Study on Heat Transfer Performance and Parameter Improvement of Gravity-Assisted Heat Pipe Heat Transfer Unit for Waste Heat Recovery from Mine Return Air
Abstract
:1. Introduction
2. Principle of Gravity-Assisted Heat Pipes and the Physical Model of Heat Transfer Unit
3. Heat Transfer Model
3.1. Thermal Resistance Model for Heat Transfer of a Single Tube
3.2. Enthalpy-Based Model for Heat Transfer Calculation
3.3. Overall Heat Transfer Efficiency
3.4. Air-Resistant Force Calculation Model
4. Engineering Testing
4.1. Engineering Parameter
4.2. Test Instruments
4.3. Test Content and Result Analysis
5. The Influence of Heat Tube Parameters on Heat Transfer Performance
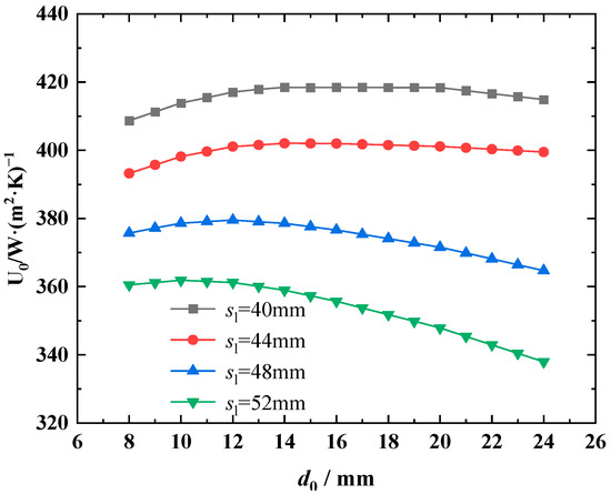
5.1. Effect of Tube Spacing and Finned Tube Outer Diameter
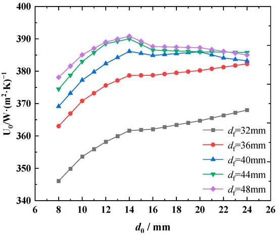
5.2. Effect of Tube Outer Diameter
6. Parameter Improvement of the Gravity-Assisted Pipe Heat Transfer Units
7. Conclusions
- (1)
- Based on the onsite test data and calculation results, it can be seen that there is significant improvement potential for utilizing the waste heat from mine return air as there were relatively high return air outlet temperatures and a relatively low overall heat efficiency. Moreover, under extreme weather conditions, there is a risk of ice formation on the last row of tubes during actual testing.
- (2)
- The effect of the heat tube outer diameter, tube spacing, and the finned tube outer diameter on the air-resistant force, heat transfer thermal resistance, and the overall heat transfer coefficient of the heat transfer system was revealed.
- (3)
- The improvement of the heat pipe parameters was studied, and a parameter layout scheme with a high flow rate and a high number of tube rows was proposed for the heat pipe exchanger.
- (4)
- Further research on the heat transfer performance and the establishment of mathematical models for optimizing the design of heat pipe parameters will be the focus of the next study, and the optimal scheme for the heat transfer system also needs further engineering verification.
Author Contributions
Funding
Data Availability Statement
Acknowledgments
Conflicts of Interest
References
- Bai, E.; Guo, W.; Tan, Y.; Wu, D.; Zhang, Y.; Wen, P.; Ma, Z. Green coal mining and water clean utilization under Neogene aquifer in Zhaojiazhai coalmine of central China. J. Clean. Prod. 2022, 368, 133134. [Google Scholar] [CrossRef]
- Guo, J.; Zhang, Y.J.; Zhang, K.B. The key sectors for energy conservation and carbon emissions reduction in China: Evidence from the input-output method. J. Clean. Prod. 2018, 179, 180–190. [Google Scholar] [CrossRef]
- Kalantari, H.; Amiri, L.; Ghoreishi-Madiseh, S.A. Analysis of the performance of direct contact heat exchange systems for application in mine waste heat recovery. Int. J. Energy Res. 2022, 46, 290–307. [Google Scholar]
- Baidya, D.; de Brito, M.A.R.; Sasmito, A.P.; Ghoreishi-Madiseh, S.A. Diesel generator exhaust heat recovery fully-coupled with intake air heating for off-grid mining operations: An experimental, numerical, and analytical evaluation. Int. J. Min. Sci. Technol. 2022, 32, 155–169. [Google Scholar] [CrossRef]
- Zeng, C.; Liu, S.; Shukla, A. A review on the air-to-air heat and mass exchanger technologies for building applications. Renew. Sustain. Energy Rev. 2017, 75, 753–774. [Google Scholar] [CrossRef]
- Zhu, G.; Bao, L.; Zhao, X.; Wang, J.; Zhang, C. Design optimization of ethylene glycol interwall heat exchange wellhead antifreeze system in Yindonggou Coal Mine. Saf. Coal Mines 2022, 53, 140–145. [Google Scholar]
- Dobson, R.T. Theoretical and experimental modelling of an open oscillatory heat pipe including gravity. Int. J. Therm. Sci. 2004, 43, 113–119. [Google Scholar] [CrossRef]
- Tian, E.; He, Y.L.; Tao, W.Q. Research on a new type waste heat recovery gravity heat pipe exchanger. Appl. Energy 2017, 188, 586–594. [Google Scholar] [CrossRef]
- Zhang, L.Y.; Liu, Y.Y.; Guo, X.; Meng, X.Z.; Jin, L.W.; Zhang, Q.L.; Hu, W.J. Experimental investigation and economic analysis of gravity heat pipe exchanger applied in communication base station. Appl. Energy 2017, 194, 499–507. [Google Scholar] [CrossRef]
- Lv, X.Y.; Li, Y.N.; Bao, L.L. Research on application of recovering low temperature residual heat from mine air based on heat pipe heat transfer technology. Coal Technol. 2019, 38, 117–120. [Google Scholar]
- Xin, S.; Zhang, Z.P. Research on separate-type heat pipe recovery technology of mine return air waste heat. Min. Res. Dev. 2020, 40, 160–164. [Google Scholar]
- Adrian, Ł.; Szufa, S.; Piersa, P.; Mikołajczyk, F. Numerical Model of Heat Pipes as an Optimization Method of Heat Exchangers. Energies 2021, 14, 7647. [Google Scholar] [CrossRef]
- Yan, K.; Li, N.; Wu, Y.; Xie, R. Analysis of condensation flow pattern and heat transfer of a cryogenic loop heat pipe with different heating powers. J. Therm. Sci. Eng. Appl. 2022, 14, 054501. [Google Scholar] [CrossRef]
- Huang, W.; Chen, J.; Cen, J.; Cao, W.; Li, Z.; Li, F.; Jiang, F. Heat extraction from hot dry rock by super-long gravity heat pipe: Effect of key parameters. Energy 2022, 248, 123527. [Google Scholar] [CrossRef]
- Du, J.; Wu, X.; Li, R.; Cheng, R. Numerical simulation and optimization of mid-temperature heat pipe exchanger. Fluid Dyn. Mater. Process. 2019, 15, 77–87. [Google Scholar] [CrossRef]
- Song, C.H.; Lee, D.Y.; Ro, S.T. Cooling enhancement in an air-cooled finned heat exchanger by thin water film evaporation. Int. J. Heat Mass Transf. 2003, 46, 1241–1249. [Google Scholar] [CrossRef]
- Li, W.; Wu, X.Y.; Luo, Z.; Webb, R.L. Falling water film evaporation on newly-designed enhanced tube bundles. Int. J. Heat Mass Transf. 2011, 54, 2990–2997. [Google Scholar] [CrossRef]
- Xiao, L.; Wu, T.; Feng, S.; Du, X. Experimental study on heat transfer enhancement of wavy finned flat tubes by water spray cooling. Int. J. Heat Mass Transf. 2017, 110, 383–392. [Google Scholar] [CrossRef]
- Zhang, Q. Study on Heat and Mass Transfer Mechanism and Calculation Method of Evaporative Air Cooler with Finned Tubes Under Dry and Wet Conditions. Ph.D. Thesis, East China University Science Technology, Shanghai, China, 2019; pp. 50–84. [Google Scholar] [CrossRef]
- Zhang, Q.; Yao, D.B.; Gong, W.H. Recovery and heat exchange effect of mine return air waste heat with different heat exchangers. Coal Eng. 2021, 53, 35–39. [Google Scholar]
- Lu, Y.Z.; Bao, L.L.; Zhao, X.; Luo, J.H.; Wang, J.G. Heat transfer of mine heat pipe heat exchanger in dehumidifying conditions. Coal Eng. 2022, 54, 165–170. [Google Scholar]
- Lv, X.Y.; Zhai, Y.; Zhao, X. Application of coal mine wellhead heating based on integrated heat pipe heat exchanging. Coal Eng. 2021, 53, 57–61. [Google Scholar]
- Wang, K.H.; Zhao, D.X.; Luo, J.H.; Liu, H. Design and application of heat pipe self-balanced ventilation thermal energy system. Min. Saf. Environ. Prot. 2021, 48, 92–96. [Google Scholar]
- Hesselgreaves, J.E. Rationalisation of second law analysis of heat exchangers. Int. J. Heat Mass Transf. 2000, 43, 4189–4204. [Google Scholar] [CrossRef]
- Hu, W.L.; Ma, A.J.; Guan, Y.; Cui, Z.J.; Zhang, Y.B.; Wang, J. Experimental study of the air side performance of fin-and-tube heat exchanger with different fin material in dehumidifying conditions. Energies 2021, 14, 7030. [Google Scholar] [CrossRef]
- Zhai, Y.; Zhao, X.; Dong, Z. Research on Performance Optimization of Gravity Heat Pipe for Mine Return Air. Energies 2022, 15, 8449. [Google Scholar] [CrossRef]
- Kim, L.; Choi, J.H.; Jang, S.H.; Shin, M.W. Thermal analysis of LED array system with heat pipe. Thermochim. Acta 2007, 455, 21–25. [Google Scholar] [CrossRef]
- Teaching and Research Department of Thermal Engineering and Fluid Mechanics, Shanghai Institute of Mechanical Engineering. Heat release law of gas cross swept finned tube clusters (circular fins). Chem. Gen. Mach. 1976, 5, 10–21. [Google Scholar]
- Webb, R.L. Air-side heat transfer in finned tube heat exchangers. Heat Transf. Eng. 1980, 1, 33–49. [Google Scholar] [CrossRef]
- Pirompugd, W.; Wongwises, S.; Wang, C. A tube-by-tube reduction method for simultaneous heat and mass transfer characteristics for plain fin-and-tube heat exchangers in dehumidifying conditions. Heat Mass Transf. 2005, 41, 756–765. [Google Scholar] [CrossRef]
- Bump, T.R. Average Temperatures in Simple Heat Exchangers. J. Heat Transf. 1963, 85, 182. [Google Scholar] [CrossRef]
- Pirompugd, W.; Wang, C.C.; Wongwises, S. Finite circular fin method for heat and mass transfer characteristics for plain fin-and-tube heat exchangers under fully and partially wet surface conditions. Int. J. Heat Mass Transf. 2007, 50, 552–565. [Google Scholar] [CrossRef]










| Application Case | Case 1 | Case 2 | Case 3 | Case 4 |
|---|---|---|---|---|
| Extreme temperature in winter/°C | −15.3 | −32.6 | −31.5 | −33.1 |
| Return air temperature/°C | 16.2 | 15.2 | 18.3 | 16.5 |
| Relative humidity of return air/% | 65 | 85 | 90 | 85 |
| Return air volume/m3·min−1 | 1030 | 924 | 675 | 1000 |
| Inlet air volume/m3·min−1 | 694 | 865 | 539 | 500 |
| Cross-sectional area of return air/m2 | 1.75 × 2 | 2 × 2 | 1.75 × 2 | 1.5 × 2 |
| Cross-sectional area of inlet air/m2 | 1.75 × 2 | 2 × 2.5 | 1.75 × 2 | 1.5 × 2 |
| Instrument Name | Model | Measurement Range | Measurement Uncertainty | Testing Function |
|---|---|---|---|---|
| Thermocouple | Type T | −200~+200 °C | ±0.1 °C | Fresh air temperature measurement |
| Multi-channel Temperature Tester | TR230X | −40~70 °C | ±0.1 °C | Used in conjunction with thermocouples |
| HOBO Temperature and Humidity Tester | U12-013 | −20~70 °C 5~95% RH | Temperature: ±0.1 °C Humidity: ±2% | Temperature and humidity of mine return air measurement |
| Intelligent Wind Speed and Air Volume Meter | HT-628 | 0~10 m/s | ±0.1 m/s | Wind speed measurement |
| Test Condition | Case 1 | Case 2 | Case 3 | Case 4 |
|---|---|---|---|---|
| Return air volume Gh/kg·s−1 | 18.88 | 16.94 | 12.38 | 18.33 |
| Return air inlet temperature Tah,in/°C | 16.2 | 15.2 | 18.3 | 16.5 |
| Relative humidity at return air inlet RHah,in/% | 65 | 85 | 90 | 85 |
| Fresh air volume Gc/kg·s−1 | 12.72 | 15.86 | 9.88 | 9.17 |
| Fresh air inlet temperature Tac,in/°C | −15.3 | −28.6 | −31.5 | −28.1 |
| Return air outlet temperature Tah,out/°C | 9.8 | 4.2 | 5.1 | 9.4 |
| Relative humidity at return air outlet RHah,in/% | 82 | 90 | 92 | 90 |
| Fresh air outlet temperature Tac,out/°C | 0.5 | −2.6 | 2.8 | 2.9 |
| Heat absorption in return air section/kW | 202.99 | 430.95 | 339.28 | 333.05 |
| Heat absorption in fresh air section/kW | 185.78 | 416.48 | 366.94 | 350.1 |
| Test error/% | 8.47 | 3.36 | 8.15 | 5.12 |
| Overall heat transfer efficiency/% | 22.28 | 56.7 | 55.35 | 41.45 |
| Thermal resistance/K·W−1 | 8.16 × 10−3 | 4.93 × 10−3 | 5.66 × 10−3 | 6.44 × 10−3 |
| Total surface heat transfer coefficient of the heat pipe U0/W·m2 k−1 | 354.6 | 442.71 | 432.93 | 390.35 |
| Parameters | Fin Wall Thickness, Δ, mm | Fin Pitch, dY, mm | Tube Outer Diameter, d0, mm | Tube Wall Thickness, C, mm |
|---|---|---|---|---|
| Condensing section | 0.5 | 4 | 22 | 1 |
| Evaporation section | 0.5 | 4 | 22 | 1 |
| Parameter Scheme No. | Tube Spacing, sl, mm | Finned Tube Outer Diameter, df, mm | Tube Outer Diameter, mm | Number of Tube Rows |
|---|---|---|---|---|
| 1 | 50 | 46 | 22 | 12 |
| 2 | 40 | 38 | 16 | 16 |
| 3 | 40 | 38 | 19 | 12 |
| 4 | 35 | 33 | 16 | 16 |
Disclaimer/Publisher’s Note: The statements, opinions and data contained in all publications are solely those of the individual author(s) and contributor(s) and not of MDPI and/or the editor(s). MDPI and/or the editor(s) disclaim responsibility for any injury to people or property resulting from any ideas, methods, instructions or products referred to in the content. |
© 2023 by the authors. Licensee MDPI, Basel, Switzerland. This article is an open access article distributed under the terms and conditions of the Creative Commons Attribution (CC BY) license (https://creativecommons.org/licenses/by/4.0/).
Share and Cite
Zhai, Y.; Zhao, X.; Xue, G.; Dong, Z. Study on Heat Transfer Performance and Parameter Improvement of Gravity-Assisted Heat Pipe Heat Transfer Unit for Waste Heat Recovery from Mine Return Air. Energies 2023, 16, 6148. https://doi.org/10.3390/en16176148
Zhai Y, Zhao X, Xue G, Dong Z. Study on Heat Transfer Performance and Parameter Improvement of Gravity-Assisted Heat Pipe Heat Transfer Unit for Waste Heat Recovery from Mine Return Air. Energies. 2023; 16(17):6148. https://doi.org/10.3390/en16176148
Chicago/Turabian StyleZhai, Yu, Xu Zhao, Guanghui Xue, and Zhifeng Dong. 2023. "Study on Heat Transfer Performance and Parameter Improvement of Gravity-Assisted Heat Pipe Heat Transfer Unit for Waste Heat Recovery from Mine Return Air" Energies 16, no. 17: 6148. https://doi.org/10.3390/en16176148
APA StyleZhai, Y., Zhao, X., Xue, G., & Dong, Z. (2023). Study on Heat Transfer Performance and Parameter Improvement of Gravity-Assisted Heat Pipe Heat Transfer Unit for Waste Heat Recovery from Mine Return Air. Energies, 16(17), 6148. https://doi.org/10.3390/en16176148

