Modeling, Simulation and Analysis of Intermediate Fixed Piezoelectric Energy Harvester
Abstract
:1. Introduction
2. Mechanical Modelling
3. Electric Energy Calculation Model
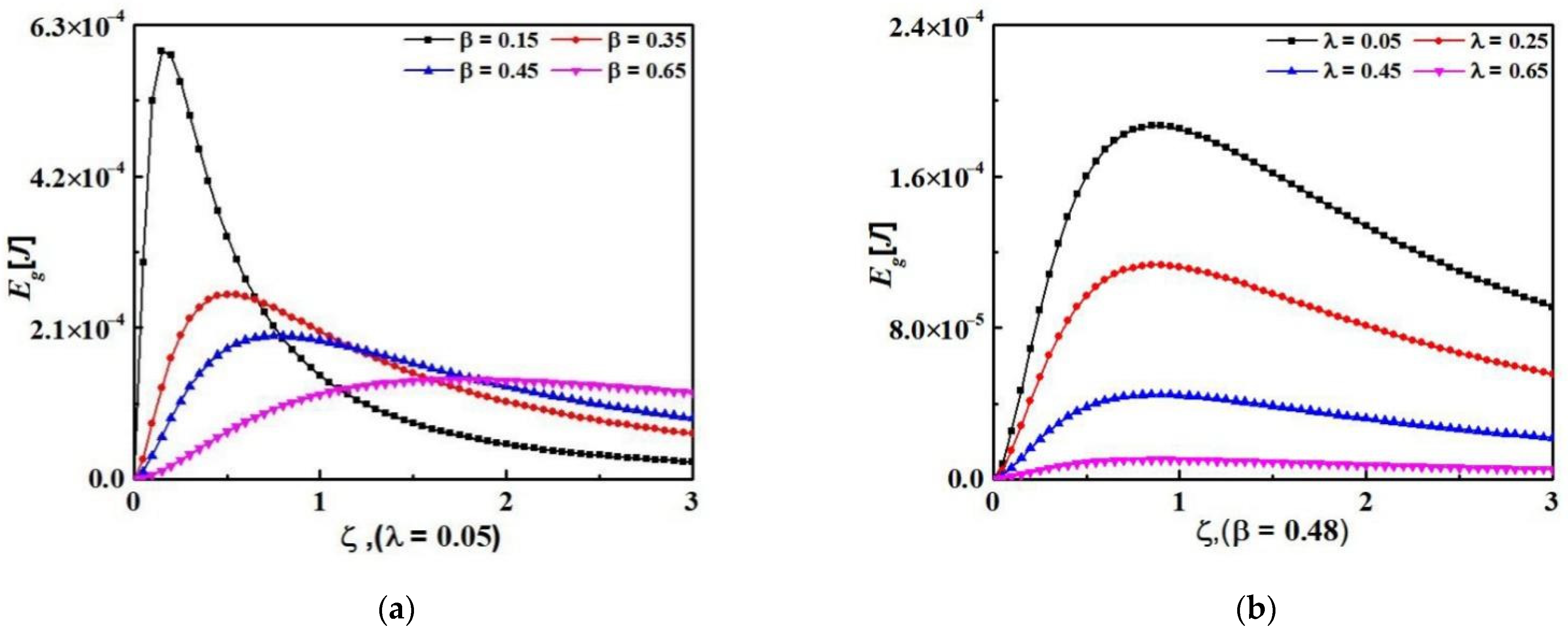
4. Results and Discussion
4.1. Parameter Analysis under Constant Load
4.2. Parameter Analysis under Variable Load
5. Conclusions
- Compared with the clamped piezoelectric circular plates, the influence of parameter thickness ratio and elastic modulus ratio on electrical energy is similar.
- The difference is as follows:
- (1)
- When the thickness ratio is constant, with the gradual increase of the load, the smaller the radius ratio, the greater the increase of electric energy. This is because the smaller the radius ratio is, the larger the coverage of the piezoelectric layer is, thus affecting the deflection deformation of the IFDPEH, and the electric energy gradually increases.
- (2)
- In this paper, the influence of radius ratio on the IFDPEH’s electrical energy is greater than the thickness ratio when the load condition is certain.
- (3)
- The use of metal substrates with low modulus of elasticity and small radii to maximize the load strength within the allowable stress range of the material helps to increase the electrical energy of the IFDPEH under concentrated forces.
Author Contributions
Funding
Institutional Review Board Statement
Informed Consent Statement
Data Availability Statement
Conflicts of Interest
References
- Ryu, H.; Yoon, H.J.; Kim, S.W. Hybrid Energy Harvesters: Toward Sustainable Energy Harvesting. Adv. Mater. 2019, 31, 1802898. [Google Scholar] [CrossRef] [PubMed]
- Covaci, C.; Gontean, A. Piezoelectric Energy Harvesting Solutions: A Review. Sensors 2020, 20, 3512. [Google Scholar] [CrossRef] [PubMed]
- Kim, H.S.; Kim, J.; Kim, J. A review of piezoelectric energy harvesting based on vibration. Int. J. Precis. Eng. Manuf. 2011, 12, 1129–1141. [Google Scholar] [CrossRef]
- Al-Yafeai, D.; Darabseh, T.; Mourad, A.I. A State-of-the-Art Review of Car Suspension-Based Piezoelectric Energy Harvesting Systems. Energies 2020, 13, 2336. [Google Scholar] [CrossRef]
- Glynne-Jones, P.; Tudor, M.J.; Beeby, S.P.; White, N.M. An electromagnetic, vibration-powered generator for intelligent sensor systems. Sens. Actuators A Phys. 2004, 110, 344–349. [Google Scholar] [CrossRef] [Green Version]
- Zhang, Y.; Zheng, R.; Shimono, K.; Kaizuka, T.; Nakano, K. Effectiveness Testing of a Piezoelectric Energy Harvester for an Automobile Wheel Using Stochastic Resonance. Sensors 2016, 16, 1727. [Google Scholar] [CrossRef] [PubMed] [Green Version]
- Esmaeeli, R.; Aliniagerdroudbari, H.; Hashemi, S.R.; Alhadri, M.; Zakri, W.; Batur, C.; Farhad, S. Design, modeling, and analysis of a high performance piezoelectric energy harvester for intelligent tires. Int. J. Energy Res. 2019, 43, 5199–5212. [Google Scholar] [CrossRef]
- Jettanasen, C.; Songsukthawan, P.; Ngaopitakkul, A. Development of Micro-Mobility Based on Piezoelectric Energy Harvesting for Smart City Applications. Sustainability 2020, 12, 2933. [Google Scholar] [CrossRef] [Green Version]
- Xu, C.; Li, Y.; Yang, T. Optimization of Non-Uniform Deformation on Piezoelectric Circular Diaphragm Energy Harvester with a Ring-Shaped Ceramic Disk. Micromachines 2020, 11, 963. [Google Scholar] [CrossRef]
- He, L.; Zhao, D.; Li, W.; Wu, X.; Cheng, G. A dual piezoelectric energy harvester with contact and non-contact driven by inertial wheel. Mech. Syst. Signal Process. 2021, 146, 106994. [Google Scholar] [CrossRef]
- Darabseh, T.; Al Yafeai, D.; Mourad, A.H.I.; Almaskari, F. Piezoelectric method-based harvested energy evaluation from car suspension system: Simulation and experimental study. Energy Sci. Eng. 2021, 9, 417–433. [Google Scholar] [CrossRef]
- Dobrucki, A.B.; Pruchnicki, P. Theory of piezoelectric axisymmetric bimorph. Sens. Actuators A Phys. 1997, 58, 203–212. [Google Scholar] [CrossRef]
- Li, S.; Chen, S. Analytical analysis of a circular PZT actuator for valveless micropumps. Sens. Actuators A Phys. 2003, 104, 151–161. [Google Scholar] [CrossRef]
- Kim, S.; Clark, W.W.; Wang, Q. Piezoelectric Energy Harvesting with a Clamped Circular Plate: Analysis. J. Intell. Mater. Syst. Struct. 2005, 16, 847–854. [Google Scholar] [CrossRef]
- Kim, S.; Clark, W.W.; Wang, Q. Piezoelectric Energy Harvesting with a Clamped Circular Plate: Experimental Study. J. Intell. Mater. Syst. Struct. 2005, 16, 855–863. [Google Scholar] [CrossRef]
- Prasad, S.A.N.; Gallas, Q.; Horowitz, S.; Homeijer, B.; Sankar, B.V.; Cattafesta, L.N.; Sheplak, M. Analytical Electroacoustic Model of a Piezoelectric Composite Circular Plate. AIAA J. 2006, 44, 2311–2318. [Google Scholar] [CrossRef]
- Wischke, M.; Goldschmidtboeing, F.; Woias, P. A low cost generator concept for energy harvesting applications. In Proceedings of the TRANSDUCERS 2007—2007 International Solid-State Sensors, Actuators and Microsystems Conference, Lyon, France, 10–14 June 2007; pp. 875–878. [Google Scholar]
- Junwu, K.; Jinhao, Q.; Kehong, T.; Kongjun, Z.; Chenghui, S. Modeling and simulation of piezoelectric composite diaphragms for energy harvesting. Int. J. Appl. Electromagn. Mech. 2009, 30, 95–106. [Google Scholar] [CrossRef]
- Mo, C.; Radziemski, L.J.; Clark, W.W. Analysis of piezoelectric circular diaphragm energy harvesters for use in a pressure fluctuating system. Smart Mater. Struct. 2010, 19, 025016. [Google Scholar] [CrossRef]
- Mo, C.; Radziemski, L.J.; Clark, W.W. Experimental validation of energy harvesting performance for pressure-loaded piezoelectric circular diaphragms. Smart Mater. Struct. 2010, 19, 075010. [Google Scholar] [CrossRef]
- Dai, H.L.; Abdelkefi, A.; Wang, L. Piezoelectric energy harvesting from concurrent vortex-induced vibrations and base excitations. Nonlinear Dyn. 2014, 77, 967–981. [Google Scholar] [CrossRef]
- Skaliukh, A.S.; Soloviev, A.N.; Oganesyan, P.A. Modeling of Piezoelectric Elements with Inhomogeneous Polarization in ACELAN. Ferroelectrics 2015, 483, 95–101. [Google Scholar] [CrossRef]
- Yuan, T.C.; Yang, J.; Chen, L.Q. Nonlinear dynamics of a circular piezoelectric plate for vibratory energy harvesting. Commun. Nonlinear Sci. Numer. Simul. 2018, 59, 651–656. [Google Scholar] [CrossRef]
- Mehdipour, I.; Honarvar, F. Finding the optimum polarization boundary line for enhancing the performance of clamped piezoelectric circular plates. Appl. Math. Model. 2021, 91, 1141–1153. [Google Scholar] [CrossRef]
- Xie, X.D.; Wang, Q.; Wu, N. Energy harvesting from transverse ocean waves by a piezoelectric plate. Int. J. Eng. Sci. 2014, 81, 41–48. [Google Scholar] [CrossRef]
- Rahman, W.U.; Khan, F.U. Modeling and simulation of flow-based circular plate type piezoelectric energy harvester for pipeline’s monitoring. In Proceedings of the 2019 22nd International Multitopic Conference (INMIC), Islamabad, Pakistan, 29–30 November 2019; pp. 1–6. [Google Scholar]
- Bakhtiari-Shahri, M.; Moeenfard, H. Energy harvesting from unimorph piezoelectric circular plates under random acoustic and base acceleration excitations. Mech. Syst. Signal Process. 2019, 130, 502–523. [Google Scholar] [CrossRef]
- Hegde, V.; Yellampalli, S.S.; Ravikumar, H.M. Simulation, mathematical modeling, fabrication and experimental analysis of piezoelectric acoustic sensor for energy harvesting applications. Microsyst. Technol. 2020, 26, 1613–1623. [Google Scholar] [CrossRef]
- Eghbali, P.; Younesian, D.; Moayedizadeh, A.; Ranjbar, M. Study in circular auxetic structures for efficiency enhancement in piezoelectric vibration energy harvesting. Sci. Rep. 2020, 10, 16338. [Google Scholar] [CrossRef]
- Shuang, W.; Baozhan, L. Mechanism and status of typical piezoelectric energy harvester. Electron. Compon. Mater. 2018, 37, 1–11. (In Chinese) [Google Scholar]
- Wang, S.; Kan, J.; Wang, B.; Yang, Z.; Ling, R.; Xu, H.; Cheng, G. Modeling and simulation of a piezodisc generator under central load. Int. J. Appl. Electromagn. Mech. 2013, 41, 349–360. [Google Scholar] [CrossRef]
- Zheng, L.; Zhigang, Y.; Junwu, K.; Lisheng; Bo, Y.; Dan, L. Theoretical and simulation analysis of piezoelectric liquid resistance captor filled with pipeline. Mater. Res. Express 2018, 5, 35517. [Google Scholar] [CrossRef] [Green Version]
- Timoshenko, S.; Woinowsky-Krieger, S. Theory of Plates and Shells; McGraw-Hill: New York, NY, USA, 1959. [Google Scholar]
- Vinson. Structural Mechanics: The Behavior of Plates and Shells (Book); Wiley: Hoboken, NJ, USA, 1974. [Google Scholar]
- Du, X.; Zhang, M.; Chang, H.; Wang, Y.; Yu, H. Micro windmill piezoelectric energy harvester based on vortex-induced vibration in tunnel. Energy 2022, 238, 121734. [Google Scholar] [CrossRef]
- Uchino, K. Advanced Piezoelectric Materials; Woodhead Publishing: Sawston, UK, 2010. [Google Scholar]








| Coefficients | Expressions |
|---|---|
| A | |
| B | |
| C | |
| K |
| Materials | , | |||
|---|---|---|---|---|
| Cu-Be | 12.5 | 0.35 | ||
| AL | 7.3 | 0.33 | ||
| PZT-4 | 8.2 | 10.6 | 8.85 | 0.3 |
Publisher’s Note: MDPI stays neutral with regard to jurisdictional claims in published maps and institutional affiliations. |
© 2022 by the authors. Licensee MDPI, Basel, Switzerland. This article is an open access article distributed under the terms and conditions of the Creative Commons Attribution (CC BY) license (https://creativecommons.org/licenses/by/4.0/).
Share and Cite
Wang, Y.; Lv, Y.; Lv, B.; Zhang, Y. Modeling, Simulation and Analysis of Intermediate Fixed Piezoelectric Energy Harvester. Energies 2022, 15, 3294. https://doi.org/10.3390/en15093294
Wang Y, Lv Y, Lv B, Zhang Y. Modeling, Simulation and Analysis of Intermediate Fixed Piezoelectric Energy Harvester. Energies. 2022; 15(9):3294. https://doi.org/10.3390/en15093294
Chicago/Turabian StyleWang, Yulong, Yaran Lv, Baozhan Lv, and Ying Zhang. 2022. "Modeling, Simulation and Analysis of Intermediate Fixed Piezoelectric Energy Harvester" Energies 15, no. 9: 3294. https://doi.org/10.3390/en15093294
APA StyleWang, Y., Lv, Y., Lv, B., & Zhang, Y. (2022). Modeling, Simulation and Analysis of Intermediate Fixed Piezoelectric Energy Harvester. Energies, 15(9), 3294. https://doi.org/10.3390/en15093294

