Application of Post-Flotation Dairy Sludge in the Production of Wood Pellets: Pelletization and Combustion Analysis
Abstract
1. Introduction
2. Materials and Methods
2.1. Materials
2.2. Methods
2.2.1. Moisture Content
2.2.2. Ultimate Analysis
2.2.3. Particle Size Distribution
2.2.4. Bulk Density
2.2.5. Pelletization Process
2.2.6. Kinetic Durability of Pellets
2.2.7. Pellet Particle Density
2.2.8. Calorific Values of Feedstocks and Pellets
2.2.9. Combustion Tests
3. Results and Discussion
3.1. Feedstock Characteristics
3.2. Pelletization Process and Pellets’ Properties
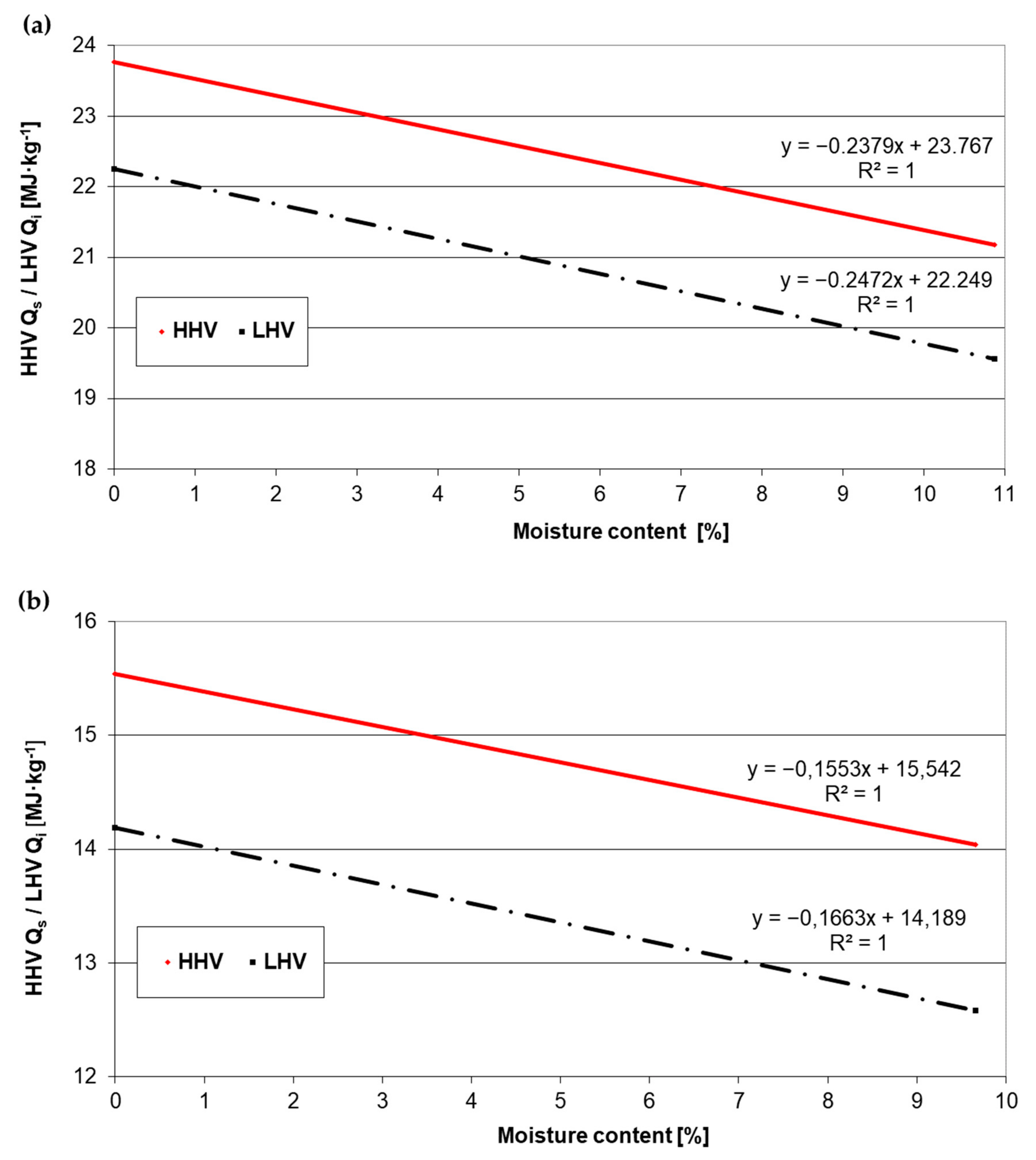
3.3. Calorific Values of Feedstocks and Pellets
3.4. Exhaust Composition during Combustion
4. Conclusions
Author Contributions
Funding
Data Availability Statement
Acknowledgments
Conflicts of Interest
References
- Daniel, Z.; Juliszewski, T.; Kowalczyk, Z.; Malinowski, M.; Sobol, Z.; Wrona, P. Metoda szczegółowej klasyfikacji odpadów z sektora rolniczego i rolno-spożywczego. Infrastrukt. I Ekol. Teren. Wiej. 2012, 2/IV/2012, 141–152. [Google Scholar]
- Czekała, W. Agricultural Biogas Plants as a Chance for the Development of the Agri-Food Sector. J. Ecol. Eng. 2018, 19, 179–183. [Google Scholar] [CrossRef]
- Jewiarz, M.; Wróbel, M.; Mudryk, K.; Szufa, S. Impact of the Drying Temperature and Grinding Technique on Biomass Grindability. Energies 2020, 13, 3392. [Google Scholar] [CrossRef]
- Czekała, W.; Janczak, D.; Pochwatka, P.; Nowak, M.; Dach, J. Gases Emissions during Composting Process of Agri-Food Industry Waste. Appl. Sci. 2022, 12, 9245. [Google Scholar] [CrossRef]
- Soleymani Angili, T.; Grzesik, K.; Salimi, E.; Loizidou, M. Life Cycle Analysis of Food Waste Valorization in Laboratory-Scale. Energies 2022, 15, 7000. [Google Scholar] [CrossRef]
- Czekała, W.; Jasiński, T.; Grzelak, M.; Witaszek, K.; Dach, J. Biogas Plant Operation: Digestate as the Valuable Product. Energies 2022, 15, 8275. [Google Scholar] [CrossRef]
- Czekała, W.; Jeżowska, A.; Chełkowski, D. The Use of Biochar for the Production of Organic Fertilizers. J. Ecol. Eng. 2019, 20, 1–8. [Google Scholar] [CrossRef]
- Joka Yildiz, M.; Cwalina, P.; Obidziński, S. A comprehensive study of buckwheat husk co-pelletization for utilization via combustion. Biomass Convers. Biorefinery 2022. [Google Scholar] [CrossRef]
- Czekała, W. Solid Fraction of Digestate from Biogas Plant as a Material for Pellets Production. Energies 2021, 14, 5034. [Google Scholar] [CrossRef]
- Czekała, W.; Bartnikowska, S.; Dach, J.; Janczak, D.; Smurzyńska, A.; Kozłowski, K.; Bugała, A.; Lewicki, A.; Cieślik, M.; Typańska, D.; et al. The energy value and economic efficiency of solid biofuels produced from digestate and sawdust. Energy 2018, 159, 1118–1122. [Google Scholar] [CrossRef]
- Obidziński, S.; Puchlik, M.; Dołżyńska, M. Pelletization of Post-Harvest Tobacco Waste and Investigation of Flue Gas Emissions from Pellet Combustion. Energies 2020, 13, 6002. [Google Scholar] [CrossRef]
- Križan, P.; Matú, M.; Šooš, Ľ.; Beniak, J. Behavior of Beech Sawdust during Densification into a Solid Biofuel. Energies 2015, 8, 6382–6398. [Google Scholar] [CrossRef]
- Gilbert, P.; Ryu, C.; Sharifi, V.; Swithenbank, J. Effect of process parameters on pelletisation of herbaceous crops. Fuel 2009, 88, 1491–1497. [Google Scholar] [CrossRef]
- Stelte, W.; Sanadi, A.R.; Shang, L.; Holm, J.K.; Ahrenfeldt, J.; Henriksen, U.B. Recent developments in biomass pelletization–A review. BioResources 2012, 7, 4451–4490. [Google Scholar] [CrossRef]
- Szymajda, A.; Łaska, G.; Joka, M. Assessment of Cow Dung Pellets as a Renewable Solid Fuel in Direct Combustion Technologies. Energies 2021, 14, 1192. [Google Scholar] [CrossRef]
- Waliszewska, B.; Grzelak, M.; Gaweł, E.; Spek-Dźwigała, A.; Sieradzka, A.; Czekała, W. Chemical Characteristics of Selected Grass Species from Polish Meadows and Their Potential Utilization for Energy Generation Purposes. Energies 2021, 14, 1669. [Google Scholar] [CrossRef]
- Azargohar, R.; Nanda, S.; Dalai, A.K. Densification of Agricultural Wastes and Forest Residues: A Review on Influential Parameters and Treatments. In Recent Advancements in Biofuels and Bioenergy Utilization; Sarangi, P., Nanda, S., Mohanty, P., Eds.; Springer: Singapore, 2018; pp. 27–51. [Google Scholar] [CrossRef]
- Peng, J.; Bi, X.T.; Lim, C.J.; Peng, H.; Kim, C.S.; Jia, D.; Zuo, H. Sawdust as an effective binder for making torrefied pellets. Appl. Energy 2015, 157, 491–498. [Google Scholar] [CrossRef]
- García, R.; Gil, M.V.; Rubiera, F.; Pevida, C. Pelletization of wood and alternative residual biomass blends for producing industrial quality pellets. Fuel 2019, 251, 739–753. [Google Scholar] [CrossRef]
- Yub Harun, N.; Parvez, A.M.; Afzal, M.T. Process and Energy Analysis of Pelleting Agricultural and Woody Biomass Blends. Sustainability 2018, 10, 1770. [Google Scholar] [CrossRef]
- Liu, Z.; Mi, B.; Jiang, Z.; Fei, B.; Cai, Z.; Liu, X. Improved bulk density of bamboo pellets as biomass for energy production. Renew. Energy 2016, 86, 1–7. [Google Scholar] [CrossRef]
- German National Standard DIN 51731; Testing of Solid Fuels—Compressed Untreated Wood, Requirements and Testing. Institut für Normung: Berlin, Germany, 1996.
- Barbanera, M.; Lascaro, E.; Stanzione, V.; Esposito, A.; Altieri, R.; Bufacchi, M. Characterization of pellets from mixing olive pomace and olive tree pruning. Renew. Energy 2016, 88, 185–191. [Google Scholar] [CrossRef]
- ISO 17225-6:2021; Solid Biofuels—Fuel Specifications and Classes—Part 6: Graded Non-Woody Pellets. ISO: Geneva, Switzerland, 2021.
- Obidziński, S.; Dołżyńska, M.; Stasiełuk, W. Production of fuel pellets from a mixture of sawdust and rye bran. In IOP Conference Series: Earth and Environmental Science, Proceedings of the 2nd International Conference on the Sustainable Energy and Environmental Development, Cracow, Poland, 14–17 November 2017; IOP Publishing: Bristol, UK, 2019; Volume 214, p. 012073. [Google Scholar] [CrossRef]
- Jiang, L.; Yuan, X.; Xiao, Z.; Liang, J.; Li, H.; Cao, L.; Wang, H.; Chen, X.; Zeng, G. A comparative study of biomass pellet and biomass-sludge mixed pellet: Energy input and pellet properties. Energy Convers. Manag. 2016, 126, 509–515. [Google Scholar] [CrossRef]
- PN-76/R-64752; Feed—Moisture Content Determination. Standardization Publishing House of the Polish Committee for Standardization and Measures: Warsaw, Poland, 1976.
- PN-EN 15104; Solid Biofuels—Determination of Total Content of Carbon, Hydrogen and Nitrogen—Instrumental Methods. ISO: Geneva, Switzerland, 2011.
- PN-EN ISO 16948:2015-07; Solid Biofuels—Determination of Total Content of Carbon, Hydrogen and Nitrogen. ISO: Geneva, Switzerland, 2015.
- PN-EN ISO 16994:2016-10; Solid Biofuels—Determination of Total Content of Sulfur and Chlorine. ISO: Geneva, Switzerland, 2016.
- PN-R-64798:2009; Feed—Determination of Fragmentation. Polish Committee for Standardization: Warsaw, Poland, 2009.
- PN-EN ISO 17828:2016-02; Solid Biofuels—Determination of Bulk Density. ISO: Geneva, Switzerland, 2016.
- Dołżyńska, M.; Obidziński, S.; Simiński, P. Ocena granulatów z odpadów konopi siewnej jako biopaliwa/Evaluation of granulates from hemp waste as a biofuel. Przemysł Chem. 2018, 97, 686–688. [Google Scholar] [CrossRef]
- PN-R-64834:1998; Kinetic Durability of Granules. Polish Committee for Standardization: Warsaw, Poland, 1998.
- PN-EN 15210-1:2010; Solid Biofuels—Determination of Mechanical Durability of Pellets and Briquettes Part 1: Pellets. ISO: Geneva, Switzerland, 2010.
- PN-EN ISO 1928:2002; Solid Mineral Fuels—Determination of Gross Calorific Value by the Bomb Calorimetric Method, and Calculation of Net Calorific Value. ISO: Geneva, Switzerland, 2002.
- PN-EN 14961-2:2011; Solid Biofuels—Fuel Specifications and Classes—Part 2: Wood Pellets for Non-Industrial Use. ISO: Geneva, Switzerland, 2011.
- ÖNORM M7135; Austrian Quality Standard for Wood Pellets. Austria Standards Institute: Vienna, Austria, 2000.
- Ren, X.; Sun, R.; Meng, X.; Vorobiev, N.; Schiemann, M.; Levendis, Y.A. Carbon, sulfur and nitrogen oxide emissions from combustion of pulverized raw and torrefied biomass. Fuel 2016, 188, 310–323. [Google Scholar] [CrossRef]
- Frodeson, S.; Henriksson, G.; Berghel, J. Effects of moisture content during densification of biomass pellets, focusing on polysaccharide substances. Biomass Bioenergy 2019, 122, 322–330. [Google Scholar] [CrossRef]
- Siyal, A.A.; Liu, Y.; Mao, X.; Ali, B.; Husaain, S.; Dai, J.; Zhang, T.; Fu, J.; Liu, G. Characterization and quality analysis of wood pellets: Effect of pelletization and torrefaction process variables on quality of pellets. Biomass Convers. Biorefinery 2021, 11, 2201–2217. [Google Scholar] [CrossRef]
- PN-EN ISO 17225-2:2014-07; Biopaliwa Stałe—Specyfikacje Paliw i Klasy—Część 2: Klasy Pelletów Drzewnych. Solid Biofuels—Fuel Specifications and Classes—Part 2: Graded Wood Pellets. ISO: Geneva, Switzerland, 2014.
- Gilvari, H.; De Jong, W.; Schott, D.L. The Effect of Biomass Pellet Length, Test Conditions and Torrefaction on Mechanical Durability Characteristics According to ISO Standard 17831-1. Energies 2020, 13, 3000. [Google Scholar] [CrossRef]
- Stasiak, M.; Molenda, M.; Bańda, M.; Wiącek, J.; Parafiniuk, P.; Gondek, E. Mechanical and combustion properties of sawdust—Straw pellets blended in different proportions. Fuel Process. Technol. 2017, 156, 366–375. [Google Scholar] [CrossRef]
- Jezerska, L.; Zajonc, O.; Rozbroj, J.; Vyletělek, J.; Zegzulka, J. Research on effect of spruce sawdust with added starch on flowability and pelletization of the material. IERI Procedia 2014, 8, 154–163. [Google Scholar] [CrossRef]
- SS 18 71 20; Biobränslen och Torv—Bränslepellets—Klassificering. (Biofuels and Peat—Fuel Pellets—Classification). Swedish Standards Institution: Stockholm, Sweden, 1998; p. 3. (In Swedish)
- ISO 17225; Solid Biofuels. Fuel Specifications and Classes Graded Wood Chips. ISO: Geneva, Switzerland, 2021.
- Labbé, R.; Paczkowski, S.; Knappe, V.; Russ, M.; Wöhler, M.; Pelz, S. Effect of feedstock particle size distribution and feedstock moiture content on pellet production efficiency, pellet quality, transport and combustion emissions. Fuel 2020, 263, 116662. [Google Scholar] [CrossRef]
- Shojaeiarani, J.; Bajwa, D.S.; Bajwa, S.G. Properties of densified solid biofuels in relation to chemical composition, moisture. content, and bulk density of the biomass. BioResources 2019, 14, 4996–5015. [Google Scholar]
- Mostafa, M.E.; Hu, S.; Wang, Y.; Su, S.; Hu, X.; Elsayed, S.A.; Xiang, J. The significance of pelletization operating conditions: An analysis of physical and mechanical characteristics as well as energy consumption of biomass pellets. Renew. Sustain. Energ. Rev. 2019, 105, 332–348. [Google Scholar] [CrossRef]
- Woo, D.-G.; Kim, S.H.; Kim, T.H. Solid Fuel Characteristics of Pellets Comprising Spent Coffee Grounds and Wood Powder. Energies 2021, 14, 371. [Google Scholar] [CrossRef]
- Dołżyńska, M.; Obidziński, S.; Piekut, J.; Yildiz, G. The Utilization of Plum Stones for Pellet Production and Investigation of Post-Combustion Flue Gas Emissions. Energies 2020, 13, 5107. [Google Scholar] [CrossRef]
- Directive 2010/30/EU of the European Parliament and of the Council of 19 May 2010 on the indication by labelling and standard product information of the consumption of energy and other resources by energy-related products. J. Eur. Union 2010, 153, 1–12.
- Mladenović, M.; Paprika, M.; Marinković, A. Denitrification techniques for biomass combustion. Renew. Sust. Energ. Rev. 2018, 82, 3350–3364. [Google Scholar] [CrossRef]
- Jensen, P.A.; Frandsen, F.J.; Dam-Johansen, K.; Sander, B. Experimental investigation of the transformation and release to gas phase of potassium and chlorine during straw pyrolysis. Energy Fuels 2000, 14, 1280–1285. [Google Scholar] [CrossRef]
- Míguez, J.L.; Porteiro, J.; Behrendt, F.; Blanco, D.; Patiño, D.; Dieguez-Alonso, A. Review of the use of additives to mitigate operational problems associated with the combustion of biomass with high content in ash-forming species. Renew. Sustain. Energ. Rev. 2021, 141, 110502. [Google Scholar] [CrossRef]
- Pollex, A.; Zeng, T.; Khalsa, J.; Erler, U.; Schmersahl, R.; Schön, C.; Kuptz, D.; Lenz, V.; Nelles, M. Content of potassium and other aerosol forming elements in commercially available wood pellet batches. Fuel 2018, 232, 384–394. [Google Scholar] [CrossRef]
- Knudsen, J.N.; Jensen, P.A.; Dam-Johansen, K. Transformation and release to the gas phase of Cl, K, and S during combustion of annual biomass. Energy Fuels 2004, 18, 1385–1399. [Google Scholar] [CrossRef]
- Obernberger, I.; Brunner, T.; Barnthaler, G. Chemical properties of solid biofuels—Significance and impact. Biomass Bioenergy 2006, 30, 973–982. [Google Scholar] [CrossRef]









| xi | x1 = zo (%) | x2 = Qm (kg·h−1) |
|---|---|---|
| 1 | 10 | 50 |
| 2 | 15 | 50 |
| 3 | 20 | 50 |
| Feedstock Property | Sawdust | Dairy Sludge |
|---|---|---|
| Bulk density (a.r.) (kg · m−3) | 100.02 | n.d. |
| Moisture content (a.r.) (%wt.) | 10.87 | 83.58 |
| C (d.b.) (%wt.) | 47.96 | 29.20 |
| H (d.b.) (%wt.) | 6.73 | 5.70 |
| N (d.b.) (%wt.) | 0.14 | 5.73 |
| S (d.b.) (%wt.) | 0.0007 | 0.59 |
| Cl (d.b.) (%wt.) | 0.004 | 0.1 |
| No. | Analytical Moisture (%) | Higher Heating Value (MJ · kg−1) | Lower Heating Value (MJ·kg−1) | ||
|---|---|---|---|---|---|
| For Dry Basis | For Analytical Moisture | For Dry Basis | For Analytical Moisture | ||
| 1 | 10.65 | 23.823 | 21.234 | 22.305 | 19.615 |
| 2 | 10.95 | 23.786 | 21.197 | 22.268 | 19.578 |
| 3 | 11.02 | 23.742 | 21.153 | 22.224 | 19.534 |
| 4 | 10.85 | 23.828 | 21.238 | 22.310 | 19.619 |
| 5 | 10.90 | 23.656 | 21.085 | 22.138 | 19.466 |
| Average | 10.87 | 23.767 | 21.181 | 22.249 | 19.562 |
| No. | Analytical Moisture (%) | Higher Heating Value (MJ · kg−1) | Lower Heating Value (MJ · kg−1) | ||
|---|---|---|---|---|---|
| For Dry Basis | For Analytical Moisture | For Dry Basis | For Analytical Moisture | ||
| 1 | 9.65 | 15.551 | 14.049 | 14.198 | 12.590 |
| 2 | 9.71 | 15.456 | 13.963 | 14.102 | 12.504 |
| 3 | 9.62 | 15.552 | 14.050 | 14.198 | 12.591 |
| 4 | 9.69 | 15.571 | 14.069 | 14.218 | 12.610 |
| 5 | 9.61 | 15.580 | 14.078 | 14.227 | 12.619 |
| Average | 9.66 | 15.542 | 14.042 | 14.189 | 12.583 |
| Post-Flotation Dairy Sludge Content (%) | Higher Heating Value (MJ · kg−1) | Lower Heating Value (MJ · kg−1) |
|---|---|---|
| 15% Moisture Content | 15% Moisture Content | |
| 0 | 20.199 | 18.541 |
| 5 | 19.850 | 18.199 |
| 10 | 19.500 | 17.856 |
| 15 | 19.151 | 17.514 |
| 20 | 18.802 | 17.172 |
| 25 | 18.453 | 16.830 |
| Parameter | Wood Pellets | Wood Pellets +10% Post-Flotation Dairy Sludge | Wood Pellets +15% Post-Flotation Dairy Sludge | Wood Pellets +20% Post-Flotation Dairy Sludge | Ecodesign |
|---|---|---|---|---|---|
| 10% O2 in the Exhaust | |||||
| CO2 (%) | 8.68 | 7.99 | 7.95 | 8.05 | |
| CO (mg · Nm−3) | 337.21 | 403.92 | 407.25 | 420.36 | 500 |
| NO (mg · Nm−3) | 172.80 | 198.83 | 191.13 | 196.29 | 200 |
| SO2 (mg · Nm−3) | 14.76 | 16.46 | 21.52 | 23.91 | |
| HCl (mg · Nm−3) | 3.03 | 16.04 | 15.87 | 16.65 | |
| λ (-) | 2.43 | 2.60 | 2.62 | 2.58 | |
| Temperature in boiler outlet (°C) | 170 | 200 | 200 | 200 | |
Publisher’s Note: MDPI stays neutral with regard to jurisdictional claims in published maps and institutional affiliations. |
© 2022 by the authors. Licensee MDPI, Basel, Switzerland. This article is an open access article distributed under the terms and conditions of the Creative Commons Attribution (CC BY) license (https://creativecommons.org/licenses/by/4.0/).
Share and Cite
Obidziński, S.; Joka Yildiz, M.; Dąbrowski, S.; Jasiński, J.; Czekała, W. Application of Post-Flotation Dairy Sludge in the Production of Wood Pellets: Pelletization and Combustion Analysis. Energies 2022, 15, 9427. https://doi.org/10.3390/en15249427
Obidziński S, Joka Yildiz M, Dąbrowski S, Jasiński J, Czekała W. Application of Post-Flotation Dairy Sludge in the Production of Wood Pellets: Pelletization and Combustion Analysis. Energies. 2022; 15(24):9427. https://doi.org/10.3390/en15249427
Chicago/Turabian StyleObidziński, Sławomir, Magdalena Joka Yildiz, Sebastian Dąbrowski, Jan Jasiński, and Wojciech Czekała. 2022. "Application of Post-Flotation Dairy Sludge in the Production of Wood Pellets: Pelletization and Combustion Analysis" Energies 15, no. 24: 9427. https://doi.org/10.3390/en15249427
APA StyleObidziński, S., Joka Yildiz, M., Dąbrowski, S., Jasiński, J., & Czekała, W. (2022). Application of Post-Flotation Dairy Sludge in the Production of Wood Pellets: Pelletization and Combustion Analysis. Energies, 15(24), 9427. https://doi.org/10.3390/en15249427

