Model-Based Calibration and Control of Tailpipe Nitrogen Oxide Emissions in a Light-Duty Diesel Engine and Its Assessment through Model-In-The-Loop
Abstract
1. Introduction
2. Experimental Setup and Engine Conditions
Experimental Activity
- A complete engine steady-state map including 123 points.
- EGR-sweep tests at fixed key points, in which the EGR rate was varied in the 0–50% range. A total of 162 tests was acquired.
- sweep tests of main injection timing (SOImain) and injection pressure (pf) at fixed key-points, in which the SOImain and pf were varied of ±6 deg and ±20% around the baseline values, respectively. A total number of 125 points was acquired.
3. Model Description
3.1. Engine Model
3.2. Model-Based Combustion Controller
3.3. Developed Strategies for Tailpipe NOx Control
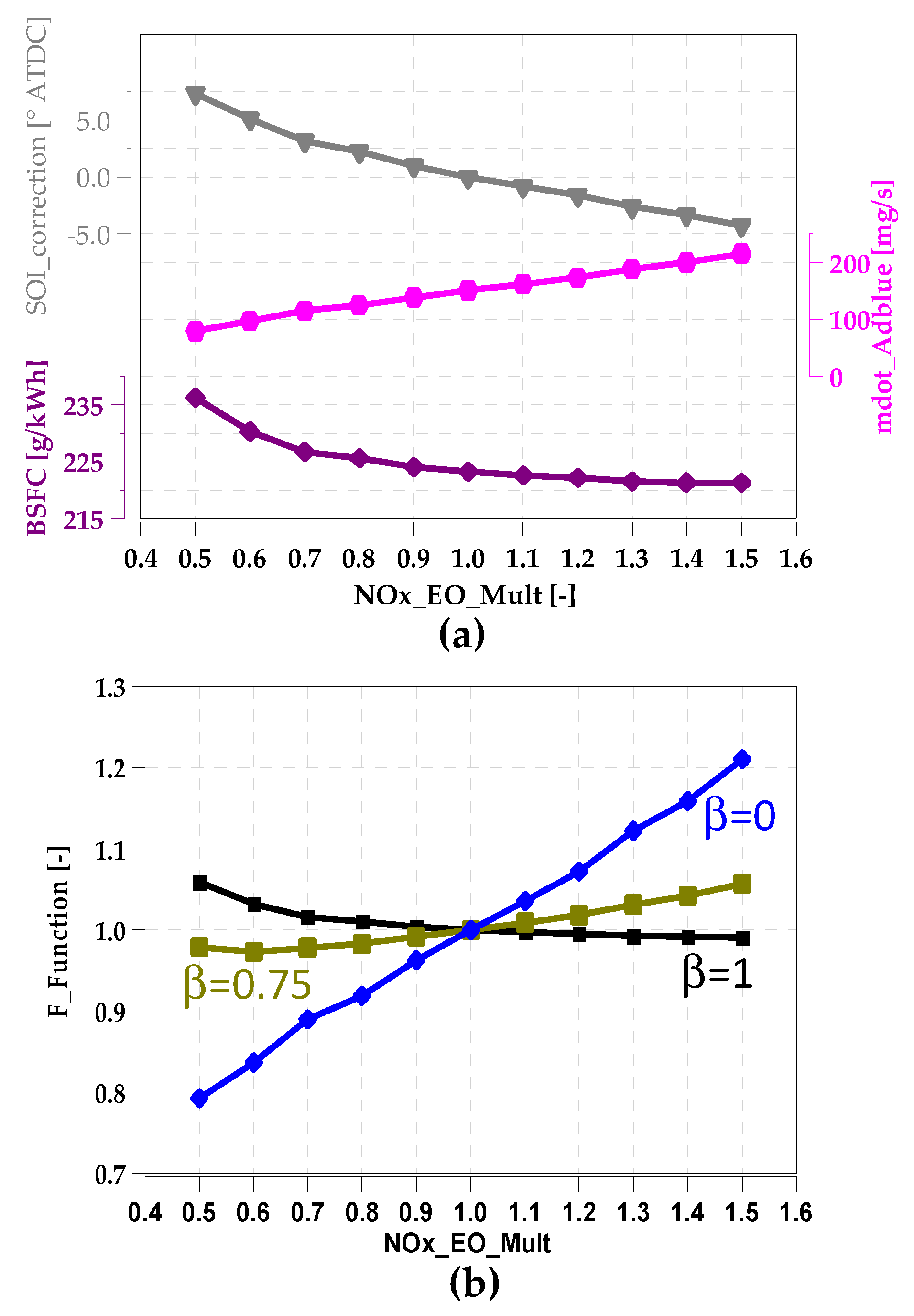
3.3.1. Offline Calibration Strategy
3.3.2. Online Calibration Strategy
4. Results and Discussion
4.1. Simulation of a WHTC
4.2. Example of Application of the Offline Stategy
- Scenario A: the target is to achieve a cumulative tailpipe NOx emission equal to 0.4 g/kWh over the WHTC.
- Scenario B: the target is to achieve the lowest possible BSFC over the WHTC.
4.3. Performance of the Online Strategy over a Mild Load Ramp
- (a)
- tailpipe NOx target from map;
- (b)
- tailpipe NOx target from map, increase of 50%;
- (c)
- tailpipe NOx target from map, decrease of 50%.
4.4. Final Considerations and Future Steps
5. Conclusions
- The offline strategy can achieve the best trade-off in terms of BSFC-tailpipe NOx emissions, leading to a BSFC reduction of about 2 g/kWh with respect to the baseline case over the WHTC at constant tailpipe NOx emissions.
- The online strategy, although showing a slight deterioration in terms of BSFC-tailpipe bsNOx trade-off over the WHTC simulation, has the potential to dynamically set the injection timing and injected fuel quantity depending on the actual efficiency of the SCR device. Therefore, in case that the efficiency of the SCR device deteriorates significantly (e.g., in cold conditions), the tailpipe NOx controller would set a very low level of the engine-out NOx target for the combustion controller, and this could be effective in reducing tailpipe NOx emissions as much as possible until the SCR light-off is reached. Moreover, this method requires less effort than the offline strategy since it does not need any offline calibration to be applied.
- The online strategy was also tested over a mild load ramp, in which BMEP was varied from 5 bar to 18 bar at N = 2000 rpm, and the tailpipe NOx target was varied of ±50% with respect to the baseline one. Over the ramp, it demonstrated to be effective in following the instantaneous tailpipe NOx target requests, by dynamically setting different engine-out NOx targets for the combustion controller, on the basis of the actual SCR efficiency.
- Both strategies can potentially be implemented at the same time in the ECU, since they are computationally faster than alternative methods reported in the literature.
Author Contributions
Funding
Data Availability Statement
Acknowledgments
Conflicts of Interest
Abbreviations
| AFM | accumulated fuel mass |
| ATS | after-treatment system |
| BMEP | Brake Mean Effective Pressure (bar) |
| BSFC | Brake Specific Fuel Consumption |
| CA | crank angle (deg) |
| DEF | Diesel Exhaust Fluid |
| DOC | Diesel Oxidation Catalyst |
| DP | Dynamic Programming |
| DPF | Diesel Particulate Filter |
| ECMS | Equivalent Consumption Minimization Strategy |
| ECU | Engine Control Unit |
| EGR | Exhaust Gas Recirculation |
| EU | European Union |
| EV | Electric Vehicle |
| EVO | Exhaust Valve Opening |
| FMEP | Friction Mean Effective Pressure (bar) |
| Habs | Absolute air humidity |
| HEV | Hybrid Electric Vehicle |
| ICE | Internal Combustion Engine |
| IMEP | Indicated Mean Effective Pressure (bar) |
| IMEP360 | net Indicated Mean Effective Pressure (bar) |
| IMEP720 | gross Indicated Mean Effective Pressure (bar) |
| IMPERIUM | IMplementation of Powertrain Control for Economic and Clean Real driving emIssion and fuel ConsUMption |
| IVC | Intake Valve Closing |
| m | mass |
| mass flow rate of fresh air | |
| mass flow rate of EGR | |
| MFB50 | crank angle at which 50% of the fuel mass fraction has burned (deg) |
| MiL | Model-in-the-Loop |
| MPC | model predictive control |
| N | engine rotational speed (1/min) |
| NFC | next firing cylinder |
| O2 | intake charge oxygen concentration (%) |
| p | pressure (bar) |
| pcabin | test cell pressure (bar abs) |
| pexh | exhaust manifold pressure (bar abs) |
| pf | injection pressure (bar) |
| PFP | peak firing pressure |
| pint | intake manifold pressure (bar abs) |
| PID | Proportional Integral Derivative |
| PMEP | Pumping Mean Effective Pressure (bar) |
| PMP | Pontryagin’s minimum principle |
| q | injected fuel volume quantity (mm3) |
| Qch | chemical heat release |
| qf,inj | total injected fuel volume quantity per cycle/cylinder |
| Qnet | net heat release |
| RMSE | root mean square error |
| SCR | selective catalytic reduction |
| SOI | electric start of injection |
| SOImain | electric start of injection of the main pulse |
| t | time (s) |
| T | temperature (K) |
| Tenv | ambient temperature |
| Tint | intake manifold temperature |
| THC | total unburned hydrocarbons |
| V | volume |
| VGT | Variable Geometry Turbine |
| VPM | Virtual pressure model |
| WHTC | World Harmonized Transient Cycle |
Appendix A


References
- Fit for 55: Zero CO2 Emissions for New Cars and Vans in 2035. Available online: https://www.europarl.europa.eu/news/en/press-room/20230210IPR74715/fit-for-55-zero-co2-emissions-for-new-cars-and-vans-in-2035 (accessed on 10 July 2023).
- Opening Remarks by Executive Vice-President Timmermans at the Press Conference on the Revision of CO2 Emission Standards for Heavy-Duty Vehicles. Available online: https://ec.europa.eu/commission/presscorner/detail/en/speech_23_864 (accessed on 10 July 2023).
- In Win for Germany, EU Agrees to Exempt e-Fuels from 2035 Ban on New Sales of Combustion-Engine Cars. Available online: https://www.euronews.com/my-europe/2023/03/28/in-win-for-germany-eu-agrees-to-exempt-e-fuels-from-2035-ban-on-new-sales-of-combustion-en (accessed on 10 July 2023).
- Range of Full Electric Vehicles. Available online: https://ev-database.org/cheatsheet/range-electric-car (accessed on 10 July 2023).
- Liu, B.; Pantelidis, T.P.; Tam, S.; Chow, J.Y.J. An electric vehicle charging station access equilibrium model with M/D/C queueing. Int. J. Sustain. Transp. 2023, 17, 228–244. [Google Scholar] [CrossRef]
- Ou, S. Estimate long-term impact on battery degradation by considering electric vehicle real-world end-use factors. J. Power Sources 2023, 573, 233133. [Google Scholar] [CrossRef]
- Liang, S.; Zhu, B.; He, J.; He, S.; Ma, M. A pricing strategy for electric vehicle charging in residential areas considering the uncertainty of charging time and demand. Comput. Commun. 2023, 199, 153–167. [Google Scholar] [CrossRef]
- Safarian, S. Environmental and energy impacts of battery electric and conventional vehicles: A study in Sweden under recycling scenarios. Fuel Commun. 2023, 14, 100083. [Google Scholar] [CrossRef]
- Zhang, W.; Fang, X.; Sun, C. The alternative path for fossil oil: Electric vehicles or hydrogen fuel cell vehicles? J. Environ. Manag. 2023, 341, 118019. [Google Scholar] [CrossRef] [PubMed]
- Xue, X.; Rutledge, J. Potentials of Electrical Assist and Variable Geometry Turbocharging System for Heavy-Duty Diesel Engine Downsizing. In SAE Technical Paper Series; SAE International: Warrendale, PN, USA, 2017. [Google Scholar] [CrossRef]
- Mancarella, A.; Marello, O. Effect of Coolant Temperature on Performance and Emissions of a Compression Ignition Engine Running on Conventional Diesel and Hydrotreated Vegetable Oil (HVO). Energies 2023, 16, 144. [Google Scholar] [CrossRef]
- D’Ambrosio, S.; Ferrari, A.; Mancarella, A.; Mancò, S.; Mittica, A. Comparison of the emissions, noise, and fuel consumption comparison of direct and indirect piezoelectric and solenoid injectors in a low-compression-ratio diesel engine. Energies 2019, 12, 4023. [Google Scholar] [CrossRef]
- Al-Maidi, A.A.H.; Rodionov, Y.V.; Shchegolkov, A.V.; Nikitin, D.V.; Chernetsov, D.A.; Mikheev, N.V. Mathematical modeling of thermo-regulation of fuel in diesel engines. Iraqi J. Agric. Sci. 2018, 49, 70. [Google Scholar] [CrossRef]
- Finesso, R.; Marello, O.; Spessa, E. Development of a pressure-based technique to control IMEP and MFB50 in a 3.0 L diesel engine. Energy Procedia 2018, 148, 424–430. [Google Scholar] [CrossRef]
- Cococcetta, F.; Finesso, R.; Hardy, G.; Marello, O.; Spessa, E. Implementation and Assessment of a Model-Based Controller of Torque and Nitrogen Oxide Emissions in an 11 L Heavy-Duty Diesel Engine. Energies 2019, 12, 4704. [Google Scholar] [CrossRef]
- Finesso, R.; Hardy, G.; Marello, O.; Spessa, E.; Yang, Y. Model-Based Control of BMEP and NOx Emissions in a Euro VI 3.0 L Diesel Engine. SAE Int. J. Engines 2017, 10, 2288–2304. [Google Scholar] [CrossRef]
- Nuss, E.; Wick, M.; Andert, J.; De Schutter, J.; Diehl, M.; Abel, D.; Albin, T. Nonlinear model predictive control of a discrete-cycle gasoline-controlled auto ignition engine model: Simulative analysis. Int. J. Engine Res. 2019, 20, 1025–1036. [Google Scholar] [CrossRef]
- Van Dooren, S.; Amstutz, A.; Onder, C.H. A causal supervisory control strategy for optimal control of a heavy-duty Diesel engine with SCR aftertreatment. Control Eng. Pract. 2022, 119, 104982. [Google Scholar] [CrossRef]
- Velmurugan, D.; McKelvey, T.; Lundberg, D. Supervisory Controller for a Light Duty Diesel Engine with an LNT-SCR After-Treatment System. In SAE Technical Paper Series; SAE International: Warrendale, PN, USA, 2018. [Google Scholar] [CrossRef]
- Donkers, M.; Van Schijndel, J.; Heemels, W.; Willems, F. Optimal control for integrated emission management in diesel engines. Control Eng. Pract. 2017, 61, 206–216. [Google Scholar] [CrossRef][Green Version]
- Feru, E.; Murgovski, N.; Jager, B.; Willems, F. Supervisory Control of a Heavy-Duty Diesel Engine with an Electrified Waste Heat Recovery System. Control Eng. Pract. 2016, 54, 190–201. [Google Scholar] [CrossRef]
- Chen, P.; Wang, J. Integrated Diesel Engine and Selective Catalytic Reduction System Active NOx Control for Fuel Economy Improvement. In Proceedings of the 2013 American Control Conference, Washington, DC, USA, 17–19 June 2013. [Google Scholar] [CrossRef]
- Ma, Y.; Wang, J. Integrated Power Management and Aftertreatment System Control for Hybrid Electric Vehicles with Road Grade Preview. IEEE Trans. Veh. Technol. 2017, 66, 10935–10945. [Google Scholar] [CrossRef]
- Westerlund, C.; Westerberg, B.; Odenbrand, I.; Egnell, R. Model Predictive Control of a Combined EGR/SCR HD Diesel Engine. In SAE Technical Paper Series; SAE International: Warrendale, PN, USA, 2010. [Google Scholar] [CrossRef]
- Wassén, H.; Dahl, J.; Idelchi, A. Holistic diesel engine and exhaust after-treatment model predictive control. IFAC-PapersOnLine 2019, 52, 347–352. [Google Scholar] [CrossRef]
- Karim, M.R.; Egardt, B.; Murgovski, N.; Gelso, E.R. Supervisory control for real-driving emission compliance of heavy-duty vehicles. IFAC-PapersOnLine 2018, 51, 460–466. [Google Scholar] [CrossRef]
- Yamaguchi, T.; Aoyagi, Y.; Uchida, N.; Fukunaga, A.; Kobayashi, M.; Adachi, T.; Hashimoto, M. Fundamental Study of Waste Heat Recovery in the High Boosted 6-cylinder Heavy Duty Diesel Engine. SAE Int. J. Mater. Manf. 2015, 8, 209–226. [Google Scholar] [CrossRef]
- Samuel, J.; Ramesh, A. An Improved Physics-Based Combustion Modeling Approach for Control of Direct Injection Diesel Engines. SAE Int. J. Engines 2020, 13, 457–472. [Google Scholar] [CrossRef]
- Ljung, L. Black-box models from input-output measurements. In Proceedings of the IMTC 2001, 18th IEEE Instrumentation and Measurement Technology Conference. Rediscovering Measurement in the Age of Informatics, Budapest, Hungary, 21–23 May 2001. [Google Scholar] [CrossRef]
- Zhou, Q.; Lucchini, T.; D’Errico, G.; Novella, R.; Garcia Oliver, J.M.; Lu, X. CFD Modeling of Reacting Diesel Sprays with Primary Reference Fuel. SAE Int. J. Adv. Curr. Prac. Mobil. 2021, 3, 2433–2451. [Google Scholar] [CrossRef]
- Ventura, L.; Finesso, R.; Malan, S.A. Development of a Model-Based Coordinated Air-Fuel Controller for a 3.0 dm3 Diesel Engine and Its Assessment through Model-in-the-Loop. Energies 2023, 16, 907. [Google Scholar] [CrossRef]
- Rakopoulos, C.; Giakoumis, E. Review of Thermodynamic Diesel Engine Simulations under Transient Operating Conditions. In SAE Technical Paper Series; SAE International: Warrendale, PN, USA, 2006. [Google Scholar] [CrossRef]
- Feng, Y.; Wang, H.; Gao, R.; Zhu, Y. A Zero-Dimensional Mixing Controlled Combustion Model for Real Time Performance Simulation of Marine Two-Stroke Diesel Engines. Energies 2019, 12, 2000. [Google Scholar] [CrossRef]
- Asprion, J.; Chinellato, O.; Guzzella, L. A fast and accurate physics-based model for the NOx emissions of Diesel engines. Appl. Energy 2013, 103, 221–233. [Google Scholar] [CrossRef]
- Can, Ö.; Baklacioglu, T.; Özturk, E.; Turan, O. Artificial neural networks modeling of combustion parameters for a diesel engine fueled with biodiesel fuel. Energy 2022, 247, 123473. [Google Scholar] [CrossRef]
- Ventura, L.; Malan, S.A. Recurrent Neural Network to Estimate Intake Manifold O2 Concentration in a Diesel Engine. In Proceedings of the 20th International Conference on Control, Automation and Systems, ICCAS 2020, Busan, Republic of Korea, 13–16 October 2020. [Google Scholar] [CrossRef]
- Warey, A.; Gao, J.; Grover, R. Prediction of Engine-Out Emissions Using Deep Convolutional Neural Networks. SAE Int. J. Adv. Curr. Prac. Mobil. 2021, 3, 2863–2871. [Google Scholar] [CrossRef]
- Finesso, R.; Hardy, G.; Maino, C.; Marello, O.; Spessa, E. A New Control-Oriented Semi-Empirical Approach to Predict Engine-Out NOx Emissions in a Euro VI 3.0 L Diesel Engine. Energies 2017, 10, 1978. [Google Scholar] [CrossRef]
- Miwa, J.T. Control of NO/NO2 Ratio to Improve SCR Efficiency for Treating Engine Exhaust Using Bypass Oxidation Catalyst. U.S. Patent Application 8,420,036, B1, 16 April 2013. [Google Scholar]
- SAE J1088_201303; Test Procedure for the Measurement of Gaseous Exhaust Emissions from Small Utility Engines, Recommended Practice. SAE International: Warrendale, PN, USA, 2013.
- Brzeżański, M.; Sala, R. The influence of AdBlue dosage on the process of selective catalytic reduction of nitrogen oxides. Combust. Engines 2013, 154, 1032–1037. [Google Scholar]

















| Reference | Developed Methodology | Main Results |
|---|---|---|
| Van Dooren et al. [18] | PMP based. Target: fuel and AdBlue minimization while satisfying tailpipe NOx target limits. Controlled variables: injection timing and EGR rate. | The performance is close to the globally optimal solution based on DP. |
| Velmurugan et al. [19] | ECMS based. Target: fuel and AdBlue minimization while satisfying tailpipe emission limits. Controlled variables: calibration maps corresponding to different engine modes | Overall fuel equivalent cost reduction around 0.6–1% with respect to the baseline engine. |
| Donkers et al. [20] | PMP based (conventional and real-time). Target: fuel and AdBlue costs minimization while satisfying tailpipe NOx target limits | Conventional PMP yields almost the same results as DP, and the real-time implementable controller only deviates approximately 0.08–0.16% from the optimal solution. |
| Feru et al. [21] | Simplified PMP based (real-time implementable version). Target: minimization of a weighted function that includes fuel consumption, AdBlue, and fuel consumption related to active DPF regeneration, while satisfying cumulative tailpipe NOx emission constraints. Control variables: EGR valve position, VGT position, internal battery power. | Within the tailpipe NOx limit, the proposed strategy shows an additional 3.5% CO2 emission reduction while AdBlue dosage and particulate matter are reduced by 2.5% and 19%, respectively. |
| Chen et al. [22] | ECMS based. Backstepping-based active NOx control is used together with a stationary optimization methodology. | In comparison with a passive NOx control method, 5.86% of engine fuel consumption can be reduced without significantly penalizing the tailpipe NOx and ammonia emissions. |
| Ma et al. [23] | ECMS based. Model-based and integrated strategy for hybrid electric vehicle (HEV) power management and aftertreatment control with preview information of road grade. Target: minimization of a cost function including cumulative NOx, NH3 emissions, fuel, SOC deviation and vehicle velocity deviation. | The proposed control design provides a synergy among engine, motor, battery, aftertreatment system, and road condition to accomplish a minimal overall predefined cost. |
| Westerlund et al. [24] | MPC-based. Combined control of start of injection (SOI), EGR, urea injection is performed. Target: minimization of a cost function which is based on fuel consumption and equivalent urea cost. | Compared to a more conservative steady state calibration with NOx emissions on the same level, peak NH3 slip is reduced from 153 to 46.9 ppm, and fuel consumption is improved with 1.5% in the hot-start WHTC. |
| Wassen et al. [25] | MPC based. The actuators are EGR valve, wastegate valve, intake throttle valve. Target: minimization of a weighted cost function that includes consumption of fuel and urea, while respecting selected limitations in terms of engine-out NOx and temperature. | Controller embedded in the ECU. The results show a significant reduction in tailpipe BSNOx with reduction in BSFC. |
| Karim et al. [26] | Nonlinear MPC-based strategy. Target: minimizing fuel and AdBlue consumption while fulfilling NOx emission limits. The supervisory control sets the engine-out NOx target for the engine module, accounting for ATS state. A control-oriented engine model is used. | The strategy was tested on a GT-POWER engine model, and the results show that it is effective in fulfilling the emission legislation limits. |
| Engine Specifications | |
|---|---|
| Engine type | Euro VI diesel engine |
| Number of cylinders | 4 |
| Displacement | 2998 cm3 |
| Bore × stroke | 95.8 mm × 104 mm |
| Rod length | 160 mm |
| Compression ratio | 17.5 |
| Valves per cylinder | 4 |
| EGR | Short-route type, with cooler |
| Turbocharger | VGT type |
| Exhaust flap valve | Located at the turbine outlet |
| Fuel injection system | High-pressure Common Rail |
| Property | Units | Diesel EN 590 |
|---|---|---|
| Cetane number | 53.1 | |
| Flash Point | °C | 70 |
| Density at 15 °C | kg/m3 | 844 |
| Viscosity at 40 °C | mm2/s | 2.86 |
| Distillation 50% vol | °C | 273 |
| Distillation 95% vol | °C | 351 |
| Final boiling point | °C | 363 |
| Evaporated at 250 °C | % vol | 36 |
| FAME | % vol | 6.9 |
| Sulphur | ppm | 8 |
| PAHs | % mass | 3.7 |
| Lower heating value | MJ/kg | 43.4 |
| Property | DOC | DPF | SCR |
|---|---|---|---|
| Frontal diameter (mm) | 150 | 150 | 130 |
| Length (mm) | 150 | 600 | 500 |
| Cell density 1/inch2 | 400 | 150 | 400 |
| Substrate wall thickness (mil thou) | 4 | 17 | 6.5 |
| Washcoat thickness (μm) | 40 | - | - |
| Imposed β | Mean NOx_EO_Mult | BSFC | bsNOx Engine-Out | bsNOx Tailpipe | bs AdBlue |
|---|---|---|---|---|---|
| - | - | g/kWh | g/kWh | g/kWh | g/kWh |
| 1 | 0.82 | 232.3 | 4.26 | 0.64 | 8.1 |
| 0.95 | 0.7 | 233.3 | 3.48 | 0.55 | 6.7 |
| 0.9 | 0.63 | 235.8 | 2.96 | 0.47 | 5.7 |
| 0.8 | 0.54 | 242.3 | 2.27 | 0.36 | 4.6 |
| 0.6 | 0.52 | 245.8 | 2.06 | 0.33 | 4.6 |
| 0 | 0.5 | 245.8 | 2.06 | 0.33 | 4.6 |
| n.a. | 1 (baseline) | 233.9 | 3.93 | 0.62 | 8 |
| Tailpipe NOx Target Offset | Mean NOx_EO_ Mult | BSFC | bsNOx Engine-Out | bsNOx Tailpipe | bs AdBlue | ΔNOx Engine-Out (Actual) | ΔNOx Tailpipe (Actual) |
|---|---|---|---|---|---|---|---|
| % | - | g/kWh | g/kWh | g/kWh | g/kWh | % | % |
| 500% | 1.3 | 234.7 | 5.4 | 0.65 | 12.1 | 29% | 41% |
| 325% | 1.3 | 235.4 | 5.2 | 0.6 | 11.6 | 25% | 31% |
| 300% | 1.2 | 235.5 | 5.2 | 0.59 | 11.4 | 25% | 29% |
| 200% | 1.2 | 236.3 | 5.0 | 0.55 | 9.7 | 19% | 20% |
| 175% | 1.1 | 236.6 | 4.8 | 0.54 | 9.5 | 17% | 17% |
| 50% | 1.1 | 237.1 | 4.7 | 0.52 | 9.2 | 13% | 14% |
| 0% | 1.0 | 238.6 | 4.1 | 0.46 | 8.2 | 0% | 0% |
| −50% | 0.8 | 241.0 | 3.4 | 0.38 | 6.7 | −18% | −16% |
| (Baseline) | 1.0 | 233.9 | 3.93 | 0.62 | 8.0 | / | / |
| Mean NOx_EO_Mult | β | BSFC | bsNOx Engine-Out | bsNOx Tailpipe | bsAdBlue |
|---|---|---|---|---|---|
| - | - | g/kWh | g/kWh | g/kWh | g/kWh |
| Baseline | / | 233.9 | 3.93 | 0.62 | 8 |
| 0.576 | 0.84 | 239.7 | 2.546 | 0.404 | 5.04 |
| % differences | +2.5% | −35.2% | −34.8% | −37.0% |
| Mean NOx_EO_Mult | β | BSFC | bsNOx Engine-Out | bsNOx Tailpipe | bsAdblue |
|---|---|---|---|---|---|
| - | - | g/kWh | g/kWh | g/kWh | g/kWh |
| 0.82 | 1 | 232.3 | 4.26 | 0.64 | 8.1 |
| Baseline | / | 233.9 | 3.93 | 0.62 | 8.0 |
| % differences | −0.7% | 8.4% | 3.2% | 1.3% |
Disclaimer/Publisher’s Note: The statements, opinions and data contained in all publications are solely those of the individual author(s) and contributor(s) and not of MDPI and/or the editor(s). MDPI and/or the editor(s) disclaim responsibility for any injury to people or property resulting from any ideas, methods, instructions or products referred to in the content. |
© 2023 by the authors. Licensee MDPI, Basel, Switzerland. This article is an open access article distributed under the terms and conditions of the Creative Commons Attribution (CC BY) license (https://creativecommons.org/licenses/by/4.0/).
Share and Cite
d’Ambrosio, S.; Di Dio, C.; Finesso, R. Model-Based Calibration and Control of Tailpipe Nitrogen Oxide Emissions in a Light-Duty Diesel Engine and Its Assessment through Model-In-The-Loop. Energies 2023, 16, 8030. https://doi.org/10.3390/en16248030
d’Ambrosio S, Di Dio C, Finesso R. Model-Based Calibration and Control of Tailpipe Nitrogen Oxide Emissions in a Light-Duty Diesel Engine and Its Assessment through Model-In-The-Loop. Energies. 2023; 16(24):8030. https://doi.org/10.3390/en16248030
Chicago/Turabian Styled’Ambrosio, Stefano, Cosimo Di Dio, and Roberto Finesso. 2023. "Model-Based Calibration and Control of Tailpipe Nitrogen Oxide Emissions in a Light-Duty Diesel Engine and Its Assessment through Model-In-The-Loop" Energies 16, no. 24: 8030. https://doi.org/10.3390/en16248030
APA Styled’Ambrosio, S., Di Dio, C., & Finesso, R. (2023). Model-Based Calibration and Control of Tailpipe Nitrogen Oxide Emissions in a Light-Duty Diesel Engine and Its Assessment through Model-In-The-Loop. Energies, 16(24), 8030. https://doi.org/10.3390/en16248030

