Next Article in Journal
Research on Transformer Voiceprint Anomaly Detection Based on Data-Driven
Next Article in Special Issue
Process Performance and Functional Microbial Community in the Anaerobic Digestion of Chicken Manure: A Review
Previous Article in Journal
Prediction of NOx Emission Based on Data of LHD On-Board Monitoring System in a Deep Underground Mine
Previous Article in Special Issue
Application of Post-Flotation Dairy Sludge in the Production of Wood Pellets: Pelletization and Combustion Analysis
 
 
Font Type:
Arial Georgia Verdana
Font Size:
Aa Aa Aa
Line Spacing:
Column Width:
Background:
Article

Economic Value Estimation of Biogas Utilization in Public Wastewater Treatment Plants of the Republic of Korea

1
Graduate School of Smart City & Urban Regeneration Converge, Hongik University, Sejong 30016, Republic of Korea
2
Department of Electronic and Electrical Engineering, Hongik University, Sejong 30016, Republic of Korea
*
Author to whom correspondence should be addressed.
Energies 2023, 16(5), 2150; https://doi.org/10.3390/en16052150
Submission received: 19 January 2023 / Revised: 16 February 2023 / Accepted: 21 February 2023 / Published: 23 February 2023
(This article belongs to the Special Issue Advances in Biomass for Energy Technologies)

Abstract

This paper presents economic value estimation of improved biogas utilization systems of public wastewater treatment plants in Republic of Korea. Since a large amount of biogas produced at digestion facilities is being wasted as a by-product, the biogas energy utilization system needs to be enhanced. In this paper, three operating options able to utilize the produced biogas are proposed, and then their monetary benefits are estimated by means of net present value calculation. Real operational data from the public wastewater treatment plant located in Sejong city, Republic of Korea, is used to reflect a variation of the rated daily gas production and its concentration according to the weather and seasons, resulting in calculating more reliable results. Additionally, to minimize the estimation errors due to uncertainties of the gas concentration and the gas selling price, a Monte Carlo simulation considering the variation of critical input data is carried out. As a result, the proposed approach can lead to better decisions in selecting the suitable biogas utilization system by forecasting the ranges of possible economic values.

1. Introduction

Globally, many investments related to renewable energy are actively underway to reduce the production of greenhouse gases corresponding to the Kyoto Protocol. In the Republic of Korea (ROK), the central government is actively participating in various initiatives to increase the power generation based on renewable energy sources such as photovoltaic, solar heat, wind, small hydro, geothermal, and bioenergy. Additionally, due to London Convention, which is preventing marine pollution from dumping of wastes, waste-to-energy systems such as wastewater treatment plants (WWTP), trash incinerators and landfill gas systems have become one of major concerns for both reducing the amount of waste and saving operational costs [1]. Compared to other systems, the WWTP can produce biogas stably with relatively constant concentration because of controllability of total solids (TS) referring to matter suspended or dissolved in wastewaters.
The typical WWTP requires digestion facilities (DF) to separate volatile solids (VS) that can be transformed into potentially biogas as a renewable biofuel from TS. As the growth of urban populations leads to an increase in TS throughput, more DF have been installed. Typically, DF can be categorized into anaerobic digestion (AD) and anaerobic co-digestion (AcoD). While AD only deals with sewage sludge (SL), AcoD can process both SL and food waste (FW), resulting in better nutrient balances and a larger yield of biogas [2,3,4,5]. As a result, existing AD facilities in the ROK have been gradually replaced with AcoD facilities, and additional DF installations have been made. The composition of these anaerobic digestion systems can be divided into single-reactor and double-reactor configurations. The single-reactor system has a structure in which the processes of hydrolysis, acidogenesis, acetogenesis, and methanogenesis are carried out in one reactor. The double-reactor system is comprised of two separate reactors, with the first reactor performing the hydrolysis/acidogenesis stage and the second reactor producing methane [6]. The data used in this paper is based on a double-reactor anaerobic digester.
Figure 1 shows the status of biogas production facilities in the ROK. It can be noticed that the total capacity of DF increases by around 5.9% annually. Furthermore, many efforts including system upgrade from the conventional AD to AcoD have been fulfilled to enhance the ability to handle organic substrates. This leads to an increase in biogas production, as shown in Figure 2. However, there has not been much progress in consuming biogas.
Since raw biogas consisting of mainly methane and carbon dioxide has low-concentration methane, burning out or discarding of the raw biogas may be a simple economical solution even under annual biogas production increase and the improvement of the treatment process. However, it also causes environmental issues, thus the biogas utilization system of the WWTPs needs to be enhanced for both energy saving and wastes reduction [7,8,9].
In recent years, few papers have improved biogas utilization systems of the WWTPs and its monetary value estimation in [10,11,12]. In [10], authors conducted the life-cycle assessment to hydrogen generation in the WWTP and concluded that additional carbon capture and storage systems should be added to obtain economic feasibility of the WWTP. In [11], the technological feasibility of carbon membranes for biogas upgrading was studied and its optimal operational conditions was derived. An optimum size selection of biogas-fueled micro gas turbine cogeneration systems in the WWTP was studied in [12], which concluded that the best configuration is when the rated fuel input of micro gas turbine cogeneration systems is approximately equal to biogas production of the WWTP.
To improve the uneconomic characteristics of DF operations, previous studies have been focusing on the economic feasibility analysis and optimal size selection of single biogas utilization system authors proposed. In this paper, comparative studies regarding the economic feasibility of using various energy utilization methods are required, which are based on methods of improving DFs and methods of using the produced biogas considering energy conversion. At the same time, different characteristics and results between AD and AcoD are discussed. By comparing net present values (NPV) of several proposed utilization systems, better investment decision can be achieved. Real operational data from the public WWTP located in Sejong city of ROK is used to increase the reliability of the derived economic analysis results through reflection of a variation of the rated daily gas production and its concentration according to the weather and seasons. Additionally, to minimize the estimation errors due to uncertainties of the gas concentration and the gas selling price, a Monte Carlo simulation considering the stochastic input data is carried out. As a result, the proposed approach can lead the better decisions in selecting more suitable biogas utilization system by forecasting the ranges of possible economic values. The contribution of this paper can be summarized as follows: (1) To provide a methodology for estimating the monetary benefits of improved biogas utilization systems, (2) To propose practical options for utilizing the biogas produced in the WWTP, and (3) To calculate the NPV of these improvement options using real operating data and Monte Carlo simulation.
The rest of the paper is organized as follows. Section 2 presents the economic value estimation model used in this study. The biogas production facility is described in Section 3 as well as the identification of the problems. The production facilities with improved biogas utilization methods are proposed in Section 4, and the simulation input conditions for the economic value estimation of the proposed methods are explained in Section 5. The simulation results are presented in Section 6, and Section 7 draws the conclusion in this study.

2. Methodology

The NPV refers to a conversion of the time-based difference between the cost and the benefit into the present value, using the proper discount rate. An investment with an NPV of greater than zero in the entire project investment period proves that the project is viable. Furthermore, when there are several mutually exclusive cases, it may be valid to select a case with the largest NPV among those having an NPV of zero or higher [13,14]. The NPV output value of the economic value estimation model in this study can be calculated as
N P V = t = 0 n B t C t ( 1 + γ ) t C i
where, Bt, Ct, Ci, γ and n are t-year-round benefits, t-year-round costs, initial costs, discount rates, and investment periods, respectively. The annual benefits include the renewable energy certificate (REC), system marginal price (SMP), carbon credits, environmental improvement amount, gas and hydrogen sales revenue. The annual costs include labor and maintenance costs. The initial costs include generators, electric power facilities, exhaust emission removal, leakage gas monitoring unit, membrane, gas compressor, dehumidifier, CO2 capture system, reformer, compressed gas tank unit, installation construction cost, several business approval cost and protective relay scheme inspection cost. It is worth mentioning that this study does not consider depreciation costs for wastewater government facilities. In the ROK, social infrastructure can replace depreciation costs with repair and maintenance costs [15,16]. Additionally, the provision of public WWTP is relatively effortless because of the country’s small territorial size and high population density. Thus, capital expenditures are not accounted for as costs. The investment period for the project is set at 10 years because WWTP is considered to deteriorate after 10 years in the ROK. Lastly, the discount rate used in this study is defined as 5% per year.

3. Biogas Production Facilities

Figure 3 shows the view of the production facility, with (a) and (b) representing Facility A and Facility B, respectively. Both DFs are configured in a multistage digestion method and operate independently. Facility A is an AD facility, which only processes SL, while Facility B is an AcoD facility, processing both FW and SL. Since both facilities differ in microbial characteristics, economic value estimation will be conducted separately [17].
The design of Facility A consists of two mesophilic temperature anaerobic digestion reactors, with the first reactor based on 38 °C and the second reactor operated at 35 °C. The total hydraulic retention time is 18 days. In practice, both reactors are running at an average temperature of 40 °C. On the other hand, Facility B was designed with two thermophilic temperature anaerobic digestion reactors, both intended to operate at 55 °C. The hydraulic retention time for the first reactor is 3.7 days and 14.6 days for the second reactor, with a total of 18.6 days. However, due to operational difficulties at thermophilic temperature and insufficient heating capacity, both reactors are currently operating at around 40 °C. The average methane composition of the generated gas is approximately 60% for Facility A and 64% for Facility B. Table 1 presents the design capacity and practical usage of the FW and SL. It can be noticed that the operating rates of SL and FW in Facility B are 67% and 10% on average, respectively and the operating rate of SL is 31% in Facility A. It is worthwhile to mention that Sejong city was founded in 2007 as the new planned capital of ROK and the construction of the city is expected to be completed in 2030, at which time 500,000 people are expected to live there. Therefore, the continuous population inflow to Sejong City will be expected and the operational rates will be increasing continuously.
Figure 4 shows the biogas production and usage of Facility A and Facility B in 2021, respectively. Facility A incinerated 33,634 m3, which is equivalent to 11.95% of the total gas production, 281,505 m3. Facility B produced 643,364 m3, of which 192,085 m3 is equivalent to 29.86% of that was incinerated.
The amount of environmental improvement can be estimated through the incinerated biogas (extra gas) and can be expressed as
Amount   =   V g × P L C × A m × n
where Va, PLC, Am and n are volume of gas, low calorific power, hot water price from the Korea District Heating Corporation (KDHC) and boiler thermal efficiency, respectively. Table 2 presents the calorific power of biogas, the thermal efficiency of the boiler, and the KDHC heat supply cost [18]. Finally, Table 3 presents the environmental improvement amount consumed in each facility as the benefits of the facility improvement, which was derived using (2) and Table 2.

4. Proposed Systems

In this study, we propose three mutually exclusive improved facilities to reduce the loss amount of incinerated biogas. Figure 5 demonstrates the structure of the existing facility (Case 0) and the proposed improvements to the facility structure (Case 1, Case 2, Case 3).

4.1. Engine Combined Heat & Power System

Case 1 in Figure 5 demonstrates the engine combined heat & power system(e-CHP) method. e-CHP has the advantage of running an engine using biogas to simultaneously obtain both thermal and electric energy. The generated thermal energy can be used for heating the DF, thereby replacing the existing boiler equipment; the electric energy is used within the WWTP. The maximum energy conversion efficiency is approximately 70%, and the removal of hydrogen sulfide, siloxane, and water content is essential for failure prevention. Although they are sufficiently removed in the existing pre-treatment facility, new facilities consisting of a dehumidifier for the water content removal, for example, are inevitable and require relatively high initial investment and maintenance costs [19].
The e-CHP system has been selected as the main system used for landfill gas in the ROK because it has a short periodic maintenance time of around 500 h and is convenient to maintain. This system has already been widely used in many countries, and it is expected that it will have a very high energy self-sufficiency rate in the AcoD of the WWTP [20,21].

4.2. Upgrading System

Case 2 in Figure 5 depicts the upgrade system for refining low-concentration methane into high-concentration methane. In this system, the existing boiler is used for heating in the DF, and the biogas to be incinerated is used upgrading system to make from low-concentration of approximately 60% to high-concentration methane over 95% [22]. Biogas utilizing technologies with high-concentration methane, such as connecting to city gas pipeline networks and using it as a fuel for transportation, has reached a point where it can be commercially viable. A variety of techniques for separating carbon dioxide and methane from biogas, absorption, and membrane methods. Among these technologies, the membrane method was chosen for the proposed system due to its low initial investment and maintenance costs [23,24,25,26]. Furthermore, HPC (heat, power and chemicals) can be considered if it is shared with CHP. HPC refers to a series of processes such as producing methanol through reforming and reinjecting off-gas into CHP. However, the initial investment cost is relatively high, and the operational difficulty increases due to the complexity of the process [27]. Therefore, this paper had to consider the most popular and ready-to-operate systems.

4.3. Green Hydrogen Production System

Typically, hydrogen gas can be obtained from hydrocarbons using three commercial technologies: steam reforming, partial oxidation, and auto-thermal reforming. Steam reforming can produce high concentrations compared to low energy. In other words, steam reforming is the oldest and most widely practiced production route. However, this process requires high temperatures: typically, above 800–900 °C. Steam reform reacts methane with water, resulting in hydrogen dioxide. Partial oxidation is oxidation based on the reaction of methane and oxygen to produce carbon monoxide and hydrogen. The conversion efficiency of methane is high, and the residence time is short, so the cost is efficient. However, partial oxidation has problems such as hotspot formation and coke deposition. Auto-thermal reforming is difficult to operate. Because steam reforming is produced by the heat for the partial oxidation step. Additionally, once the reaction temperature is reached, no external heating is required. Because no overall enthalpy changes of the reaction. Recently, advancements in hydrogen production systems have led to the emergence of several reforming technologies that utilize carbon dioxide for chemical reactions. These technologies, such as dry reforming, tri-reforming, or super dry reforming, offer a more intuitive approach compared to traditional reforming methods that employ hydrocarbons and water. Because biogas primarily consists of methane and carbon dioxide, these reforming approaches may be suitable for biogas hydrogen systems in the WWTP [28,29,30,31,32,33,34]. However, the safety and reliability of these systems have not yet been verified, and as a result, they are not yet commercially available in the ROK. In this study, one of the key requirements from public institutions is that the hydrogen production system should be reliable and utilize existing resources among the various biogas utilization technologies. Therefore, the traditional hydrogen system utilizing steam reforming has been considered as a candidate for the hydrogen production system.
Case 3 in Figure 5 is an extension of the Case 2 improvement method consisting of steam reforming. This system is a reforming system using upgrading biogas, and the produced hydrogen can be stored and used as a variety of energy sources which are fuel cell-based transportation vehicles or industrial energy. Because hydrogen production equipment must be additionally installed along with the upgrading equipment, this process requires a relatively high initial investment and maintenance costs. The hydrogen production capacity of the green hydrogen production system can be estimated using empirical data. Approximately 400 Nm3 is produced based on a 200 ton/day class of SL (70%) and FW (30%) AcoD reference process, where 68.3 kg/h of hydrogen is produced. This indicates that the hydrogen yield is 0.160 kgH2/Nm3 biogas, and it can be expected that the hydrogen production capacity of Facility B is superior to that of Facility A [28]. Commonly, in both Case 2 and Case 3, the CO2 separated from biogas is not considered in the economic analysis due to the absence of a selling price in the ROK.

5. Simulation Conditions

In order to calculate the NPV for the three proposed improvement methods, certain factors must be defined. This study divides these factors into three categories: fixed definition, assumed definition, and forecast definition. The fixed definition refers to values that do not change during the simulation and are used as constants. The assumed definition refers to values that will be represented as random numbers during the simulation. The forecast definition refers to a series of results determined as a range using the fixed definition and the assumed definition [35,36].

5.1. Fixed Definitions

Because the Sejong City public WWTP is divided into two Facility A and Facility B, we classified the common fixed definitions, which are identically defined in the two facilities, and respective fixed definitions.
Table 4 presents the common fixed definitions. The labor cost includes both direct and indirect labor, and SMP is defined as the average price of the electricity consumed at the WWTP because the power produced is entirely consumed in the WWTP. The hydrogen yield is defined as 0.160 kgH2/Nm3 biogas and the price is defined as the current selling price. The high concentration methane gas standard is defined as 95%, and the discount rate is defined as 5%.
Table 5 and Table 6 present the fixed definitions of Facility A and Facility B, respectively. Because the volume of the gas produced and that incinerated are different for Facility A and Facility B, the initial investment and maintenance costs vary for the two facilities. When compared based on the volume of gas produced and incinerated, it is found that the costs are higher in Facility B than that in Facility A.

5.2. Assumed Definitions

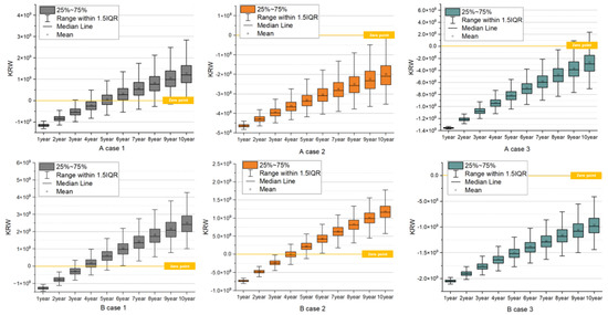
In this study, the assumed definition of the input data is classified into two types of data represented as random numbers during simulation: (1) using the standard deviation, and (2) randomly extracting previous data. The produced gas concentration and gas selling cost are expressed as random numbers using their standard deviations, as shown in Table 7. Figure 6 depicts the distributions of the REC and carbon credits. When the input data has high volatility and an accurate forecast is difficult to obtain, the assumed definitions based on probability distribution are used to improve the reliability of the overall economic value estimation results. Figure 7 displays the results of 1000 Monte Carlo simulations in the form of a box plot, where the resulting interquartile range represented by the box shows the central 50% and indicates a relatively high level of confidence.

6. Simulation Results

6.1. Forecast Definitions for Facility A

The median NPVs of each proposed method for Facility A are shown on the left side in Table 8. The e-CHP system (Case 1) is the only model that produced an NPV greater than zero, based on the median. The high confidence level regions are also positive in the box chart results of (B Case 1), as shown in Figure 7. On the other hand, the project investment value is significantly low for the upgrading system (Case 2) and green hydrogen production system (Case 3).

6.2. Forecast Definitions for Facility B

The median NPVs for each proposed method for Facility B are displayed on the right side in Table 8. It shows that the improved methods, which are able to reach a positive number greater than zero based on the median NPV, are the e-CHP system (Case 1) and the upgrading system (Case 2). This is because the NPV is a positive number in the box chart region of (B Case 1) and (B Case 2) in Figure 7, indicating that the investment is deemed to be worthwhile. The initial investment cost is 1.8 billion KRW and 1 billion KRW for Case 1 and Case2, respectively. Additionally, because the NPV in year 10 is 2.4 billion KRW and 1.1 billion KRW, respectively, the investment risk and profitability are proportional. If the existing boiler is used and the possibility of additional investment in a green hydrogen production system (Case 3) is considered in the future, the upgrading system (Case 2) has the lowest investment risk.

6.3. Comparison of Results

The simulation results indicate that incorporating FW is a crucial factor in biogas production, with potential for improvement in various directions. The implementation of FW in Facility A would likely require an upgrade of the system, offering the possibility of enhancing the green hydrogen production system. However, the investment value for the project in this facility is low, with the exception of the e-CHP system. In other words, using FW is an important factor in improving the WWTP biogas utilization. Therefore, the methane upgrading and green hydrogen production system using disposed and incinerated biogas can improve the economic investment value through increased benefits by adding FW treatment facility and equipment.
When changing the DF operation method, the change in the size of the benefit should be considered. In Facility B, the volume of FW incorporated is 10% of the design capacity, and that of SL is approximately 67%. In Facility A, an increase in biogas production is expected because half of the DF is not in operation, and the volume of SL incorporated is approximately 30% of the total design capacity. In the upgrading system (Case 2) and green hydrogen production system (Case 3) cases, which are designed with a condition of using biogas disposed of or burned, the change in benefits is large.

7. Conclusions

This paper presents the economic value estimation of improved biogas utilization systems in public wastewater treatment plants located in Sejong, ROK. Three operating options able to leverage the produced biogas are proposed, and then their monetary benefits, considering both actual operational data and Monte-Carlo simulation, are estimated through net present value calculations. The results indicate that e-CHP systems have the potential to be the most economically feasible models for both the AD and AcoD digestion facilities. Compared to AD, AcoD can produce a comparatively large amount of biogas, so other options, such as upgrading systems and hydrogen production systems, can also be considered. Reforming systems are an active area of research, and further evaluation may result in varying outcomes based on the country, region, and operating conditions. Additionally, since analysis results can vary depending on facilities operating rates, it is essential to check the facilities when energy recovery systems are considered.

Author Contributions

Conceptualization, D.-K.J. and S.-M.P.; Validation, D.-K.J.; Resources, D.-K.J.; Data curation, S.-M.P.; Supervision, S.-M.P. All authors have read and agreed to the published version of the manuscript.

Funding

This research was funded by Hongik University’s ‘Project for the Establishment of Regionally Specialized Smart City Graduate School.

Conflicts of Interest

The authors declare no conflict of interest.

Nomenclature

AcoDAnaerobic co-digestion
ADAnaerobic digestion
DFDigestion facility
e-CHPEngine combined heat & power
FWFood waste
NPVNet present value
RECRenewable energy certificate
SLSewage sludge
SMPSystem marginal price
TSTotal solid
VSVolatile solid
WWTPWastewater treatment plant

References

  1. Li, R.C.; Dao, K.K.; Ho, D.W.; Lui, S.C. Development & Use of Renewable Energy in Sewage Treatment Facilities. Energy Procedia 2019, 158, 502–508. [Google Scholar] [CrossRef]
  2. Hagos, K.; Zong, J.; Li, D.; Liu, C.; Lu, X. Anaerobic co-digestion process for biogas production: Progress, challenges and perspectives. Renew. Sustain. Energy Rev. 2017, 76, 1485–1496. [Google Scholar] [CrossRef]
  3. Ferreira, J.S.; Volschan, I.; Cammarota, M.C. Enhanced biogas production in pilot digesters treating a mixture of sewage sludge, glycerol, and food waste. Energy Fuels 2018, 326, 6839–6846. [Google Scholar] [CrossRef]
  4. Ai, P.; Jin, K.; Alengebawy, A.; Elsayed, M.; Meng, L.; Chen, M.; Ran, Y. Effect of application of different biogas fertilizer on eggplant production: Analysis of fertilizer value and risk assessment. Environ. Technol. Innov. 2020, 19, 101019. [Google Scholar] [CrossRef]
  5. Dereix, M.; Parker, W.; Kennedy, K. Steam-explosion pretreatment for enhancing anaerobic digestion of municipal wastewater sludge. Water Environ. Res. 2006, 78, 474–485. [Google Scholar] [CrossRef] [PubMed]
  6. Ruiz-Aguilar, G.M.L.; Nuñez-Palenius, H.G.; Lovanh, N.; Camarena-Martínez, S. Comparative Study of Methane Production in a One-Stage vs. Two-Stage Anaerobic Digestion Process from Raw Tomato Plant Waste. Energies 2022, 15, 9137. [Google Scholar] [CrossRef]
  7. Park, S.-Y.; Shin, H.-H.; Yoo, S.-H. Economic Feasibility Analysis of Building Seonam Biogas Combined Heat and Power Plant. J. Energy Eng. 2016, 25, 141–151. [Google Scholar] [CrossRef]
  8. Kim, S.-S. Applicaions and technical standards for biogas. J. Korea Org. Resour. Recycl. Assoc. 2010, 18, 38–49. [Google Scholar]
  9. Shafie, S.M.; Masjuki, H.H.; Mahlia, T.M.I. Life cycle assessment of rice straw-based power generation in Malaysia. Energy 2014, 70, 401–410. [Google Scholar] [CrossRef]
  10. Kim, H.; Baek, Y.; Won, W. Techno-Economic Analysis and Life-Cycle Assessment for the Production of Hydrogen from Biogas. Trans. Korean Hydrog. New Energy Soc. 2021, 32, 417–429. [Google Scholar] [CrossRef]
  11. He, X.; Chu, Y.; Lindbråthen, A.; Hillestad, M.; Hägg, M.-B. Carbon molecular sieve membranes for biogas upgrading: Techno-economic feasibility analysis. J. Clean. Prod. 2018, 194, 584–593. [Google Scholar] [CrossRef]
  12. Basrawi, F.; Ibrahim, T.K.; Habib, K.; Yamada, T.; Idris, D.M.N.D. Techno-economic performance of biogas-fueled micro gas turbine cogeneration systems in sewage treatment plants: Effect of prime mover generation capacity. Energy 2017, 124, 238–248. [Google Scholar] [CrossRef]
  13. Park, S.; Park, S.-Y.; Zhang, P.; Luh, P.; Rakotomavo, M.T.J.; Serna, C. Comparative Life Cycle Cost Analysis of Hardening Options for Critical Loads. Energies 2016, 9, 553. [Google Scholar] [CrossRef]
  14. Shim, K.Y.; Yu, H.K. End of Year Cash Flow Assumption and Deviation of Net Present Value. J. Bus. Res. 2002, 17, 313–336. [Google Scholar]
  15. Lee, J.; Park, S.; Kang, H.; Wang, C.; Hyun, J. Economic Analysis of Food Waste Biogas Plants. New Renew. Energy 2017, 13, 65–72. [Google Scholar] [CrossRef]
  16. Ahn, S.-Y.; Park, S.-W. Improving Local Government Financial Reporting System for Infrastructure Assets under the Modified Approach. Account. Inf. Rev. 2020, 38, 111–134. [Google Scholar] [CrossRef]
  17. Kim, S.; Kim, E.; Hwang, S. Methanogenic diversity changes in full-scale anaerobic digesters by co-digestion of food waste and sewage sludge. J. Mater. Cycles Waste Manag. 2022, 24, 2669–2676. [Google Scholar] [CrossRef]
  18. KDHC. Korea District Heating Corporation Heat Rate Table. Available online: https://www.kdhc.co.kr/cyb/Cy_Content/CM2017.do (accessed on 9 October 2022).
  19. Kim, G.J.; Kim, L.H. Analysis of cause of engine failure during power generation using biogas in sewage treatment plant. J. Energy Eng. 2016, 25, 13–29. [Google Scholar] [CrossRef]
  20. Masłoń, A.; Czarnota, J.; Szaja, A.; Szulżyk-Cieplak, J.; Łagód, G. The Enhancement of Energy Efficiency in a Wastewater Treatment Plant through Sustainable Biogas Use: Case Study from Poland. Energies 2020, 13, 6065. [Google Scholar] [CrossRef]
  21. Ellacuriaga, M.; García-Cascallana, J.; Gómez, X. Biogas Production from Organic Wastes: Integrating Concepts of Circular Economy. Fuels 2021, 2, 144–167. [Google Scholar] [CrossRef]
  22. Wasajja, H.; Lindeboom, R.E.F.; van Lier, J.B.; Aravind, P.V. Techno-economic review of biogas cleaning technologies for small scale off-grid solid oxide fuel cell applications. Fuel Process. Technol. 2020, 197, 106215. [Google Scholar] [CrossRef]
  23. Ryckebosch, E.; Drouillon, M.; Vervaeren, H. Techniques for transformation of biogas to biomethane. Biomass- Bioenergy 2011, 35, 1633–1645. [Google Scholar] [CrossRef]
  24. Petersson, A.; Wellinger, A. Biogas Upgrading Technologies—Developments and Innovations; IEA Bioenergy: Paris, France, 2009; p. 20. [Google Scholar]
  25. Iarikov, D.D.; Ted Oyama, S. Review of CO2/CH4 Separation Membranes. Membr. Sci. Technol. 2011, 14, 91–115. [Google Scholar]
  26. Mondal, M.K.; Balsora, H.K.; Varshney, P. Progress and trends in CO2 capture/separation technologies: A review. Energy 2012, 46, 431–441. [Google Scholar] [CrossRef]
  27. Amaral, A.F.; Previtali, D.; Bassani, A.; Italiano, C.; Palella, A.; Pino, L.; Vita, A.; Bozzano, G.; Pirola, C.; Manenti, F. Biogas beyond CHP: The HPC (heat, power & chemicals) process. Energy 2020, 203, 117820. [Google Scholar]
  28. Choi, K.-S.; Choi, H. High purity Hydrogen Production Technology using High Quality Biogas. J. Civ. Environ. Eng. Res. 2022, 70, 60–67. [Google Scholar]
  29. Hernández, B.; Martín, M. Optimal production of syngas via super-dry reforming. Analysis for natural gas and biogas under different CO2 taxes. Chem. Eng. Res. Des. 2019, 148, 375–392. [Google Scholar] [CrossRef]
  30. Balasubramanian, P.; Bajaj, I.; Hasan, M.M.F. Simulation and Optimization of Reforming Reactors for Carbon Dioxide Utilization Using Both Rigorous and Reduced Models. J. CO2 Util. 2018, 23, 80–104. [Google Scholar] [CrossRef]
  31. Manan, W.N.; Isahak, W.N.R.W.; Yaakob, Z. CeO2-Based Heterogeneous Catalysts in Dry Reforming Methane and Steam Reforming Methane: A Short Review. Catalysts 2022, 12, 452. [Google Scholar] [CrossRef]
  32. Khoja, A.H.; Javed, A.H.; Naqvi, S.R.; Shakir, S.; Din, I.U.; Arshad, Z.; Rashid, U.; Qazi, U.Y.; Naeem, N. Partial Oxidation of Methane over CaO Decorated TiO2 Nanocatalyst for Syngas Production in a Fixed Bed Reactor. Catalysts 2022, 12, 1089. [Google Scholar] [CrossRef]
  33. Ma, Q.; Guo, L.; Fang, Y.; Li, H.; Zhang, J.; Zhao, T.S.; Yang, G.; Yoneyam, Y.; Tsubaki, N. Combined methane dry reforming and methane partial oxidization for syngas production over high dispersion Ni based mesoporous catalyst. Fuel Process. Technol. 2019, 188, 98–104. [Google Scholar] [CrossRef]
  34. Nomoto, K.; Miura, H.; Shishido, T. Inhibitory effect of trace impurities on methanol reforming by Cu/AnO/Al2O3 catalyst: Steam reforming and autothermal reforming of model bio-methanol. Appl. Catal. B Environ. 2023, 325, 122374. [Google Scholar] [CrossRef]
  35. Gonçalves, G.L.; Abrahão, R.; Rotella Junior, P.; Rocha, L.C.S. Economic Feasibility of Conventional and Building-Integrated Photovoltaics Implementation in Brazil. Energies 2022, 15, 6707. [Google Scholar] [CrossRef]
  36. Gholami, H.; Nils Røstvik, H. Levelised Cost of Electricity (LCOE) of Building Integrated Photovoltaics (BIPV) in Europe, Rational Feed-In Tariffs and Subsidies. Energies 2021, 14, 2531. [Google Scholar] [CrossRef]
Figure 1. Total capacity of digestion facilities in South Korea.
Figure 1. Total capacity of digestion facilities in South Korea.
Energies 16 02150 g001
Figure 2. Biogas generation from digestion facilities in South Korea.
Figure 2. Biogas generation from digestion facilities in South Korea.
Energies 16 02150 g002
Figure 3. WWTP biogas facilities views: (a) is AD, (b) is AcoD.
Figure 3. WWTP biogas facilities views: (a) is AD, (b) is AcoD.
Energies 16 02150 g003
Figure 4. Biogas monthly operation status in Facility A (AD) and Facility B (AcoD).
Figure 4. Biogas monthly operation status in Facility A (AD) and Facility B (AcoD).
Energies 16 02150 g004
Figure 5. Proposed system configuration diagram.
Figure 5. Proposed system configuration diagram.
Energies 16 02150 g005
Figure 6. Carbon credits, and REC distribution.
Figure 6. Carbon credits, and REC distribution.
Energies 16 02150 g006
Figure 7. NPV simulation box chart results: (A case 1) Facility A case 1, (A case 2) Facility A case 2, (A case 3) Facility A case 3, (B case 1) Facility B case 1, (B case 2) Facility B case 2, (B case 3) Facility B case 3.
Figure 7. NPV simulation box chart results: (A case 1) Facility A case 1, (A case 2) Facility A case 2, (A case 3) Facility A case 3, (B case 1) Facility B case 1, (B case 2) Facility B case 2, (B case 3) Facility B case 3.
Energies 16 02150 g007
Table 1. Design capacity and operating usage.
Table 1. Design capacity and operating usage.
CategoryDesign CapacityPractical UsageUnit
Facility ASL27585.0m3/day
Facility BSL311149.5m3/day
FW505.1m3/day
Table 2. Biogas thermal efficiency and hot water price.
Table 2. Biogas thermal efficiency and hot water price.
CategoryTitle 3
Low calorific power5100 kcal/Nm3
Hot water price89.96 KRW/1000 kcal
Boiler thermal efficiency23%
Table 3. Environmental improvement amount.
Table 3. Environmental improvement amount.
CategoryAmount
Facility A11,924,665 KRW/year
Facility B65,625,725 KRW/year
Table 4. Common fixed definition.
Table 4. Common fixed definition.
CategoryAmountUnit
Labor cost65Million KRW/year
SMP104.9KRW
Hydrogen production ratio0.160kg/Nm3
Hydrogen selling price6000KRW/kg
High concentration gas standard95%
Discount ratio5%
Table 5. Facility A fixed definition.
Table 5. Facility A fixed definition.
CategoryAmountUnit
Gas production281,505m3
Extra gas33,634m3
e-CHP initial cost1500Million KRW
Upgrading initial cost500Million KRW
Green hydrogen production initial cost800Million KRW
e-CHP maintenance cost100Million KRW/year
Upgrading maintenance cost30Million KRW/year
Green hydrogen production maintenance cost100Million KRW/year
Table 6. Facility B fixed definition.
Table 6. Facility B fixed definition.
CategoryAmountUnit
Gas production643,364m3
Extra gas192,085m3
e-CHP initial cost1800Million KRW
Upgrading initial cost1000Million KRW
Green hydrogen production initial cost1200Million KRW
e-CHP maintenance cost100Million KRW/year
Upgrading maintenance cost50Million KRW/year
Green hydrogen production maintenance cost200Million KRW/year
Table 7. Assumed definition.
Table 7. Assumed definition.
CategoryAmountUnit
Production gas concentration65Million KRW/year
Gas selling cost104.9KRW
REC costGenerated from Figure 6
Carbon credits
Table 8. NPV simulation median value results.
Table 8. NPV simulation median value results.
YearFacility A, NPV Median [Million KRW]Facility B, NPV Median [Million KRW]
Case 1Case 2Case 3Case 1Case 2Case 3
1−1166−464−1357−1280−733−2050
2−849−430−1214−784−479−1907
3−547−397−1078−313−238−1771
4−260−366−949135−7−1642
513−337−826563211−1519
6274−309−709971420−1401
7523−282−5971359618−1290
8760−257−4901728808−1183
9985−232−3892080988−1082
101200−209−29224151160−958
Disclaimer/Publisher’s Note: The statements, opinions and data contained in all publications are solely those of the individual author(s) and contributor(s) and not of MDPI and/or the editor(s). MDPI and/or the editor(s) disclaim responsibility for any injury to people or property resulting from any ideas, methods, instructions or products referred to in the content.

Share and Cite

MDPI and ACS Style

Jung, D.-K.; Park, S.-M. Economic Value Estimation of Biogas Utilization in Public Wastewater Treatment Plants of the Republic of Korea. Energies 2023, 16, 2150. https://doi.org/10.3390/en16052150

AMA Style

Jung D-K, Park S-M. Economic Value Estimation of Biogas Utilization in Public Wastewater Treatment Plants of the Republic of Korea. Energies. 2023; 16(5):2150. https://doi.org/10.3390/en16052150

Chicago/Turabian Style

Jung, Deok-Kyeom, and Sung-Min Park. 2023. "Economic Value Estimation of Biogas Utilization in Public Wastewater Treatment Plants of the Republic of Korea" Energies 16, no. 5: 2150. https://doi.org/10.3390/en16052150

APA Style

Jung, D.-K., & Park, S.-M. (2023). Economic Value Estimation of Biogas Utilization in Public Wastewater Treatment Plants of the Republic of Korea. Energies, 16(5), 2150. https://doi.org/10.3390/en16052150

Note that from the first issue of 2016, this journal uses article numbers instead of page numbers. See further details here.

Article Metrics

Back to TopTop