Enhanced Thermal Properties of Phase Change Materials through Surfactant-Functionalized Graphene Nanoplatelets for Sustainable Energy Storage
Abstract
:1. Introduction
2. Materials and Methodology
2.1. Materials
2.2. Preparation of Nanocomposites
2.3. Characterization of Nano PCM Composite
3. Result and Discussion
3.1. Morphology of Nanoparticles and NePCM
3.2. Thermal Conductivity
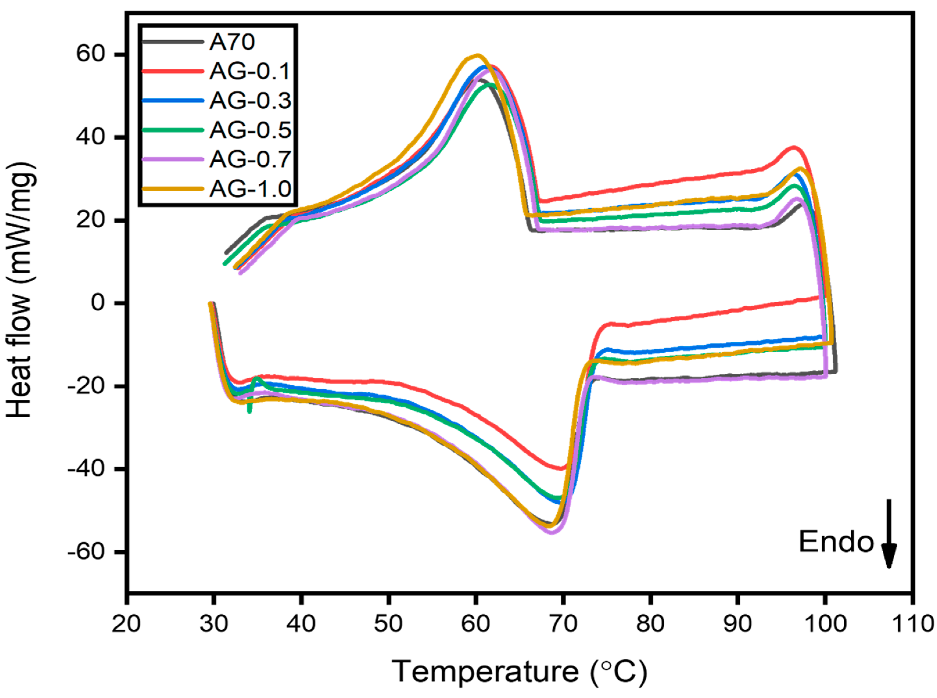
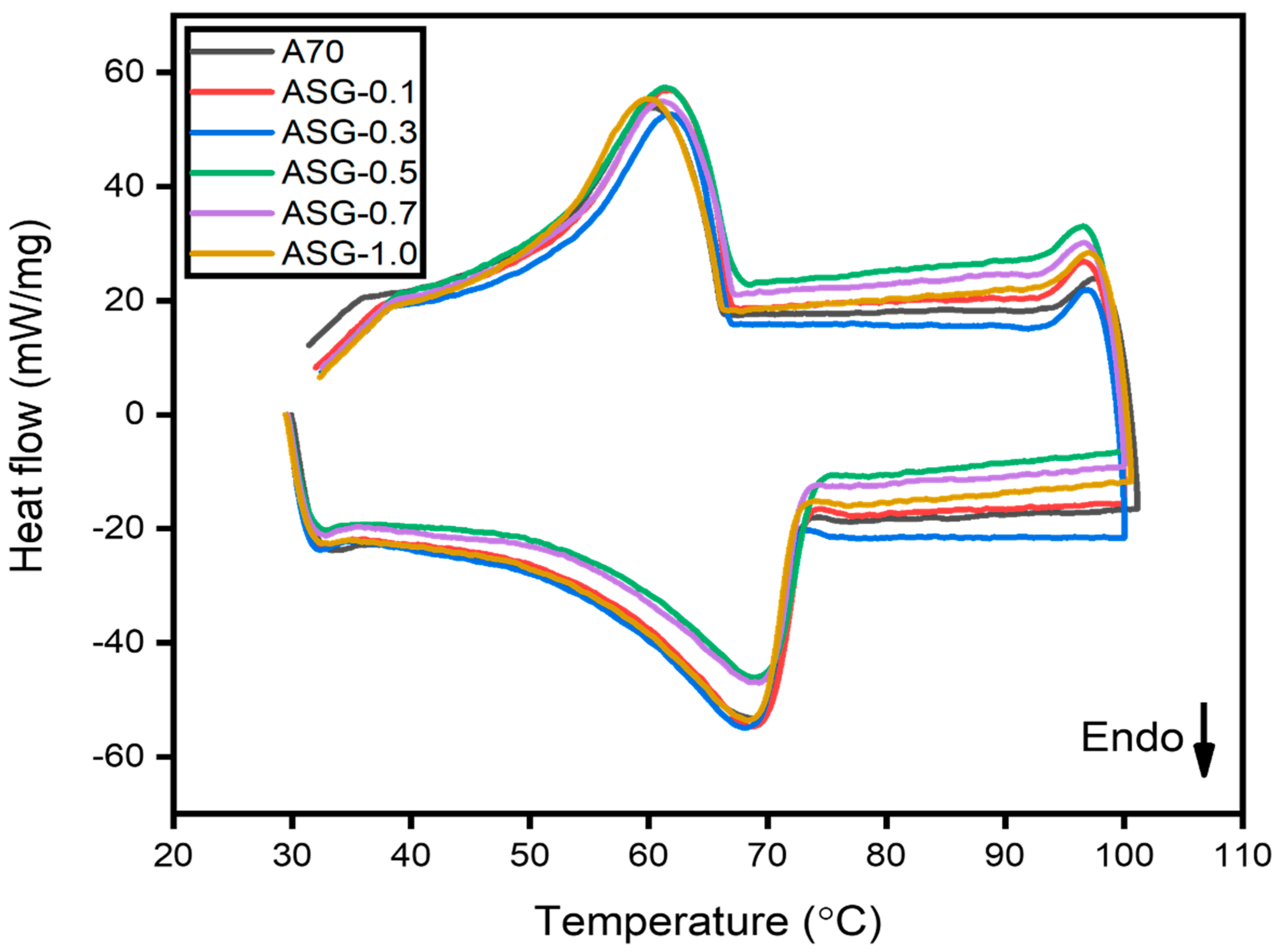
3.3. Latent Heat and Phase Change Temperature
3.4. Chemical Stability
3.5. Light Transmission Capability
3.6. Thermal Stability
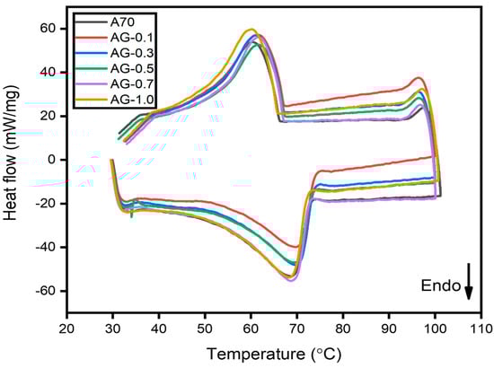
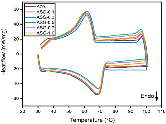
3.7. Thermal Cycle Test NePCMs for 1000 Cycles
3.7.1. Latent Heat and Phase Transition Temperature of NePCMs after 500 and 1000 Cycles
3.7.2. Chemical and Thermal Stability of PW/GNP
4. Conclusions
Author Contributions
Funding
Data Availability Statement
Conflicts of Interest
Abbreviations
| PCM | Phase Change Materials |
| NePCM | Nano-enhanced Phase Change Materials |
| SDBS | Sodium Dodecylbenzenesulfonate |
| GNP | Graphene Nanoplatelets |
| PVT | Photovoltaic Thermal |
| TES | Thermal Energy Storage |
| PW | Paraffin Wax |
| LH | Latent Heat |
| MWCNT | Multi-Walled Carbon Nanotubes |
| CNT | Carbon Nanotubes |
| TMEDA | Tetramethyl Ethylene Diamine |
| SDS | Sodium Dodecyl Sulfate |
| 1-decanol), | Sodium Dodecanoate |
| TEMED | Triton X-100 |
| PVP | Poly Vinyl Pyrrolidone |
| TiO2 | Titanium Dioxide |
| CuO | Copper Oxide |
| GO | Graphene Oxide |
| MgO | Magnesium Oxide |
| CSP | Concentrated Solar Power |
| FESEM | Field Emission Scanning Electron Microscope |
| DSC | Differential Scanning Calorimeter |
| FTIR | Fourier Transform Infrared Spectrum |
| TGA | Thermogravimetric Analysis |
| UV-VIS | Ultra-Violet Visible Spectrometer |
| A70 | Organic PCM |
| AG-0.1 | A70 with 0.1 wt% GNP |
| AG-0.3 | A70 with 0.3 wt% GNP |
| AG-0.5 | A70 with 0.5 wt% GNP |
| AG-0.7 | A70 with 0.7 wt% GNP |
| AG-1.0 | A70 with 1.0 wt% GNP |
| ASG-0.1 | A70 with 0.1 wt% GNP with SDBS |
| ASG-0.3 | A70 with 0.3 wt% GNP with SDBS |
| ASG-0.5 | A70 with 0.5 wt% GNP with SDBS |
| ASG-0.7 | A70 with 0.7 wt% GNP with SDBS |
| ASG-1.0 | A70 with 1.0 wt% GNP with SDBS |
References
- Fikri, M.A.; Samykano, M.; Pandey, A.K.; Kadirgama, K.; Kumar, R.R.; Selvaraj, J.; Rahim, N.A.; Tyagi, V.V.; Sharma, K.; Saidur, R. Recent Progresses and Challenges in Cooling Techniques of Concentrated Photovoltaic Thermal System: A Review with Special Treatment on Phase Change Materials (PCMs) Based Cooling. Sol. Energy Mater. Sol. Cells 2022, 241, 111739. [Google Scholar] [CrossRef]
- Xiao, M.; Tang, L.; Zhang, X.; Lun, I.Y.F.; Yuan, Y. A Review on Recent Development of Cooling Technologies for Concentrated Photovoltaics (CPV) Systems. Energies 2018, 11, 3416. [Google Scholar] [CrossRef]
- Mohamed, S.A.; Al-Sulaiman, F.A.; Ibrahim, N.I.; Zahir, M.H.; Al-Ahmed, A.; Saidur, R.; Yılbaş, B.S.; Sahin, A.Z. A Review on Current Status and Challenges of Inorganic Phase Change Materials for Thermal Energy Storage Systems. Renew. Sustain. Energy Rev. 2017, 70, 1072–1089. [Google Scholar] [CrossRef]
- Lin, Y.; Zhu, C.; Alva, G.; Fang, G. Palmitic Acid/Polyvinyl Butyral/Expanded Graphite Composites as Form-Stable Phase Change Materials for Solar Thermal Energy Storage. Appl. Energy 2018, 228, 1801–1809. [Google Scholar] [CrossRef]
- Arndt, P.E.; Dunn, J.G.; Willix, R.L.S. Organic Compounds as Candidate Phase Change Materials in Thermal Energy Storage. Thermochim. Acta 1984, 79, 55–68. [Google Scholar] [CrossRef]
- Jiang, Z.; Ouyang, T.; Yang, Y.; Chen, L.; Fan, X.; Chen, Y.; Li, W.; Fei, Y. Thermal Conductivity Enhancement of Phase Change Materials with Form-Stable Carbon Bonded Carbon Fiber Network. Mater. Des. 2018, 143, 177–184. [Google Scholar] [CrossRef]
- Fikri, A.; Pandey, D.A.; Samykano, M.; Sharma, K.; Selvaraj, J.; Abd Rahim, N.; Saidura, R. Thermal Stability and Light Transmission Capability of Nano TIO2 Enhanced Phase Change Material as Thermal Energy Storage. IOP Conf. Ser. Mater. Sci. Eng. 2021, 1116, 12206. [Google Scholar] [CrossRef]
- Reji Kumar, R.; Samykano, M.; Pandey, A.K.; Kadirgama, K.; Tyagi, V.V. Phase Change Materials and Nano-Enhanced Phase Change Materials for Thermal Energy Storage in Photovoltaic Thermal Systems: A Futuristic Approach and Its Technical Challenges. Renew. Sustain. Energy Rev. 2020, 133, 110341. [Google Scholar] [CrossRef]
- Babapoor, A.; Karimi, G.; Sabbaghi, S. Thermal Characteristic of Nanocomposite Phase Change Materials during Solidification Process. J. Energy Storage 2016, 7, 74–81. [Google Scholar] [CrossRef]
- Hamilton, R.L. Thermal Conductivity of Heterogeneous Two-Component Systems. Ind. Eng. Chem. Fundam. 1962, 1, 187–191. [Google Scholar] [CrossRef]
- Yu, W.; Choi, S.U.S. The Role of Interfacial Layers in the Enhanced Thermal Conductivity of Nanofluids: A Renovated Hamilton-Crosser Model. J. Nanoparticle Res. 2004, 6, 355–361. [Google Scholar] [CrossRef]
- Tang, X.; Hammel, E.; Reiter, W. Carbon Nanotube Enhanced Thermally Conductive Phase Change Material for Heat Dissipation. In Proceedings of the 2009 15th International Workshop on Thermal Investigations of ICs and Systems, Leuven, Belgium, 7–9 October 2009; pp. 216–218. [Google Scholar]
- Cui, Y.; Liu, C.; Hu, S.; Yu, X. The Experimental Exploration of Carbon Nanofiber and Carbon Nanotube Additives on Thermal Behavior of Phase Change Materials. Sol. Energy Mater. Sol. Cells 2011, 95, 1208–1212. [Google Scholar] [CrossRef]
- Choi, D.H.; Lee, J.; Hong, H.; Kang, Y.T. Thermal Conductivity and Heat Transfer Performance Enhancement of Phase Change Materials (PCM) Containing Carbon Additives for Heat Storage Application. Int. J. Refrig. 2014, 42, 112–120. [Google Scholar] [CrossRef]
- Cacua, K.; Ordoñez, F.; Zapata, C.; Herrera, B.; Pabón, E.; Buitrago-Sierra, R. Surfactant Concentration and PH Effects on the Zeta Potential Values of Alumina Nanofluids to Inspect Stability. Colloids Surf. A Physicochem. Eng. Asp. 2019, 583, 123960. [Google Scholar] [CrossRef]
- Laghari, I.A.; Samykano, M.; Pandey, A.K.; Kadirgama, K.; Mishra, Y.N. Binary Composite (TiO2-Gr) Based Nano-Enhanced Organic Phase Change Material: Effect on Thermophysical Properties. J. Energy Storage 2022, 51, 104526. [Google Scholar] [CrossRef]
- Rkumar, K.; Samykano, M.; Pandey, A.K.; Kadirgama, K.; Tyagi, V. V A Comparative Study on Thermophysical Properties of Functionalized and Non-Functionalized Multi-Walled Carbon Nano Tubes ( MWCNTs ) Enhanced Salt Hydrate Phase Change Material. Sol. Energy Mater. Sol. Cells 2022, 240, 111697. [Google Scholar] [CrossRef]
- Zhang, S.; Wu, J.Y.; Tse, C.T.; Niu, J. Effective Dispersion of Multi-Wall Carbon Nano-Tubes in Hexadecane through Physiochemical Modification and Decrease of Supercooling. Sol. Energy Mater. Sol. Cells 2012, 96, 124–130. [Google Scholar] [CrossRef]
- Dsilva Winfred Rufuss, D.; Suganthi, L.; Iniyan, S.; Davies, P.A. Effects of Nanoparticle-Enhanced Phase Change Material (NPCM) on Solar Still Productivity. J. Clean. Prod. 2018, 192, 9–29. [Google Scholar] [CrossRef]
- Wu, X.; Wang, C.; Wang, Y.; Zhu, Y. Experimental Study of Thermo-Physical Properties and Application of Paraffin-Carbon Nanotubes Composite Phase Change Materials. Int. J. Heat Mass Transf. 2019, 140, 671–677. [Google Scholar] [CrossRef]
- Prado, J.I.; Lugo, L. Enhancing the Thermal Performance of a Stearate Phase Change Material with Graphene Nanoplatelets and MgO Nanoparticles. ACS Appl. Mater. Interfaces 2020, 12, 39108–39117. [Google Scholar] [CrossRef]
- Hassan, F.; Jamil, F.; Arshad, A.; Ali, H. Passive Cooling Analysis of an Electronic Chipset Using Nanoparticles and Metal-Foam Composite PCM: An Experimental Study. Energies 2022, 15, 8746. [Google Scholar] [CrossRef]
- Wu, S.; Yan, T.; Kuai, Z.; Pan, W. Thermal Conductivity Enhancement on Phase Change Materials for Thermal Energy Storage: A Review. Energy Storage Mater. 2020, 25, 251–295. [Google Scholar] [CrossRef]
- Navarrete, N.; Mondragón, R.; Wen, D.; Navarro, M.E.; Ding, Y.; Juliá, J.E. Thermal Energy Storage of Molten Salt –Based Nanofluid Containing Nano-Encapsulated Metal Alloy Phase Change Materials. Energy 2019, 167, 912–920. [Google Scholar] [CrossRef]
- Phys, J.A. Recent Advances for Phase-Transition Materials for Actuators Recent Advances for Phase-Transition Materials for Actuators. J. Appl. Phys. 2021, 128, 101101. [Google Scholar] [CrossRef]
- Yang, Y.; Luo, J.; Song, G.; Liu, Y.; Tang, G. The Experimental Exploration of Nano-Si3N4/Paraffin on Thermal Behavior of Phase Change Materials. Thermochim. Acta 2014, 597, 101–106. [Google Scholar] [CrossRef]
- Harikrishnan, S.; Imran Hussain, S.; Devaraju, A.; Sivasamy, P.; Kalaiselvam, S. Improved Performance of a Newly Prepared Nano-Enhanced Phase Change Material for Solar Energy Storage. J. Mech. Sci. Technol. 2017, 31, 4903–4910. [Google Scholar] [CrossRef]
- Zhou, Y.; Wang, X.; Liu, X.; Sheng, D.; Ji, F.; Dong, L. Solar Energy Materials and Solar Cells Multifunctional ZnO/Polyurethane-Based Solid-Solid Phase Change Materials with Graphene Aerogel. Sol. Energy Mater. Sol. Cells 2019, 193, 13–21. [Google Scholar] [CrossRef]












| Properties | A70 PCM | GNP | SDBS |
|---|---|---|---|
| Thermal conductivity (W/mK) | 0.230 | 3000 | - |
| Melting temperature (°C) | 70 | 3652 | 204–207 |
| Melting enthalpy (J/g) | 173 | - | - |
| Color | White | Dark grey | White |
| Surface area (m2/g) | - | 120–150 | - |
| Density (g/mol) | - | 12.01 | 0.18 |
| Appearance | Wax | Powder | Flake |
| Molecular weight (g/mol) | - | - | 348.48 |
| Size | - | 5 µm Purity < 100% |
| Samples | Onset Melting Temperature (°C) | Offset Melting Temperature (°C) | Melting Point (°C) | Melting Enthalpy (J/g) | Freezing Enthalpy (J/g) |
|---|---|---|---|---|---|
| A70 | 49.8 | 73.5 | 68.20 | 170.49 | 162.74 |
| AG-0.1 | 49.0 | 74.7 | 69.85 | 169.10 | 168.42 |
| AG-0.3 | 50.0 | 74.3 | 68.98 | 168.72 | 155.31 |
| AG-0.5 | 50.0 | 74.0 | 69.12 | 165.77 | 162.78 |
| AG-0.7 | 51.1 | 73.5 | 69.08 | 163.12 | 160.93 |
| AG-1.0 | 49.8 | 73.8 | 68.43 | 162.22 | 160.60 |
| ASG-0.1 | 50.7 | 74.1 | 68.8 | 168.62 | 167.57 |
| ASG-0.3 | 50.0 | 73.4 | 68.1 | 165.40 | 155.94 |
| ASG-0.5 | 50.5 | 75.0 | 69.0 | 162.62 | 158.03 |
| ASG-0.7 | 49.3 | 73.7 | 68.3 | 160.99 | 157.85 |
| ASG-1.0 | 45.8 | 70.9 | 69.50 | 158.78 | 157.33 |
| Samples | Initial Degradation Temperature (°C) | Maximal Degradation Temperature (°C) | Final Degradation Temperature (°C) |
|---|---|---|---|
| 0.0 | 266.08 | 351.26 | 387.20 |
| AG-0.1 | 250.85 | 316.75 | 382.53 |
| AG-0.3 | 256.03 | 335.52 | 391.31 |
| AG-0.5 | 247.82 | 317.11 | 411.67 |
| AG-0.7 | 256.12 | 337.52 | 417.12 |
| AG-1.0 | 266.03 | 345.91 | 392.63 |
| ASG-0.1 | 262.16 | 326.71 | 383.61 |
| ASG-0.3 | 267.10 | 329.35 | 366.22 |
| ASG-0.5 | 264.86 | 341.69 | 372.00 |
| ASG-0.7 | 254.50 | 333.60 | 377.71 |
| ASG-1.0 | 254.74 | 322.64 | 393.11 |
| Samples | Latent Heat (kJ/kg) | Melting Point (°C) | Difference in Latent Heat (kJ/kg) | Difference in Melting Temperature (°C) | ||||
|---|---|---|---|---|---|---|---|---|
| 0 Cycle | 500 Cycles | 1000 Cycles | 0 Cycle | 500 Cycles | 1000 Cycles | |||
| A70 | 170.49 | 176.43 | 180.23 | 68.20 | 68.77 | 66.25 | +9.74 | −1.95 |
| AG-1.0 | 162.22 | 161.06 | 154.34 | 68.43 | 67.66 | 71.70 | −7.88 | +3.27 |
| ASG-1.0 | 158.78 | 153.60 | 149.31 | 69.50 | 66.6 | 70.4 | −9.47 | +0.90 |
| Composites | Initial Degradation Temperature (°C) | Maximal Degradation Temperature (°C) | Final Degradation Temperature (°C) |
|---|---|---|---|
| A70 | 266.08 | 351.26 | 387.20 |
| A70 500c | 265.12 | 350.11 | 411.24 |
| A70 1000c | 260.09 | 337.73 | 387.92 |
| AG-1.0 | 266.03 | 345.91 | 392.63 |
| AG-1.0 500c | 259.12 | 328.38 | 389.83 |
| AG-1.0 1000c | 260.84 | 336.25 | 399.61 |
| ASG-1.0 | 254.20 | 323.54 | 394.32 |
| ASG-1.0 500c | 254.34 | 332.5 | 388.19 |
| ASG-1.0 1000c | 245.02 | 331.59 | 356.02 |
Disclaimer/Publisher’s Note: The statements, opinions and data contained in all publications are solely those of the individual author(s) and contributor(s) and not of MDPI and/or the editor(s). MDPI and/or the editor(s) disclaim responsibility for any injury to people or property resulting from any ideas, methods, instructions or products referred to in the content. |
© 2023 by the authors. Licensee MDPI, Basel, Switzerland. This article is an open access article distributed under the terms and conditions of the Creative Commons Attribution (CC BY) license (https://creativecommons.org/licenses/by/4.0/).
Share and Cite
Fikri, M.A.; Suraparaju, S.K.; Samykano, M.; Pandey, A.K.; Rajamony, R.K.; Kadirgama, K.; Ghazali, M.F. Enhanced Thermal Properties of Phase Change Materials through Surfactant-Functionalized Graphene Nanoplatelets for Sustainable Energy Storage. Energies 2023, 16, 7668. https://doi.org/10.3390/en16227668
Fikri MA, Suraparaju SK, Samykano M, Pandey AK, Rajamony RK, Kadirgama K, Ghazali MF. Enhanced Thermal Properties of Phase Change Materials through Surfactant-Functionalized Graphene Nanoplatelets for Sustainable Energy Storage. Energies. 2023; 16(22):7668. https://doi.org/10.3390/en16227668
Chicago/Turabian StyleFikri, M. Arif, Subbarama Kousik Suraparaju, M. Samykano, A. K. Pandey, Reji Kumar Rajamony, K. Kadirgama, and M. F. Ghazali. 2023. "Enhanced Thermal Properties of Phase Change Materials through Surfactant-Functionalized Graphene Nanoplatelets for Sustainable Energy Storage" Energies 16, no. 22: 7668. https://doi.org/10.3390/en16227668
APA StyleFikri, M. A., Suraparaju, S. K., Samykano, M., Pandey, A. K., Rajamony, R. K., Kadirgama, K., & Ghazali, M. F. (2023). Enhanced Thermal Properties of Phase Change Materials through Surfactant-Functionalized Graphene Nanoplatelets for Sustainable Energy Storage. Energies, 16(22), 7668. https://doi.org/10.3390/en16227668

