Empirical Study of Stability and Fairness of Schemes for Benefit Distribution in Local Energy Communities
Abstract
:1. Introduction
2. Local Energy Communities
3. Game Theoretic Preliminaries
4. Benefit and Cost Distribution Schemes
- 1.
- How stable is the Shapley value distribution in practice? Does it typically or even always yield an unstable distribution or not?
- 2.
- If the Shapley value distribution is unstable, there is a sub-community that can gain a benefit from separating from the community. However, if this benefit is constant or even decreases over time, this might be not an issue in practice. How does the stability of the Shapley value progress over time?
- 3.
- How unfair is the nucleolus in practice and how does its unfairness progress over time?
- 4.
- Since the nucleolus is not additive, it does not guarantee maximum stability when applied over multiple billing periods. How does the nucleolus applied over multiple time periods perform in relation to the nucleolus applied to the full time frame?
- 5.
- Similar to the nucleolus, the Shapley–core is not additive and not fully fair. How unfair is it and how do its unfairness and stability progress over time?
5. Experiments
5.1. Use Case
5.2. Experimental Results
5.2.1. Shapley Value
5.2.2. Nucleolus
5.2.3. Shapley–Core
5.2.4. Comparison of Distributions
6. Conclusions
- 1.
- Q: How stable is the Shapley value distribution in practice? Does it typically or even always yield an unstable distribution or not?A: The Shapley value does not necessarily yield an unstable distribution. In the experiments, it yielded a stable distribution in about 60% of the cases. However, with increasing size of the community, the Shapley value tends to become more unstable.
- 2.
- Q: If the Shapley value distribution is unstable, there is a sub-community that can gain a benefit from separating from the community. However, if this benefit is constant or even decreases over time, this might be not an issue in practice. How does the stability of the Shapley value progress over time?A: In most of the cases where the Shapley value yielded an unstable distribution, the normalized maximum excess decreased in a statistically significantly way over time. In only about 8% of the considered cases, the Shapley value yielded an unstable distribution without a decreasing normalized maximum excess. Thus, in the remaining 92% of the cases, the Shapley value can be considered to be reasonably stable, at least from a practical point of view.
- 3.
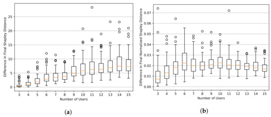
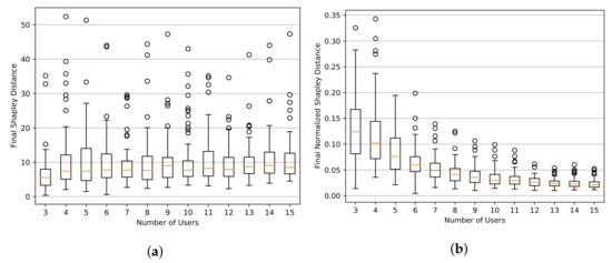
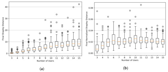
- Q: How unfair is the nucleolus in practice and how does its unfairness progress over time?A: The nucleolus tends to become more fair with increasing size of the community. While the maximum Shapley distance typically increases over time, the normalized Shapley distance decreased in a statistically significantly way in about 75% of the cases, meaning that in these cases, the nucleolus becomes more fair over time.
- 4.
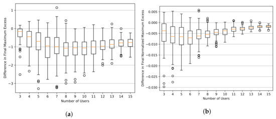
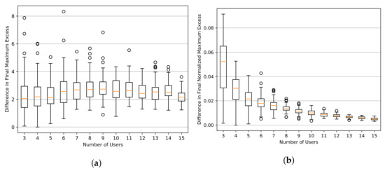
- Q: Since the nucleolus is not additive, it does not guarantee maximum stability when applied over multiple billing periods. How does the nucleolus applied over multiple time periods perform in relation to the nucleolus applied to the full time frame?A: In the experiments, the day-wise nucleolus yielded a higher maximum excess, i.e., a less stable distribution, than the full-period nucleolus in nearly all cases. For small communities, the day-wise nucleolus is typically also less fair. However, beginning with a certain community size, the day-wise nucleolus becomes more fair than the full-period nucleolus and the difference in stability in terms of normalized maximum excess decreases with increasing size of the community.
- 5.
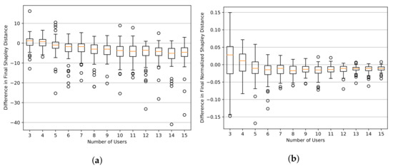
- Q: Similar to the nucleolus, the Shapley–core is not additive and not fully fair. How unfair is it and how do its unfairness and stability progress over time?A: The day-wise Shapley–core is typically more stable but less fair than the full-period Shapley–core. With an increasing number of users, it becomes more and more similar to the day-wise nucleolus.
Funding
Data Availability Statement
Conflicts of Interest
References
- Bauwens, T.; Schraven, D.; Drewing, E.; Radtke, J.; Holstenkamp, L.; Gotchev, B.; Yildiz, Ö. Conceptualizing community in energy systems: A systematic review of 183 definitions. Renew. Sustain. Energy Rev. 2022, 156, 111999. [Google Scholar] [CrossRef]
- Krug, M.; Di Nucci, M.R.; Caldera, M.; De Luca, E. Mainstreaming Community Energy: Is the Renewable Energy Directive a Driver for Renewable Energy Communities in Germany and Italy? Sustainability 2022, 14, 7181. [Google Scholar] [CrossRef]
- Energy Communities Repository. Available online: https://energy-communities-repository.ec.europa.eu/about_en (accessed on 23 January 2023).
- Zhang, C.; Wu, J.; Long, C.; Cheng, M. Review of Existing Peer-to-Peer Energy Trading Projects. Energy Procedia 2017, 105, 2563–2568. [Google Scholar] [CrossRef]
- Rahmani, S.; Murayama, T.; Nishikizawa, S. Review of community renewable energy projects: The driving factors and their continuation in the upscaling process. IOP Conf. Ser. Earth Environ. Sci. 2020, 592, 012033. [Google Scholar] [CrossRef]
- Mengelkamp, E.; Staudt, P.; Garttner, J.; Weinhardt, C. Trading on local energy markets: A comparison of market designs and bidding strategies. In Proceedings of the 2017 14th International Conference on the European Energy Market (EEM), Dresden, Germany, 6–9 June 2017; pp. 1–6. [Google Scholar] [CrossRef]
- Lezama, F.; Soares, J.; Faia, R.; Vale, Z.; Kilkki, O.; Repo, S.; Segerstam, J. Bidding in local electricity markets with cascading wholesale market integration. Int. J. Electr. Power Energy Syst. 2021, 131, 107045. [Google Scholar] [CrossRef]
- Garcìa-Muñoz, F.; Teng, F.; Junyent-Ferré, A.; Díaz-González, F.; Corchero, C. Stochastic energy community trading model for day-ahead and intraday coordination when offering DER’s reactive power as ancillary services. Sustain. Energy Grids Netw. 2022, 32, 100951. [Google Scholar] [CrossRef]
- Etukudor, C.; Couraud, B.; Robu, V.; Früh, W.G.; Flynn, D.; Okereke, C. Automated Negotiation for Peer-to-Peer Electricity Trading in Local Energy Markets. Energies 2020, 13, 920. [Google Scholar] [CrossRef]
- Capper, T.; Gorbatcheva, A.; Mustafa, M.A.; Bahloul, M.; Schwidtal, J.M.; Chitchyan, R.; Andoni, M.; Robu, V.; Montakhabi, M.; Scott, I.J.; et al. Peer-to-peer, community self-consumption, and transactive energy: A systematic literature review of local energy market models. Renew. Sustain. Energy Rev. 2022, 162, 112403. [Google Scholar] [CrossRef]
- Grzanić, M.; Morales, J.M.; Pineda, S.; Capuder, T. Electricity Cost-Sharing in Energy Communities Under Dynamic Pricing and Uncertainty. IEEE Access 2021, 9, 30225–30241. [Google Scholar] [CrossRef]
- Fioriti, D.; Frangioni, A.; Poli, D. Optimal sizing of energy communities with fair revenue sharing and exit clauses: Value, role and business model of aggregators and users. Appl. Energy 2021, 299, 117328. [Google Scholar] [CrossRef]
- Pires Klein, L.; Krivoglazova, A.; Matos, L.; Landeck, J.; de Azevedo, M. A Novel Peer-To-Peer Energy Sharing Business Model for the Portuguese Energy Market. Energies 2020, 13, 125. [Google Scholar] [CrossRef]
- Foroozandeh, Z.; Limmer, S.; Lezama, F.; Faia, R.; Ramos, S.; Soares, J. A MBNLP Method for Centralized Energy Pricing and Scheduling in Local Energy Community. In Proceedings of the IEEE PES Generation, Transmission and Distribution Conference & Exposition Latin America 2022, La Paz, Bolivia, 20–22 October 2022. [Google Scholar]
- Norbu, S.; Couraud, B.; Robu, V.; Andoni, M.; Flynn, D. Modelling the redistribution of benefits from joint investments in community energy projects. Appl. Energy 2021, 287, 116575. [Google Scholar] [CrossRef]
- Long, C.; Wu, J.; Zhang, C.; Thomas, L.; Cheng, M.; Jenkins, N. Peer-to-peer energy trading in a community microgrid. In Proceedings of the 2017 IEEE Power & Energy Society General Meeting, Chicago, IL, USA, 16–20 July 2017; pp. 1–5. [Google Scholar] [CrossRef]
- Chau, S.C.K.; Xu, J.; Bow, W.; Elbassioni, K. Peer-to-Peer Energy Sharing: Effective Cost-Sharing Mechanisms and Social Efficiency. In Proceedings of the Tenth ACM International Conference on Future Energy Systems. Association for Computing Machinery, Phoenix, AZ, USA, 25–28 June 2019; pp. 215–225. [Google Scholar] [CrossRef]
- Gjorgievski, V.Z.; Cundeva, S.; Markovska, N.; Georghiou, G.E. Virtual net-billing: A fair energy sharing method for collective self-consumption. Energy 2022, 254, 124246. [Google Scholar] [CrossRef]
- Shapley, L.S. A Value for n-Person Games. In Contributions to the Theory of Games (AM-28); Kuhn, H.W., Tucker, A.W., Eds.; Princeton University Press: Princeton, NJ, USA, 1953; Volume II, pp. 307–318. [Google Scholar] [CrossRef]
- Schmeidler, D. The Nucleolus of a Characteristic Function Game. SIAM J. Appl. Math. 1969, 17, 1163–1170. [Google Scholar] [CrossRef]
- Abada, I.; Ehrenmann, A.; Lambin, X. On the Viability of Energy Communities; Technical Report; Energy Policy Research Group, University of Cambridge: Cambridge, UK, 2017. [Google Scholar]
- Long, C.; Zhou, Y.; Wu, J. A game theoretic approach for peer to peer energy trading. Energy Procedia 2019, 159, 454–459. [Google Scholar] [CrossRef]
- Li, J.; Ye, Y.; Papadaskalopoulos, D.; Strbac, G. Computationally Efficient Pricing and Benefit Distribution Mechanisms for Incentivizing Stable Peer-to-Peer Energy Trading. IEEE Internet Things J. 2021, 8, 734–749. [Google Scholar] [CrossRef]
- Aguiar, V.H.; Pongou, R.; Serrano, R.; Tondji, J.B. An index of unfairness. In Handbook of the Shapley Value; Chapman and Hall/CRC: New York, NY, USA, 2019; pp. 31–48. [Google Scholar]
- Van den Brink, R. An axiomatization of the Shapley value using a fairness property. Int. J. Game Theory 2002, 30, 309–319. [Google Scholar] [CrossRef]
- Ratnam, E.L.; Weller, S.R.; Kellett, C.M.; Murray, A.T. Residential load and rooftop PV generation: An Australian distribution network dataset. Int. J. Sustain. Energy 2017, 36, 787–806. [Google Scholar] [CrossRef]
- Cost of Electricity in Australia—How Are We Doing in 2020? Available online: https://www.leadingedgeenergy.com.au/news/cost-of-electricity-in-australia-in-2020/ (accessed on 23 January 2023).
- EnergyAustralia Feed-in Tariff NSW. Available online: https://www.energyaustralia.com.au/home/solar/feed-in-tariffs (accessed on 23 January 2023).
- Mann, H.B. Nonparametric Tests Against Trend. Econometrica 1945, 13, 245–259. [Google Scholar] [CrossRef]
- Kendall, M.G. Rank Correlation Methods; Griffin: London, UK, 1975. [Google Scholar]
- Aguiar, V.H.; Pongou, R.; Tondji, J.B. A non-parametric approach to testing the axioms of the Shapley value with limited data. Games Econ. Behav. 2018, 111, 41–63. [Google Scholar] [CrossRef]















| Work | Considered Horizon | Considered Distribution Schemes |
|---|---|---|
| [21] (2017) | 1 day | Shapley value, MinVar, per capita allocation, per volume allocation, per capacity allocation |
| [22] (2019) | 1 year | Shapley value, mid-market rate, bill sharing, supply demand ratio |
| [23] (2020) | 1 day | Shapley value, nucleolus, mid-market rate, equal split benefit, bill sharing, and three other schemes |
| [12] (2021) | 1 year (?) | Shapley value, nucleolus, Shapley–core, Shapley–nucleolus, MinVar, MinVar/nucleolus |
| [11] (2021) | 1 day | Mid-market rate, bill sharing, supply demand ratio |
| [18] (2022) | 1 month | Shapley value, mid-market rate, bill sharing, MinVar, virtual net billing, supply demand ratio |
| Trend | Maximum Excess | Normalized Maximum Excess |
|---|---|---|
| Increasing | 210 | 46 |
| Decreasing | 132 | 322 |
| None | 62 | 36 |
| Trend | Shapley Distance | Normalized Shapley Distance |
|---|---|---|
| Increasing | 967 | 178 |
| Decreasing | 12 | 746 |
| None | 21 | 76 |
| Trend | Maximum Excess | Normalized Maximum Excess |
|---|---|---|
| Increasing | 0 | 226 |
| Decreasing | 1000 | 641 |
| None | 0 | 133 |
| Trend | Shapley Distance | Normalized Shapley Distance |
|---|---|---|
| Increasing | 935 | 128 |
| Decreasing | 36 | 816 |
| None | 29 | 56 |
Disclaimer/Publisher’s Note: The statements, opinions and data contained in all publications are solely those of the individual author(s) and contributor(s) and not of MDPI and/or the editor(s). MDPI and/or the editor(s) disclaim responsibility for any injury to people or property resulting from any ideas, methods, instructions or products referred to in the content. |
© 2023 by the author. Licensee MDPI, Basel, Switzerland. This article is an open access article distributed under the terms and conditions of the Creative Commons Attribution (CC BY) license (https://creativecommons.org/licenses/by/4.0/).
Share and Cite
Limmer, S. Empirical Study of Stability and Fairness of Schemes for Benefit Distribution in Local Energy Communities. Energies 2023, 16, 1756. https://doi.org/10.3390/en16041756
Limmer S. Empirical Study of Stability and Fairness of Schemes for Benefit Distribution in Local Energy Communities. Energies. 2023; 16(4):1756. https://doi.org/10.3390/en16041756
Chicago/Turabian StyleLimmer, Steffen. 2023. "Empirical Study of Stability and Fairness of Schemes for Benefit Distribution in Local Energy Communities" Energies 16, no. 4: 1756. https://doi.org/10.3390/en16041756
APA StyleLimmer, S. (2023). Empirical Study of Stability and Fairness of Schemes for Benefit Distribution in Local Energy Communities. Energies, 16(4), 1756. https://doi.org/10.3390/en16041756

