A Novel Solution for Solving the Frequency Regulation Problem of Renewable Interlinked Power System Using Fusion of AI
Abstract
:1. Introduction
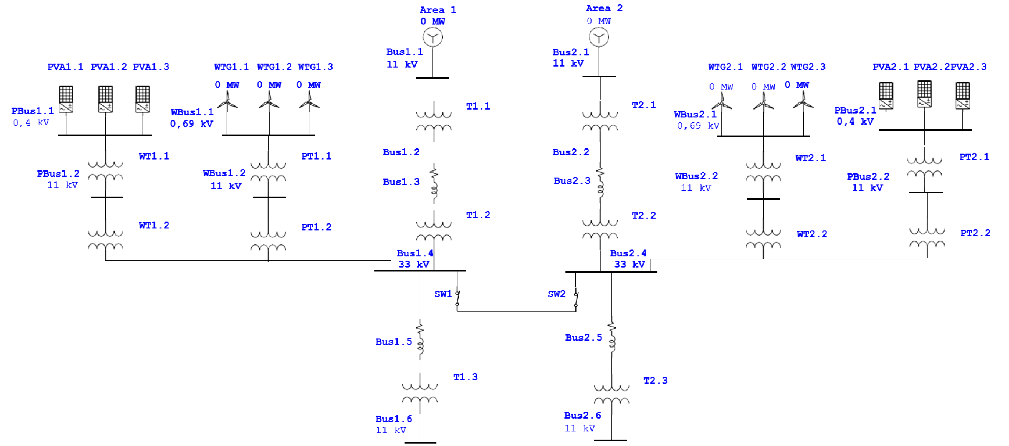
- To model a two-area interlinked power system with coal-based generation and with an equal capacity for each area. These systems’ areas are connected via an AC tie-line.
- To model the solar PV model in the transfer function domain and to interlink it in the coal-based power system. To model the wind system with DFIG and to use this model to assist in frequency excursion of the power system.
- To interlink the concept of Fuzzy Type-2 with fractional-order PID and result in a Fuzzy Type-2 FOPID for a renewable integrating power system. The proposed design is tested for various cases, including and without including non-linearity, and the application results are shown graphically to demonstrate the benefits of the proposed research work.
2. Modeling of Renewable Interlinked Power System
2.1. Interlinked Power System with Wind and Solar Energy Systems
2.2. Solar PV System
- = Output current of PV array;
- = Array current generated by the incident sunlight;
- = Reverse saturation current of the PV array;
- = Output voltage of the PV array;
- = Equivalent series resistance of the array;
- = Equivalent parallel resistance of the array;
- = Diode quality factor (ranging 0–2);
- = Boltzmann constant (1.380649 × 10−23 m2 kg s−2 K−1);
- = Temperature (°C or K).
- = Irradiance (0–2500 W/m2);
- = Short-circuit current.

- = Inductance (H);
- = Capacitance (F);
- = Resistance (Ω);
- = Output voltage (V);
- = Photovoltaic voltage (V).
- = Current in the inductor (A).


2.3. Wind Turbine System
3. Modeling of Fuzzy Type-2 FOPID Controller
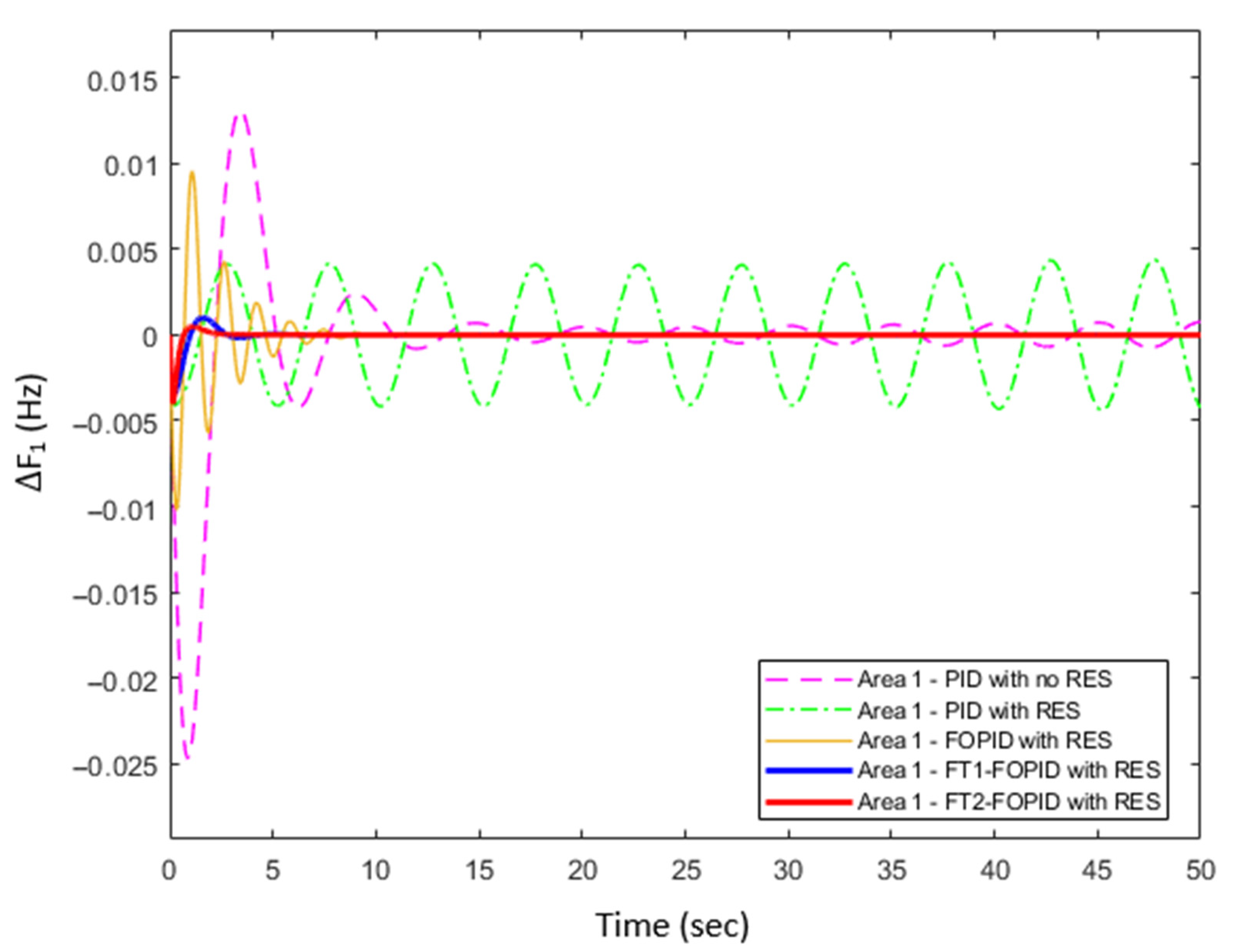
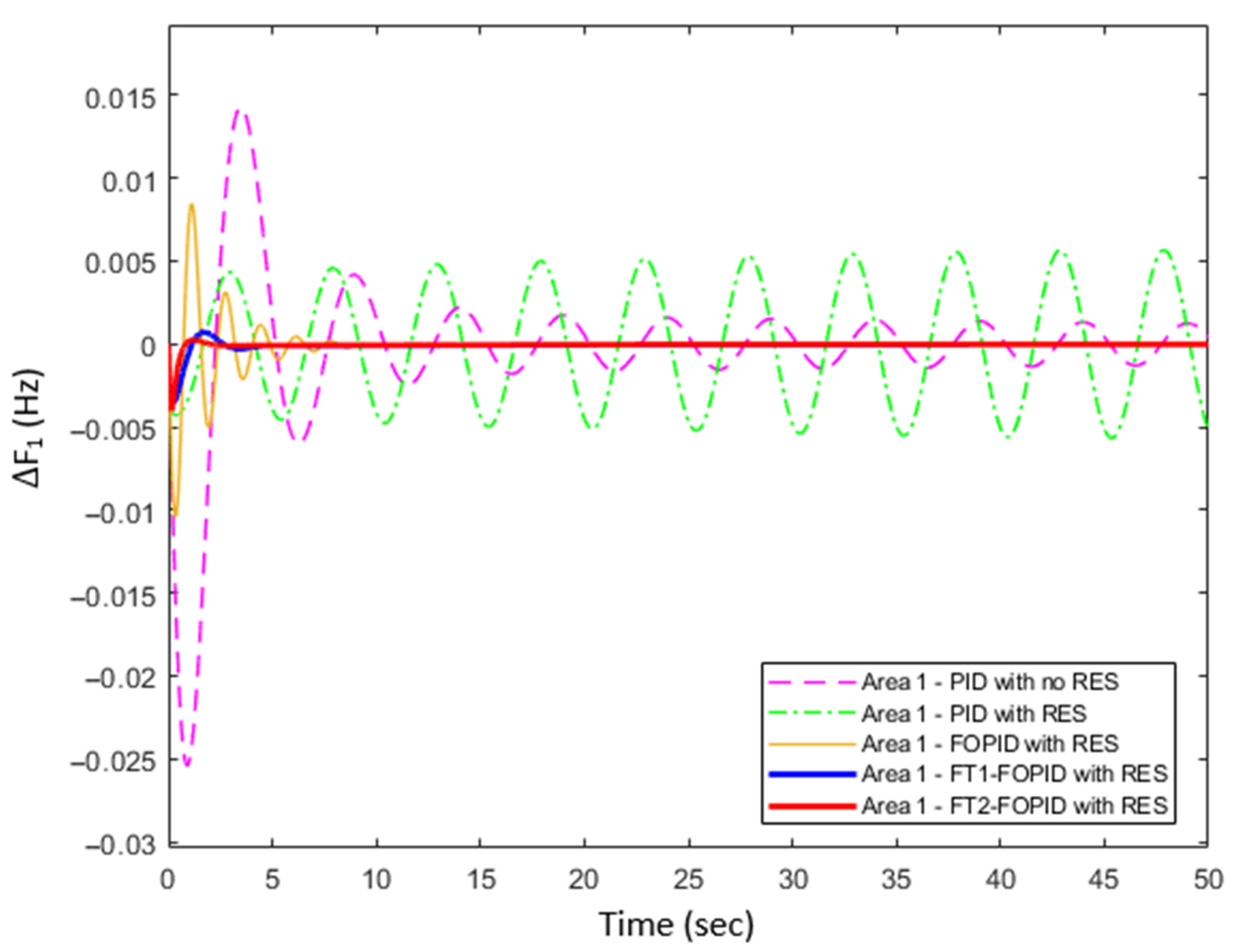
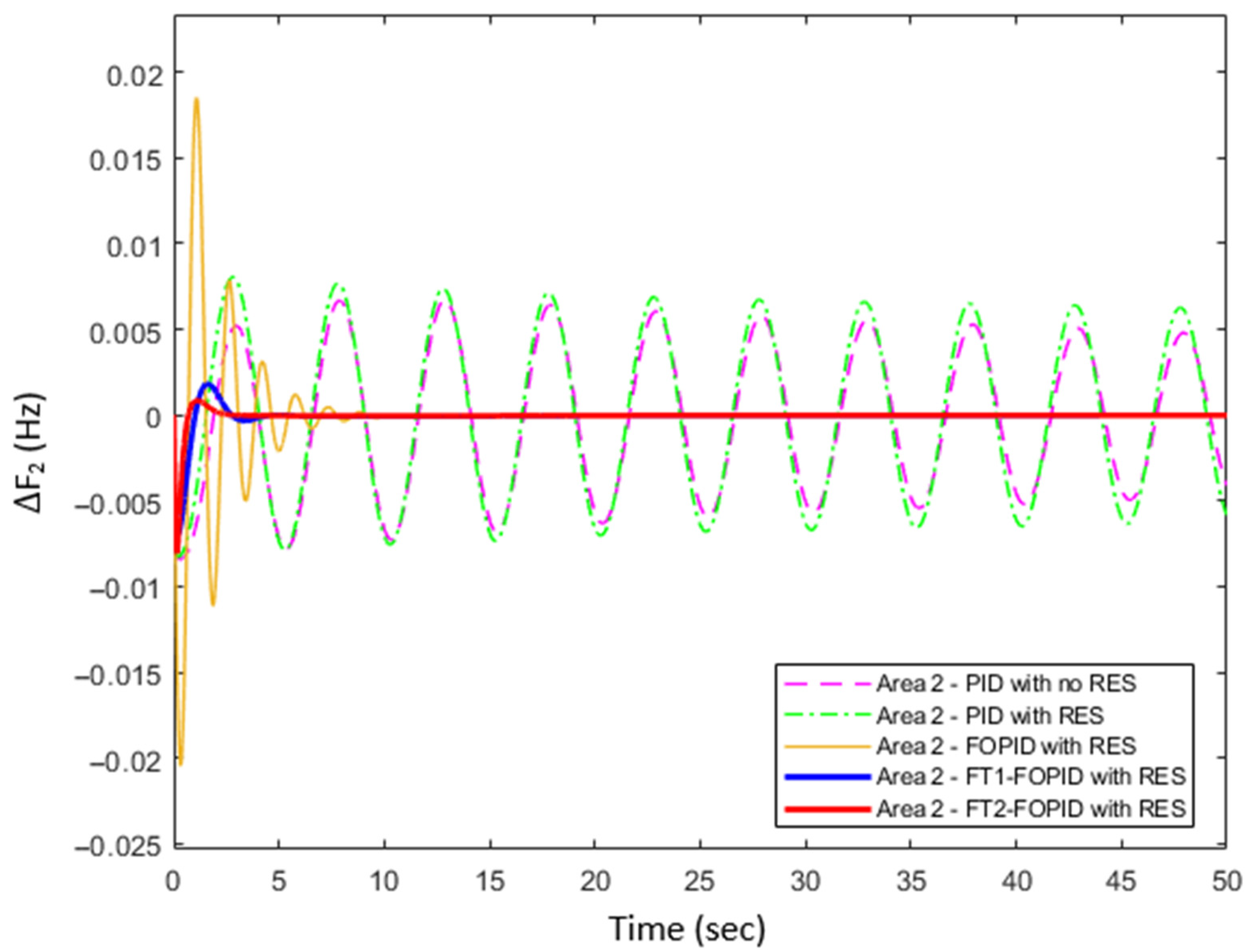
4. Simulation and Analysis of Results
5. Conclusions
Author Contributions
Funding
Institutional Review Board Statement
Informed Consent Statement
Data Availability Statement
Conflicts of Interest
References
- Thopil, M.; Bansal, R.; Zhang, L.; Sharma, G. A review of grid connected distributed generation using renewable energy sources in South Africa. Energy Strategy Rev. 2018, 21, 88–97. [Google Scholar] [CrossRef]
- Gopalan, J.; Mampilly, B. A Versatile Statcom for SSR Mitigation and Dynamic Reactive Power Management in DFIG Based Wind Farm Connected to Series Compensated Line. In Proceedings of the 2020 IEEE International Power and Renewable Energy Conference, Karunagappally, India, 30 October–1 November 2020. [Google Scholar]
- Sharma, G.; Niazi, K.R. Recurrent ANN based AGC of a two-area power system with DFIG based wind turbines considering asynchronous tie-lines. In Proceedings of the 2014 International Conference on Advances in Engineering & Technology Research (ICAETR—2014), Unnao, India, 1–2 August 2014. [Google Scholar]
- Li, J.; Wang, X.; Lyu, J.; Zong, H.; Xue, T.; Fang, Z.; Cai, X. Stability Analysis of Wind Farm Connected to Hybrid HVDC Converter. In Proceedings of the 2020 IEEE 9th International Power Electronics and Motion Control Conference (IPEMC2020-ECCE Asia), Nanjing, China, 29 November–2 December 2020. [Google Scholar]
- Niazi, K.; Sharma, G. Study on Dynamic Participation of Wind Turbines in Automatic Generation Control of Power Systems. Electr. Power Compon. Syst. 2014, 43, 44–55. [Google Scholar] [CrossRef]
- Huang, W.; Zhang, W. Research on Distributed wind Power Reactive Voltage Coordinated Control Strategy Connected to Distribution Network. In Proceedings of the 2021 4th International Conference on Energy, Electrical and Power Engineering (CEEPE), Chongqing, China, 23–25 April 2021. [Google Scholar]
- Mahdi, A.; Tang, W.; Wu, Q. Derivation of a complete transfer function for a wind turbine generator system by experiments. In Proceedings of the 2011 IEEE Power Engineering and Automation Conference, Wuhan, China, 8–9 September 2011. [Google Scholar]
- Estrice, M.; Sharma, G.; Akindeji, K.; Davidson, I. Frequency Regulation Studies of Interconnected PV Thermal Power System. In Proceedings of the 2020 International SAUPEC/RobMech/PRASA Conference, Cape Town, South Africa, 29–31 January 2020. [Google Scholar]
- Estrice, M.; Sharma, G.; Akindeji, K.; Davidson, I. Application of AI for Frequency Normalization of Solar PV-Thermal Electrical Power System. In Proceedings of the 2020 International Conference on Artificial Intelligence, Big Data, Computing and Data Communication Systems (icABCD), Durban, South Africa, 6–7 August 2020. [Google Scholar]
- Tomy, F.; Prakash, R. Load frequency control of a two area hybrid system consisting of a grid-connected PV system and thermal generator. Int. J. Res. Eng. Technol. 2014, 3, 573–580. [Google Scholar]
- Cao, F.; Qiu, J.; Jing, Z. Performance simulation and distribution strategy of solar and wind coupled power generation systems in Northwest China. In Proceedings of the 2020 12th IEEE PES Asia-Pacific Power and Energy Engineering Conference (APPEEC), Nanjing, China, 20–23 September 2020. [Google Scholar]
- Xing, C.; Xi, X.; He, X.; Xiang, C.; Li, S.; Xu, Z. Research on Maximum Power Point Tracking Control of Wind-Solar Hybrid Generation System. In Proceedings of the 2021 China International Conference on Electricity Distribution (CICED), Shanghai, China, 7–9 April 2021. [Google Scholar]
- Abd-Elazim, S.; Ali, E. Load frequency controller design of a two-area system composing of PV grid and thermal generator via firefly algorithm. Neural Comput. Appl. 2016, 30, 607–616. [Google Scholar] [CrossRef]
- Anuradha, A.Y.; Sinha, S. Solar-Wind Based Hybrid Energy System: Modeling and Simulation. In Proceedings of the 2021 4th International Conference on Recent Developments in Control, Automation & Power Engineering (RDCAPE), Noida, India, 7–8 October 2021. [Google Scholar]
- Zhang, X.; Spencer, J.; Guerrero, J. Small-Signal Modeling of Digitally Controlled Grid-Connected Inverters with LCL Filters. IEEE Trans. Ind. Electron. 2013, 60, 3752–3765. [Google Scholar] [CrossRef] [Green Version]
- Mohamed, R.; Boudy, B.; Gabbar, H. Fractional PID Controller Tuning Using Krill Herd for Renewable Power Systems Control. In Proceedings of the 2021 IEEE 9th International Conference on Smart Energy Grid Engineering (SEGE), Oshawa, ON, Canada, 11–13 August 2021. [Google Scholar]
- Sondhi, S.; Hote, Y. Fractional order PID controller for load frequency control. Energy Convers. Manag. 2014, 85, 343–353. [Google Scholar] [CrossRef]
- Shouran, M.; Alsseid, A. Cascade of Fractional Order PID based PSO Algorithm for LFC in Two-Area Power System. In Proceedings of the 2021 3rd International Conference on Electronics Representation and Algorithm (ICERA), Yogyakarta, Indonesia, 29–30 July 2021. [Google Scholar]
- Li, P.; Zheng, M.; Zhong, D.; Zheng, Y.; Zhang, G. Design of Fractional Order Controller for Microgrid Based on Model Analysis. In Proceedings of the 2021 40th Chinese Control Conference (CCC), Shanghai, China, 26–28 July 2021. [Google Scholar]
- Shi, J. A Fractional Order General Type-2 Fuzzy PID Controller Design Algorithm. IEEE Access 2020, 8, 52151–52172. [Google Scholar] [CrossRef]
- Shakibjoo, A.; Moradzadeh, M.; Din, S.; Mohammadzadeh, A.; Mosavi, A.; Vandevelde, L. Optimized Type-2 Fuzzy Frequency Control for Multi-Area Power Systems. IEEE Access 2022, 10, 6989–7002. [Google Scholar] [CrossRef]
- Joshi, M.; Sharma, G.; Davidson, I. Load Frequency Control of Hydro Electric System using Application of Fuzzy with Particle Swarm Optimization Algorithm. In Proceedings of the 2020 International Conference on Artificial Intelligence, Big Data, Computing and Data Communication Systems (icABCD), Durban, South Africa, 6–7 August 2020. [Google Scholar]
- Sabahi, K.; Tavan, M. T2FPID Load Frequency Control for a two-area Power System Considering Input Delay. In Proceedings of the 2020 28th Iranian Conference on Electrical Engineering (ICEE), Tabriz, Iran, 4–6 August 2020. [Google Scholar]
- Castillo, O.; Melin, P. A review on interval type-2 fuzzy logic applications in intelligent control. Inf. Sci. 2014, 279, 615–631. [Google Scholar] [CrossRef]
- Çam, E.; Kocaarslan, İ. Load frequency control in two area power systems using fuzzy logic controller. Energy Convers. Manag. 2005, 46, 233–243. [Google Scholar] [CrossRef]
- Rasi, D.; Deepa, S. Energy optimization of internet of things in wireless sensor network models using type-2 fuzzy neural systems. Int. J. Commun. Syst. 2021, 34, e4967. [Google Scholar] [CrossRef]













| ACE/dACE | NB | NM | NS | ZE | PS | PM | PB |
|---|---|---|---|---|---|---|---|
| NB | NB | NB | NB | NB | NM | NS | ZE |
| NM | NB | NB | NB | NM | NS | ZE | PS |
| NS | NB | NB | NM | NS | ZE | PS | PM |
| ZE | NL | NM | NS | ZE | PS | PM | PB |
| PS | NM | NS | ZE | PS | PM | PB | PB |
| PM | NS | ZE | PS | PM | PB | PB | PB |
| PB | ZE | PS | PM | PB | PB | PB | PB |
| Rule | Statement |
|---|---|
| 1 | If ACE is A and dACE is A, then dACE is NB |
| 2 | If ACE is B and dACE is A, then dACE is NM |
| 3 | If ACE is C and dACE is A, then dACE is NS |
| 4 | If ACE is D and dACE is A, then dACE is ZE |
| 5 | If ACE is E and dACE is A, then dACE is PS |
| 6 | If ACE is F and dACE is A, then dACE is PM |
| 7 | If ACE is G and dACE is A, then dACE is PB |
| Controllers | ITAE |
|---|---|
| PID with no RES | 0.9433 |
| PID with RES | 2.269 |
| FOPID with RES | 0.02066 |
| FT1-FOPID with RES | 0.01362 |
| FT2-FOPID with RES | 0.009286 |
| Controllers | IAE |
|---|---|
| PID with no RES | 0.05726 |
| PID with RES | 0.08157 |
| FOPID with RES | 0.007249 |
| FT1-FOPID with RES | 0.001953 |
| FT2-FOPID with RES | 0.001161 |
| Controllers | ITAE |
|---|---|
| PID with no RES | 2.093 |
| PID with RES | 4.057 |
| FOPID with RES | 0.06176 |
| FT1-FOPID with RES | 0.0401 |
| FT2-FOPID with RES | 0.02749 |
| Controllers | IAE |
|---|---|
| PID with no RES | 0.1139 |
| PID with RES | 0.1638 |
| FOPID with RES | 0.02205 |
| FT1-FOPID with RES | 0.005757 |
| FT2-FOPID with RES | 0.00347 |
Publisher’s Note: MDPI stays neutral with regard to jurisdictional claims in published maps and institutional affiliations. |
© 2022 by the authors. Licensee MDPI, Basel, Switzerland. This article is an open access article distributed under the terms and conditions of the Creative Commons Attribution (CC BY) license (https://creativecommons.org/licenses/by/4.0/).
Share and Cite
Kader, M.O.A.; Akindeji, K.T.; Sharma, G. A Novel Solution for Solving the Frequency Regulation Problem of Renewable Interlinked Power System Using Fusion of AI. Energies 2022, 15, 3376. https://doi.org/10.3390/en15093376
Kader MOA, Akindeji KT, Sharma G. A Novel Solution for Solving the Frequency Regulation Problem of Renewable Interlinked Power System Using Fusion of AI. Energies. 2022; 15(9):3376. https://doi.org/10.3390/en15093376
Chicago/Turabian StyleKader, Mohammed Ozayr Abdul, Kayode Timothy Akindeji, and Gulshan Sharma. 2022. "A Novel Solution for Solving the Frequency Regulation Problem of Renewable Interlinked Power System Using Fusion of AI" Energies 15, no. 9: 3376. https://doi.org/10.3390/en15093376
APA StyleKader, M. O. A., Akindeji, K. T., & Sharma, G. (2022). A Novel Solution for Solving the Frequency Regulation Problem of Renewable Interlinked Power System Using Fusion of AI. Energies, 15(9), 3376. https://doi.org/10.3390/en15093376

