Next Article in Journal
An Experimental Study of High-Pressure Microscopy and Enhanced Oil Recovery with Nanoparticle-Stabilised Foams in Carbonate Oil Reservoir
Next Article in Special Issue
Virtual Inertia Control in Autonomous Microgrids via a Cascaded Controller for Battery Energy Storage Optimized by Firefly Algorithm and a Comparison Study with GA, PSO, ABC, and GWO
Previous Article in Journal
Performance Evaluation of Communication Infrastructure for Peer-to-Peer Energy Trading in Community Microgrids
Previous Article in Special Issue
Improved Virtual Synchronous Generator Principle for Better Economic Dispatch and Stability in Grid-Connected Microgrids with Low Noise
 
 
Font Type:
Arial Georgia Verdana
Font Size:
Aa Aa Aa
Line Spacing:
Column Width:
Background:
Article

Comparison amongst Lagrange, Firefly, and ABC Algorithms for Low-Noise Economic Dispatch and Reactive Power Compensation in Islanded Microgrids

Department of Electrical and Computer Engineering, University of Denver, Denver, CO 80210, USA
*
Author to whom correspondence should be addressed.
Energies 2023, 16(13), 5119; https://doi.org/10.3390/en16135119
Submission received: 9 June 2023 / Revised: 27 June 2023 / Accepted: 29 June 2023 / Published: 2 July 2023
(This article belongs to the Special Issue New Insights into Microgrids and Renewable Energy Systems)

Abstract

For the microgrids to operate securely, distributed generators must be able to interact with one another without experiencing any communication delays or noise. To develop a more effective economic dispatch strategy, this research focuses on noise’s effect on the performance of an islanded microgrid. Three different strategies, Lagrange, firefly, and artificial bee colony algorithms, are compared for optimal solutions of economic dispatch. Their performance is compared based on stability during noise interference and faster response time with and without the virtual synchronous generator-STATCOM strategy. The virtual synchronous generator is used as a voltage source to regulate active power and reactive power with the grid. A STATCOM controller is introduced in the system for reactive power compensation. Reactive power compensation is the process of controlling reactive power to enhance the efficiency of alternating current power systems. By boosting the active power, reactive power compensation in the transmission system will increase the stability of microgrids. The voltage, output power, power factor, and phase angle of the microgrid benefit from the stability provided by the controller. As a result, the performance and resilience of the microgrid is improved.

1. Introduction

In a microgrid with multiple power generators, economic dispatch is desirable so that the total operational costs are minimized while generating for a given demand. The economic dispatch (ED) problem has been solved in various ways by [1,2,3,4]. Various mathematically based optimization techniques, such as lambda iteration, gradient, Newton method, base-point participation factor method, and others, can be used to resolve economic dispatch [5]. Many researchers have also chosen to use hybrid techniques such as artificial intelligence and optimization techniques to solve economic dispatch. This improves one technique’s performance while using another to discover a superior answer. To address ED, the available optimization techniques to be utilized are genetic algorithm (GA), particle swarm optimization (PSO), differential evolution (DE), firefly algorithm (FA), artificial bee colony (ABC), etc. [6,7,8,9,10]. Consensus-based algorithms are studied in [5,11,12,13]. Demand side management was discussed and introduced in [14,15,16,17,18,19,20]. In [21,22,23,24], the effects of noise were discussed. The economic dispatch problem is solved in [25,26,27,28,29,30,31] without using a distributed system or central controller. In most islanded microgrids analysis, only active power is considered for stability. The reactive power irregularities and system noise conditions are hardly taken into account. This paper focuses on three algorithms, namely the Lagrange, firefly, and artificial bee colony algorithm in the presence of low, medium, and high levels of noise in the microgrid system. The Lagrange method was chosen due to its wide usage and for comparison with the least used firefly and ABC algorithms.
To compensate for voltage and phase angle instability, FACTS devices were mostly used. One of the many tools frequently used for this purpose is STATCOM. Shunt compensation is provided by STATCOM using a voltage source converter [32]. Another benefit is that it offers the system lower damping, fewer harmonics, better response, and an enhanced voltage profile [33]. Ref. [34] uses DSTATCOM with electric vehicles in microgrids to enhance its performance by stabilizing voltage and frequency profiles. In this study, a STATCOM controller is used to efficiently provide voltage stability and less phase angle fluctuations in an islanded mode of microgrid under a variety of noise situations. To give the system general stability, reactive power is included in the study.
Many researchers have studied the impact of the virtual synchronous generator (VSG) on islanded microgrids. The authors of [35] introduce two PI controllers to improve frequency response when a disturbance is introduced in the system. A novel frequency control method is introduced in [36] by designing an event-trigger condition that helps in frequency restoration. The authors of [37] proposed a distributed model predictive control strategy for islanded microgrids to restore voltage and frequency when disturbance happens. Furthermore, the authors of [38] introduced model predictive control for primary frequency regulation for load switching. Due to less stability in droop control, the VSG strategy is preferred.
Evaluation of Lagrange, firefly, and artificial bee colony algorithms was conducted for the following cases in this paper:
  • Incremental cost variation in microgrid using VSG—STATCOM for the noise level of 0.8.
  • Active power variation with and without VSG—STATCOM in the microgrid for noise levels of 0.0, 0.2, 0.5, and 0.8.
  • Reactive power variation with and without VSG—STATCOM in the microgrid for noise levels of 0.0, 0.2, 0.5, and 0.8.
The paper is categorized into sections as follows: Section 2 discusses microgrid structure. The economic dispatch problem using the Lagrange method, firefly, and artificial bee colony algorithm is defined in Section 3. Section 4 discusses a consensus-based noise-resilient economic dispatch strategy for distributed systems. Section 5 introduces the STATCOM controller. The VSG strategy is discussed in Section 6. Results and discussions are presented in Section 7 and conclusions are presented in Section 8 of this paper.

2. Structure of Microgrid

Microgrid is in islanded mode and has a steam turbine unit, a double-fed induction generator (DFIG) wind unit, and a solar/photovoltaic (PV) unit. It is assumed that the consumer load is of delta-connection type. Parameter values for the three generators (DFIG, PV, and steam turbine) used in this paper’s investigation are shown in Table 1. These data are from [39]. It also lists the units’ cost coefficients as well as their minimum and maximum power-generating limits.
Values for parameters are provided in Table 2 for the PI controller used in conjunction with the STATCOM. These data are from [39].
Table 3 lists the system’s specifications for the three-phase bridge inverter and LCL filter.
A single line diagram of the system is provided in Figure 1 as shown below to explain the system under study consisting of three generators (PV, wind turbine, and steam turbine). The power generated from the generators is first conditioned using a consensus-based algorithm to include noise and load variation. This conditioned power (VI) is then sent to the VSG control system and PI controller-based STATCOM. This optimal active power and compensated reactive power is then fed to SPWM. The conditioned power is sent to the loads via inverter and PCC.

3. Economic Dispatch

3.1. Lagrange Formulation [39]

To quantify the economic dispatch problem, we wish to reduce the microgrid’s generation costs. It is expressed using following equation, taking into account (1, 2, 3, …, k) units of generation:
min i = 1 k C i G i = m i n i = 1 k α i G i 2 + β i G i + γ i
where C i G i is the generator cost, α i , β i , and γ i are the cost coefficients, and G i is the generator’s total power output.
Additionally, the generator’s total electric output is [39]:
i = 1 k G i = G D + G l o s s ,   for   G i m i n < G i < G i m a x
where G D = total load; G l o s s = losses during power transmission; G i m i n = minimum generation limit of generator i; and G i m a x = maximum generation limit of generator i.
To calculate the Lagrangian function and incremental cost, the formulae are discussed in [40].

3.2. Firefly Algorithm

To solve holistic optimization problems, Xin-She Yang [41] developed the firefly algorithm (FA). The FA was created in response to firefly flashing activity. The algorithm introduces the following three ideal rules [41]: One firefly is drawn to another firefly regardless of its gender because (1) all fireflies are considered unisex; (2) attractiveness is inversely correlated to light brightness; thus, for any two fireflies that are flashing, the less bright one will always move toward the brighter fly; and (3) a firefly’s brightness is dependent on the outlook of the objective function. The brightness for maximizing problems can simply be proportional to the objective or fitness function’s value. Two principles of the firefly algorithm are (1) the variation in light intensity and (2) how attraction is established/formulated. We are free to presume that a firefly’s attraction is influenced by its brightness. The flowchart in Figure 2 showcases the incorporation of the firefly algorithm for the economic dispatch problem.

3.3. Artificial Bee Colony (ABC) Algorithm

The artificial bee colony (ABC) method is an optimization technique that replicates honey bee foraging behavior. It has been effectively used to solve several real-world issues. Developed by Karaboga in 2005 [42], ABC is a member of the class of swarm intelligence algorithms.
A group of honey bees known as a swarm can work together to complete tasks successfully. There are three different kinds of bees considered in this algorithm: employed bees, observer bees, and scout bees [42]. The employed bees look for food nearby the food source in their memories while also informing the observer bees about the food sources. The observer bees’ job is to select the food source with greater quality, i.e., fitness. Scout bees originate from a few employed bees. These are those employed bees that leave their food sources and look for new ones. The employed bees make up the first half of the swarm in the ABC algorithm, and the onlooker bees make up the other half.
The number of solutions in the swarm is equal to the number of employed or onlooker bees. The ABC algorithm creates an initial population of SN solutions (food sources). These are spread randomly. SN stands for swarm number. The ABC algorithms’ steps are described as follows [42]:
Step 1: Initialization Step. It generates a solution for a distributed population of a source of food. It is randomly generated and represented by swarm size. The following equation is the ith solution for a swarm for dimension size of n.
Si = {S1, S2, S3,…, Sn}; n = dimension size
Step 2: Employed bee stage. Every employed bee visits a food source during the employed bee phase and creates a neighboring food source close to the chosen food source. Employed bees search (around each food source) to find a new solution.
Xik = Sik + u(Sik − Sjk)
where Xj = candidate solution selected randomly, k = random dimension index Є (1, 2, …, n), and u = random number Є [−1, 1].
Step 3: Onlooker bee stage. This is based on a probability value. The food source is chosen by the onlooker bee. The following formula is used to determine the likelihood that onlooker bees would choose a food source:
p i = f i t n e s s i i = 1 F p f i t n e s s i
where pi = probability for food source selection, Fp = total food-source positions, and fitnessi = fitness value for solution i.
Step 4: Scout bee stage. In the case of step 2 and step 3 bee phases, if a food supply is not improved for a defined number of trials, the employed bee linked with that food source changes to scout bee status. The scout bee is then used to discover a fresh food supply.

4. Consensus-Based Strategy for Noise [24]

The communication link for the microgrid was created. Each generator has a corresponding agent that collects information from the unit to which it corresponds. All of the agents have data sharing and communication capabilities [24]. Our microgrid in islanded mode comprises three generation units, and the system has a total of three agents, each of whom is connected to a distinct generation unit. Agents exchange information that they have received, gathered, and processed with one another. We understand each unit’s present status thanks to this interaction. The information obtained from the agent(s) is utilized to change the output power from every unit in order to lower the total cost of the microgrid system. For this investigation, the sources of noise include interference from electric and magnetic fields, environmental noise, and noise from the grid’s components. Mechanical parts generate noise. Devices also produce harmonics and high-frequency switching noise. Noise is also a result of communication delays. This is taken into account when the load changes because the demand prediction has changed. The noises due to communication between units and between units and agents are also included in this method. They are modeled as Gaussian noise [29]. Communication links between agents are depicted as c12, c21, c23, c32, c31, c13. These communication links help share data between each agent about the incremental cost and output power generated from each unit. They help in deciding the optimal incremental cost and generation power for each unit to achieve economic dispatch.
Before exchanging a unit’s data with another agent, each agent calculates the corresponding incremental cost of that particular unit. The set point of output power is established using the data and provided to the appropriate generating units. The three units will change their generation capacity to reach equal incremental costs in order to address the economic dispatch issue. As a result, microgrid costs are decreased. The authors of [24,39,40] have equated as follows:
Є [ r + 1 ] = Є [ r ] + φ [ r ] M 1 Є [ r ] + W 1 C [ r ] M 1 = H GH W 1 = H G H = H 2 H 1
where Є [r] = IC of the unit at rth iteration, Є [r + 1] = IC of unit at (r + 1)th iteration, Φ[r] = step-size, G = n × n diagonal matrix, H1 and H2 = n × m matrix, and C[r] = noises’ communication link.
H 1 = 0 1 0 0 1 0 0 0 0 0 1 0 0 1 0 0 0 0 0 1 0 0 1 0 ;   H 2 = 1 0 0 0 0 1 0 0 0 1 0 0 0 0 1 0 0 0 1 0 0 0 0 1   and   H = 1 1 0 0 1 1 0 0 0 1 1 0 0 1 1 0 0 0 1 1 0 0 1 1 = H 2 H 1
  • G (0.2 noise level) = diag [0.2 0.2 0.2]
  • G (0.5 noise level) = diag [0.5 0.5 0.5]
  • G (0.8 noise level) = diag [0.8 0.8 0.8]
The equation is given as [40]:
Z avg [ n + 1 ] = 1 n + 1 j = 1 n + 1 Z [ j ] = 1 n + 1 j = 1 n z j + Z n + 1 1 n + 1   Z avg [ n ] + 1 n + 1 = Z avg [ n ] 1 n + 1 Z avg [ n ] + 1 n + 1 Z n + 1
Z[n + 1] = Z[n] + µ[n][P z[n] + WN[n]]
Z avg [ n + 1 ] = Z avg [ n ] + 1 n + 1
where Zavg[n + 1] are the desired IC set points for each unit.

5. STATCOM Controller Model

A static synchronous compensator/condenser is another name for STATCOM. It is a well-known technology for controlling voltage. It is a member of the flexible alternating current transmission system (FACTS) family, which is utilized to improve the controllability of the transmission system and helps increase power transfer capability. It accomplishes this by providing the microgrid with reactive power. In addition to STATCOM, a PI (proportional integral) controller is added. The system’s voltage flicker is lessened by the PI controller [43].
Although a static VAR compensator can be utilized to maintain voltage stability, STATCOM has a constant current characteristic at voltages below its predetermined low limit, giving it better qualities overall. STATCOMs are more expensive than static VAR compensation, but they also respond more quickly [44]. The STATCOM model with a PI controller is shown in Figure 3 below. α is the phase angle of the output voltage.
The reactive electricity needed to keep the microgrid in balance is provided by STATCOM. Due to fluctuating PV generation and wind generator output (caused by changing solar radiation and wind speed throughout the day), the balancing of the reactive power load is necessary. The following assumption is made when formulating the reactive power balancing equation: reactive power is fed into the bus by the STATCOM controller, PV unit, and steam turbine unit. Also, reactive power is fed to the load and DFIG that is received from the bus [39].
The reactive power balance equation is as follows:
Δ Q P V + Δ Q S T + Δ Q S T A T C O M = Δ Q L + Δ Q I G
The terminal voltage fluctuates in response to changes in the load or noise level, hence modifying the reactive power output of the various microgrid components. This alters the microgrid’s output voltage [32]:
Δ V ( s ) = K v 1 + s T v [ Δ Q P V ( s ) + Δ Q S T ( s ) + Δ Q S T A T C O M ( s ) Δ Q L ( s ) Δ Q I G ( s ) ]
where Δ Q P V = reactive power output for PV unit, Δ Q S T = reactive power output for steam turbine unit, Δ Q S T A T C O M = reactive power output for STATCOM controller, Δ Q L = reactive power output for consumer load, Δ Q I G = reactive power output for wind generator unit, and K v 1 + s T v = derivative of the reactive output power of various components with respect to time and voltage.
The main goal of this analysis is to lessen damping in the microgrid system and increase system stability in noisy conditions. A minimum increase in the system’s terminal voltage and less damping help to achieve a voltage stability margin. Some performance indices are utilized to reduce overshoot, rising time, settling time, and steady-state error of terminal voltage, including integral absolute error (IAE), integral time-weighted absolute error (ITAE), and integral square error (ISE). The square of the error is continuously integrated by ISE. Larger errors will incur greater penalties under ISE than smaller ones. As a result, there are quick responses accompanied by oscillations with a low amplitude.

6. Virtual Synchronous Generator (VSG) Strategy

The VSG control system [45] is a thorough system that integrates a number of modules to enable the efficient and effective management of power. The VSG strategy is in charge of modeling the system’s performance and determining its ideal power output. The frequency regulation module, voltage regulation module, grid-connected mode of control module, and SPWM modulation module are also included. A dependable and secure electricity management system is provided by the cooperation of all of these modules. Each modules’ detailed working is provided in [40].
Power electronic inverters have low system stability when subjected to disturbances and load fluctuations [46,47]. The control method is also established, and traditional SG rotation has a considerable output inductance and moment of inertia. By translating the outside properties of the microgrid into an SG, it is possible to compare the power supply of the microgrid to the primary mover. The energy storage system saves any remaining electricity generated by dispersed sources while the microgrid inverter’s inverter and filter modules deliver it to the load.
The second-order equation modeling of the SG is shown in [45]. As seen in Figure 4, the rotor motion model encourages system stability. It accomplishes this by adding J and D, where d is the corrective angle, when Pm and Pe are out of sync. Once the grid-connected signal SS has been transmitted, the frequency regulation module selects its reference value depending on the grid side frequency, fg, range. If the reference value comes within the expected range, it is chosen as fg; otherwise, it is chosen as fref. When the system is operating in island mode, fref is used as the reference value [40]. The power frequency co-efficient kp value is used by the frequency regulation module to set primary regulation. When necessary, the frequency regulation unit changes to secondary frequency regulation while operating.

7. Results and Discussions

Figure 5 describes the control system and techniques used for the system under study. IC is calculated using the three Lagrange, FA, and ABC algorithms. In accordance with this IC value, the three generating units generate active power for load demand. Before this power is fed to the PCC, its value is sent to the agents connected to each generation unit to improve the effect of noise using the consensus-based algorithm. Any change in the load demand is also implemented during this stem. If optimal IC is not met, then the units are sent a signal via the agents’ system to modify their generation output while satisfying their constraints. Once the optimal IC is reached, it is then sent to VSG (detailed control strategy is available in [40]) and the STATCOM controller to stabilize active power and compensate for reactive power, respectively. This stabilized power output is then sent to the loads via point of common coupling (PCC).
It is assumed that the initiating states of the STATCOM and VSG control techniques will be identical. They experience the same disturbance and stabilize after it reaches the steady-state condition. The optimization percentage Dn-s% and the difference offset ratio D1-0% are utilized as the criteria for evaluating the parameters. The ratio of the two offsets under the two defined methods to the initial value, or D1-0%, indicates how much the offset under the new approach has decreased in comparison to the offset under the standard technique. It is provided as [46]:
D 1 - 0 % = A 1 s A 0 A 1 n A 0 A 0 × 100 %
where A0 = initial value of the parameter, A1s = parameter’s value when the standard strategy is stable, and A1n = parameter’s value when the new strategy is stable.
D n - s % = ± A 1 s A 1 n A 1 s × 100 %
The parameter optimization of the new method in comparison to the traditional strategy is represented by Dn-s%. It is expressed as a percentage.
Where the relevant parameter’s character determines what ‘±’ means.
MATLAB is used for this study’s simulations. When there is no noise present in the system, the microgrid is initially evaluated. To assess how well the system performs in the absence of noise, the preceding section’s economic dispatch algorithms are used coupled with reactive power compensation. The system is subjected to noise with a level of 0.2 variance, comparing its performance. The noise level is raised to 0.5 variance during the third condition and to 0.8 variance during the final condition. With the inclusion of various noise levels, load variation at 0.3 s is introduced in the system. This load varies due to changes in the load demand. The output power of the three generator units seeks to preserve its ideal dispatch schedule in all instances. In different noise environments, Figure 6 compares the microgrid system’s terminal voltage with respect to time. As can be observed from the graph, the high noise level of 0.8 (purple legend) makes it difficult to stabilize the microgrid while it is in islanded mode. It takes about 35 s for the system to reach a steady-state value. Reactive power correction aids in a very quick system stabilization for low to medium noise levels. The system stabilizes in less than 20 s. By examining the graph’s red, black, and pink legends, which represent low, medium, and high noise variance, respectively, it is also possible to draw this conclusion. Figure 7, Figure 8 and Figure 9 compare incremental cost (IC) for the three generating units for noise level of 0.8. For the Lagrange method, it takes about 60 s to reach the optimal IC of 6 USD/kWh, Whereas in firefly and ABC algorithms, it takes about 55 s and 50 s, respectively, to reach the optimal value. The ABC algorithm outperforms the two in terms of IC in the islanded microgrid.
Figure 10, Figure 11, Figure 12 and Figure 13 compare the microgrid system’s voltage fluctuations with respect to time for the three different algorithms. The system is compared for all noise levels (no noise, 0.2, 0.5, and 0.8 noise variance) with and without a VSG control strategy. It can be concluded that for all cases, the inclusion of VSG helps control the fluctuations much faster. In most cases, it takes about 0.85 s to reach stability. However, it can be seen that the ABC algorithm (green legend) outperforms other algorithms and reaches stability faster in all noise variance. Also, the voltage fluctuations are observed to be low in the ABC algorithm compared to the firefly and Lagrange methods. It is also observed that most units reach 300 volts faster and with fewer fluctuations when the ABC-VSG strategy is used (green dashed line legend).
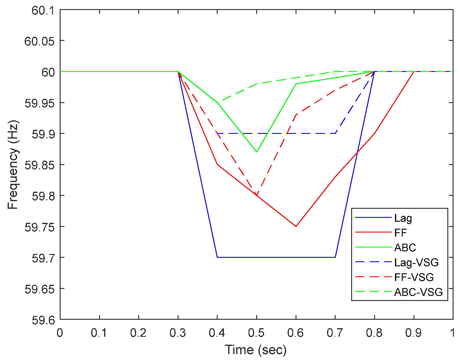
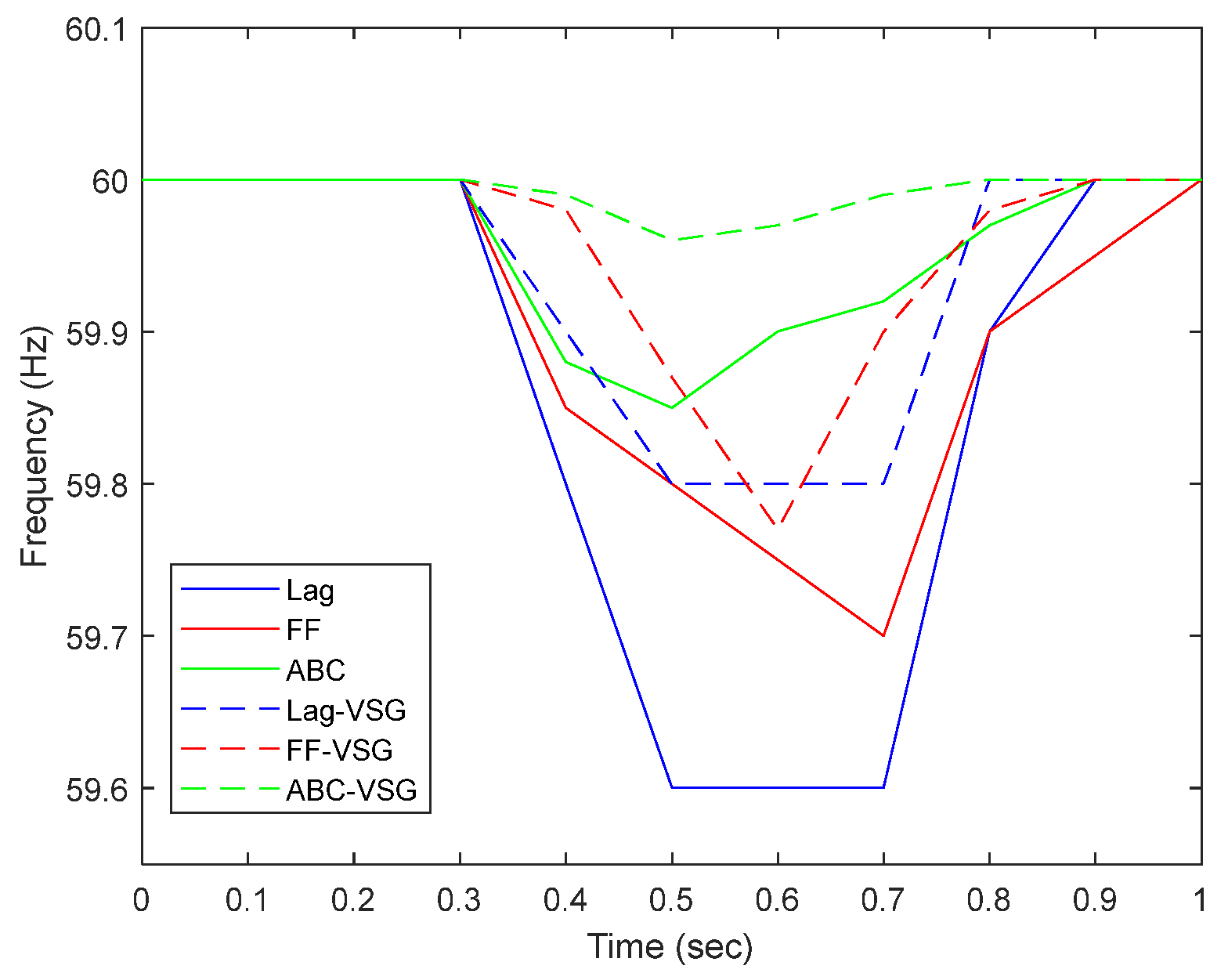
A similar conclusion can be drawn for frequency fluctuations from Figure 14, Figure 15, Figure 16 and Figure 17. The average time taken to reach 60 Hz frequency is about 0.75 s in the ABC algorithm when used with VSG for all noise variances. For other cases, the time taken to reach a stable value of 60 Hz is more, as seen from the graphs. Moreover, the frequency fluctuations are less for the ABC-VSG strategy (green dashed line legend).
Figure 18 compares the microgrid system’s active power fluctuations with respect to time using the Lagrange method. It is observed that there is more fluctuation in the system with higher noise variance. But the addition of VSG technology helps in the better transition of and much smoother functioning of the system. On average, it takes about 0.9 s for the system to stabilize. Similarly, it is observed from Figure 19 that a high noise level makes it difficult to stabilize the islanded microgrid for the firefly algorithm and takes about 1 s in most cases. Again, VSG performs better with this algorithm. ABC algorithm’s performance is shown in Figure 20; it can lower fluctuations for all noise variances at a faster rate of about 0.7 s on average than other algorithms, and it also performs better when used with the VSG control strategy.
Figure 21, Figure 22 and Figure 23 compare the reactive power response for all algorithms, and it can be concluded that with higher noise variances, it becomes difficult to manage reactive power compensation. However, with the STATCOM-VSG strategy, compensation performance increases in all three algorithms. It is observed that the Lagrange and ABC methods work slightly better than the firefly algorithm. It takes less than 1 s to compensate for reactive power in Lagrange and ABC algorithms. As seen from Figure 22, it will take more than 1 s for the system to compensate for the optimal reactive power value of 8 kVar. In all cases, it was observed that the ABC algorithm response rate is higher than the Lagrange and firefly algorithms.
Table 4 provides the initial values to calculate the difference offset ratio for Lagrange formulation. As demonstrated in Figure 10, Figure 11, Figure 12 and Figure 13, the output voltage under the VSG control strategy decreases from 300 volts when a variable load is attached, but the voltage fluctuates less with the VSG-STATCOM strategy for all noise levels. A similar finding for frequency is drawn from Figure 14, Figure 15, Figure 16 and Figure 17 for frequency. With the VSG strategy, the output active power is 14 kW, and the output reactive power is 10 kVar. The differential offset ratio D1-0% for different algorithms is shown in Table 4, Table 5 and Table 6 for both scenarios with and without VSG. The tables’ results show that using the STATCOM-VSG technique for all system noise variations results in greater reactive power compensation. The difference offset ratio for voltage is 2% in the Lagrange method, 0.83% in the firefly algorithm, and 0.5% in the ABC algorithm. For the frequency parameter, it is 0.67% in Lagrange, 0.33% in firefly, and 0.13% in the ABC algorithm. Similarly, for active and reactive power, the difference offset ratio is the least in the ABC algorithm and highest in the Lagrange method. A settling time of 0.79 s was found to be least in the ABC algorithm. The firefly algorithm settles at 0.92 s, whereas the Lagrange method settles at 0.9 s. The settling time is observed to be less with the VSG strategy. Similarly, maximum overshoot is least for the ABC algorithm with a value of 12.8 kW. Hence, it can be ascertained that the difference in the offset ratio for various parameters is found to be the least in the artificial bee colony algorithm. Thus, it provides a much more secure, stable, cost-effective, and efficient functionality for microgrids.

8. Conclusions

The three discussed algorithms were utilized in this study to examine how the microgrid operates in islanded mode for various noise levels while also providing reactive power compensation. In a shorter time period, it drives the units to the desired incremental cost value. The ABC algorithm reaches 6 USD/kWh IC in about 50 s, whereas the other two algorithms take about a minute to reach this value. In case of voltage fluctuations, 300 V is reached faster in the ABC algorithm (in 0.75 s). For frequency, it takes between 0.75 s and 0.9 s for various noise levels. With a higher noise level of 0.8, it takes longer for frequency to reach 60 Hz for all three algorithms. The ABC algorithm provides a faster response of an average of 0.75 s. Similarly for active power and reactive power, the ABC algorithm takes less than a second to reach their ideal value, whereas it takes longer for the other two methods to reach the desired value. With the inclusion of the VSG control strategy, the system can stabilize much faster in the event of noise and load changes, as seen from the results section. In islanded mode, the performance of the VSG control strategy with the STATCOM controller on voltage, frequency, active power, and reactive power parameters is better.
It can also be concluded that the ABC algorithm performs the best among the other algorithms discussed in this paper. It has a quicker response and less fluctuations for all four parameters. Hence, the ABC algorithm is most suitable for economic dispatch solution with noise, and it provides a reliable and stable islanded microgrid system.

Author Contributions

Conceptualization, S.S. and D.W.G.; methodology, S.S.; software, S.S.; validation, S.S. and D.W.G.; formal analysis, S.S.; investigation, S.S. and D.W.G.; resources, D.W.G.; data curation, D.W.G.; writing—original draft preparation, S.S.; writing—review and editing, S.S. and D.W.G.; visualization, S.S.; supervision, D.W.G.; project administration, D.W.G.; funding acquisition, D.W.G. All authors have read and agreed to the published version of the manuscript.

Funding

Research received no external funding.

Data Availability Statement

Data is unavailable due to privacy or ethical restrictions.

Acknowledgments

The noise-less consensus-based economic dispatch algorithm was created in [24], and its performance for islanded microgrids was examined. To the best of the authors’ knowledge, no other researchers have examined the impact of this method on islanded microgrids for reactive power compensation using VSG and different economic-dispatch-based algorithms discussed in this paper.

Conflicts of Interest

The authors declare no conflict of interest.

Abbreviations

ABCArtificial bee colony
DEDifferential evolution
DFIGDouble-fed induction generator
EDEconomic dispatch
FAFirefly algorithm
FACTSFlexible alternating current transmission system
GAGenetic algorithm
IAEIntegral absolute error
ICIncremental cost
ISEIntegral square error
ITAEIntegral time-weighted absolute error
PIProportional integral
PSOParticle swarm optimization
PVPhotovoltaic
SGSynchronous generator
SPWMSinusoidal pulse width modulation
STATCOMStatic synchronous compensator
VSGVirtual synchronous generator

References

  1. Liu, D.; Cai, Y. Taguchi method for solving the economic dispatch problem with nonsmooth cost functions. IEEE Trans. Power Syst. 2005, 20, 2006–2014. [Google Scholar] [CrossRef]
  2. Park, J.B.; Jeong, Y.W.; Shin, J.R.; Lee, K. An improved particle swarm optimization for nonconvex economic dispatch problems. IEEE Trans. Power Syst. 2010, 25, 156–166. [Google Scholar] [CrossRef]
  3. Guo, T.; Henwood, M.; Van Ooijen, M. An algorithm for combined heat and power economic dispatch. IEEE Trans. Power Syst. 1996, 11, 1778–1784. [Google Scholar] [CrossRef]
  4. Fan, J.Y.; Zhang, L. Real-time economic dispatch with line flow and emission constraints using quadratic programming. IEEE Trans. Power Syst. 1998, 13, 320–325. [Google Scholar] [CrossRef]
  5. Olfati-Saber, R.; Murray, R.M. Consensus problems in networks of agents with switching topology and time-delays. IEEE Trans. Autom. Control 2004, 49, 1520–1533. [Google Scholar] [CrossRef]
  6. Panigrahi, T.K.; Sahoo, A.K.; Behera, A. A review on application of various heuristic techniques to combined economic and emission dispatch in a modern power system scenario. Energy Procedia 2017, 13, 458–463. [Google Scholar] [CrossRef]
  7. Afandi, A.N. Optimal scheduling power generations using HSABC algorithm considered a new penalty factor approach. In Proceedings of the 2nd IEEE Conference on Power Engineering and Renewable Energy (ICPERE), Bali, Indonesia, 9–11 December 2014; pp. 13–18. [Google Scholar]
  8. Shang, Y.; Lu, S.; Gong, J.; Liu, R.; Li, X.; Fan, Q. Improved genetic algorithm for economic load dispatch in hydropower plants and comprehensive performance comparison with dynamic programming method. J. Hydrol. 2017, 554 (Suppl. C), 306–316. [Google Scholar] [CrossRef]
  9. Afandi, A.N. Solving Combined Economic and Emission Dispatch Using Harvest Season Artificial Bee Colony Algorithm Considering Food Source Placements and Modified Rates. Int. J. Electr. Eng. Inform. 2014, 6, 267. [Google Scholar] [CrossRef]
  10. Afandi, A.N.; Fadlika, I.; Andoko, A. Comparing Performances of Evolutionary Algorithms on the Emission Dispatch and Economic Dispatch Problem. TELKOMNIKA Telecommun. Comput. Electron. Control 2015, 13, 1187–1193. [Google Scholar] [CrossRef]
  11. Ren, W.; Beard, R.W.; Atkins, E.M. Information consensus in multivehicle cooperative control. IEEE Control Syst. Mag. 2007, 27, 71–82. [Google Scholar]
  12. Jadbabaie, A.; Lin, J.; Morse, A.S. Coordination of groups of mobile autonomous agents using nearest neighbor rules. IEEE Trans. Autom. Control 2005, 50, 169–182. [Google Scholar]
  13. Moreau, L. Stability of multiagent systems with time-dependent communication links. IEEE Trans. Autom. Control 2005, 50, 169–182. [Google Scholar] [CrossRef]
  14. Ma, Y.; Zhang, W.; Liu, W.; Yang, Q. Fully distributed social welfare optimization with line flow constraint consideration. IEEE Trans. Ind. Inform. 2015, 11, 1532–1540. [Google Scholar] [CrossRef]
  15. Rahbari-Asr, N.; Ojha, U.; Zhang, Z.; Chow, M.Y. Incremental welfare consensus algorithm for cooperative distributed generation/demand response in smart grid. IEEE Trans. Smart Grid 2014, 5, 2836–2845. [Google Scholar] [CrossRef]
  16. Xu, Y.; Li, Z. Distributed optimal resource management based on consensus algorithm in a microgrid. IEEE Trans. Ind. Electron. 2015, 62, 2584–2592. [Google Scholar] [CrossRef]
  17. Xu, Y.; Yang, Z.; Gu, W.; Li, M.; Deng, Z. Robust real-time distributed optimal control based energy management in a smart grid. IEEE Trans. Smart Grid 2017, 8, 1568–1579. [Google Scholar] [CrossRef]
  18. Zheng, W.; Wu, W.; Zhang, B.; Lin, C. Distributed optimal residential demand response considering operational constraints of unbalanced distribution networks. IET Gener. Transm. Distrib. 2018, 12, 1970–1979. [Google Scholar] [CrossRef]
  19. Guo, F.; Wen, C.; Li, Z. Distributed optimal energy scheduling based on a novel PD pricing strategy in smart grid. IET Gener. Transm. Distrib. 2017, 11, 2075–2084. [Google Scholar] [CrossRef]
  20. Rahbari-Asr, N.; Zhang, Y.; Chow, M.Y. Consensus-based distributed scheduling for cooperative operation of distributed energy resources and storage devices in smart grids. IET Gener. Transm. Distrib. 2016, 10, 1268–1277. [Google Scholar] [CrossRef]
  21. Abhinav, S.; Schizas, I.D.; Lewis, F.L.; Davoudi, A. Distributed noise-resilient networked synchrony of active distribution systems. IEEE Trans. Smart Grid 2018, 9, 836–846. [Google Scholar] [CrossRef]
  22. Abhinav, S.; Schizas, I.D.; Ferrese, F.; Davoudi, A. Optimization-based Ac microgrid synchronization. IEEE Trans. Ind. Inform. 2017, 13, 2339–2349. [Google Scholar] [CrossRef]
  23. Dehkordi, N.M.; Baghaee, H.R.; Sadati, N.; Guerrero, J.M. Distributed noise-resilient secondary voltage and frequency control for islanded microgrids. IEEE Trans. Smart Grid 2018, 10, 3780–3790. [Google Scholar] [CrossRef]
  24. Chen, F.; Chen, M.; Xu, Z.; Guerrero, J.M.; Wang, L.Y. Distributed Noise-resilient economic dispatch strategy for islanded microgrids. IET Gener. Transm. Distrib. 2019, 13, 3029–3039. [Google Scholar] [CrossRef]
  25. Yazdanian, M.; Mehrizi-Sani, A. Distributed control techniques in microgrids. IEEE Trans. Smart Grid 2014, 5, 2901–2909. [Google Scholar] [CrossRef]
  26. Molzahn, D.K.; Dörfler, F.; Sandberg, H.; Low, S.H.; Chakrabarti, S.; Baldick, R.; Lavaei, J. A survey of distributed optimization and control algorithms for electric power systems. IEEE Trans. Smart Grid 2017, 8, 2941–2962. [Google Scholar] [CrossRef]
  27. Han, Y.; Zhang, K.; Li, H.; Coelho EA, A.; Guerrero, J.M. MAS-based distributed coordinated control and optimization in microgrid and microgrid clusters: A comprehensive review. IEEE Trans. Power Electron. 2018, 33, 6488–6508. [Google Scholar] [CrossRef]
  28. Xu, T.; Wu, W.; Sun, H.; Wang, L. Fully distributed multi-area dynamic economic dispatch method with second-order convergence for active distribution networks. IET Gener. Transm. Distrib. 2017, 11, 3955–3965. [Google Scholar] [CrossRef]
  29. Kouveliotis-Lysikatos, I.; Hatziargyriou, N. Fully distributed economic dispatch of distributed generators in active distribution networks considering losses. IET Gener. Transm. Distrib. 2017, 11, 627–636. [Google Scholar] [CrossRef]
  30. Zheng, W.; Wu, W.; Zhang, B.; Li, Z.; Liu, Y. Fully distributed multi-area economic dispatch method for active distribution networks. IET Gener. Transm. Distrib. 2015, 9, 1341–1351. [Google Scholar] [CrossRef]
  31. Bansal, R.C. Three-phase self excited induction generators: An overview. IEEE Trans. Energy Convers. 2005, 20, 292–299. [Google Scholar] [CrossRef]
  32. Lee, D.; Li, W. Small signal stability analysis of an autonomous hybrid renewable energy power generation/energy storage system time domain simulations. IEEE Trans. Energy Convers. 2008, 23, 311–320. [Google Scholar] [CrossRef]
  33. Murthy, S.S.; Malik, O.P.; Tandon, A.K. Analysis of self-excited induction generator. IEEE Proc. C—Gener. Transm. Distrib. 1982, 129, 260–265. [Google Scholar] [CrossRef]
  34. Kamel, O.M.; Diab, A.A.Z.; Mahmoud, M.M.; Al-Sumaiti, A.S.; Sultan, H.M. Performance Enhancement of an Islanded Microgrid with the Support of Electrical Vehicle and STATCOM Systems. Energies 2023, 16, 1577. [Google Scholar] [CrossRef]
  35. Khan, M.K.R.; Kundu, P. Modified VSG Scheme for Secondary Frequency Regulation in Islanded Microgrid. In Proceedings of the 9th IEEE International Conference on Power Systems (ICPS), Kharagpur, India, 16–18 December 2021; pp. 1–6. [Google Scholar]
  36. Feng, K.; Liu, C. Distributed Hierarchical Control for Fast Frequency Restoration in VSG-Controlled Islanded Microgrids. IEEE Open J. Ind. Electron. Soc. 2022, 3, 496–506. [Google Scholar] [CrossRef]
  37. Feng, K.; Liu, C. Multi-Rate Sampling Control Design and Stability Analysis for Frequency and Voltage Regulation in Islanded Microgrids. IEEE Trans. Sustain. Energy 2023, 14, 704–716. [Google Scholar] [CrossRef]
  38. Liu, T.; Chen, A.; Gao, F.; Liu, X.; Li, X.; Hu, S. Double-Loop Control Strategy With Cascaded Model Predictive Control to Improve Frequency Regulation for Islanded Microgrids. IEEE Trans. Smart Grid 2022, 13, 3954–3967. [Google Scholar] [CrossRef]
  39. Singh, S.; Gao, D.W. Noiseless Consensus based Algorithm for Economic Dispatch problem in Grid-connected Microgrids to enhance Stability among Distributed Generators. In Proceedings of the North American Power Symposium (NAPS), Wichita, KS, USA, 13–15 October 2019; pp. 1–5. [Google Scholar]
  40. Singh, S.; Gao, D.W. Improved Virtual Synchronous Generator Principle for Better Economic Dispatch and Stability in Grid-Connected Microgrids with Low Noise. Energies 2023, 16, 4670. [Google Scholar] [CrossRef]
  41. Yang, X.-S. Firefly algorithms for multimodal optimization. In Stochastic Algorithms: Foundations and Applications, Proceedings of the 5th International Symposium, SAGA 2009, Sapporo, Japan, 26–28 October 2009; Springer: Berlin/Heidelberg, Germany, 2009; Volume 5792, pp. 169–178. [Google Scholar]
  42. Karaboga, D.; An Idea based on Honey Bee Swarm for Numerical Optimization. Erciyes University, Engineering Faculty, Computer Engineering Department. Technical Report-TR06. 2005, pp. 1–10. Available online: https://abc.erciyes.edu.tr/pub/tr06_2005.pdf (accessed on 20 May 2023).
  43. Padiyar, K.R. FACTS Controlling in Power Transmission System and Distribution; New Age International Publishers: New Delhi, India, 2007. [Google Scholar]
  44. Mohanty, A.; Viswavandya, M.; Mishra, D.; Ray, P.K.; Patra, S.; Sthitapragyan, M. An optimized STATCOM controller for voltage stability and reactive power compensation in anisolated microgrid. In Proceedings of the IEEE Power, Communication and Information Technology Conference, Bhubaneswar, India, 15–17 October 2015. [Google Scholar]
  45. Wang, K.; Qi, C.; Huang, X. Large disturbance stability evaluation of interconnected multi-inverter power grids with VSG model. J. Eng. 2017, 2017, 2483–2488. [Google Scholar] [CrossRef]
  46. Hua, L.I.; Rui-Zheng, G.U. Research on Grid-connected control and simulation of microgrid inverter based on VSG. In Proceedings of the China International Conference on Electricity Distribution (CICED), Tianjin, China, 17–19 September 2018. [Google Scholar]
  47. Mišković, M.; Mirošević, M.; Milković, M. Analysis of synchronous generator angular stability depending on the choice of the excitation system. Angew. Chem. 2009, 39, 4555. [Google Scholar] [CrossRef]
Figure 1. Single line diagram of system under study [40].
Figure 1. Single line diagram of system under study [40].
Energies 16 05119 g001
Figure 2. Flowchart for ED solution using FA.
Figure 2. Flowchart for ED solution using FA.
Energies 16 05119 g002
Figure 3. PI-controlled STATCOM transfer function model.
Figure 3. PI-controlled STATCOM transfer function model.
Energies 16 05119 g003
Figure 4. VSG control strategy block diagram.
Figure 4. VSG control strategy block diagram.
Energies 16 05119 g004
Figure 5. System network figure.
Figure 5. System network figure.
Energies 16 05119 g005
Figure 6. Terminal voltage comparisons for all noise levels.
Figure 6. Terminal voltage comparisons for all noise levels.
Energies 16 05119 g006
Figure 7. Comparison of incremental cost of units using Lagrange method with VSG-STATCOM strategy.
Figure 7. Comparison of incremental cost of units using Lagrange method with VSG-STATCOM strategy.
Energies 16 05119 g007
Figure 8. Comparison of incremental cost of units using FA algorithm with VSG-STATCOM strategy.
Figure 8. Comparison of incremental cost of units using FA algorithm with VSG-STATCOM strategy.
Energies 16 05119 g008
Figure 9. Comparison of incremental cost of units using ABC algorithm with VSG-STATCOM strategy.
Figure 9. Comparison of incremental cost of units using ABC algorithm with VSG-STATCOM strategy.
Energies 16 05119 g009
Figure 10. Comparison of voltage fluctuations for no noise with and without VSG.
Figure 10. Comparison of voltage fluctuations for no noise with and without VSG.
Energies 16 05119 g010
Figure 11. Comparison of voltage fluctuations for 0.2 noise level with and without VSG.
Figure 11. Comparison of voltage fluctuations for 0.2 noise level with and without VSG.
Energies 16 05119 g011
Figure 12. Comparison of voltage fluctuations for 0.5 noise level with and without VSG.
Figure 12. Comparison of voltage fluctuations for 0.5 noise level with and without VSG.
Energies 16 05119 g012
Figure 13. Comparison of voltage fluctuations for 0.8 noise level with and without VSG.
Figure 13. Comparison of voltage fluctuations for 0.8 noise level with and without VSG.
Energies 16 05119 g013
Figure 14. Comparison of frequency fluctuations for no noise condition with and without VSG.
Figure 14. Comparison of frequency fluctuations for no noise condition with and without VSG.
Energies 16 05119 g014
Figure 15. Comparison of frequency fluctuations for 0.2 noise level with and without VSG.
Figure 15. Comparison of frequency fluctuations for 0.2 noise level with and without VSG.
Energies 16 05119 g015
Figure 16. Comparison of frequency fluctuations for 0.5 noise level with and without VSG.
Figure 16. Comparison of frequency fluctuations for 0.5 noise level with and without VSG.
Energies 16 05119 g016
Figure 17. Comparison of frequency fluctuations for 0.8 noise level with and without VSG.
Figure 17. Comparison of frequency fluctuations for 0.8 noise level with and without VSG.
Energies 16 05119 g017
Figure 18. Active power for all noise variances with and without VSG for Lagrange method.
Figure 18. Active power for all noise variances with and without VSG for Lagrange method.
Energies 16 05119 g018
Figure 19. Active power for all noise variances with and without VSG for firefly algorithm.
Figure 19. Active power for all noise variances with and without VSG for firefly algorithm.
Energies 16 05119 g019
Figure 20. Active power for all noise variances with and without VSG for ABC algorithm.
Figure 20. Active power for all noise variances with and without VSG for ABC algorithm.
Energies 16 05119 g020
Figure 21. Reactive power for all noise variances with and without VSG for Lagrange method.
Figure 21. Reactive power for all noise variances with and without VSG for Lagrange method.
Energies 16 05119 g021
Figure 22. Reactive power for all noise variances with and without VSG for firefly algorithm.
Figure 22. Reactive power for all noise variances with and without VSG for firefly algorithm.
Energies 16 05119 g022
Figure 23. Reactive power for all noise variances with and without VSG for ABC algorithm.
Figure 23. Reactive power for all noise variances with and without VSG for ABC algorithm.
Energies 16 05119 g023
Table 1. List of parameters for generators [39]. Reprinted/adapted with permission from Ref. [5578240399056]. 2023, Shruti Singh.
Table 1. List of parameters for generators [39]. Reprinted/adapted with permission from Ref. [5578240399056]. 2023, Shruti Singh.
UnitGmin (kW)Gmax (kW)αβγ
1 (PV)4180.0702.1556
2 (Wind)8400.0801.1550
3 (Steam)5250.0703.341
Table 2. Parameter values [39]. Reprinted/adapted with permission from Ref. [5578240399056]. 2023, Shruti Singh.
Table 2. Parameter values [39]. Reprinted/adapted with permission from Ref. [5578240399056]. 2023, Shruti Singh.
System ParameterPI Controller
Kp61
Ki13,000
IAE960
ISE23
ITAE16
Rise time0.09
Overshoot0.02
Table 3. List of components.
Table 3. List of components.
ComponentsValues
L16 mH
L21.5 mH
C6 micro-F
J0.15 kg·m2
Kp, kU800 kW/Hz, 0.8 Hz/kVar
PWM freq25 kHz
P at constant load10 kW
Q at constant load8 kVar
ra0.05 ohm
Xd0.05 H
P variable5 kW
Q variable3 kVar
Table 4. Difference offset ratio for Lagrange method.
Table 4. Difference offset ratio for Lagrange method.
ParametersInitial ValueWithout VSGWith VSGD1-0%
Voltage300 V292 V298 V2%
Frequency60 Hz59.4 Hz59.8 Hz0.67%
Active power10 kW13.3 kW14 kW7%
Reactive power8 kVar10.5 kVar10 kVar−6.25%
Settling time (power)-0.95 s0.9 s-
Max. overshoot (power)-14.8 kW14.4 kW-
Table 5. Difference offset ratio for firefly algorithm.
Table 5. Difference offset ratio for firefly algorithm.
ParametersInitial ValueWithout VSGWith VSGD1-0%
Voltage300 V296 V298.5 V0.83%
Frequency60 Hz59.75 Hz59.95 Hz0.33%
Active power10 kW13.5 kW14 kW5%
Reactive power8 kVar11.1 kVar10.7 kVar−5%
Settling time (power)-0.98 s0.92 s-
Max. overshoot (power)-14.9 kW14.5 kW-
Table 6. Difference offset ratio for ABC algorithm.
Table 6. Difference offset ratio for ABC algorithm.
ParametersInitial ValueWithout VSGWith VSGD1-0%
Voltage300 V298 V299.5 V0.5%
Frequency60 Hz59.9 Hz59.98 Hz0.13%
Active power10 kW13.85 kW14.25 kW4%
Reactive power8 kVar11.5 kVar11.2 kVar−3.75%
Settling time (power)-0.86 s0.79 s-
Max. overshoot (power)-13.5 kW12.8 kW-
Disclaimer/Publisher’s Note: The statements, opinions and data contained in all publications are solely those of the individual author(s) and contributor(s) and not of MDPI and/or the editor(s). MDPI and/or the editor(s) disclaim responsibility for any injury to people or property resulting from any ideas, methods, instructions or products referred to in the content.

Share and Cite

MDPI and ACS Style

Singh, S.; Gao, D.W. Comparison amongst Lagrange, Firefly, and ABC Algorithms for Low-Noise Economic Dispatch and Reactive Power Compensation in Islanded Microgrids. Energies 2023, 16, 5119. https://doi.org/10.3390/en16135119

AMA Style

Singh S, Gao DW. Comparison amongst Lagrange, Firefly, and ABC Algorithms for Low-Noise Economic Dispatch and Reactive Power Compensation in Islanded Microgrids. Energies. 2023; 16(13):5119. https://doi.org/10.3390/en16135119

Chicago/Turabian Style

Singh, Shruti, and David Wenzhong Gao. 2023. "Comparison amongst Lagrange, Firefly, and ABC Algorithms for Low-Noise Economic Dispatch and Reactive Power Compensation in Islanded Microgrids" Energies 16, no. 13: 5119. https://doi.org/10.3390/en16135119

APA Style

Singh, S., & Gao, D. W. (2023). Comparison amongst Lagrange, Firefly, and ABC Algorithms for Low-Noise Economic Dispatch and Reactive Power Compensation in Islanded Microgrids. Energies, 16(13), 5119. https://doi.org/10.3390/en16135119

Note that from the first issue of 2016, this journal uses article numbers instead of page numbers. See further details here.

Article Metrics

Back to TopTop