Impact of the KKL Correlation Model on the Activation of Thermal Energy for the Hybrid Nanofluid (GO+ZnO+Water) Flow through Permeable Vertically Rotating Surface
Abstract
:1. Introduction
2. Mathematical Model of the Problem
- The flow is governed by the vessel wall with the stretching velocity , where and are positive constants with .
- The effective stretching rate enhances subject to an external force acting along the -axis for .
- The Reynolds number (magnetic) is considered to be much less than unity to overcome the impact of the magnetic field induced.
- The magnetic field is applied in the transverse direction to the hybrid nanofluid flow.
3. Similarity Transformations
4. Engineering Quantities of Interest and Their Calculation
5. Solution by the HAM
6. Results and Discussion
Convergence Analysis
7. Conclusions
- The skin friction augments with the rising magnetic parameter, the difference in nanomaterials’ concentrations, and the rotation parameter.
- The Nusselt number rises with the enhancing magnetic field, heat source strength, radiation parameter, and Prandtl number.
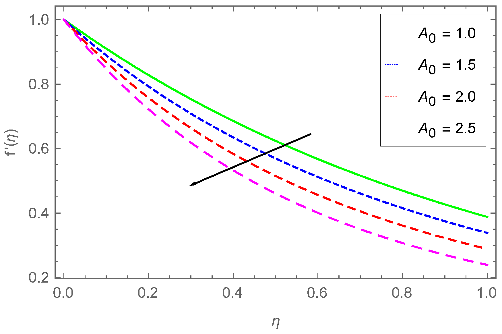
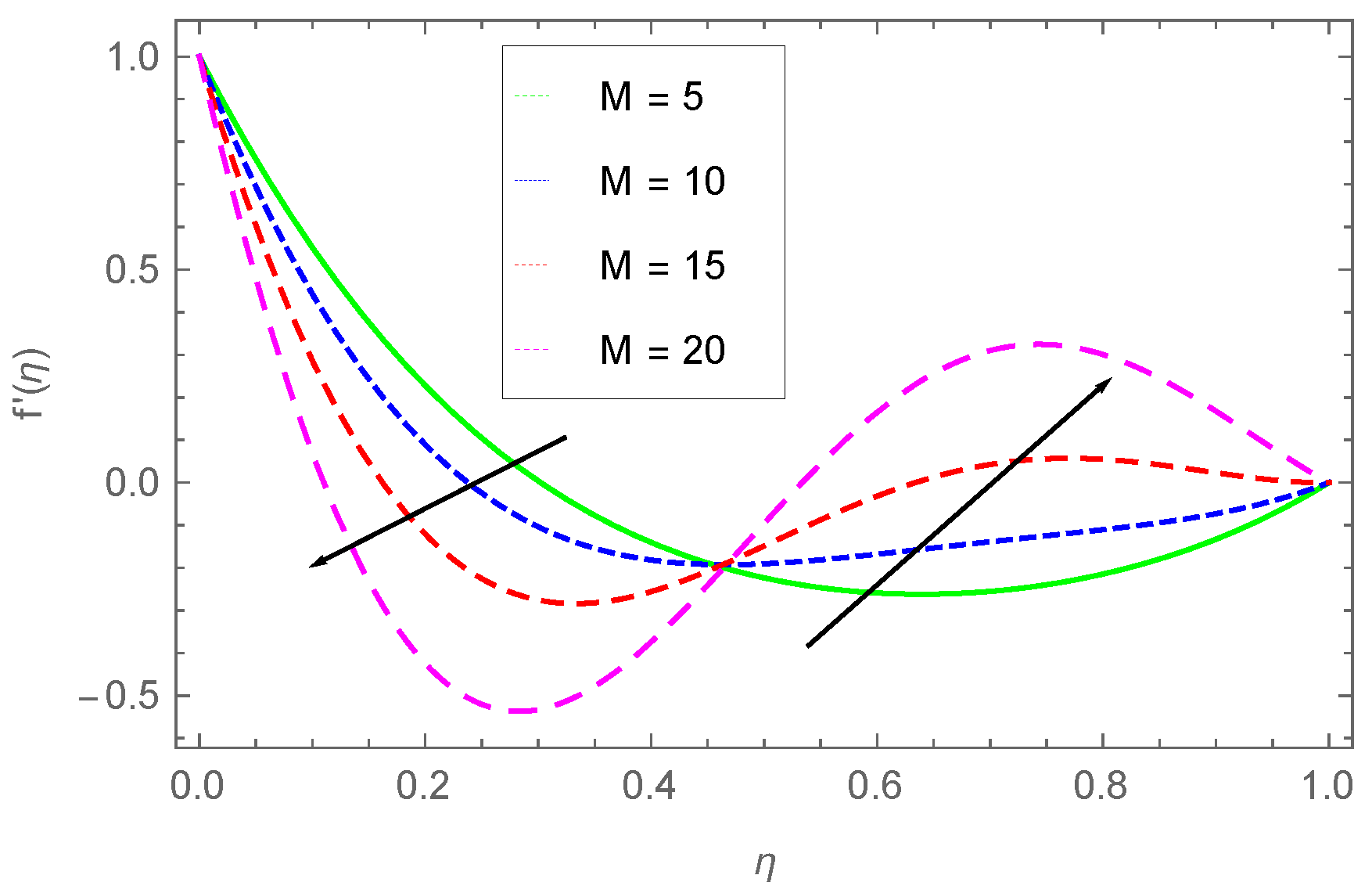
- The gradient in the fluid velocity’s horizontal component increases with the enhancing nonsteadiness parameter and has dual dependence on the augmenting magnetic field intensity.
- The horizontal component of the fluid velocity drops with the rising magnetic field and rotation parameter, whereas it rises with the increasing Grashof number.
- The vertical component of the fluid velocity rises with the increasing Grashof number and falls with the enhancing magnetic field strength.
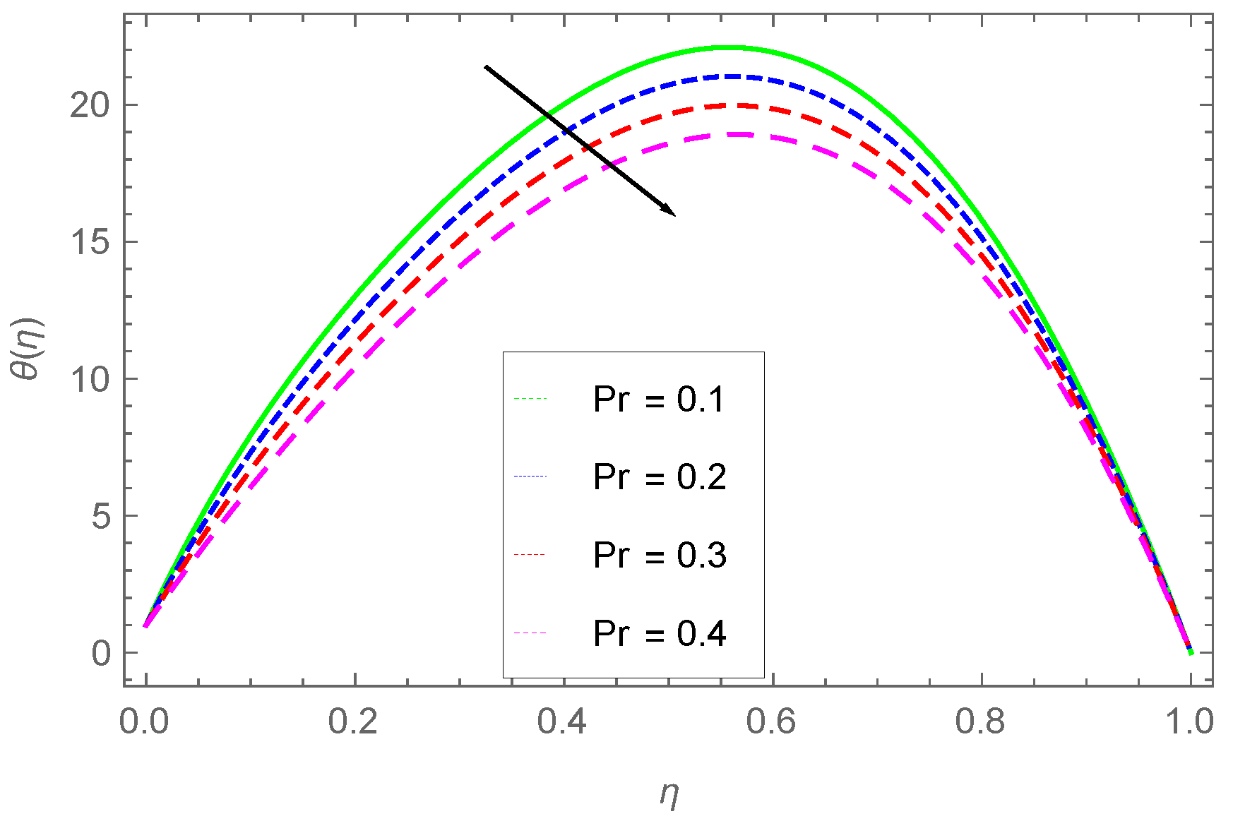
- The hybrid nanofluid’s temperature augments with the enhancing radiation parameter and the heat source strength, while it drops with the increasing Prandtl number, Grashof number, nonsteady parameter, and nanomaterials’ concentrations.
Author Contributions
Funding
Institutional Review Board Statement
Informed Consent Statement
Data Availability Statement
Acknowledgments
Conflicts of Interest
References
- Alsabery, A.; Chamkha, A.; Saleh, H.; Hashim, I. Natural convection flow of a nanofluid in an inclined square enclosure partially filled with a porous medium. Sci. Rep. 2017, 7, 2357. [Google Scholar] [CrossRef] [PubMed]
- Xu, H.J.; Xing, Z.B.; Wang, F.; Cheng, Z. Review on heat conduction, heat convection, thermal radiation and phase change heat transfer of nanofluids in porous media: Fundamentals and applications. Chem. Eng. Sci. 2019, 195, 462–483. [Google Scholar] [CrossRef]
- Choi, S.U.; Eastman, J.A. Enhancing Thermal Conductivity of Fluids with Nanoparticles; Technical Report; Argonne National Lab.: Argonne, IL, USA, 1995. [Google Scholar]
- Al-Srayyih, B.M.; Gao, S.; Hussain, S.H. Effects of linearly heated left wall on natural convection within a superposed cavity filled with composite nanofluid-porous layers. Adv. Powder Technol. 2019, 30, 55–72. [Google Scholar] [CrossRef]
- Mehryan, S.; Ghalambaz, M.; Izadi, M. Conjugate natural convection of nanofluids inside an enclosure filled by three layers of solid, porous medium and free nanofluid using Buongiorno’s and local thermal non-equilibrium models. J. Therm. Anal. Calorim. 2019, 135, 1047–1067. [Google Scholar] [CrossRef]
- Khanafer, K.; Vafai, K. A review on the applications of nanofluids in solar energy field. Renew. Energy 2018, 123, 398–406. [Google Scholar] [CrossRef]
- Basha, H.T.; Sivaraj, R.; Reddy, A.S.; Chamkha, A. SWCNH/diamond-ethylene glycol nanofluid flow over a wedge, plate and stagnation point with induced magnetic field and nonlinear radiation–solar energy application. Eur. Phys. J. Spec. Top. 2019, 228, 2531–2551. [Google Scholar] [CrossRef]
- Izadi, A.; Siavashi, M.; Xiong, Q. Impingement jet hydrogen, air and CuH2O nanofluid cooling of a hot surface covered by porous media with non-uniform input jet velocity. Int. J. Hydrog. Energy 2019, 44, 15933–15948. [Google Scholar] [CrossRef]
- Sabaghan, A.; Edalatpour, M.; Moghadam, M.C.; Roohi, E.; Niazmand, H. Nanofluid flow and heat transfer in a microchannel with longitudinal vortex generators: Two-phase numerical simulation. Appl. Therm. Eng. 2016, 100, 179–189. [Google Scholar] [CrossRef]
- Ebrahimi, A.; Rikhtegar, F.; Sabaghan, A.; Roohi, E. Heat transfer and entropy generation in a microchannel with longitudinal vortex generators using nanofluids. Energy 2016, 101, 190–201. [Google Scholar] [CrossRef]
- Siavashi, M.; Joibary, S.M.M. Numerical performance analysis of a counter-flow double-pipe heat exchanger with using nanofluid and both sides partly filled with porous media. J. Therm. Anal. Calorim. 2019, 135, 1595–1610. [Google Scholar] [CrossRef]
- Ghadikolaei, S.; Hosseinzadeh, K.; Ganji, D.; Jafari, B. Nonlinear thermal radiation effect on magneto Casson nanofluid flow with Joule heating effect over an inclined porous stretching sheet. Case Stud. Therm. Eng. 2018, 12, 176–187. [Google Scholar] [CrossRef]
- Kumar, M.A.; Reddy, Y.D.; Rao, V.S.; Goud, B.S. Thermal radiation impact on MHD heat transfer natural convective nano fluid flow over an impulsively started vertical plate. Case Stud. Therm. Eng. 2021, 24, 100826. [Google Scholar] [CrossRef]
- Naranjani, B.; Roohi, E.; Ebrahimi, A. Thermal and hydraulic performance analysis of a heat sink with corrugated channels and nanofluids. J. Therm. Anal. Calorim. 2021, 146, 2549–2560. [Google Scholar] [CrossRef]
- Mebarek-Oudina, F. Convective heat transfer of Titania nanofluids of different base fluids in cylindrical annulus with discrete heat source. Heat Transf.—Asian Res. 2019, 48, 135–147. [Google Scholar] [CrossRef] [Green Version]
- Muhammad, T.; Alamri, S.Z.; Waqas, H.; Habib, D.; Ellahi, R. Bioconvection flow of magnetized Carreau nanofluid under the influence of slip over a wedge with motile microorganisms. J. Therm. Anal. Calorim. 2021, 143, 945–957. [Google Scholar] [CrossRef]
- Shafiq, A.; Sindhu, T.N.; Khalique, C.M. Numerical investigation and sensitivity analysis on bioconvective tangent hyperbolic nanofluid flow towards stretching surface by response surface methodology. Alex. Eng. J. 2020, 59, 4533–4548. [Google Scholar] [CrossRef]
- Shafiq, A.; Sindhu, T.N.; Al-Mdallal, Q.M. A sensitivity study on carbon nanotubes significance in Darcy—Forchheimer flow towards a rotating disk by response surface methodology. Sci. Rep. 2021, 11, 8812. [Google Scholar] [CrossRef]
- Saif, R.S.; Hayat, T.; Ellahi, R.; Muhammad, T.; Alsaedi, A. Darcy—Forchheimer flow of nanofluid due to a curved stretching surface. Int. J. Numer. Methods Heat Fluid Flow 2019, 29, 2–20. [Google Scholar] [CrossRef]
- Khan, A.A.; Naeem, S.; Ellahi, R.; Sait, S.M.; Vafai, K. Dufour and Soret effects on Darcy–Forchheimer flow of second-grade fluid with the variable magnetic field and thermal conductivity. Int. J. Numer. Methods Heat Fluid Flow 2020, 30, 4331–4347. [Google Scholar] [CrossRef]
- Mahalakshmi, T.; Nithyadevi, N.; Oztop, H.F.; Abu-Hamdeh, N. MHD mixed convective heat transfer in a lid-driven enclosure filled with Ag-water nanofluid with center heater. Int. J. Mech. Sci. 2018, 142, 407–419. [Google Scholar] [CrossRef]
- Sheikholeslami, M.; Rezaeianjouybari, B.; Darzi, M.; Shafee, A.; Li, Z.; Nguyen, T.K. Application of nano-refrigerant for boiling heat transfer enhancement employing an experimental study. Int. J. Heat Mass Transf. 2019, 141, 974–980. [Google Scholar] [CrossRef]
- Zhang, L.; Bhatti, M.M.; Ellahi, R.; Michaelides, E.E. Oxytactic microorganisms and thermo-bioconvection nanofluid flow over a porous Riga plate with Darcy–Brinkman–Forchheimer medium. J. Non-Equilib. Thermodyn. 2020, 45, 257–268. [Google Scholar] [CrossRef]
- Taylor-Pashow, K.M.; Della Rocca, J.; Huxford, R.C.; Lin, W. Hybrid nanomaterials for biomedical applications. Chem. Commun. 2010, 46, 5832–5849. [Google Scholar] [CrossRef]
- Babazadeh, H.; Shah, Z.; Ullah, I.; Kumam, P.; Shafee, A. Analysis of hybrid nanofluid behavior within a porous cavity including Lorentz forces and radiation impacts. J. Therm. Anal. Calorim. 2021, 143, 1129–1137. [Google Scholar] [CrossRef]
- Mehryan, S.; Izadpanahi, E.; Ghalambaz, M.; Chamkha, A. Mixed convection flow caused by an oscillating cylinder in a square cavity filled with Cu–Al2O3/water hybrid nanofluid. J. Therm. Anal. Calorim. 2019, 137, 965–982. [Google Scholar] [CrossRef]
- Suresh, S.; Venkitaraj, K.; Selvakumar, P.; Chandrasekar, M. Synthesis of Al2O3–Cu/water hybrid nanofluids using two step method and its thermo physical properties. Colloid Surf. A Physicochem. Eng. Asp. 2011, 388, 41–48. [Google Scholar] [CrossRef]
- Chamkha, A.J.; Miroshnichenko, I.V.; Sheremet, M.A. Numerical analysis of unsteady conjugate natural convection of hybrid water-based nanofluid in a semicircular cavity. J. Therm. Sci. Eng. Appl. 2017, 9, 041004. [Google Scholar] [CrossRef]
- Momin, G.G. Experimental investigation of mixed convection with water-Al2O3 & hybrid nanofluid in inclined tube for laminar flow. Int. J. Sci. Technol. Res 2013, 2, 195–202. [Google Scholar]
- Sundar, L.S.; Singh, M.K.; Sousa, A.C. Enhanced heat transfer and friction factor of MWCNT–Fe3O4/water hybrid nanofluids. Int. Commun. Heat Mass Transf. 2014, 52, 73–83. [Google Scholar] [CrossRef]
- Ghachem, K.; Aich, W.; Kolsi, L. Computational analysis of hybrid nanofluid enhanced heat transfer in cross flow micro heat exchanger with rectangular wavy channels. Case Stud. Therm. Eng. 2021, 24, 100822. [Google Scholar] [CrossRef]
- Lund, L.A.; Omar, Z.; Khan, I.; Seikh, A.H.; Sherif, E.S.M.; Nisar, K.S. Stability analysis and multiple solution of Cu–Al2O3/H2O nanofluid contains hybrid nanomaterials over a shrinking surface in the presence of viscous dissipation. J. Mater. Res. Technol. 2020, 9, 421–432. [Google Scholar] [CrossRef]
- Suresh, S.; Venkitaraj, K.; Selvakumar, P.; Chandrasekar, M. Effect of Al2O3–Cu/water hybrid nanofluid in heat transfer. Exp. Therm. Fluid Sci. 2012, 38, 54–60. [Google Scholar] [CrossRef]
- Usman, M.; Hamid, M.; Zubair, T.; Haq, R.U.; Wang, W. Cu-Al2O3/Water hybrid nanofluid through a permeable surface in the presence of nonlinear radiation and variable thermal conductivity via LSM. Int. J. Heat Mass Transf. 2018, 126, 1347–1356. [Google Scholar] [CrossRef]
- Mohebbi, R.; Izadi, M.; Delouei, A.A.; Sajjadi, H. Effect of MWCNT–Fe3O4/water hybrid nanofluid on the thermal performance of ribbed channel with apart sections of heating and cooling. J. Therm. Anal. Calorim. 2019, 135, 3029–3042. [Google Scholar] [CrossRef]
- Minea, A.; Moldoveanu, M. Overview of hybrid nanofluids development and benefits. J. Eng. Thermophys. 2018, 27, 507–514. [Google Scholar] [CrossRef]
- Sinha, A.; Misra, J.; Shit, G. Effect of heat transfer on unsteady MHD flow of blood in a permeable vessel in the presence of non-uniform heat source. Alex. Eng. J. 2016, 55, 2023–2033. [Google Scholar] [CrossRef] [Green Version]
- Abdeljawad, T.; Ullah, A.; Alrabaiah, H.; Ayaz, M.; Khan, W.; Khan, I.; Khan, H.U. Thermal radiations and mass transfer analysis of the three-dimensional magnetite carreau fluid flow past a horizontal surface of paraboloid of revolution. Processes 2020, 8, 656. [Google Scholar] [CrossRef]
- Ma, Y.; Mohebbi, R.; Rashidi, M.; Yang, Z. Koo–Kleinstreuer–Li correlation for simulation of nanofluid natural convection in hollow cavity in existence of magnetic field. J. Therm. Anal. Calorim. 2019, 137, 1413–1429. [Google Scholar] [CrossRef]
- Goodarzi, M.; Toghraie, D.; Reiszadeh, M.; Afrand, M. Experimental evaluation of dynamic viscosity of ZnO–MWCNTs/engine oil hybrid nanolubricant based on changes in temperature and concentration. J. Therm. Anal. Calorim. 2019, 136, 513–525. [Google Scholar] [CrossRef]
- Liao, S.J. The Proposed Homotopy Analysis Technique for the Solution of Nonlinear Problems. Ph.D. Thesis, Shanghai Jiao Tong University, Shanghai, China, 1992. [Google Scholar]
- Liao, S. On the homotopy analysis method for nonlinear problems. Appl. Math. Comput. 2004, 147, 499–513. [Google Scholar] [CrossRef]
- Liao, S. Homotopy Analysis Method in Nonlinear Differential Equations; Springer: Berlin/Heidelberg, Germany, 2012. [Google Scholar]

















| Properties (Thermo-Physical) | |||
|---|---|---|---|
| GO | 5000 | 3600 | 765 |
| HO | 0.613 | 997.1 | 4179 |
| ZnO | 25 | 5700 | 523 |
| M | ||||
|---|---|---|---|---|
| 0.2 | 0.01 | 0.3 | 0.1 | 1.24321 |
| 0.4 | 1.49334 | |||
| 0.6 | 0.03 | 1.58438 | ||
| 0.06 | 1.67854 | |||
| 0.5 | 1.79825 | |||
| 0.7 | 1.98252 | |||
| 0.3 | 1.82112 | |||
| 0.5 | 1.64678 |
| M | Q | |||||
|---|---|---|---|---|---|---|
| 0.01 | 0.2 | 0.1 | 0.1 | 1 | 6.0 | 0.112530 |
| 0.03 | 0.223450 | |||||
| 0.06 | 0.4 | 0.238790 | ||||
| 0.6 | 0.339988 | |||||
| 0.3 | 0.441230 | |||||
| 0.6 | 0.541537 | |||||
| 0.3 | 0.651980 | |||||
| 0.6 | 0.767098 | |||||
| 2 | 0.889043 | |||||
| 3 | 0.892081 | |||||
| 6.3 | 0.742980 | |||||
| 6.6 | 0.705678 |
Publisher’s Note: MDPI stays neutral with regard to jurisdictional claims in published maps and institutional affiliations. |
© 2022 by the authors. Licensee MDPI, Basel, Switzerland. This article is an open access article distributed under the terms and conditions of the Creative Commons Attribution (CC BY) license (https://creativecommons.org/licenses/by/4.0/).
Share and Cite
Rizk, D.; Ullah, A.; Ikramullah; Elattar, S.; Alharbi, K.A.M.; Sohail, M.; Khan, R.; Khan, A.; Mlaiki, N. Impact of the KKL Correlation Model on the Activation of Thermal Energy for the Hybrid Nanofluid (GO+ZnO+Water) Flow through Permeable Vertically Rotating Surface. Energies 2022, 15, 2872. https://doi.org/10.3390/en15082872
Rizk D, Ullah A, Ikramullah, Elattar S, Alharbi KAM, Sohail M, Khan R, Khan A, Mlaiki N. Impact of the KKL Correlation Model on the Activation of Thermal Energy for the Hybrid Nanofluid (GO+ZnO+Water) Flow through Permeable Vertically Rotating Surface. Energies. 2022; 15(8):2872. https://doi.org/10.3390/en15082872
Chicago/Turabian StyleRizk, Doaa, Asad Ullah, Ikramullah, Samia Elattar, Khalid Abdulkhaliq M. Alharbi, Mohammad Sohail, Rajwali Khan, Alamzeb Khan, and Nabil Mlaiki. 2022. "Impact of the KKL Correlation Model on the Activation of Thermal Energy for the Hybrid Nanofluid (GO+ZnO+Water) Flow through Permeable Vertically Rotating Surface" Energies 15, no. 8: 2872. https://doi.org/10.3390/en15082872
APA StyleRizk, D., Ullah, A., Ikramullah, Elattar, S., Alharbi, K. A. M., Sohail, M., Khan, R., Khan, A., & Mlaiki, N. (2022). Impact of the KKL Correlation Model on the Activation of Thermal Energy for the Hybrid Nanofluid (GO+ZnO+Water) Flow through Permeable Vertically Rotating Surface. Energies, 15(8), 2872. https://doi.org/10.3390/en15082872

