Maheri, A.; Dizqah, A.M.; Putrus, G.A. Multi-Objective Design under Uncertainties of Hybrid Renewable Energy System Using NSGA-II and Chance Constrained Programming. Int. J. Electr. Power Energy Syst. 2016, 74, 187–194. [Google Scholar] [CrossRef]
- N’guessan, S.A.; Agbli, K.S.; Fofana, S.; Hissel, D. Optimal Sizing of a Wind, Fuel Cell, Electrolyzer, Battery and Supercapacitor System for off-Grid Applications. Int. J. Hydrogen Energy 2020, 45, 5512–5525. [Google Scholar]
- Ghorbani, N.; Kasaeian, A.; Toopshekan, A.; Bahrami, L.; Maghami, A. Optimizing a Hybrid Wind-PV-Battery System Using GA-PSO and MOPSO for Reducing Cost and Increasing Reliability. Energy 2018, 154, 581–591. [Google Scholar] [CrossRef]
- Mahmoud, F.S.; Diab, A.A.Z.; Ali, Z.M.; El-Sayed, A.-H.M.; Alquthami, T.; Ahmed, M.; Ramadan, H.A. Optimal Sizing of Smart Hybrid Renewable Energy System Using Different Optimization Algorithms. Energy Rep. 2022, 8, 4935–4956. [Google Scholar] [CrossRef]
- Kaur, R.; Krishnasamy, V.; Kandasamy, N.K.; Kumar, S. Discrete Multiobjective Grey Wolf Algorithm Based Optimal Sizing and Sensitivity Analysis of PV-Wind-Battery System for Rural Telecom Towers. IEEE Syst. J. 2020, 14, 729–737. [Google Scholar] [CrossRef]
- Deb, K.; Agrawal, S.; Pratap, A.; Meyarivan, T. A Fast Elitist Non-Dominated Sorting Genetic Algorithm for Multi-Objective Optimization: NSGA-II. In International Conference on Parallel Problem Solving from Nature, Proceedings of the 6th International Conference, Paris, France, 18–20 September 2020; Springer: Berlin/Heidelberg, Germany, 2020; pp. 849–858. [Google Scholar]
- Mirjalili, S.; Mirjalili, S.M.; Lewis, A. Grey Wolf Optimizer. Adv. Eng. Softw. 2014, 69, 46–61. [Google Scholar] [CrossRef]
- Tito, M.R.; Lie, T.T.; Anderson, T. Sizing Optimization of Wind-Photovoltaic Hybrid Energy Systems Under Transient Load. Int. J. Power Energy Syst. 2013, 33, 168–174. [Google Scholar] [CrossRef]
- The Electricity Authority, 2014. Available online: https://www.ea.govt.nz/dmsdocument/4755 (accessed on 4 November 2022).
- Weather Data Center. Available online: https://www.ashrae.org/technical-resources/bookstore/weather-data-center (accessed on 23 November 2022).
- Chedid, R.; Akiki, H.; Rahman, S. A Decision Support Technique for the Design of Hybrid Solar-Wind Power Systems. Int. Trans. Energy Convers. 1998, 13, 76–83. [Google Scholar] [CrossRef]
- Mukund, R.P. Wind and Solar Power Systems; CRC Press: Boca Raton, FL, USA, 1999. [Google Scholar]
- Borowy, B.S.; Salameh, Z.M. Methodology for Optimally Sizing the Combination of a Battery Bank and PV Array in a Wind/PV Hybrid System. IEEE Trans. Energy Convers. 1996, 11, 367–375. [Google Scholar] [CrossRef]
- Ahshan, R. Potential and Economic Analysis of Solar-to-Hydrogen Production in the Sultanate of Oman. Sustainability 2021, 13, 9516. [Google Scholar] [CrossRef]
- Yang, H.; Zhou, W.; Lu, L.; Fang, Z. Optimal Sizing Method for Stand-Alone Hybrid Solar–Wind System with LPSP Technology by Using Genetic Algorithm. Sol. Energy 2008, 82, 354–367. [Google Scholar] [CrossRef]
- Guasch, D.; Silvestre, S. Dynamic Battery Model for Photovoltaic Applications. Prog. Photovolt. Res. Appl. 2003, 11, 193–206. [Google Scholar] [CrossRef]
- Yang, H.; Lu, L. Study of Typical Meteorological Years and Their Effect on Building Energy and Renewable Energy Simulations. ASHRAE Trans. 2004, 110, 424. [Google Scholar]
- Peng, W.; Zhang, Q.; Li, H. Comparison between MOEA/D and NSGA-II on the Multi-Objective Travelling Salesman Problem. In Multi-Objective Memetic Algorithms; Springer: Berlin/Heidelberg, Germany, 2009; pp. 309–324. [Google Scholar]
- Higham, D.J.; Higham, N.J. MATLAB Guide 2016, 3rd ed.; SIAM-Society for Industrial and Applied Mathematics: Philadelphia, PA, USA, 2016; ISBN 978-1-61197-465-2. [Google Scholar]
- SPSS Inc. SPSS-X User’s Guide, 3rd ed.; SPSS Europe: Chicago, IL, USA; Gorinchem, The Netherlands, 1988; ISBN 978-0-918469-51-9. [Google Scholar]









| Power (W) | (m) | (m) | WG Capital Cost ($) | Tower Capital Cost ($/Unit Length) |
|---|---|---|---|---|
| 1000 | 11 | 35 | 2400 | 55 |
(V) | (A) | (V) | (A) | (W) | Capital Cost ($) | °C |
|---|---|---|---|---|---|---|
| 64.8 | 6.24 | 54.7 | 5.86 | 320 | 640 | 45 |
| Price ($) | Capacity (A h) | |
|---|---|---|
| 1239 | 12 | 357 |
| NSGA-GWO Algorithm | NSGA II | MOPSO | ||||
|---|---|---|---|---|---|---|
| Statistic | Std. Error | Statistic | Std. Error | Statistic | Std. Error | |
| Mean | 33,871.11 | 116.4525 | 33,948.51 | 102.2213 | 69,637.78 | 5071.5462 |
| Median | 33,812.78 | 33,785.08 | 67,215.25 | |||
| Variance | 406,835.86 | 313,475.80 | 771,617,454.3 | |||
| Std. deviation | 637.8368 | 559.8891 | 27,778.00 | |||
| Minimum | 32,797.48 | 33,139.64 | 36,512.70 | |||
| Maximum | 35,261.47 | 34,929.67 | 127,670.09 | |||
| Kolmogorov–Smirnov (K–S) | Shapiro–Wilk (S–W) | |||||
|---|---|---|---|---|---|---|
| Statistic | Degree of Freedom | Sig. | Statistic | Degree of Freedom | Sig. | |
| NSGA-GWO Algorithm | 0.116 | 30 | 0.200 | 0.960 | 30 | 0.315 |
| NSGA II | 0.170 | 30 | 0.026 | 0.907 | 30 | 0.012 |
| MOPSO | 0.174 | 30 | 0.021 | 0.892 | 30 | 0.005 |
| Independent Run 30 | Independent Run 2 | Independent Run 1 | Independent Run 7 | Independent Run 27 | |||||
|---|---|---|---|---|---|---|---|---|---|
| LPSP | Cost ($) | LPSP | Cost ($) | LPSP | Cost ($) | LPSP | Cost ($) | LPSP | Cost ($) |
| 0% | 32,797.48 | 0% | 32,820.37 | 0% | 32,820.37 | 0% | 33,003.05 | 0% | 33,205.67 |
| 0.37% | 32,384.54 | 0.57% | 32,857.76 | 2.15% | 30,815.01 | 1.24% | 32,225.76 | 0.64% | 32,271.9 |
| 1.23% | 31,675.48 | 1.99% | 31,205.84 | 2.39% | 30,561.09 | 3.11% | 30,591.4 | 0.96% | 31,959.67 |
| 2.96% | 30,164.28 | 2.92% | 30,181.42 | 4.36% | 29,155.23 | 4.83% | 28,820.55 | 1.83% | 30,986.01 |
| 4.70% | 28,847.06 | 3.72% | 29,559.88 | 5.55% | 28,531.56 | 8.17% | 27,165.87 | 3.33% | 29,806.89 |
| 6.46% | 27,773.53 | 5.24% | 28,735.21 | 7.08% | 27,367.04 | 9.45% | 26,335.23 | 4.84% | 29,196.38 |
| 9.04% | 26,015.12 | 7.08% | 27,667.34 | 8.05% | 26,713.54 | 10.33% | 25,466.8 | 6.69% | 27,984.08 |
| Independent Run No. | 30 | 2 | 7 | |||
|---|---|---|---|---|---|---|
| Theoretical | Practical | Theoretical | Practical | Theoretical | Practical | |
| 5.4244 | 6 | 4.5705 | 5 | 5.3778 | 6 | |
| 4.5978 | 5 | 4.9533 | 5 | 4.9795 | 5 | |
| 2 × 0.9312 | 2 × 1 | 2 × 0.8929 | 2 × 1 | 2 × 0.8996 | 2 × 1 | |
| 19.5281 | 19.5281 | 1 | 1 | 3.0993 | 3.0993 | |
| 38.6184 | 38.6184 | 35.2532 | 35.2532 | 33.4254 | 33.4254 | |
| Cost ($) | 32,797.48 | 35,693.77 | 32,820.37 | 33,815.25 | 33,003.05 | 33,980.08 |
Disclaimer/Publisher’s Note: The statements, opinions and data contained in all publications are solely those of the individual author(s) and contributor(s) and not of MDPI and/or the editor(s). MDPI and/or the editor(s) disclaim responsibility for any injury to people or property resulting from any ideas, methods, instructions or products referred to in the content. |
© 2022 by the authors. Licensee MDPI, Basel, Switzerland. This article is an open access article distributed under the terms and conditions of the Creative Commons Attribution (CC BY) license (https://creativecommons.org/licenses/by/4.0/).
Share and Cite
Hossain, M.A.; Ahmed, A.; Tito, S.R.; Ahshan, R.; Sakib, T.H.; Nengroo, S.H. Multi-Objective Hybrid Optimization for Optimal Sizing of a Hybrid Renewable Power System for Home Applications. Energies 2023, 16, 96. https://doi.org/10.3390/en16010096
Hossain MA, Ahmed A, Tito SR, Ahshan R, Sakib TH, Nengroo SH. Multi-Objective Hybrid Optimization for Optimal Sizing of a Hybrid Renewable Power System for Home Applications. Energies. 2023; 16(1):96. https://doi.org/10.3390/en16010096
Chicago/Turabian StyleHossain, Md. Arif, Ashik Ahmed, Shafiqur Rahman Tito, Razzaqul Ahshan, Taiyeb Hasan Sakib, and Sarvar Hussain Nengroo. 2023. "Multi-Objective Hybrid Optimization for Optimal Sizing of a Hybrid Renewable Power System for Home Applications" Energies 16, no. 1: 96. https://doi.org/10.3390/en16010096
APA StyleHossain, M. A., Ahmed, A., Tito, S. R., Ahshan, R., Sakib, T. H., & Nengroo, S. H. (2023). Multi-Objective Hybrid Optimization for Optimal Sizing of a Hybrid Renewable Power System for Home Applications. Energies, 16(1), 96. https://doi.org/10.3390/en16010096

