The Law of Liquid–Solid Carrying in the Wellbore of Natural Gas Hydrate Gas Well under the Condition of Foam Drainage Gas Recovery
Abstract
1. Introduction
2. Mathematical Model of Multiphase Flow in Continuous Drainage and Production Wellbore
2.1. Continuity Equation
2.2. Equation of Motion
2.3. Wellbore Pressure Field Model
2.4. Wellbore Temperature Field Model
2.4.1. Below the Mud Line
2.4.2. Above Mud Line
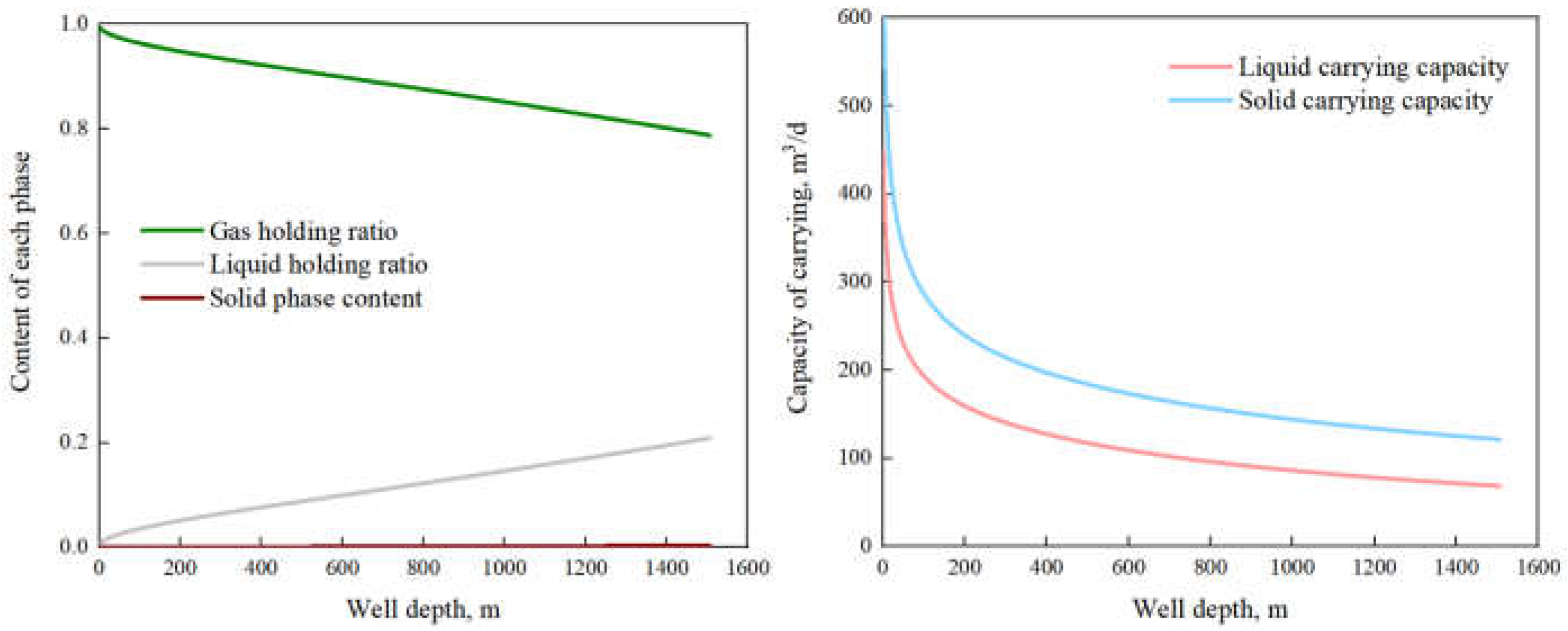
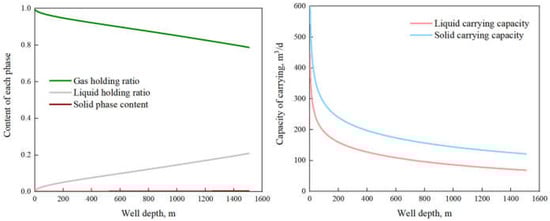
3. Research on the Law of Liquid–Solid Carrying in Foam Cycle Purge
3.1. Research on Liquid-Carrying Law of Foam Cycle Purging Wellbore
3.2. Research on Solid-Carrying Law of Foam Cycle Purging Wellbore
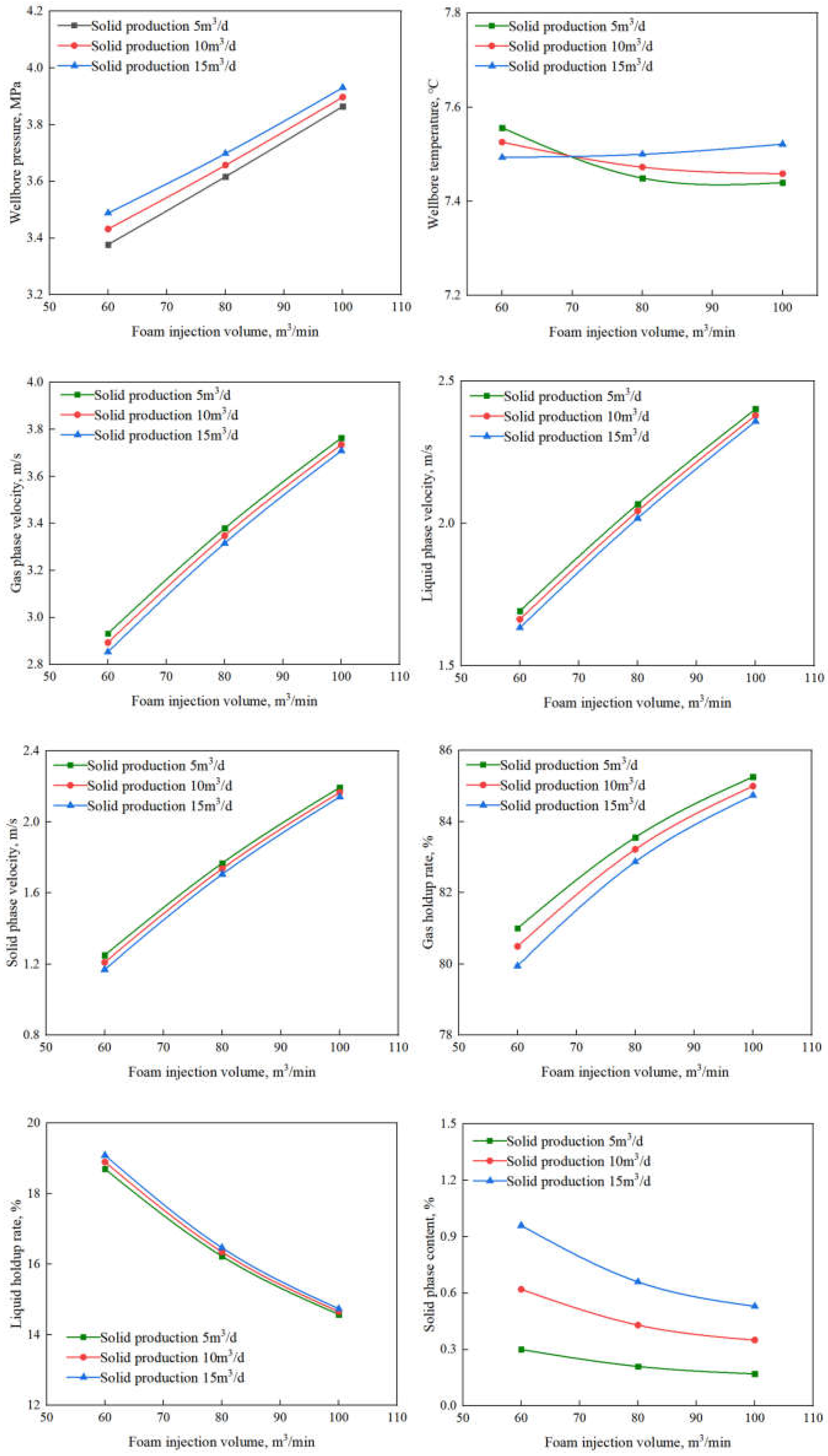
4. Laboratory Experiment
4.1. Experimental Equipment
4.2. Experimental Procedure
- (1)
- Through the sand filling port, add an appropriate amount of foam, water and solid particles to the bottom of the wellbore to simulate the bottom hole sand production and bottom hole fluid accumulation after the exploitation of marine NGH;
- (2)
- Turn on the power supply, turn on the camera, and start the software to record data;
- (3)
- Open the air compressor and gradually adjust the air compressor displacement. When solid particles can be carried at the top of the experimental pipe section, namely the wellhead, the gas volume is considered to be the critical flow rate under the experimental conditions. Stabilize the output displacement of the air compressor for 2–5 min, and record the motion state of the solid particles with the camera;
- (4)
- Increase the displacement and close the air compressor after all solid particles are discharged;
- (5)
- Add the same amount of solid particles, stabilize the nitrogen injection amount at a certain value, and repeat the experimental steps (2) and (3);
- (6)
- Save and close the software, turn off the main power supply and high-speed camera, check each valve, clean and tidy the experiment site, and the experiment is over.
4.3. Experimental Phenomena
4.4. Experimental Results and Analysis
5. Conclusions
- (1)
- Under the same water production condition, the liquid-carrying capacity and solid-carrying capacity are significantly enhanced with the increasing volume of foam injection. However, once the foam injection volume is increased to a certain level, the liquid and solid-carrying effects cannot be significantly improved with the volume of foam injection continuous increasing;
- (2)
- Under the same sand production condition, the liquid-carrying capacity and solid-carrying capacity are significantly enhanced with the increasing volume of foam injection. However, once the foam injection volume is increased to a certain level, the liquid-carrying and solid-carrying effect cannot be significantly improved with the volume of foam injection continuous increasing;
- (3)
- With the same volume of foam injection, the liquid-carrying capacity and solid-carrying capacity decrease with the increase of water production; the pressure of the bottom hole increases, the temperature of the bottom hole increases; the maximum mixture density increases; the minimum velocity of the gas phase decreases; the minimum velocity of the gas phase decreases and the liquid-carrying capacity decreases, so the minimum velocity of the liquid phase decreases. As the minimum velocity of the gas phase decreases, the solid-carrying capacity decreases, so the minimum velocity of the solid phase decreases; and the minimum gas-holdup ratio decreases. As the minimum gas-holdup rate decreases, the liquid-carrying capacity decreases, so the maximum liquid-holdup rate increases. The minimum gas-holdup rate decreases and the solid-carrying capacity decreases, so the maximum solid phase content increases.
- (4)
- With the same volume of foam injection, the liquid-carrying capacity and solid-carrying capacity decrease with the increase of sand production; the pressure of the bottom hole increases, the temperature of the bottom hole decreases; the maximum mixture density increases; and the minimum gas phase velocity decreases. As the gas phase velocity decreases, the liquid-carrying capacity decreases, so the minimum velocity of the liquid phase decreases. As the gas phase velocity decreases, the solid-carrying capacity decreases, so the minimum velocity of the solid phase decreases. As the minimum gas-holdup decreases, the maximum liquid-holdup increases, and the maximum solid phase content increases.
Author Contributions
Funding
Data Availability Statement
Acknowledgments
Conflicts of Interest
References
- Fu, Q.; Zhou, S.; Li, Q. Natural Gas Hydrate Exploration and Production Technology Research Status and Development Strategy. Strateg. Study CAE 2015, 9, 123–132. [Google Scholar]
- Kang, J. Experimental Study on Auxiliary Heating Simulation of Natural Gas Hydrate Depressurization Production Well. Master’s Thesis, Jilin University, Changchun, China, 2020. [Google Scholar]
- Sun, W. Multiphase Nonequilibrium Pipe Flow in Solid Fluidization Exploitation of Marine Natural Gas Hydrate Reservoir. Master’s Thesis, Southwest Petroleum University, Chengdu, China, 2016. [Google Scholar]
- Xin, G.; Lan, L. Operation of Industrial Boiler and Operation Practice of Energy Saving and Emission Reduction; First Machine Press: Beijing, China, 2015; pp. 115–120. [Google Scholar]
- Zhao, J.; Li, H.; Zhang, L.; Sun, W.; Wu, K.; Li, Q.; Zhao, J.; Lv, X.; Wang, G. Large-scale physical simulation experiment of solid fluidization exploitation of marine gas hydrate. Nat. Gas Ind. B 2018, 38, 76–83. [Google Scholar]
- Zhou, S.; Chen, W.; Li, Q.; Zhou, J.; Shi, H. Research on the solid fluidization well testing and production for shallow non-diagenetic natural gas hydrate in deep water area. China Offshore Oil Gas 2017, 29, 1–8. [Google Scholar]
- Qiu, Y. Study on Decomposition Law of Marine Non-Diagenetic Natural Gas Hydrate in Solid Fluidization Mining Process. Master’s Thesis, Southwest Petroleum University, Chengdu, China, 2016. [Google Scholar]
- Peng, Y.; Su, Z.; Liu, L.; Jin, G.; Wei, X. Numerical study on the movement of the decomposition front of gas hydrate depressurization exploitation. Mar. Geol. Quat. Geol. 2020, 40, 198–207. [Google Scholar]
- Hong, R. Study on Factors Affecting Steam Injection of Natural Gas Hydrate. Master’s Thesis, Liaoning University of Petrochemical Technology, Fushun, China, 2019. [Google Scholar]
- Gao, J. Influence of gas hydrate secondary formation and permeability change on depressurization production. China Chem. Ind. Trade 2018, 19, 230. [Google Scholar]
- Lu, J.; Li, D.; He, Y.; Liang, D.; Xiong, Y. Research status of sand production during natural gas hydrate exploitation. Prog. New Energy 2017, 5, 394–402. [Google Scholar]
- Che, C.; Zhu, Y. New energy in the 21st century: Natural gas hydrate. Ziguangge 2014, 2, 68–69. [Google Scholar]
- Wang, W. Numerical Simulation Research on Gas Hydrate Depressurization Production. Master’s Thesis, Qilu University of Technology, Jinan, China, 2021. [Google Scholar]
- Sun, H. Research on the Liquid-Carrying Capacity of Gas in Pipelines. Master’s Thesis, China University of Petroleum (Beijing), Beijing, China, 2017. [Google Scholar]
- Liu, T.; Guo, X.; Wang, S.; Chen, H.; Liu, D. Experimental study on wellbore flow pattern in horizontal well foam drainage and gas production. Drill. Prod. Technol. 2017, 40, 69–73. [Google Scholar]
- Sun, M. Numerical Simulation Research and Application of Foam Fluid Sand Washing and Flushing. Ph.D. Thesis, China University of Petroleum (East China), Qingdao, China, 2007. [Google Scholar]
- Xiong, Y.; Jia, J.; Liu, S.; Jiang, Z.; Ren, Y.; Wu, W.; Long, S. Study and Performance Evaluation of Foaming Agent for High Temperature Resistant foam Drainage. Chem. Eng. Oil Gas 2012, 41, 308–310+359. [Google Scholar]
- van Nimwegen, A.T.; Portela, L.M.; Henkes, R.A.W.M. The effect of surfactants on upward air–water pipe flow at various inclinations. Int. J. Multiph. Flow 2016, 78, 132–147. [Google Scholar] [CrossRef]
- Huang, B.; Nan, X.; Cheng, F.; Zhou, W.; Fu, S.; Zhang, T. Study on foam transport mechanism and influencing factors in foam drainage gas recovery of natural gas well. J. Dispers. Sci. Technol. 2022, 43, 2049–2057. [Google Scholar] [CrossRef]
- Huang, B.; Nan, X.; Fu, C.; Tang, B.; Wang, S.; Zhang, L.; Guo, W. Investigation on working principle of pipe string for liquid retention and refoaming in the wellbore of natural gas well with foam drainage gas recovery. Energy Sources Part A Recovery Util. Environ. Eff. 2021, 23, 1–16. [Google Scholar] [CrossRef]
- Chamkha, A.J.; Peddieson, J., Jr. Boundary Layer Theory for a Particulate Suspension. J. Fluids Eng. Trans. ASME 1994, 116, 147–153. [Google Scholar] [CrossRef]
- Chamkha, A.J. Compressible Two-Phase Boundary-Layer Flow with Finite Particulate Volume Fraction. Int. J. Eng. Sci. 1996, 34, 1409–1422. [Google Scholar] [CrossRef]
- Chamkha, A.J. Particulate Viscous Effects on the Compressible Boundary-Layer Two-Phase Flow Over a Flat Plate. Int. Commun. Heat Mass Transf. 1998, 25, 279–288. [Google Scholar] [CrossRef]
- Chamkha, A.J. Effect of Combined Particle-Phase Diffusivity and Viscosity on the Compressible Boundary Layer of a Particulate Suspension over a Flat Surface. J. Heat Transf. 1999, 121, 420–429. [Google Scholar] [CrossRef]
- Derikvand, Z.; Riazi, M. Experimental investigation of a novel foam formulation to improve foam quality. J. Mol. Liq. 2016, 224, 1311–1318. [Google Scholar] [CrossRef]
- Du, Z.; Shi, L.; Yang, X.; Zhang, W.; Zhou, H.; Zhao, W.; Wang, G. The research and application of coiled tubing technology of horizontal well in drainage gas recovery. In Proceedings of the International Conference of Green Buildings and Environmental Management (GBEM), Qingdao, China, 23–25 August 2018. [Google Scholar]
- Li, R.; Chen, X.; Chang, Y.; Zhang, L.; Zhang, Y.; Zhu, Y.; Wang, T. Increase of bubble size playing a critical role in foam-induced protein aggregation: Aggregation of BSA in foam fractionation. Chem. Eng. Sci. 2018, 174, 387–395. [Google Scholar] [CrossRef]
- Wen, Y.; Lai, N.; Li, W.; Zhang, Y.; Du, Z.; Han, L.; Song, Z. Factors influencing the stability of natural gas foam prepared by alkyl polyglycosides and its decay rules. J. Pet. Sci. Eng. 2021, 196, 108039. [Google Scholar] [CrossRef]
- Wang, H.; Liu, J.; Yang, Q.; Wang, Y.; Li, S.; Sun, S.; Hu, S. Study on the influence of the external conditions and internal components on foam performance in gas recovery. Chem. Eng. Sci. 2021, 231, 116279. [Google Scholar] [CrossRef]
- Fan, X.; Guan, X.; Zhang, M.; Liu, Y.; Li, Y. Aqueous foam synergistically stabilized by the composite of lignin nanoparticles and surfactant. Colloids Surf. A Physicochem. Eng. Asp. 2022, 643, 128727. [Google Scholar] [CrossRef]
- Lai, N.; Zhang, C.; Wang, J.; Tang, L.; Ye, Z. Effects of Different Gases on the Molecular Behavior of Alkyl Glycosides at Gas/Liquid Interface and Foam Stability. ChemistrySelect 2023, 7, e202203090. [Google Scholar] [CrossRef]
- Li, S. Research on Foam Sand Washing Technology for Horizontal Wells. Master’s Thesis, China University of Petroleum (East China), Qingdao, China, 2006. [Google Scholar]
- Ramey, H.J. Wellbore heat transmission. J. Pet. Technol. 1962, 14, 427–435. [Google Scholar] [CrossRef]
















| Interval | Bit Size mm | Casing Size mm | Casing Running Interval m | Depth of Cement Return |
|---|---|---|---|---|
| 1 | 660.4 | 914.4 | 0~62 | Mud line |
| 2 | 460 | 339.7 | 0~207 | Mud line |
| 3 | 311.2 | 244.5 | 0~253 | Mud line |
Disclaimer/Publisher’s Note: The statements, opinions and data contained in all publications are solely those of the individual author(s) and contributor(s) and not of MDPI and/or the editor(s). MDPI and/or the editor(s) disclaim responsibility for any injury to people or property resulting from any ideas, methods, instructions or products referred to in the content. |
© 2023 by the authors. Licensee MDPI, Basel, Switzerland. This article is an open access article distributed under the terms and conditions of the Creative Commons Attribution (CC BY) license (https://creativecommons.org/licenses/by/4.0/).
Share and Cite
Li, H.; Wei, N.; Hu, H.; Ge, Z.; Jiang, L.; Liu, F.; Wang, X.; Zhang, C.; Xu, H.; Pei, J.; et al. The Law of Liquid–Solid Carrying in the Wellbore of Natural Gas Hydrate Gas Well under the Condition of Foam Drainage Gas Recovery. Energies 2023, 16, 2414. https://doi.org/10.3390/en16052414
Li H, Wei N, Hu H, Ge Z, Jiang L, Liu F, Wang X, Zhang C, Xu H, Pei J, et al. The Law of Liquid–Solid Carrying in the Wellbore of Natural Gas Hydrate Gas Well under the Condition of Foam Drainage Gas Recovery. Energies. 2023; 16(5):2414. https://doi.org/10.3390/en16052414
Chicago/Turabian StyleLi, Haitao, Na Wei, Haiyu Hu, Zhaolong Ge, Lin Jiang, Fengjun Liu, Xiaoran Wang, Chao Zhang, Hanming Xu, Jun Pei, and et al. 2023. "The Law of Liquid–Solid Carrying in the Wellbore of Natural Gas Hydrate Gas Well under the Condition of Foam Drainage Gas Recovery" Energies 16, no. 5: 2414. https://doi.org/10.3390/en16052414
APA StyleLi, H., Wei, N., Hu, H., Ge, Z., Jiang, L., Liu, F., Wang, X., Zhang, C., Xu, H., Pei, J., & Kvamme, B. (2023). The Law of Liquid–Solid Carrying in the Wellbore of Natural Gas Hydrate Gas Well under the Condition of Foam Drainage Gas Recovery. Energies, 16(5), 2414. https://doi.org/10.3390/en16052414
