The Experimentally Measured Influence of the Si-MOSFET Replacement Switches to WBG Transistors in the Voltage Source Inverters as the Source of Radiation Noise
Abstract
1. Introduction
2. Methods of the Near-Field Interference Measurement of the Inverter
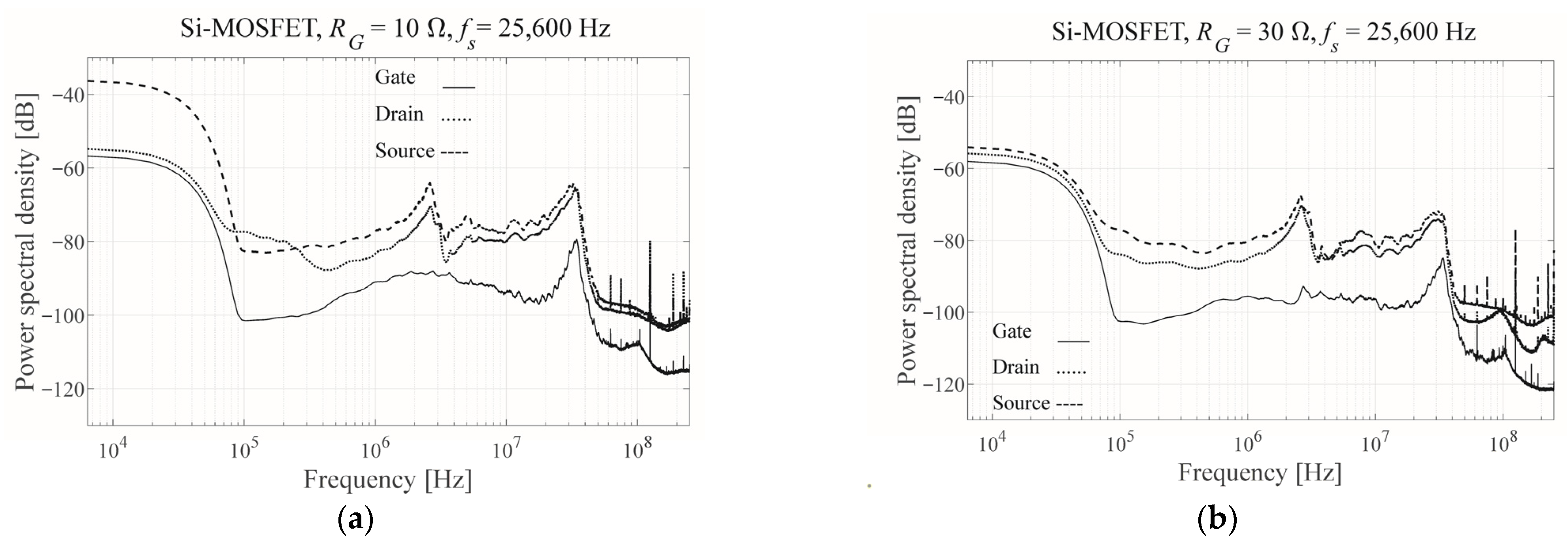
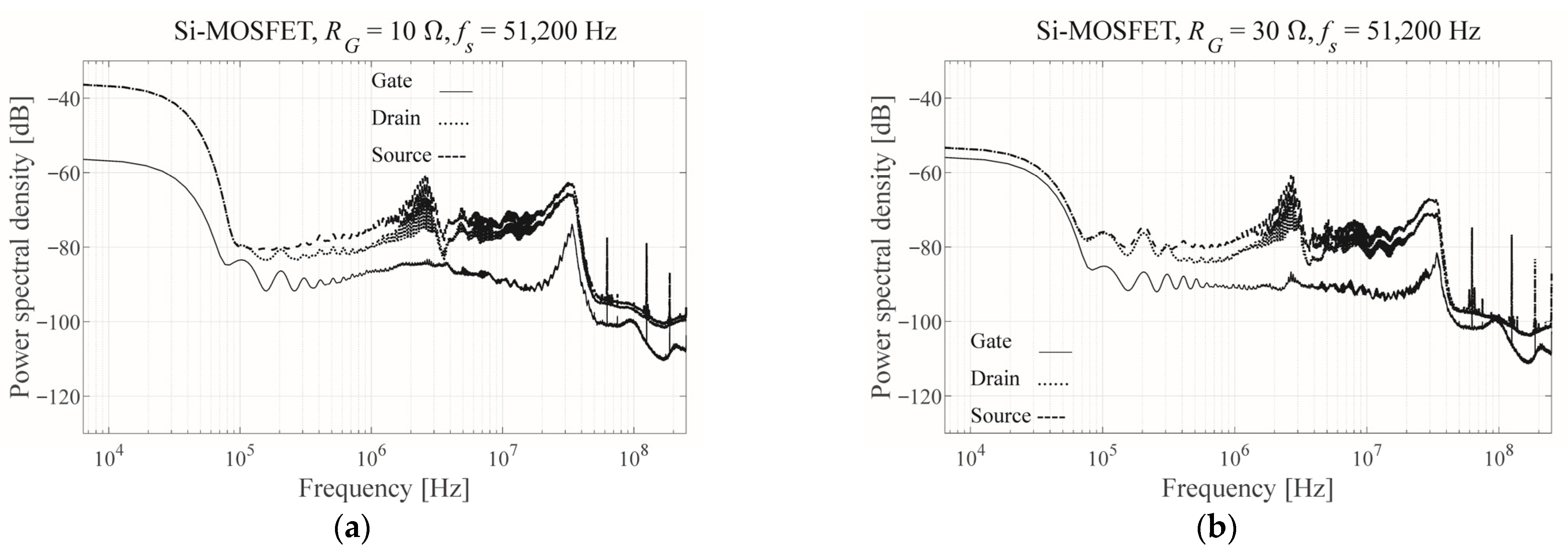
3. The Comparative Analysis of the Power Spectral Density of the Near-Field Interferences
4. Results
5. Conclusions
Author Contributions
Funding
Data Availability Statement
Conflicts of Interest
References
- IEC 62040-3:2021; Uninterruptible Power Systems (UPS)—Part 3: Method of Specifying the Performance and Test Requirements. International Electrotechnical Commission (IEC): Geneva, Switzerland, 2021.
- Jayant Baliga, B. Fundamentals of Power Semiconductor Devices, 2nd ed.; Springer International Publishing: Cham, Switzerland, 2019. [Google Scholar]
- Siliconix, V. Power MOSFET Basics: Understanding Gate Charge and Using It to Assess Switching Performance; Device Application Note AN608A; Vishay Siliconix: San Jose, CA, USA, 2016. [Google Scholar]
- Havanur, S. Power MOSFET Basics: Understanding the Turn-On Process; Application Note AN850; Vishay Siliconix: San Jose, CA, USA, 2016. [Google Scholar]
- Wellmann, P.; Ohtani, N.; Rupp, R. (Eds.) Wide Bandgap Semiconductors for Power Electronics; Wiley-VCH: Weinheim, Germany, 2022. [Google Scholar]
- Zulauf, G.; Park, S.; Liang, W.; Surakitbovorn, K.N.; Rivas-Davila, J. COSS Losses in 600 V GaN Power Semiconductors in Soft-Switched, High- and Very-High-Frequency Power Converters. IEEE Trans. Power Electron. 2018, 33, 10748–10763. [Google Scholar] [CrossRef]
- Sun, R.; Lai, J.; Chen, W.; Zhang, B. GaN Power Integration for High Frequency and High Efficiency Power Applications: A Review. IEEE Access 2020, 8, 15529–15542. [Google Scholar] [CrossRef]
- Millán, J.; Godignon, P.; Perpiñà, X.; Pérez-Tomás, A.; Rebollo, J. A Survey of Wide Bandgap Power Semiconductor Devices. IEEE Trans. Power Electron. 2014, 29, 2155–2163. [Google Scholar] [CrossRef]
- Bernacki, K.; Rymarski, Z. The Effect of Replacing Si-MOSFETs with WBG Transistors on the Control Loop of Voltage Source Inverters. Energies 2022, 15, 5316. [Google Scholar] [CrossRef]
- Komurcugil, H. Improved passivity-based control method and its robustness analysis for single-phase uninterruptible power supply inverters. IET Power Electron. 2015, 8, 1558–1570. [Google Scholar] [CrossRef]
- Ortega, R.; Garcıa-Canseco, E. Interconnection and Damping Assignment Passivity-Based Control: A Survey. Eur. J. Control 2004, 10, 432–450. [Google Scholar] [CrossRef]
- Serra, F.M.; De Angelo, C.H.; Forchetti, D.G. IDA-PBC control of a DC–AC converter for sinusoidal three-phase voltage generation. Int. J. Electron. 2016, 104, 93–110. [Google Scholar] [CrossRef]
- Rymarski, Z.; Bernacki, K. Different Features of Control Systems for Single-Phase Voltage Source Inverters. Energies 2020, 13, 4100. [Google Scholar] [CrossRef]
- Rymarski, Z.; Bernacki, K. Technical Limits of Passivity-Based Control Gains for a Single-Phase Voltage Source Inverter. Energies 2021, 14, 4560. [Google Scholar] [CrossRef]
- Manabe, S. Coefficient diagram method. IFAC Proc. Vol. 1998, 31, 211–222. [Google Scholar] [CrossRef]
- Manabe, S. Importance of coefficient diagram in polynomial method. In Proceedings of the 42nd IEEE Conference on Decision and Control, Maui, HI, USA, 9–12 December 2003; pp. 3489–3494. [Google Scholar] [CrossRef]
- Hamamci, S.E.; Kaya, I.; Koksal, M. Improving performance for a class of processes using coefficient diagram method. In Proceedings of the 9th Mediterranean Conference on Control and Automation, Dubrovnik, Croatia, 27–29 June 2001; pp. 1–6. [Google Scholar]
- Rymarski, Z. The discrete model of the power stage of the voltage source inverter for UPS. Int. J. Electron. 2011, 98, 1291–1304. [Google Scholar] [CrossRef]
- Coelho, J.P.; Pinho, T.M.; Boaventura-Cunha, J. Controller system design using the coefficient diagram method. Arab. J. Sci. Eng. 2016, 41, 3663–3681. [Google Scholar] [CrossRef]
- Rymarski, Z. Measuring the real parameters of single-phase voltage source inverters for UPS systems. Int. J. Electron. 2017, 104, 1020–1033. [Google Scholar] [CrossRef]
- Bernacki, K.; Rymarski, Z.; Dyga, Ł. Selecting the coil core powder material for the output filter of a voltage source inverter. Electron. Lett. 2017, 53, 1068–1069. [Google Scholar] [CrossRef]
- Rymarski, Z.; Bernacki, K.; Dyga, Ł. Controlled Energy Flow in Z-Source Inverters. Energies 2021, 14, 7272. [Google Scholar] [CrossRef]
- Liu, T.; Wong, Y.; Shen, Z.J. A Survey on Switching Oscillations in Power Converters. IEEE J. Emerg. Sel. Top. Power Electron. 2020, 8, 893–908. [Google Scholar] [CrossRef]
- Sadik, D.-P.; Colmenares, J.; Nee, H.-P.; Kostov, K.; Giezendanner, F.; Ranstad, P. Analysis of parasitic elements of SiC power modules with special emphasis on reliability issues. In Proceedings of the 2016 IEEE Applied Power Electronics Conference and Exposition (APEC), Long Beach, CA, USA, 20–24 March 2016; pp. 1018–1023. [Google Scholar] [CrossRef]
- Zeng, Z.; Zhang, X.; Blaabjerg, F.; Miao, L. Impedance-Oriented Transient Instability Modeling of SiC mosfet Intruded by Measurement Probes. IEEE Trans. Power Electron. 2020, 35, 1866–1881. [Google Scholar] [CrossRef]
- Bernacki, K.; Rymarski, Z. Electromagnetic compatibility of voltage source inverters for uninterruptible power supply system depending on the pulse-width modulation scheme. IET Power Electron. 2015, 8, 1026–1034. [Google Scholar] [CrossRef]
- Bernacki, K.; Rymarski, Z. Electromagnetic compatibility of impedance source inverters. Elektron. Ir Elektrotechnika 2017, 23, 55–63. [Google Scholar] [CrossRef]
- Tadakuma, T.; Bisht, P.; Nagahara, T. Experimental approach to identify source of radiation noise over Si and SiC power modules. In Proceedings of the 2018 15th International Conference on Electro Magnetic Interference & Compatibility (INCEMIC), Bengaluru, India, 13–16 November 2018; pp. 1–3. [Google Scholar] [CrossRef]
- Tadakuma, T.; Rogers, M.; Nagahara, T. An Experimental Approach to Identify Source and Cause of Radiation Noise of Inverter Systems and Bare Si Power Chips. In Proceedings of the 2019 IEEE Applied Power Electronics Conference and Exposition (APEC), Anaheim, CA, USA, 17–21 March 2019; pp. 2841–2843. [Google Scholar] [CrossRef]
- Rymarski, Z. Design Method of Single-Phase Inverters for UPS Systems. Int. J. Electron. 2009, 96, 521–535. [Google Scholar] [CrossRef]
- Smith, S. Digital Signal Processing: A Practical Guide for Engineers and Scientists; Elsevier Science: Amsterdam, The Netherlands, 2002; ISBN 9780080477329. [Google Scholar]
- Kirlin, R.L.; Bech, M.M.; Trzynadlowski, A.M. Analysis of power and power spectral density in PWM inverters with randomized switching frequency. IEEE Trans. Ind. Electron. 2002, 49, 486–499. [Google Scholar] [CrossRef]












| VDS [V], ID [A] | RDS [mΩ] (Tj = 25 °C) | Ciss, Coss, Crss [pF] (VGS = 0 V, f = 1.0 MHz) | |
|---|---|---|---|
| Standard Si-MOSFET IRFP360 (Vishay) | 400 V, 23 A | 200 (VGS = 10 V, ID = 14 A) | 4500, 1100, 490 (VDS = 25 V) |
| GaN + Si-MOSFET Cascode device structure GAN041-650WSB | 650 V, 47.2 A | 35 (VGS = 10 V; ID = 32 A) | 1500, 147, 5 (VDS = 400 V) |
| SiC-MOSFET AIMW120R060M1H | 1200 V, 36 A | 60 (VGS = 18 V, ID = 13 A) | 1060, 58, 6.5 (VDS = 800 V) |
| Frequency Range for RG = 10 Ω | Frequency Range for RG = 30 Ω | ||||||||
|---|---|---|---|---|---|---|---|---|---|
| fs | 6400 Hz <2 fs | 2.45–3.38 MHz | 22.99–23.56 MHz | 30.45–34.82 MHz | <2 fs | 2.44–3.24 MHz | 23.14–23.54 MHz | 29.50–34.97 MHz | |
| Si | 12.8 kHz | −36.52 dB @6400 Hz | −73.49 dB @2.59 MHz | -------------- | −72.90 dB @30.45 MHz | −54.64 dB @6400 Hz | −73.64 dB @2.64 MHz | ------------- | −77.19 dB @34.97 MHz |
| SiC | −36.52 dB @6400 Hz | −82.28 dB @3.38 MHz | -------------- | −73.8764 dB @34.59 MHz | −56.21 dB @6400 | −81.55 dB @3.24 MHz | ------------- | −76.64 dB @34.95 MHz | |
| GaN | −36.52 dB @6400 Hz | −76.22 dB @2.47 MHz | −66.47 dB @23.56 MHz | −68.11 dB @34.78 MHz | −36.95 dB @6400 Hz | −77.23 dB @2.44 MHz | −68.83 dB @23.54 MHz | −71.42 dB@ 34.93 MHz | |
| Si | 25.6 kHz | −36.33 dB @6400 Hz | −64.07 dB @2.61 MHz | -------------- | −64.32 dB @32.50 MHz | −54.08 dB @6400 Hz | −67.56 dB @2.61 MHz | ------------- | −71.91 dB @29.50 MHz |
| SiC | −36.33 dB @6400 Hz | −76.55 dB @3.19 MHz | -------------- | −67.48 dB @34.82 MHz | −55.52 dB @6400 Hz | −74.00 dB @3.23 MHz | ------------- | −69.13 dB @34.39 MHz | |
| GaN | −36.33 dB @6400 Hz | −71.68 dB @2.45 MHz | −61.90 dB @22.99 MHz | −64.31 dB @33.91 MHz | −36.41 dB @6400 Hz | −72.60 dB @2.52 MHz | −61.20 dB @23.30 MHz | −62.11 dB @34.56 MHz | |
| Si | 51.2 kHz | −36.49 dB @6400 Hz | −61.36 dB @2.55 MHz | -------------- | −62.53 dB @31.33 MHz | −53.57 dB @6400 Hz | −60.78 dB @2.66 MHz | ------------- | −67.43 dB @30.71 MHz |
| SiC | −36.49 dB @6400 Hz | −71.43 dB @3.17 MHz | -------------- | −64.11 dB @34.51 MHz | −53.57 dB @6400 Hz | −67.26 dB @3.28 MHz | ------------- | −65.90 dB @34.23 MHz | |
| GaN | −38.66 dB @6400 Hz | −62.70 dB @2.46 MHz | −59.36 dB @23.14 MHz | −60.82 dB @34.36 MHz | −36.41 dB @6400 Hz | −66.94 dB @2.47 MHz | −59.88 dB @23.03 MHz | −61.96 dB @35.05 MHz | |
Disclaimer/Publisher’s Note: The statements, opinions and data contained in all publications are solely those of the individual author(s) and contributor(s) and not of MDPI and/or the editor(s). MDPI and/or the editor(s) disclaim responsibility for any injury to people or property resulting from any ideas, methods, instructions or products referred to in the content. |
© 2023 by the authors. Licensee MDPI, Basel, Switzerland. This article is an open access article distributed under the terms and conditions of the Creative Commons Attribution (CC BY) license (https://creativecommons.org/licenses/by/4.0/).
Share and Cite
Bernacki, K.; Rymarski, Z. The Experimentally Measured Influence of the Si-MOSFET Replacement Switches to WBG Transistors in the Voltage Source Inverters as the Source of Radiation Noise. Energies 2023, 16, 870. https://doi.org/10.3390/en16020870
Bernacki K, Rymarski Z. The Experimentally Measured Influence of the Si-MOSFET Replacement Switches to WBG Transistors in the Voltage Source Inverters as the Source of Radiation Noise. Energies. 2023; 16(2):870. https://doi.org/10.3390/en16020870
Chicago/Turabian StyleBernacki, Krzysztof, and Zbigniew Rymarski. 2023. "The Experimentally Measured Influence of the Si-MOSFET Replacement Switches to WBG Transistors in the Voltage Source Inverters as the Source of Radiation Noise" Energies 16, no. 2: 870. https://doi.org/10.3390/en16020870
APA StyleBernacki, K., & Rymarski, Z. (2023). The Experimentally Measured Influence of the Si-MOSFET Replacement Switches to WBG Transistors in the Voltage Source Inverters as the Source of Radiation Noise. Energies, 16(2), 870. https://doi.org/10.3390/en16020870
