Release of Sulfur and Chlorine Gas Species during Combustion and Pyrolysis of Walnut Shells in an Entrained Flow Reactor
Abstract
1. Introduction
2. Material and Methods
2.1. Fuel Characterization
2.2. Entrained Flow Reactor
2.3. Measuring Techniques
2.4. Determination of Sulfur and Chlorine Release
2.5. Experimental Procedure
3. Results and Discussion
3.1. Pyrolysis in Nitrogen and Gasification Carbon Dioxide Atmosphere
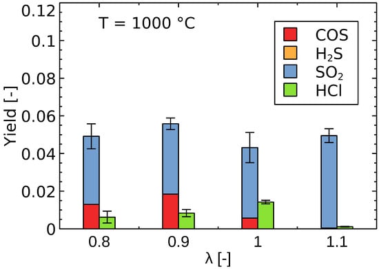
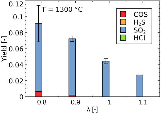
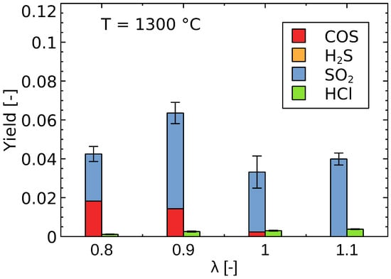
3.2. Combustion under Air and Oxy-Fuel Conditions
4. Conclusions
Author Contributions
Funding
Data Availability Statement
Acknowledgments
Conflicts of Interest
Abbreviations
| Roman | |
| Al2O3 | Aluminium oxide |
| CaO | Calciumoxid |
| CaCO3 | Calcium carbonate |
| CaCl2 | Calcium dichloride |
| CaS | Calcium sulfide |
| Cl | Sodium |
| CH3Cl | Chloromethane |
| CH4S | Methanethiol |
| C2H5Cl | Chloroethane |
| CO2 | Carbon dioxide |
| COS | Carbonyl sulfide |
| CaSO3 | Calcium sulfite |
| CS2 | Carbon disulfide |
| CaSO4 | Calcium sulfate |
| FeO | Iron oxide |
| FeCl2 | Iron dichloride |
| H2 | Hydrogen |
| H2O | Water |
| H2S | Hydrogen sulfide |
| HCl | Hydrogen chloride |
| K | Potassium |
| KCl | Potassium chloride |
| K2CO3 | Dipotassium carbonate |
| K2O | Dipotassium oxide |
| K2SO4 | Dipotassium sulfate |
| Fuel mass flow (kg s) | |
| MgO | Magnesium oxide |
| Molar mass flow rate (mol s) | |
| N2 | Nitrogen |
| NaCl | Sodium chloride |
| O2 | Oxygen |
| p | Pressure (bar) |
| R | Universal gas constant (8.314 J mol K) |
| S | Sulfur |
| SO2 | Sulfur dioxide |
| SiO2 | Quartz |
| T | Temperature (°C) |
| Combined standard uncertainty | |
| Uncertainty of the individual measurands | |
| Volume flow (m3 s) | |
| Chlorine content of the fuel (%) | |
| Sulfur content of the fuel (%) | |
| x | Volume fraction (%) |
| y | Yield (-) |
| Greek | |
| Standard deviation | |
| Stoichiometric ratio (-) | |
| Abbreviations | |
| amu | Atomic mass unit |
| BECCUS | Bioenergy carbon capture, utilization and storage |
| CCUS | Carbon capture, utilization and storage |
| EFR | Entrained flow reactor |
| FG | Flue gas |
| MV | Measured value |
| MEA | Monoethanolamine scrubbing |
| m/z | Mass to charge ratio |
| WNS | Walnut shell |
| PTFE | Polytetrafluoroethylene |
References
- United Nations Framework Convention on Climate Change. Paris Agreement; United Nations: New York, NY, USA, 2015. [Google Scholar]
- Allen, M.; Antwi-Agyei, P.; Aragon-Durand, F.; Babiker, M.; Bertoldi, P.; Bind, M.; Brown, S.; Buckeridge, M.; Camilloni, I.; Cartwright, A.; et al. Technical Summary: Global Warming of 1.5 °C. An IPCC Special Report on the Impacts of Global Warming of 1.5 °C above Pre-Industrial Levels and Related Global Greenhouse Gas Emission Pathways, in the Context of Strengthening the Global Response to the Threat of Climate Change, Sustainable Development, and Efforts to Eradicate Poverty; Intergovernmental Panel on Climate Change: Geneva, Switzerland, 2019. [Google Scholar]
- Birol, F.; Cozzi, L.; Gould, T.; Bouckaert, S.; Kim, T.Y.; McNamara, K.; Wanner, B.; McGlade, C.; Olejarnik, P.; Adam, Z. World Energy Outlook 2019; International Energy Agency: Paris, France, 2019. [Google Scholar]
- Gough, C.; Thornley, P.; Mander, S.; Vaughan, N.; Lea-Langton, A. Biomass Energy and Carbon Capture and Storage (BECCS): Unlocking Negative Emissions, 1st ed.; Wiley: Hoboken, NJ, USA, 2018. [Google Scholar]
- Solano Rodriguez, B.; Drummond, P.; Ekins, P. Decarbonizing the EU energy system by 2050: An important role for BECCS. Clim. Policy 2017, 17, S93–S110. [Google Scholar] [CrossRef]
- Johansen, J.M.; Jakobsen, J.G.; Frandsen, F.J.; Glarborg, P. Release of K, Cl, and S during Pyrolysis and Combustion of High-Chlorine Biomass. Energy Fuels 2011, 25, 4961–4971. [Google Scholar] [CrossRef]
- Wei, X.; Schnell, U.; Hein, K. Behaviour of gaseous chlorine and alkali metals during biomass thermal utilisation. Fuel 2005, 84, 841–848. [Google Scholar] [CrossRef]
- Stanger, R.; Wall, T.; Spörl, R.; Paneru, M.; Grathwohl, S.; Weidmann, M.; Scheffknecht, G.; McDonald, D.; Myöhänen, K.; Ritvanen, J.; et al. Oxyfuel combustion for CO2 capture in power plants. Int. J. Greenh. Gas Control 2015, 40, 55–125. [Google Scholar] [CrossRef]
- Nielsen, H.P.; Frandsen, F.J.; Dam-Johansen, K.; Baxter, L.L. The implications of chlorine-associated corrosion on the operation of biomass-fired boilers. Prog. Energy Combust. Sci. 2000, 26, 283–298. [Google Scholar] [CrossRef]
- Coda, B.; Aho, M.; Berger, R.; Hein, K.R.G. Behavior of Chlorine and Enrichment of Risky Elements in Bubbling Fluidized Bed Combustion of Biomass and Waste Assisted by Additives. Energy Fuels 2001, 15, 680–690. [Google Scholar] [CrossRef]
- Van Lith, S.C.; Frandsen, F.J.; Montgomery, M.; Vilhelmsen, T.; Jensen, S.A. Lab-scale Investigation of Deposit-induced Chlorine Corrosion of Superheater Materials under Simulated Biomass-firing Conditions. Part 1: Exposure at 560 °C. Energy Fuels 2009, 23, 3457–3468. [Google Scholar] [CrossRef]
- Knudsen, J.N.; Jensen, P.A.; Lin, W.; Frandsen, F.J.; Dam-Johansen, K. Sulfur Transformations during Thermal Conversion of Herbaceous Biomass. Energy Fuels 2004, 18, 810–819. [Google Scholar] [CrossRef]
- Dayton, D.C.; Jenkins, B.M.; Turn, S.Q.; Bakker, R.R.; Williams, R.B.; Belle-Oudry, D.; Hill, L.M. Release of Inorganic Constituents from Leached Biomass during Thermal Conversion. Energy Fuels 1999, 13, 860–870. [Google Scholar] [CrossRef]
- Knudsen, J.N.; Jensen, P.A.; Dam-Johansen, K. Transformation and Release to the Gas Phase of Cl, K, and S during Combustion of Annual Biomass. Energy Fuels 2004, 18, 1385–1399. [Google Scholar] [CrossRef]
- Lang, T.; Jensen, A.D.; Jensen, P.A. Retention of Organic Elements during Solid Fuel Pyrolysis with Emphasis on the Peculiar Behavior of Nitrogen. Energy Fuels 2005, 19, 1631–1643. [Google Scholar] [CrossRef]
- Telfer, M.A.; Zhang, D.K. Investigation of Sulfur Retention and the Effect of Inorganic Matter during Pyrolysis of South Australian Low-Rank Coals. Energy Fuels 1998, 12, 1135–1141. [Google Scholar] [CrossRef]
- Glarborg, P.; Marshall, P. Mechanism and modeling of the formation of gaseous alkali sulfates. Combust. Flame 2005, 141, 22–39. [Google Scholar] [CrossRef]
- Li, W.; Lu, H.; Chen, H.; Li, B. The volatilization behavior of chlorine in coal during its pyrolysis and CO2-gasification in a fluidized bed reactor. Fuel 2005, 84, 1874–1878. [Google Scholar] [CrossRef]
- Peng, B.; Li, X.; Luo, J.; Yu, X. Fate of Chlorine in Rice Straw under Different Pyrolysis Temperatures. Energy Fuels 2019, 33, 9272–9279. [Google Scholar] [CrossRef]
- Feng, C.; Zhang, M.; Wu, H. Trace Elements in Various Individual and Mixed Biofuels: Abundance and Release in Particulate Matter during Combustion. Energy Fuels 2018, 32, 5978–5989. [Google Scholar] [CrossRef]
- Mousavi, S.M.; Thorin, E.; Schmidt, F.M.; Sepman, A.; Bai, X.S.; Fatehi, H. Numerical Study and Experimental Verification of Biomass Conversion and Potassium Release in a 140 kW Entrained Flow Gasifier. Energy Fuels 2023, 37, 1116–1130. [Google Scholar] [CrossRef]
- He, Z.M.; Cao, J.P.; Zhao, X.Y. Review of Biomass Agglomeration for Fluidized-Bed Gasification or Combustion Processes with a Focus on the Effect of Alkali Salts. Energy Fuels 2022, 36, 8925–8947. [Google Scholar] [CrossRef]
- Meng, X.; Wang, Q.; Wan, B.; Xu, J.; Huang, Q.; Yan, J.; Tang, Y. Transformation of Phosphorus during Low-Temperature Co-Combustion of Sewage Sludge with Biowastes. ACS Sustain. Chem. Eng. 2021, 9, 3668–3676. [Google Scholar] [CrossRef]
- Frigge, L.; Elserafi, G.; Ströhle, J.; Epple, B. Sulfur and Chlorine Gas Species Formation during Coal Pyrolysis in Nitrogen and Carbon Dioxide Atmosphere. Energy Fuels 2016, 30, 7713–7720. [Google Scholar] [CrossRef]
- He, Z.; Lane, D.J.; Saw, W.L.; van Eyk, P.J.; Nathan, G.J.; Ashman, P.J. Ash–Bed Material Interaction during the Combustion and Steam Gasification of Australian Agricultural Residues. Energy Fuels 2018, 32, 4278–4290. [Google Scholar] [CrossRef]
- Von Bohnstein, M.; Yildiz, C.; Frigge, L.; Ströhle, J.; Epple, B. Simulation Study of the Formation of Corrosive Gases in Coal Combustion in an Entrained Flow Reactor. Energies 2020, 13, 4523. [Google Scholar] [CrossRef]
- Deng, C.; Liaw, S.B.; Wu, H. Characterization of Size-Segregated Soot from Pine Wood Pyrolysis in a Drop Tube Furnace at 1300 °C. Energy Fuels 2019, 33, 2293–2300. [Google Scholar] [CrossRef]
- Iisa, K.; Lu, Y.; Salmenoja, K. Sulfation of Potassium Chloride at Combustion Conditions. Energy Fuels 1999, 13, 1184–1190. [Google Scholar] [CrossRef]
- DIN 51718:2002-06; Testing of Solid Fuels—Determination of the Water Content and the Moisture of Analysis Sample. Beuth Verlag: Berlin, Germany, 2002. [CrossRef]
- DIN 51719:1997-07; Testing of Solid Fuels—Solid Mineral Fuels—Determination of Ash Content. Beuth Verlag: Berlin, Germany, 1997. [CrossRef]
- DIN 51720:2001-03; Testing of Solid Fuels—Determination of Volatile Matter Content. Beuth Verlag: Berlin, Germany, 2001. [CrossRef]
- DIN 51724-3:2012-07; Solid Mineral Fuels—Determination of Sulfur Content—Part 3: Instrumental Methods. Beuth Verlag: Berlin, Germany, 2012. [CrossRef]
- DIN 51727:2011-11; Testing of Solid Fuels—Determination of Chlorine Content. Beuth Verlag: Berlin, Germany, 2011. [CrossRef]
- Debiagi, P.; Yildiz, C.; Richter, M.; Ströhle, J.; Epple, B.; Faravelli, T.; Hasse, C. Experimental and modeling assessment of sulfur release from coal under low and high heating rates. Proc. Combust. Inst. 2021, 38, 4053–4061. [Google Scholar] [CrossRef]
- Frigge, L. Untersuchung der Freisetzung von Schwefel- und Chlorverbindungen während der Oxyfuel-Verbrennung von Kohle. Ph.D. Thesis, TU Darmstadt, Darmstadt, Germany, 2019. [Google Scholar]
- DIN 1319-4:1999-02; Fundamentals of Metrology—Part 4: Evaluation of Measurements; Uncertainty of Measurement. Beuth Verlag: Berlin, Germany, 1999. [CrossRef]
- Shao, D.; Hutchinson, E.J.; Heidbrink, J.; Pan, W.P.; Chou, C.L. Behavior of sulfur during coal pyrolysis. J. Anal. Appl. Pyrolysis 1994, 30, 91–100. [Google Scholar] [CrossRef]
- Attar, A. Chemistry, thermodynamics and kinetics of reactions of sulphur in coal-gas reactions: A review. Fuel 1978, 57, 201–212. [Google Scholar] [CrossRef]
- Khudenko, B.M.; Gitman, G.M.; Wechsler, T.E.P. Oxygen Based Claus Process for Recovery of Sulfur from H2S Gases. J. Environ. Eng. 1993, 119, 1233–1251. [Google Scholar] [CrossRef]
- Chardonneaua, M.; Ibrahim, S.; Gupta, A.K.; AlShoaibi, A. Role of Toluene and Carbon Dioxide on Sulfur Recovery Efficiency in a Claus Process. Energy Procedia 2015, 75, 3071–3075. [Google Scholar] [CrossRef]
- Tanner, J.; Bhattacharya, S.; Bläsing, M.; Müller, M. High-temperature pyrolysis and CO2 gasification of Victorian brown coal and Rhenish lignite in an entrained flow reactor. AIChE J. 2016, 62, 2101–2111. [Google Scholar] [CrossRef]
- Hildor, F.; Leion, H.; Mattisson, T. Steel Converter Slag as an Oxygen Carrier—Interaction with Sulfur Dioxide. Energies 2022, 15, 5922. [Google Scholar] [CrossRef]
- Tsubouchi, N.; Ohtsuka, S.; Nakazato, Y.; Ohtsuka, Y. Formation of Hydrogen Chloride during Temperature-Programmed Pyrolysis of Coals with Different Ranks. Energy Fuels 2005, 19, 554–560. [Google Scholar] [CrossRef]
- Jensen, P.A.; Frandsen, F.J.; Hansen, J.; Dam-Johansen, K.; Henriksen, N.; Hörlyck, S. SEM Investigation of Superheater Deposits from Biomass-Fired Boilers. Energy Fuels 2004, 18, 378–384. [Google Scholar] [CrossRef]
- Nielsen, H.; Baxter, L.; Sclippab, G.; Morey, C.; Frandsen, F.; Dam-Johansen, K. Deposition of potassium salts on heat transfer surfaces in straw-fired boilers: A pilot-scale study. Fuel 2000, 79, 131–139. [Google Scholar] [CrossRef]
- Robinson, A.L.; Junker, H.; Baxter, L.L. Pilot-Scale Investigation of the Influence of Coal-Biomass Cofiring on Ash Deposition. Energy Fuels 2002, 16, 343–355. [Google Scholar] [CrossRef]
- Allen, D.; Hayhurst, A.N. Kinetics of the reaction between gaseous sulfur trioxide and solid calcium oxide. J. Chem. Soc. Faraday Trans. 1996, 92, 1239–1242. [Google Scholar] [CrossRef]
- Deborah, A.; Allan, N.H. Reaction between gaseous sulfur dioxide and solid calcium oxide mechanism and kinetics. J. Chem. Soc. Faraday Trans. 1996, 92, 1227–1238. [Google Scholar] [CrossRef]
- Lehmusto, J.; Skrifvars, B.J.; Yrjas, P.; Hupa, M. Comparison of potassium chloride and potassium carbonate with respect to their tendency to cause high temperature corrosion of stainless 304L steel. Fuel Process. Technol. 2013, 105, 98–105. [Google Scholar] [CrossRef]















| C | [wt%] | daf a | 48.73 |
| N | [wt%] | daf | 0.15 |
| H | [wt%] | daf | 6.30 |
| S | [wt%] | daf | 0.04 |
| Cl | [wt%] | daf | 0.29 |
| O b | [wt%] | daf | 35.1 |
| Ash | [wt%] | dry | 0.64 |
| Water | [wt%] | aa c | 6.00 |
| Volatiles | [wt%] | daf | 81.07 |
| High heating value | [MJ kg] | dry | 20.51 |
| Al | [wt%] | ash | 0.16 |
| Ca | [wt%] | ash | 7.93 |
| Fe | [wt%] | ash | 0.21 |
| K | [wt%] | ash | 29.14 |
| Mg | [wt%] | ash | 1.33 |
| Na | [wt%] | ash | 1.63 |
| P | [wt%] | ash | 1.41 |
| Si | [wt%] | ash | 1.01 |
| Symbol | Uncertainty a | Note |
|---|---|---|
| max. 0.4% | Gas flow measurement | |
| MS measurement | ||
| MFC measurement | ||
| 3% MV | Standard of certified laboratory | |
| 3% MV | Standard of certified laboratory | |
| MS measurement | ||
| MS measurement | ||
| MS measurement | ||
| MS measurement |
| Trial Number | Atmosphere | [kg h] | [Normal mh] | [-] | T [°C] |
|---|---|---|---|---|---|
| 1 | 100% N2 | 0.15 | 2.5 | - | 1000 |
| 2 | 100% N2 | 0.15 | 2.5 | - | 1100 |
| 3 | 100% N2 | 0.15 | 2.5 | - | 1200 |
| 4 | 100% N2 | 0.15 | 2.5 | - | 1300 |
| 5 | 100% CO2 | 0.15 | 2.5 | - | 1000 |
| 6 | 100% CO2 | 0.15 | 2.5 | - | 1100 |
| 7 | 100% CO2 | 0.15 | 2.5 | - | 1200 |
| 8 | 100% CO2 | 0.15 | 2.5 | - | 1300 |
| 9 | 20.95% O2/79.05% N2 | 0.2 | 1.00 | 0.8 | 1000 |
| 10 | 20.95% O2/79.05% N2 | 0.2 | 1.13 | 0.9 | 1000 |
| 11 | 20.95% O2/79.05% N2 | 0.2 | 1.25 | 1.0 | 1000 |
| 12 | 20.95% O2/79.05% N2 | 0.2 | 1.38 | 1.1 | 1000 |
| 13 | 20.95% O2/79.05% CO2 | 0.2 | 1.00 | 0.8 | 1000 |
| 14 | 20.95% O2/79.05% CO2 | 0.2 | 1.13 | 0.9 | 1000 |
| 15 | 20.95% O2/79.05% CO2 | 0.2 | 1.25 | 1.0 | 1000 |
| 16 | 20.95% O2/79.05% CO2 | 0.2 | 1.38 | 1.1 | 1000 |
| 17 | 20.95% O2/79.05% N2 | 0.2 | 1.00 | 0.8 | 1300 |
| 18 | 20.95% O2/79.05% N2 | 0.2 | 1.13 | 0.9 | 1300 |
| 19 | 20.95% O2/79.05% N2 | 0.2 | 1.25 | 1.0 | 1300 |
| 20 | 20.95% O2/79.05% N2 | 0.2 | 1.38 | 1.1 | 1300 |
| 21 | 20.95% O2/79.05% CO2 | 0.2 | 1.00 | 0.8 | 1300 |
| 22 | 20.95% O2/79.05% CO2 | 0.2 | 1.13 | 0.9 | 1300 |
| 23 | 20.95% O2/79.05% CO2 | 0.2 | 1.25 | 1.0 | 1300 |
| 24 | 20.95% O2/79.05% CO2 | 0.2 | 1.38 | 1.1 | 1300 |
Disclaimer/Publisher’s Note: The statements, opinions and data contained in all publications are solely those of the individual author(s) and contributor(s) and not of MDPI and/or the editor(s). MDPI and/or the editor(s) disclaim responsibility for any injury to people or property resulting from any ideas, methods, instructions or products referred to in the content. |
© 2023 by the authors. Licensee MDPI, Basel, Switzerland. This article is an open access article distributed under the terms and conditions of the Creative Commons Attribution (CC BY) license (https://creativecommons.org/licenses/by/4.0/).
Share and Cite
Yildiz, C.; Richter, M.; Ströhle, J.; Epple, B. Release of Sulfur and Chlorine Gas Species during Combustion and Pyrolysis of Walnut Shells in an Entrained Flow Reactor. Energies 2023, 16, 5684. https://doi.org/10.3390/en16155684
Yildiz C, Richter M, Ströhle J, Epple B. Release of Sulfur and Chlorine Gas Species during Combustion and Pyrolysis of Walnut Shells in an Entrained Flow Reactor. Energies. 2023; 16(15):5684. https://doi.org/10.3390/en16155684
Chicago/Turabian StyleYildiz, Coskun, Marcel Richter, Jochen Ströhle, and Bernd Epple. 2023. "Release of Sulfur and Chlorine Gas Species during Combustion and Pyrolysis of Walnut Shells in an Entrained Flow Reactor" Energies 16, no. 15: 5684. https://doi.org/10.3390/en16155684
APA StyleYildiz, C., Richter, M., Ströhle, J., & Epple, B. (2023). Release of Sulfur and Chlorine Gas Species during Combustion and Pyrolysis of Walnut Shells in an Entrained Flow Reactor. Energies, 16(15), 5684. https://doi.org/10.3390/en16155684

