Influence of a Cooling System on Power MOSFETs’ Thermal Parameters
Abstract
:1. Introduction
2. Measurement Method
- Heating the transistors up to the thermally steady state by means of the dissipation of power p equal to the product of the voltage VDS1 and current I1 in transistor M1. At this measurement stage, switch S1 was set to position 1. Due to the self-heating of the die of transistor M1, its temperature increased and, at the same time, the internal temperature of M2 increased as a result of the mutual thermal coupling with transistor M1. This stage of measurement ended after the thermally steady state in both of the transistors was reached.
- Recording the TSPs waveforms after a change in the position of switch S1 from 1 to 2. The measurement ended when the transistors M1 and M2 cooled down to the ambient temperature.
- Computing Zth(t) and Zthm(t) from the formulas [31]:
3. Investigated Cooling Systems
- (a)
- The maximum value of thermal resistance junction-ambient Rthj-a = 62 K/W,
- (b)
- The maximum value of thermal resistance junction-case (drain) Rthj-c = 1.0 K/W,
- (c)
- The typical value of thermal resistance case-heat sink in the case when thermal paste is used: Rthc-s = 0.5 K/W.
- Transistors with no additional cooling components.
- Fan with transistors placed on the intake side.
- Fan with transistors placed on the exhaust side.
- Extruded heat sink made of aluminium.
- Extruded heat sink with a fan.
- Heat pipes with an aluminium heat sink.
- Heat pipes with an aluminium heat sink and two fans in push-pull configuration.
- Liquid cooling system.
3.1. Cooling Systems A, B and C
3.2. Cooling Systems D and E
3.3. Cooling Systems F and G
3.4. Cooling System H
4. Results
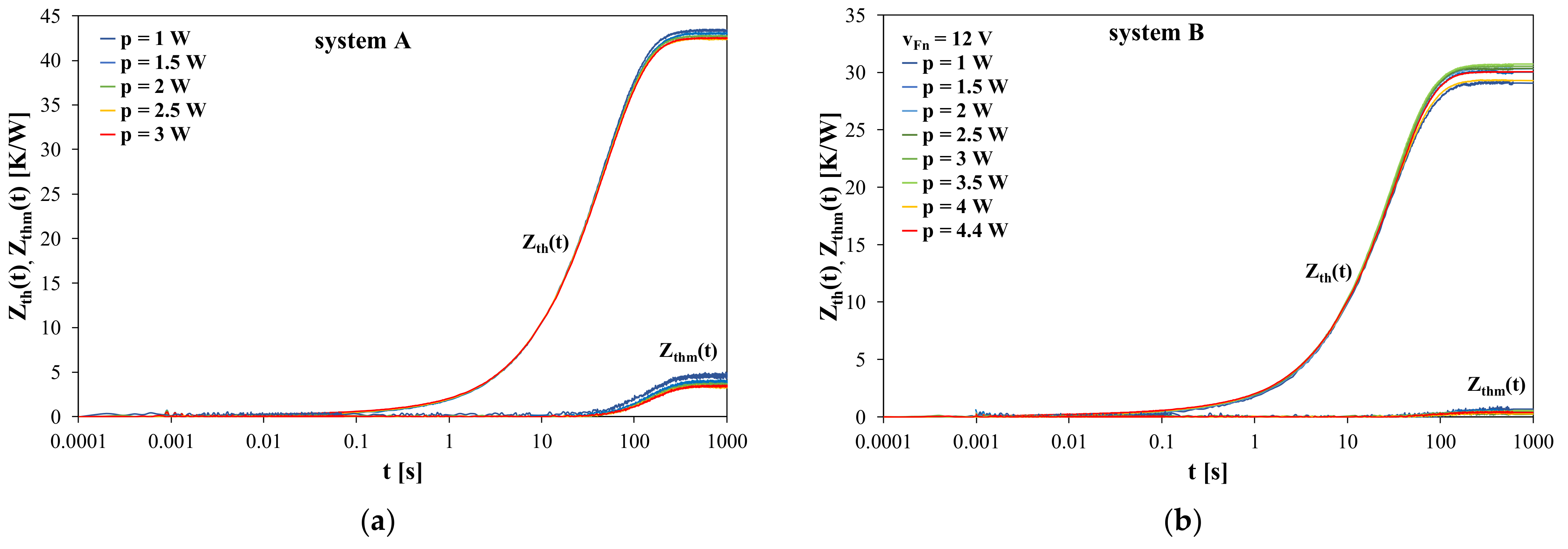
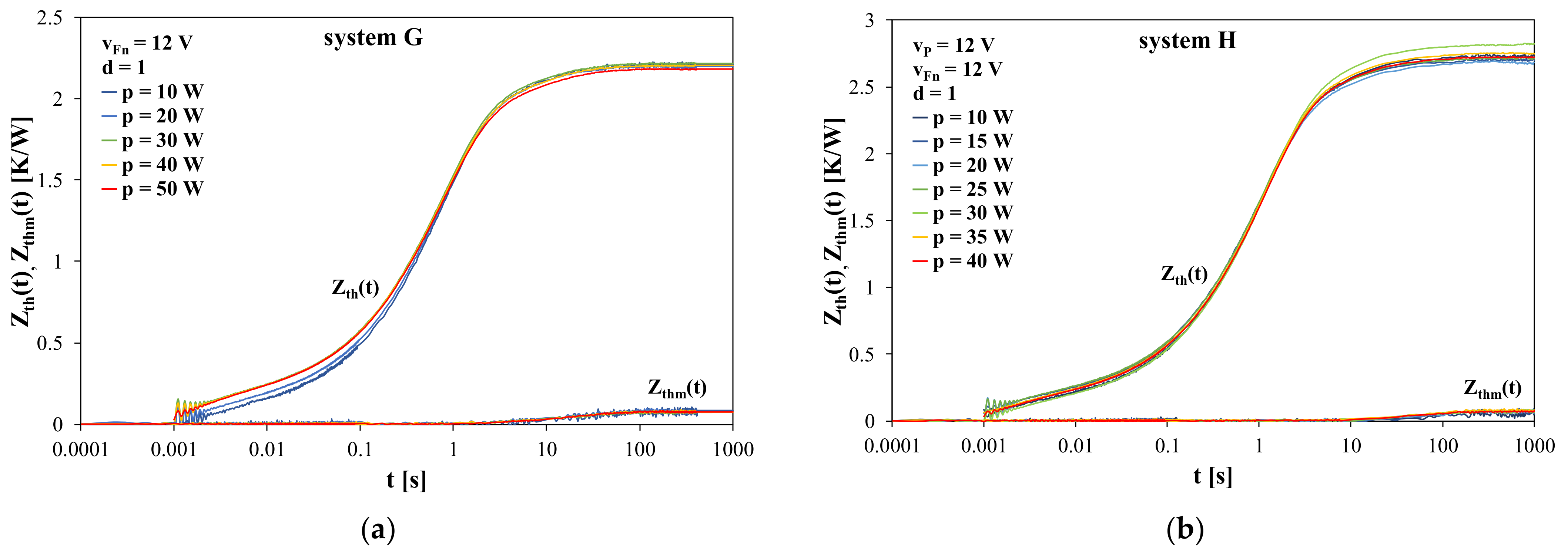
4.1. Waveforms of Transient Thermal Impedances Zth(t) and Zthm(t) of the Investigated MOSFETs
4.2. The Influence of the Fans’ Supply Conditions on Thermal Parameters of the Investigated MOSFETs
4.3. Influence of the Cooling System on Thermal Time Constants
4.4. Influence of Selected Factors on Thermal Resistance
5. Conclusions
Author Contributions
Funding
Institutional Review Board Statement
Informed Consent Statement
Data Availability Statement
Conflicts of Interest
Nomenclature
| a1, b1 | coefficients of the function approximating the thermometric characteristic Tj(vGS) |
| a2, b2 | coefficients of the function approximating the thermometric characteristic Tj(vF2) |
| ai | weight coefficients related to thermal time constants τthi |
| I1 | drain current of transistor M1 |
| iFn | current supplying the fan |
| iP | current supplying the heat-pump |
| N | the number of thermal time constants |
| t | time |
| p | power dissipated in transistor M1 |
| p0, Rth0, Rth1, βthω, ω0 | parameters describing the dependence Rth(p,ω) |
| Rth | self-thermal resistance |
| Rthm | transfer-thermal resistance |
| Ta | ambient temperature |
| Tj | device internal temperature |
| VDS1 | drain-source voltage of transistor M1 |
| vGS | gate-source voltage of transistor M1 |
| vF2 | forward voltage of the body diode of transistor M2 |
| vFn | voltage supplying the fan |
| vP | voltage supplying the heat-pump |
| Zth(t) | self-transient thermal impedance |
| Zthm(t) | transfer-transient thermal impedance |
| τthi | thermal time constants |
| ω | rotational speed of the fan |
References
- Perret, R. Power Electronics Semiconductor Devices; John Wiley & Sons: Hoboken, NJ, USA, 2009. [Google Scholar]
- Rashid, M.H. Power Electronic Handbook; Academic Press: Cambridge, MA, USA; Elsevier: Amsterdam, The Netherlands, 2007. [Google Scholar]
- Kazimierczuk, M.K. Pulse-width Modulated DC-DC Power Converters; John Wiley & Sons, Ltd.: Hoboken, NJ, USA, 2008. [Google Scholar]
- Avenas, Y.; Dupont, L.; Khatir, Z. Temperature measurement of power semiconductor devices by thermo-sensitive electrical parameters—A review. IEEE Trans. Power Electron. 2012, 27, 3081–3092. [Google Scholar] [CrossRef] [Green Version]
- Górecki, P.; Górecki, K. Methods of Fast Analysis of DC-DC Converters—A Review. Electronics 2021, 10, 2920. [Google Scholar] [CrossRef]
- Górecki, P.; Górecki, K. Measurements and computations of internal temperatures of the IGBT and the diode situated in the common case. Electronics 2021, 10, 210. [Google Scholar] [CrossRef]
- Schweitzer, D.; Ender, F.; Hantos, G.; Szabo, P.G. Thermal transient characterization of semiconductor devices with multiple heat-sources—Fundamentals for a new thermal standard. Microelectron. J. 2015, 46, 174–182. [Google Scholar] [CrossRef]
- Bagnoli, P.E.; Casarosa, C.; Ciampi, M.; Dallago, E. Thermal resistance analysis by induced transient (TRAIT) method for power electronic devices thermal characterization. IEEE Trans. Power Electron. 1998, 13, 1208–1219. [Google Scholar] [CrossRef]
- Castellazzi, A.; Kraus, R.; Seliger, N.; Schmitt-Landsiedel, D. Reliability analysis of power MOSFET’s with the help of compact models and circuit simulation. Microelectron. Reliab. 2002, 42, 1605–1610. [Google Scholar] [CrossRef]
- Ciappa, M.; Carbognami, F.; Cora, P.; Fichtner, W. A novel thermomechanics-based lifetime prediction model for cycle fatigue failure mechnisms in power semiconductors. Microelectron. Reliab. 2002, 42, 1653–1658. [Google Scholar] [CrossRef]
- Szekely, V. A new evaluation method of thermal transient measurement results. Microelectron. J. 1997, 28, 277–292. [Google Scholar] [CrossRef]
- Blackburn, D.L. Temperature measurements of semiconductor devices—A review. In Proceedings of the Twentieth Annual IEEE Semiconductor Thermal Measurement and Management Symposium, San Jose, CA, USA, 11 March 2004; pp. 70–80. [Google Scholar]
- Posobkiewicz, K.; Górecki, K. Influence of selected factors on thermal parameters of the components of forced cooling systems of electronic devices. Electronics 2021, 10, 340. [Google Scholar] [CrossRef]
- Liebhard, J.H., IV; Liebhard, J.H., V. A Heat Transfer Textbook, 3rd ed.; Phlogiston Press: Cambridge, MA, USA, 2008. [Google Scholar]
- Scognamillo, C.; Catalano, A.P.; Lasserre, P.; Duchesne, C.; D’Alessandro, V.; Castellazzi, A. Combined experimental-FEM investigation of electrical ruggedness in double-sided cooled power modules. Microelectron. Reliab. 2020, 114, 113742. [Google Scholar] [CrossRef]
- Vassighi, A.; Sachdev, M. Thermal and Power Management of Integrated Circuits; Springer Science & Business Media: New York, NY, USA, 2006. [Google Scholar]
- De Mey, G.; Kos, A.; Górecki, K. Optimal temperature regulation of integrated circuits with Peltier heat pumps. Energies 2022, 15, 1125. [Google Scholar] [CrossRef]
- Zając, P.; Napieralski, A. Novel thermal model of microchannel cooling system designed for fast simulation of liquid-cooled ICs. Microelectron. Reliab. 2018, 86, 245–258. [Google Scholar] [CrossRef]
- DC Cooling Fan with 80 mm × 80 mm × 25 mm Series; TITAN Technology Ltd. Available online: https://www.titan-cd.com/en/product/DC-Cooling-Fan-with-80mm-x-80mm-x-25mm-Series/TFD-8025xxxx.html (accessed on 7 February 2022).
- Technical Data of Extruded Heat-Sink Stonecold. Available online: https://www.tme.com/jp/en/details/rad-a4240_50/heatsinks/stonecold (accessed on 7 February 2022).
- Technical Data of Electrolube HTC Heat Transfer Compound. Available online: https://electrolube.com/product/htc-non-silicone-heat-transfer-compound (accessed on 7 February 2022).
- Datasheet of Thermally Conductive Pad Fisher Elektronik KAP 220 G. Available online: https://www.fischerelektronik.de/web_fischer/en_GB/$catalogue/fischerData/PR/KAP220G_/datasheet.xhtml?branch=heatsinks (accessed on 7 February 2022).
- Specification Sheet of Freezer 34 eSports DUO. Available online: https://www.arctic.de/media/44/41/f0/1584088927/spec_sheet_Freezer_34_eSports_DUO_191106_r3_EN.pdf (accessed on 7 February 2022).
- Available online: https://www.enermaxeu.com/products/cpu-cooling/liquid-cooling/aquafusion/aquafusion-models/black/aquafusion (accessed on 7 February 2022).
- Górecki, K.; Zarębski, J. Modeling the influence of selected factors on thermal resistance of semiconductor devices. IEEE Trans. Compon. Packag. Manuf. Technol. 2014, 4, 421–428. [Google Scholar] [CrossRef]
- Catalano, A.P.; Scognamillo, C.; d’Alessandro, V.; Castellazzi, A. Numerical Simulation and Analytical Modeling of the Thermal Behavior of Single- and Double-Sided Cooled Power Modules. IEEE Trans. Compon. Packag. Manuf. Technol. 2020, 10, 1446–1453. [Google Scholar] [CrossRef]
- Chang, Y.; Li, W.H.; Luo, H.Z.; He, X.N.; Iannuzzo, F.; Blaabjerg, F.; Lin, W.X. A 3D Thermal Network Model for Monitoring Imbalanced Thermal Distribution of Press-Pack IGBT Modules in MMC-HVDC Applications. Energies 2019, 12, 1319. [Google Scholar] [CrossRef] [Green Version]
- Górecki, K.; Zarębski, J.; Górecki, P.; Ptak, P. Compact thermal models of semiconductor devices—A review. Int. J. Electron. Telecommun. 2019, 65, 151–158. [Google Scholar]
- Yener, Y.; Kakac, S. Heat Conduction; Taylor & Francis: Boca Raton, FL, USA, 2008. [Google Scholar]
- Górecki, K.; Górecki, P. Nonlinear Compact Thermal Model of the IGBT Dedicated to SPICE. IEEE Trans. Power Electron. 2020, 35, 13420–13428. [Google Scholar] [CrossRef]
- Górecki, K.; Posobkiewicz, K. Selected problems of power MOSFETs thermal parameters measurements. Energies 2021, 14, 8353. [Google Scholar] [CrossRef]
- Górecki, K.; Dziurdzia, B.; Ptak, P. The influence of a soldering manner on thermal properties of LED modules. Solder. Surf. Mt. Technol. 2018, 30, 81–86. [Google Scholar] [CrossRef]
- Pietruszka, A.; Górecki, P.; Wroński, S.; Illés, B.; Skwarek, A. The Influence of Soldering Profile on the Thermal Parameters of Insulated Gate Bipolar Transistors (IGBTs). Appl. Sci. 2021, 11, 5583. [Google Scholar] [CrossRef]
- Technical Data of Data Acquisition Device Series Measurement Computing USB 2404. Available online: https://www.mccdaq.com/PDFs/specs/USB-2404-series-data.pdf (accessed on 29 January 2021).
- Posobkiewicz, K.; Data, A.; Górecki, K. Realizacja praktyczna układu do pomiaru parametrów cieplnych tranzystorów MOS mocy. Przegląd Elektrotechniczny 2022, 98, 143–146. [Google Scholar] [CrossRef]
- Datasheet of IRF840 HEXFET Power MOSFET. Available online: https://datasheet.octopart.com/IRF840PBF-Vishay-datasheet-35178.pdf (accessed on 7 February 2022).




















| System | Rth0 [K/W] | Rth1 [K/W] | p0 [W] | βthω | ω0 [1/min] |
|---|---|---|---|---|---|
| A | 41.5 | 3 | 2 | 0 | - |
| B | 30.5 | 1 | 1 | 0.97 | 4100 |
| C | 21.2 | 1 | 1 | 0.95 | 1020 |
| D | 4.62 | 2.3 | 9.9 | - | - |
| E | 2.2 | 0 | - | 1.28 | 940 |
| F | 3.25 | 2.5 | 5 | - | - |
| G | 2.16 | −2 | 3 | 0.47 | 350 |
| H | 2.71 | 4.8 | 3 | - | - |
| System | Rth0 [K/W] | Rth1 [K/W] | p0 [W] | βthω | ω0 [1/min] |
|---|---|---|---|---|---|
| A | 3.35 | 5.7 | 0.65 | - | - |
| B | 0.43 | 0.1 | 0.5 | 7.5 | 1200 |
| C | 0.31 | 2 | 1.02 | 7.5 | 350 |
| D | 3.67 | 2.5 | 9.9 | - | - |
| E | 1.22 | 0 | - | 2.31 | 1040 |
| F | 1.2 | 2.5 | 5 | - | - |
| G | 0.06 | −1 | 3 | 18.5 | 350 |
| H | 0.1 | 1 | 3 | - | - |
Publisher’s Note: MDPI stays neutral with regard to jurisdictional claims in published maps and institutional affiliations. |
© 2022 by the authors. Licensee MDPI, Basel, Switzerland. This article is an open access article distributed under the terms and conditions of the Creative Commons Attribution (CC BY) license (https://creativecommons.org/licenses/by/4.0/).
Share and Cite
Górecki, K.; Posobkiewicz, K. Influence of a Cooling System on Power MOSFETs’ Thermal Parameters. Energies 2022, 15, 2923. https://doi.org/10.3390/en15082923
Górecki K, Posobkiewicz K. Influence of a Cooling System on Power MOSFETs’ Thermal Parameters. Energies. 2022; 15(8):2923. https://doi.org/10.3390/en15082923
Chicago/Turabian StyleGórecki, Krzysztof, and Krzysztof Posobkiewicz. 2022. "Influence of a Cooling System on Power MOSFETs’ Thermal Parameters" Energies 15, no. 8: 2923. https://doi.org/10.3390/en15082923
APA StyleGórecki, K., & Posobkiewicz, K. (2022). Influence of a Cooling System on Power MOSFETs’ Thermal Parameters. Energies, 15(8), 2923. https://doi.org/10.3390/en15082923

