Invited: Investigation of Carbon/Copper Multilayer to Examine the Influence of Copper Coating on the Li-Storage Performance of Carbon
Abstract
1. Introduction
2. Experimental Procedure
3. Results and Discussion
3.1. Electrode Characterization before Electrochemical Cycling
3.2. Rate Capability: Li+ Uptake and Release Charge Density and Capacity
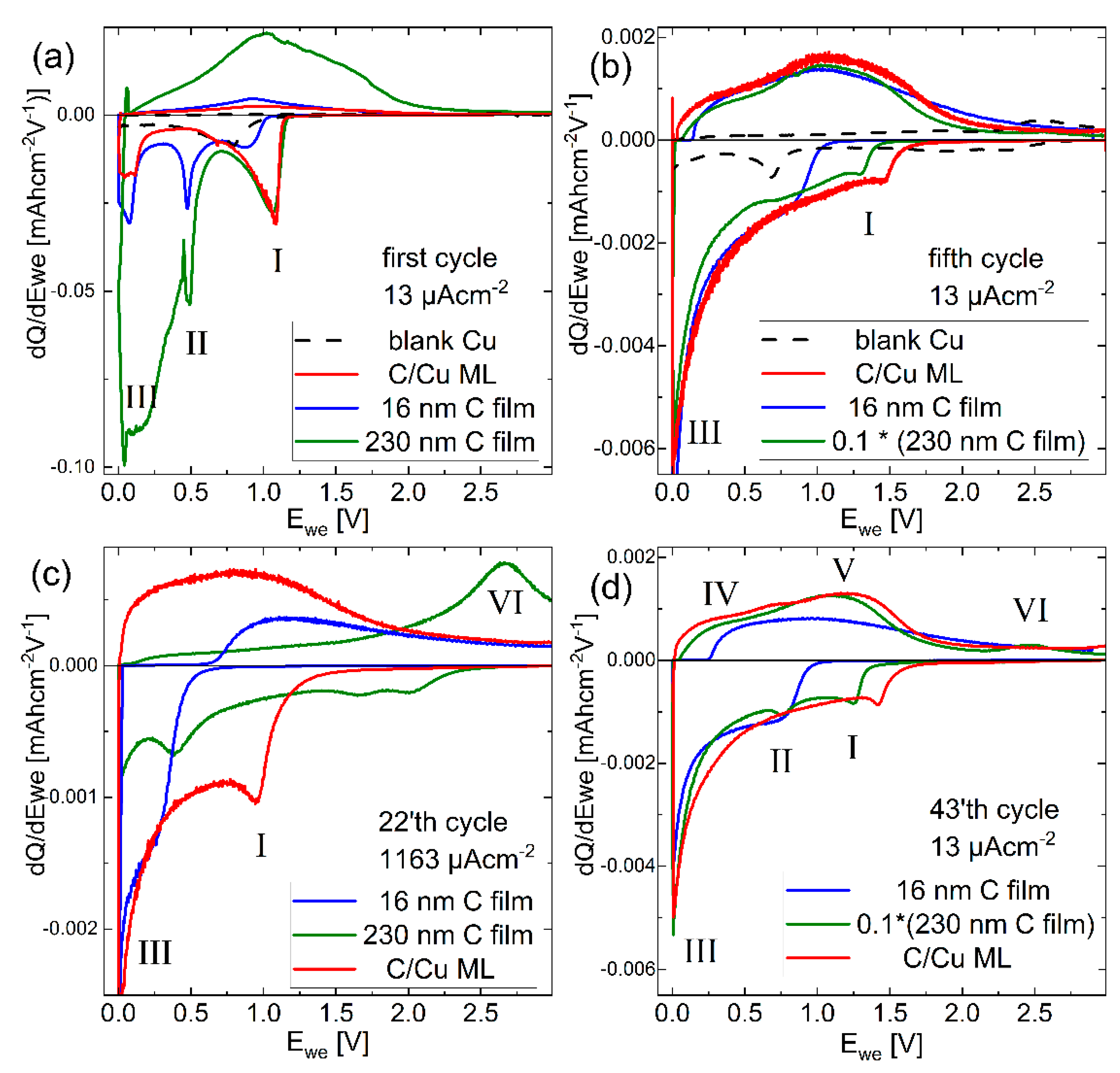
3.3. Rate Capability: Differential Charge and Differential Capacity Plots
3.4. Electrochemical Impedance Investigation
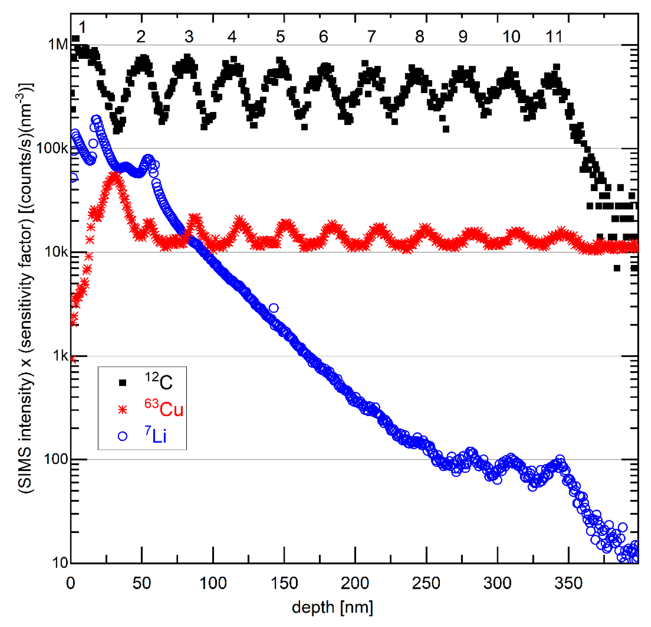
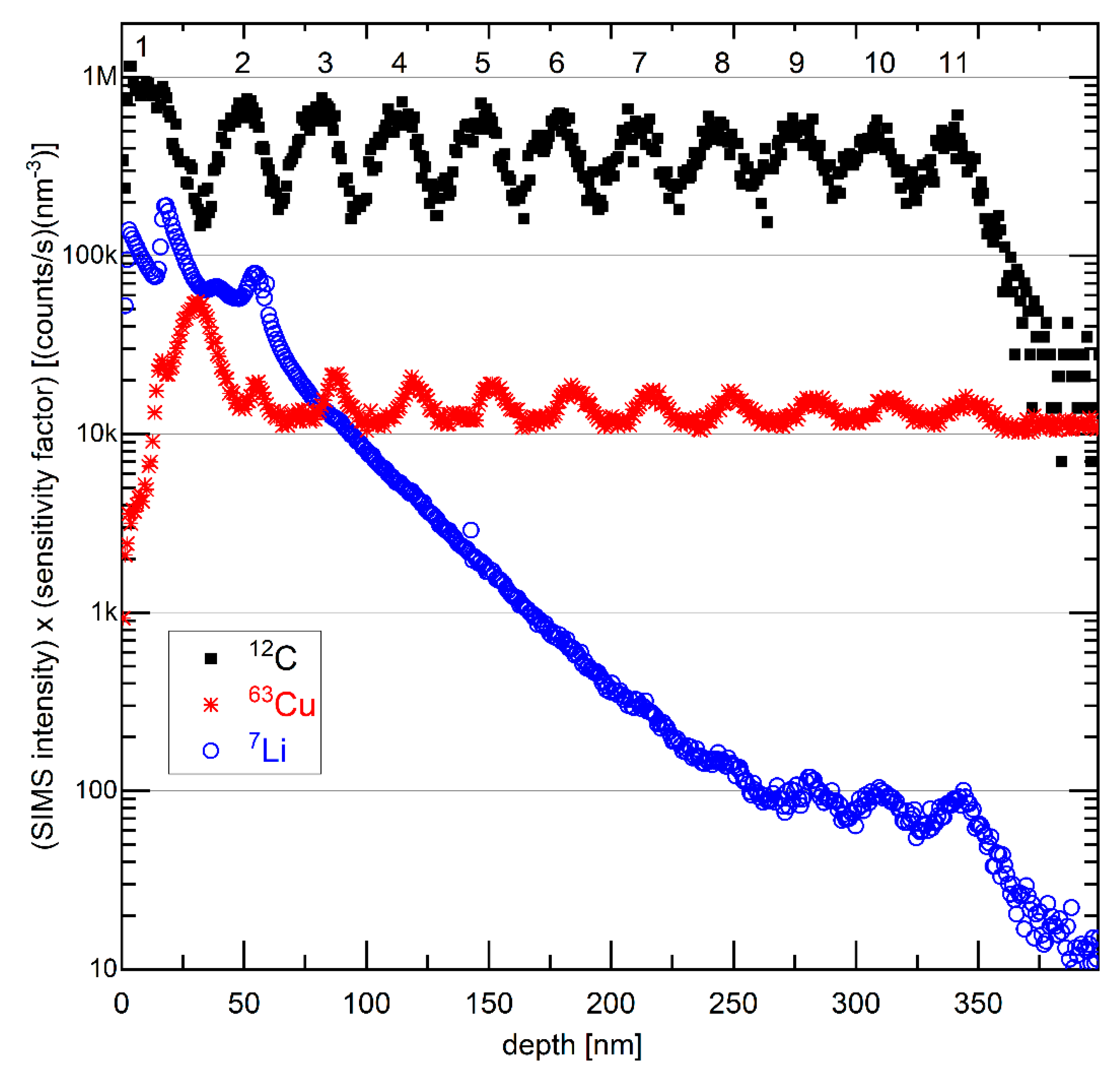
3.5. ML Characterization after Electrochemical Cycling
4. Remarks, Open Questions, and Outlook
5. Conclusions
Author Contributions
Funding
Data Availability Statement
Acknowledgments
Conflicts of Interest
References
- Dahn, J.R.; Zheng, T.; Liu, Y.; Xue, J.S. Mechanisms for Lithium Insertion in Carbonaceous Materials. Science 1995, 270, 590–593. [Google Scholar] [CrossRef]
- Hüger, E.; Jin, C.; Schmidt, H. Electrochemical investigation of ion-beam sputter-deposited carbon thin films for Li-ion batteries. J. Appl. Electrochem. 2022, 52, 1715–1732. [Google Scholar] [CrossRef]
- Salgada, R.M.; Danzi, F.; Oliveira, J.E.; El-Azab, A.; Camanho, P.P.; Braga, M.H. The Latest Trends in Electric Vehicles Batteries. Molecules 2021, 26, 3188. [Google Scholar] [CrossRef]
- Subramaniana, V.; Karabacak, T.; Masarapua, C.; Tekic, R.; Lud, T.-M.; Wei, B. Low hydrogen containing amorphous carbon films—Growth and electrochemical properties as lithium battery anodes. J. Power Sources 2010, 195, 2044–2049. [Google Scholar] [CrossRef]
- Fathi, R.; Sanderson, R.J.; Lucas, L.J.; Dahn, J.R. The electrochemical reaction of lithium with high-capacity dense sputtered carbon. Carbon 2014, 74, 249–254. [Google Scholar] [CrossRef]
- Vetter, J.; Novak, P.; Wagner, M.R.; Veit, C.; Möller, K.-C.; Besenhard, J.O.; Winter, M.; Wohlfahrt-Mehrens, M.; Vogler, C.; Hammouche, A. Ageing mechanisms in lithium-ion batteries. J. Power Sources 2005, 147, 269–281. [Google Scholar] [CrossRef]
- Winter, M. The Solid Electrolyte Interphase—The Most Important and the Least Understood Solid Electrolyte in Rechargeable Li Batteries. Z. Phys. Chem. 2009, 223, 1395–1406. [Google Scholar] [CrossRef]
- Ding, R.; Huang, Y.; Li, G.; Liao, Q.; Wei, T.; Liu, Y.; Huang, Y.; He, H. Carbon Anode Materials for Rechargeable Alkali Metal Ion Batteries and in-situ Characterization Techniques. Front. Chem. 2020, 8, 607504. [Google Scholar] [CrossRef] [PubMed]
- Asenbauer, J.; Eisenmann, T.; Kuenzel, M.; Kazzazi, A.; Chen, Z.; Bresser, D. The success story of graphite as a lithium-ion anode material—Fundamentals, remaining challenges, and recent developments including silicon (oxide) composites. Sustain. Energy Fuels 2020, 4, 5387–5416. [Google Scholar] [CrossRef]
- Dey, A.; Sullivan, B. Carbon Anode Materials for Rechargeable Alkali Metal Ion Batteries and in-situ Characterization Techniques. J. Electrochem. Soc. 1970, 117, 222–224. [Google Scholar] [CrossRef]
- Lu, W.; Donepudi, V.; Prakash, J.; Liu, J.; Amine, K. Electrochemical and thermal behavior of copper coated type MAG-20 natural graphite. Electrochim. Acta 2002, 47, 1601–1606. [Google Scholar] [CrossRef]
- Nobili, F.; Dsoke, S.; Mancini, M.; Marassi, R. Interfacial Properties of Copper-coated Graphite Electrodes: Coating Thickness Dependence. Fuel Cells 2009, 09, 264–268. [Google Scholar] [CrossRef]
- Licht, B.K.; Homeyer, F.; Bösebeck, K.; Binnewies, M.; Heitjans, P. Synthesis and Electrochemical Behavior of Nanostructured Copper Particles on Graphite for Application in Lithium Ion Batteries. Z. Phys. Chem. 2015, 229, 1415–1427. [Google Scholar] [CrossRef]
- Tallman, K.R.; Zhang, B.; Wang, L.; Yan, S.; Thompson, K.; Tong, X.; Thieme, J.; Kiss, A.; Marschilok, A.C.; Takeuchi, K.J.; et al. Anode Overpotential Control via Interfacial Modification: Inhibition of Lithium Plating on Graphite Anodes. ACS Appl. Mater. Interfaces 2019, 11, 46864–46874. [Google Scholar] [CrossRef] [PubMed]
- Tallman, K.R.; Quilty, C.D.; Abraham, A.; McCarthy, A.H.; Marschilok, A.C.; Takeuchi, K.J.; Takeuchi, E.S.; Bock, D.C. Improved Capacity Retention of Lithium Ion Batteries under Fast Charge via Metal-Coated Graphite Electrodes. J. Electrochem. Soc. 2020, 167, 160503. [Google Scholar] [CrossRef]
- Suzuki, J.; Yoshida, M.; Nishijima, Y.; Sekine, K.; Takamura, T. Effect of a vacuum-deposited metal film on the CV of the Li insertion/extraction reaction at a graphitized carbon fiber electrode. Electrochim. Acta 2002, 47, 3881–3890. [Google Scholar] [CrossRef]
- Nobili, F.; Dsoke, S.; Mancini, M.; Tossici, R.; Marassi, R. Electrochemical investigation of polarization phenomena and intercalation kinetics of oxidized graphite electrodes coated with evaporated metal layers. J. Power Sources 2008, 180, 845–851. [Google Scholar] [CrossRef]
- Hüger, E.; Schmidt, H. Li Permeability Increase in Nano-Sized Amorphous Silicon Layers. J. Phys. Chem. C 2018, 122, 28528–28536. [Google Scholar] [CrossRef]
- Hüger, E.; Stahn, J.; Heitjans, P.; Schmidt, H. Neutron Reflectometry to Measure in-situ the Rate Determining Step of Lithium Ion Transport through Thin Silicon Layers and Interfaces. Phys. Chem. Chem. Phys. 2019, 21, 16444–16450. [Google Scholar] [CrossRef]
- Oudenhoven, J.F.M.; Baggetto, L.; Notten, P. All-solid-state lithium-ion micro-batteries: A review of various three-dimensional concepts. Adv. Energy Mater. 2011, 1, 10–33. [Google Scholar] [CrossRef]
- McDowell, M.T.; Lee, S.W.; Nix, W.D.; Cui, Y. 25th Anniversary Article: Understanding the lithiation of silicon and other alloying anodes for lithium-ion batteries. Adv. Mater. 2013, 25, 4966–4985. [Google Scholar] [CrossRef] [PubMed]
- Nguyen, B.P.N.; Chazelle, S.; Cerbelaud, M.; Porcher, W.; Lestriez, B. Manufacturing of industry-relevant silicon negative composite electrodes for lithium ion-cells. J. Power Sources 2014, 262, 112–122. [Google Scholar] [CrossRef]
- Obravac, M.N.; Chevrier, V.L. Alloy negative electrodes for Li-ion batteries. Chem. Rev. 2014, 114, 11444–11502. [Google Scholar] [CrossRef] [PubMed]
- Kasavajjula, U.; Wang, C.; Appleby, A.J. Nano- and bulk-silicon-based insertion anodes for lithium-ion secondary cells. J. Power Sources 2004, 163, 1003–1039. [Google Scholar] [CrossRef]
- Aifantis, K.; Hackney, S.; Kumar, R. High Energy Density Lithium Batteries. Materials, Engineering, Applications; Wiley—VCH Verlag GmbH & Co. KGaA: Weinheim, Germany, 2010. [Google Scholar]
- Zuo, X.; Zhu, J.; Muller-Buschbaum, P.; Cheng, Y. Silicon based lithium-ion battery anodes: A chronicle perspective review. Nano Energy 2017, 31, 113–143. [Google Scholar] [CrossRef]
- Fiakas, D. The Race for Silicon Anodes. Small Cap Strategist. 2018. Available online: http://www.altenergystocks.com/archives/2018/08/the-race-for-silicon-anodes/ (accessed on 11 November 2018).
- Fiakas, D. Better Battery. Small Cap Strategist, Crystal Equity Research. 2018. Available online: http://crystalequityresearch.blogspot.com/2018/08/better-battery.html (accessed on 11 November 2018).
- Salah, M.; Murphy, P.; Hall, C.; Francis, C.; Kerr, R. Pure silicon thin-film anodes for lithium-ion batteries: A review. J. Power Sources 2019, 414, 48–67. [Google Scholar] [CrossRef]
- McDowell, M.T.; Ryu, I.; Lee, S.W.; Wang, C.; Nix, W.D.; Cui, Y. Studying the Kinetics of Crystalline Silicon Nanoparticle Lithiation with In Situ Transmission Electron Microscopy. Adv. Mater. 2012, 24, 6034–6041. [Google Scholar] [CrossRef] [PubMed]
- Gu, M.; Li, Y.; Li, X.; Hu, S.; Zhang, X.; Xu, W.; Thevuthasan, S.; Baer, D.R.; Zhang, J.-G.; Liu, J.; et al. In Situ TEM Study of Lithiation Behavior of Silicon Nanoparticles Attached to and Embedded in a Carbon Matrix. ACS Nano 2012, 6, 8439–8447. [Google Scholar] [CrossRef]
- Liu, X.H.; Huang, J.Y. In situ TEM electrochemistry of anode materials in lithium ion batteries. Energy Environ. Sci. 2011, 4, 3844–3860. [Google Scholar] [CrossRef]
- Liu, X.H.; Zhang, L.Q.; Zhong, L.; Liu, Y.; Zheng, H.; Wang, J.W.; Cho, J.-H.; Dayeh, S.A.; Picraux, S.T.; Sullivan, J.P.; et al. Ultrafast Electrochemical Lithiation of Individual Si Nanowire Anodes. Nano Lett. 2011, 11, 2251–2258. [Google Scholar] [CrossRef]
- Liu, X.H.; Zheng, H.; Zhong, L.; Huang, S.; Karki, K.; Zhang, L.Q.; Liu, Y.; Kushima, A.; Liang, W.T.; Wang, J.W.; et al. Anisotropic Swelling and Fracture of Silicon Nanowires during Lithiation. Nano Lett. 2011, 11, 3312–3318. [Google Scholar] [CrossRef]
- McDowell, M.T.; Lee, S.W.; Ryu, I.; Wu, H.; Nix, W.D.; Choi, J.W.; Cui, Y. Novel Size and Surface Oxide Effects in Silicon Nanowires as Lithium Battery Anodes. Nano Lett. 2011, 11, 4018–4025. [Google Scholar] [CrossRef] [PubMed]
- Liu, X.H.; Wang, J.W.; Huang, S.; Fan, F.; Huang, X.; Liu, Y.; Krylyuk, S.; Yoo, J.; Dayeh, S.A.; Davydov, A.V.; et al. In situ atomic-scale imaging of electrochemical lithiation in silicon. Nature Nanotechnol. 2012, 7, 749–756. [Google Scholar] [CrossRef] [PubMed]
- Gu, M.; Wang, Z.; Connell, J.G.; Perea, D.E.; Lauhon, L.J.; Gao, F.; Wang, C. Electronic Origin for the Phase Transition from Amorphous LixSi to Crystalline Li15Si. ACS Nano 2013, 7, 6303–6309. [Google Scholar] [CrossRef]
- Wang, Z.; Gu, M.; Zhou, Y.; Zu, X.; Connell, J.G.; Xiao, J.; Perea, D.; Lauhon, L.J.; Bang, J.; Zhang, S.; et al. Electron-Rich Driven Electrochemical Solid-State Amorphization in Li−Si Alloys. Nano Lett. 2013, 13, 4511–4516. [Google Scholar] [CrossRef] [PubMed]
- Hüger, E.; Uxa, D.; Yang, F.; Schmidt, H. The Lithiation Onset of Amorphous Silicon Thin-Film Electrodes, APL Special Topic: New technologies and applications of advanced batteries. Appl. Phys. Lett. 2022, 221, 133901. [Google Scholar] [CrossRef]
- Zhang, K.; Hüger, E.; Li, Y.; Schmidt, H.; Yang, F. Invited: Review and Stress Analysis on the Lithiation Onset of Amorphous Silicon Films. Batteries Special Issue: Electrode Materials for Rechargeable Lithium Batteries. Batteries 2023, 9, 105. [Google Scholar] [CrossRef]
- Lyubina, J. Phase transformations and hysteresis in Si based anode materials. Appl. Phys. Lett. 2021, 118, 090501. [Google Scholar] [CrossRef]
- Hatchard, T.D.; Dahn, J.R. In Situ XRD and Electrochemical Study of the Reaction of Lithium with Amorphous Silicon. J. Electrochem. Soc. 2004, 151, A838–A842. [Google Scholar] [CrossRef]
- Sethuraman, V.A.; Kowolika, K.; Srinivasan, V. Increased cycling efficiency and rate capability of copper-coated silicon anodes in lithium-ion batteries. J. Power Sources 2011, 196, 393–398. [Google Scholar] [CrossRef]
- McDowell, M.T.; Lee, S.W.; Wang, C.; Cui, Y. The effect of metallic coatings and crystallinity on the volume expansion of silicon during electrochemical lithiation/delithiation. Nano Energy 2012, 1, 401–410. [Google Scholar] [CrossRef]
- Okamoto, H. Supplemental Literature Review of Binary Phase Diagrams: Ag-Ni, Ag-Zr, Au-Bi, B-Ni, Co-Sb, Cu-Mn, Cu-Si, Cu-Zn, Fe-Zr, Li-Sb, Mg-Pu, and Si-Zr. J. Phase Equilib. Diffus. 2018, 39, 87–100. [Google Scholar] [CrossRef]
- Parditka, B.; Verzhak, M.; Balogh, Z.; Csik, A.; Langer, G.A.; Beke, D.L.; Ibrahim, M.; Schmitz, G.; Erdelyi, Z. Phase growth in an amorphous Si–Cu system, as shown by a combination of SNMS, XPS, XRD and APT techniques. Acta Mater. 2013, 61, 7173–7179. [Google Scholar] [CrossRef]
- Balogh, Z.; Ibrahim, M.; Stender, P.; Schlesiger, R.; Greiwe, G.-H.; Schmitz, G.; Parditka, B.; Langer, G.A.; Csik, A.; Erdélyi, Z. On the influence of the stacking sequence in the nucleation of Cu3Si: Experiment and the testing of nucleation models. Acta Mater. 2014, 76, 306–313. [Google Scholar]
- Okamoto, H. Supplemental Literature Review of Binary Phase Diagrams: Ag-Cl, Br-Pb, Br-Zn, C-Cu, Ce-Zr, Cl-Zn, Fe-Lu, Fe-Tm, Ga-V, Nd-Ti, Nd-Zr, and Si-Ta. J. Phase Equilib. Diffus. 2016, 37, 246–257. [Google Scholar] [CrossRef]
- Kaur, G.; Gates, B.D. Review: Surface Coatings for Cathodes in Lithium Ion Batteries: From Crystal Structures to Electrochemical Performance. J. Electrochem. Soc. 2022, 169, 043504. [Google Scholar] [CrossRef]
- Hüger, E.; Dörrer, L.; Yimnirun, R.; Jutimoosik, J.; Stahn, J.; Paul, A. Lithium permeation within lithium niobate multilayers with ultrathin chromium, silicon and carbon spacer layers. Phys. Chem. Chem. Phys. 2018, 20, 23233–23243. [Google Scholar] [CrossRef]
- Paul, P.P.; McShane, E.J.; Colclasure, A.M.; Brown, D.E.; Balsara, N.; Cao, C.; Chen, B.-R.; Chinnam, P.R.; Cui, Y.; Dufek, E.J.; et al. Nelson A Review of Existing and Emerging Methods for Lithium Detection and Characterization in Li-ion and Li-metal Batteries. Adv. Energy Mater. 2021, 11, 2100372. [Google Scholar] [CrossRef]
- Dillon, R.O.; Woollam, J.A.; Katkanant, V. Use of Raman scattering to investigate disorder and crystallite formation in as-deposited and annealed carbon films. Phys. Rev. B 1984, 29, 3482. [Google Scholar] [CrossRef]
- Tamor, M.A.; Vassell, W.C. Raman “fingerprinting” of amorphous carbon films. J. Appl. Phys. 1994, 76, 3823. [Google Scholar] [CrossRef]
- Ferrari, A.C.; Robertson, J. Interpretation of Raman spectra of disordered and amorphous carbon. Phys. Rev. B 2000, 61, 14095. [Google Scholar] [CrossRef]
- Ferrari, A.C. Raman spectroscopy of graphene and graphite: Disorder, electron–phonon coupling, doping and nonadiabatic effects. Solid State Commun. 2007, 143, 47–57. [Google Scholar] [CrossRef]
- Wang, L.; Zhang, R.; Jansson, U.; Nedfors, N. A near-wearless and extremely long lifetime amorphous carbon film under high vacuum. Sci. Rep. 2015, 5, 11119. [Google Scholar] [CrossRef] [PubMed]
- Aurbach, D.; Levi, M.D.; Levi, E.; Schechter, A. Failure and Stabilization Mechanisms of Graphite Electrodes. J. Phys. Chem. B 1997, 101, 2195–2206. [Google Scholar] [CrossRef]
- Levi, M.D.; Aurbach, D. The mechanism of lithium intercalation in graphite film electrodes in aprotic media. Part High resolution slow scan rate cyclic voltammetric studies and modeling. J. Electroanal. Chem. 1997, 421, 79–88. [Google Scholar] [CrossRef]
- Markowski, B.; Levi, M.D.; Aurbach, D. The basic electroanalytical behavior of practical graphite lithium intercalation electrodes. Electrochim. Acta 1998, 43, 2287–2304. [Google Scholar]
- Kanga, S.-H.; Abrahama, D.P.; Xiao, A.; Lucht, B.L. Investigating the solid electrolyte interphase using binder-free graphite electrodes. J. Power Sources 2008, 175, 526–532. [Google Scholar] [CrossRef]
- Tripathi, A.M.; Su, W.-N.; Hwang, B.J. In situ analytical techniques for battery interface analysis. Chem. Soc. Rev. 2018, 47, 736–851. [Google Scholar] [CrossRef]
- Simon, P.; Gogotsi, Y.; Dunn, B. Where Do Batteries End and Supercapacitors Begin? Science 2014, 343, 1210–1211. [Google Scholar] [CrossRef]
- Brousse, T.; Belanger, D.; Long, J.W. To Be or Not to Be Pseudocapacitive? J. Electrochem. Soc. 2015, 162, A5185–A5189. [Google Scholar] [CrossRef]
- Fleischmann, S.; Mitchell, J.B.; Wang, R.; Zhan, C.; Jiang, D.; Presser, V.; Augustyn, V. Pseudocapacitance: From Fundamental Understanding to High Power Energy Storage Materials. Chem. Rev. 2020, 120, 6738–6782. [Google Scholar] [CrossRef]
- McDonald, J.R. Impedance Spectroscopy: Emphasizing Solid Materials and Systems; John Wiley & Sons, Inc.: Hoboken, NJ, USA; ISBN 0-471-64749-7.
- Fu, L.; Chen, C.-C.; Samuelis, D.; Maier, J. Thermodynamics of Lithium Storage at Abrupt Junctions: Modeling and Experimental Evidence. PRL 2004, 112, 208301. [Google Scholar] [CrossRef]
- Chen, C.-C.; Fu, L.; Maier, J. Synergetic, ultrafast mass storage and removal in artificial mixed conductors. Nature 2016, 536, 159–165. [Google Scholar] [CrossRef]
- Usiskin, R.; Maier, J. Interfacial Effects in Lithium and Sodium Batteries. Adv. Energy Mater. 2021, 11, 2001455. [Google Scholar] [CrossRef]
- Bisquert, J.; Garcia-Belmonte, G.; Bueno, P.; Longo, E.; Bulhoes, L.O.S. Impedance of constant phase element (CPE)-blocked diffusion in film electrodes. J. Electroanal. Chem. 1998, 452, 229–234. [Google Scholar] [CrossRef]
- Diard, J.-P.; Montella, C. Diffusion-trapping impedance under restricted linear diffusion conditions. J. Electroanal. Chem. 2003, 557, 19–36. [Google Scholar] [CrossRef]
- Kaganer, V.M.; Stepanov, S.A.; Kohler, R. Bragg diffraction peaks in x-ray diffuse scattering from multilayers with rough interfaces. Phys. Rev. B 1995, 52, 16369–16372. [Google Scholar] [CrossRef]
- Holy, V.; Baumbach, T. Nonspecular x ray reflection from rough multilayers. Phys. Rev. B 1994, 52, 10668–10676. [Google Scholar] [CrossRef]
- Wilson, R.G.; Stevie, F.A.; Magee, C.W. The Annual Workshop on Sims Secondary Ion Mass Spectrometry: A Practical Handbook for Depth Profiling And Bulk Impurity Analysis; John Wiley and Sons: Hoboken, NJ, USA, 1989. [Google Scholar]
- Sheldon, B.W.; Soni, S.K.; Xiao, X.; Qi, Y. Stress Contributions to Solution Thermodynamics in Li-Si Alloys. Electrochem. Solid State Lett. 2012, 15, A9–A11. [Google Scholar] [CrossRef]
- Zhang, Y.; Li, Y.; Wang, Z.; Zhao, K. Lithiation of SiO2 in Li-Ion Batteries: In Situ Transmission Electron Microscopy Experiments and Theoretical Studies. Nano Lett. 2014, 14, 7161–7170. [Google Scholar] [CrossRef]
- Kim, S.; Choi, S.J.; Zhao, K.; Yang, H.; Gobbi, C.; Zhang, S.; Li, J. Electrochemically driven mechanical energy harvesting. Nat. Commun. 2016, 7, 10146. [Google Scholar] [CrossRef] [PubMed]
- Uxa, D.; Hüger, E.; Schmidt, H. Li Diffusion in Thin Film LiySi Electrodes: Galvanostatic Intermittent Titration Technique and Tracer Diffusion Experiments. J. Phys. Chem. 2020, 124, 27894–27899. [Google Scholar] [CrossRef]
- Hüger, E.; Dörrer, L.; Schmidt, H. Permeation, Solubility, Diffusion and Segregation of Lithium in Amorphous Silicon Layers. Chem. Mater. 2018, 30, 3254–3264. [Google Scholar] [CrossRef]













| Layer | Mass Density (gcm−3) | Thickness (nm) | Roughness (nm) | |
|---|---|---|---|---|
| air | air | 0 | -- | -- |
| capping layer | carbon | 2.12 | 16.3 | 0.5 |
| multi-layer × 10 | copper | 9 | 16.9 | 0.8 |
| carbon | 2.12 | 16.3 | 0.8 | |
| current collector | copper | 9 | 224 | 0.7 |
| adhesion layer | chromium | 5.3 | 14.7 | 0.7 |
| quartz holder | SiO2 | 2.7 | 3.2 × 106 | 0.7 |
| Electrode | R1 | R2 | Q2 | R3 | Q3 | M1 | D | |||
|---|---|---|---|---|---|---|---|---|---|---|
| Q2 | a2 | Q3 | a3 | Rd1 | t1 | |||||
| Ohm | Ohm | Fs^(a − 1) | Ohm | Fs^(a − 1) | Ohm | s | m2s−1 | |||
| 230 nm C | 192 ± 4 | 725 ± 9 | (14 ± 1) × 10−6 | 0.78 ± 0.4 | 3556 ± 15 | (203 ± 9) × 10−6 | 0.77 ± 0.5 | 7438 ± 90 | 3095 ± 500 | 10−17 |
| C/Cu ML | 184 ± 1 | 301 ± 3 | (16 ± 1) × 10−6 | 0.87 ± 0.4 | 1123 ± 9 | (204 ± 4) × 10−6 | 0.6 ± 0.5 | 2098 ± 20 | 5.8 ± 1 | 10−14 |
| Layer | Mass Density (g/cm3) | Thickness (nm) | Roughness (nm) | |
|---|---|---|---|---|
| air | air | 0 | -- | -- |
| capping layer | air | 0 | -- | -- |
| multi-layer × 10 | copper | 9 | 16.9 | 0.8 |
| carbon | 2.12 | 16.3 | 0.8 | |
| current collector | copper | 9 | 224 | 0.7 |
| adhesion layer | chromium | 5.3 | 14.7 | 0.7 |
| quartz holder | SiO2 | 2.7 | 3.2 × 106 | 0.7 |
Disclaimer/Publisher’s Note: The statements, opinions and data contained in all publications are solely those of the individual author(s) and contributor(s) and not of MDPI and/or the editor(s). MDPI and/or the editor(s) disclaim responsibility for any injury to people or property resulting from any ideas, methods, instructions or products referred to in the content. |
© 2023 by the authors. Licensee MDPI, Basel, Switzerland. This article is an open access article distributed under the terms and conditions of the Creative Commons Attribution (CC BY) license (https://creativecommons.org/licenses/by/4.0/).
Share and Cite
Hüger, E.; Jin, C.; Meyer, K.; Uxa, D.; Yang, F. Invited: Investigation of Carbon/Copper Multilayer to Examine the Influence of Copper Coating on the Li-Storage Performance of Carbon. Energies 2023, 16, 2740. https://doi.org/10.3390/en16062740
Hüger E, Jin C, Meyer K, Uxa D, Yang F. Invited: Investigation of Carbon/Copper Multilayer to Examine the Influence of Copper Coating on the Li-Storage Performance of Carbon. Energies. 2023; 16(6):2740. https://doi.org/10.3390/en16062740
Chicago/Turabian StyleHüger, Erwin, Chao Jin, Kevin Meyer, Daniel Uxa, and Fuqian Yang. 2023. "Invited: Investigation of Carbon/Copper Multilayer to Examine the Influence of Copper Coating on the Li-Storage Performance of Carbon" Energies 16, no. 6: 2740. https://doi.org/10.3390/en16062740
APA StyleHüger, E., Jin, C., Meyer, K., Uxa, D., & Yang, F. (2023). Invited: Investigation of Carbon/Copper Multilayer to Examine the Influence of Copper Coating on the Li-Storage Performance of Carbon. Energies, 16(6), 2740. https://doi.org/10.3390/en16062740

