Design and Implementation of Input AC Filters and Predictive Control for Matrix-Converter Based PMSM Drive Systems
Abstract
:1. Introduction
2. Indirect Matrix-Converter Control
2.1. Three-Phase Input Current Control
2.2. Output Voltage Control of Virtual Inverter
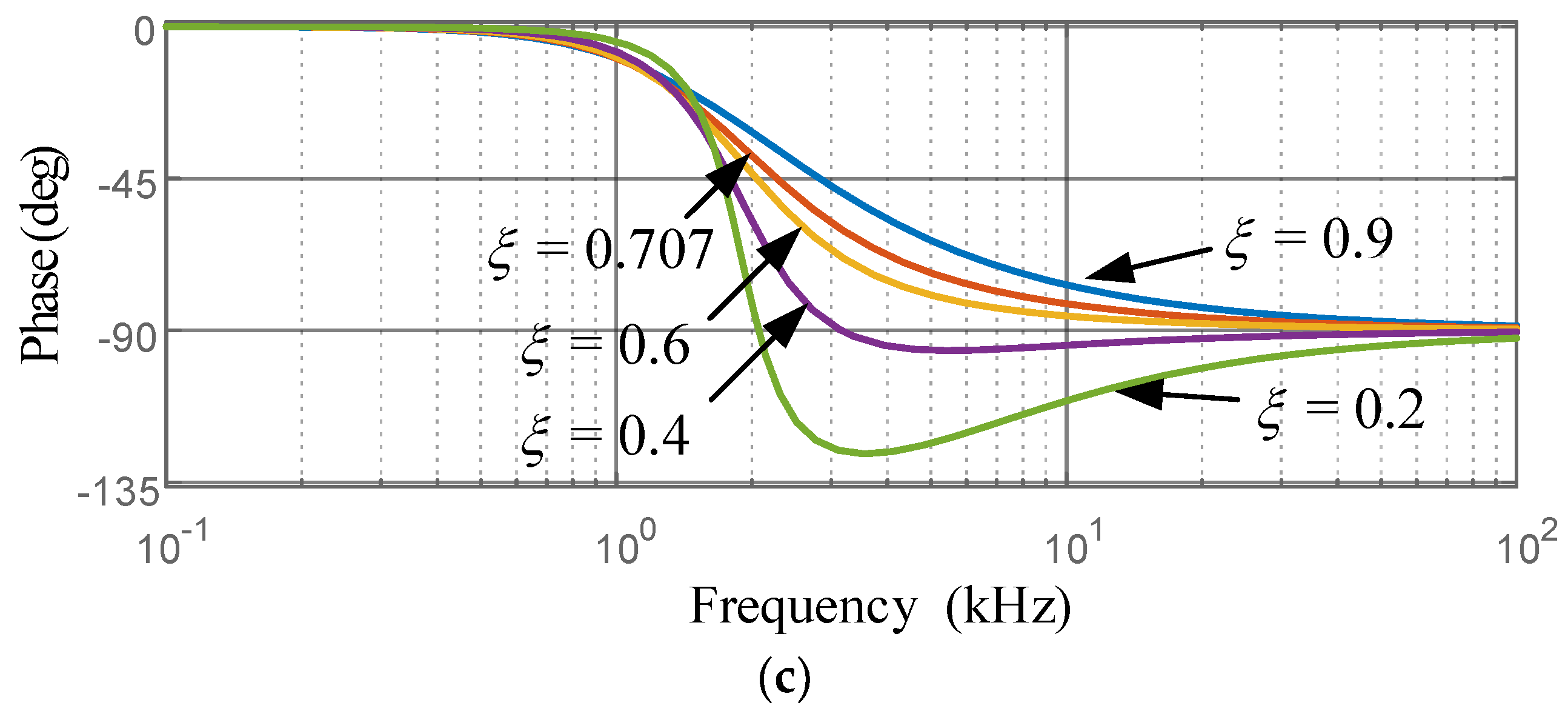
3. Input Filter Design
3.1. Method 1
3.2. Method 2
4. Predictive Controller Design
4.1. One-Step Predictive Speed Controller Design
4.2. Two-Step Predictive Speed Controller Design
5. Predictive Current Controller Design
6. Implementation
7. Experimental Results
8. Conclusions
Author Contributions
Funding
Conflicts of Interest
References
- Rodriguez, J.; Rivera, M.; Kolar, J.W.; Wheeler, P. A Review of Control and Modulation Methods for Matrix Converters. IEEE Trans. Ind. Electron. 2011, 59, 58–70. [Google Scholar] [CrossRef]
- Lei, J.; Zhou, B.; Qin, X.; Wei, J.; Bian, J. Active damping control strategy of matrix converter via modifying input reference currents. IEEE Trans. Power Electron. 2014, 30, 5260–5271. [Google Scholar] [CrossRef]
- Sahoo, A.K.; Basu, K.; Mohan, N. Systematic Input Filter Design of Matrix Converter by Analytical Estimation of RMS Current Ripple. IEEE Trans. Ind. Electron. 2014, 62, 132–143. [Google Scholar] [CrossRef]
- Oser, D.; Mohan, N. A matrix converter ride-through configuration using input filter capacitors as an energy exchange mechanism. IEEE Trans. Power Electron. 2015, 30, 4377–4385. [Google Scholar] [CrossRef]
- Dasgupta, A.; Sensarma, P. Filter Design of Direct Matrix Converter for Synchronous Applications. IEEE Trans. Ind. Electron. 2014, 61, 6483–6493. [Google Scholar] [CrossRef]
- Kume, T.; Yamada, K.; Higuchi, T.; Yamamoto, E.; Hara, H.; Sawa, T.; Swamy, M.M. Integrated filters and their combined effects in matrix converter. IEEE Trans. Ind. Appl. 2007, 43, 571–581. [Google Scholar] [CrossRef]
- Liu, S.; Ge, B.; Liu, Y.; Haitham, A.R.; Balog, R.S.; Sun, H. Modeling, analysis, and parameters design of LC-filter-integrated quasi-Z-source indirect matrix converter. IEEE Trans. Power Electron. 2016, 31, 7544–7555. [Google Scholar] [CrossRef]
- Deng, W.; Li, S. Direct Torque Control of Matrix Converter-Fed PMSM Drives Using Multidimensional Switching Table for Common-Mode Voltage Minimization. IEEE Trans. Power Electron. 2020, 36, 683–690. [Google Scholar] [CrossRef]
- Zhang, J.; Li, L.; Dorrell, D.G.; Guo, Y. Modified PI controller with improved steady-state performance and comparison with PR controller on direct matrix converters. Chin. J. Electr. Eng. 2019, 5, 53–66. [Google Scholar] [CrossRef]
- Mubarok, M.S.; Liu, T.-H. Implementation of Predictive Controllers for Matrix-Converter-Based Interior Permanent Magnet Synchronous Motor Position Control Systems. IEEE J. Emerg. Sel. Top. Power Electron. 2018, 7, 261–273. [Google Scholar] [CrossRef]
- Siami, M.; Khaburi, D.A.; Rodriguez, J. Simplified Finite Control Set-Model Predictive Control for Matrix Converter-Fed PMSM Drives. IEEE Trans. Power Electron. 2017, 33, 2438–2446. [Google Scholar] [CrossRef]
- Xia, C.; Zhao, J.; Yan, Y.; Shi, T. A Novel Direct Torque Control of Matrix Converter-Fed PMSM Drives Using Duty Cycle Control for Torque Ripple Reduction. IEEE Trans. Ind. Electron. 2013, 61, 2700–2713. [Google Scholar] [CrossRef]
- Nguyen-Duy, K.; Liu, T.-H.; Chen, D.-F.; Hung, J.Y. Improvement of Matrix Converter Drive Reliability by Online Fault Detection and a Fault-Tolerant Switching Strategy. IEEE Trans. Ind. Electron. 2011, 59, 244–256. [Google Scholar] [CrossRef]
- Friedli, T.; Kolar, J.W.; Rodriguez, J.; Wheeler, P. Comparative Evaluation of Three-Phase AC–AC Matrix Converter and Voltage DC-Link Back-to-Back Converter Systems. IEEE Trans. Ind. Electron. 2011, 59, 4487–4510. [Google Scholar] [CrossRef]
- Di, Z.; Xu, D.; Tarisciotti, L.; Wheeler, P. A Novel Predictive Control Method with Optimal Switching Sequence and Filter Resonance Suppression for Two-Stage Matrix Converter. Energies 2021, 14, 3652. [Google Scholar] [CrossRef]
- Li, S.; Wang, Z.; Yan, Y.; Shi, T. Finite Set Model Predictive Control of a Dual-Motor Torque Synchronization System Fed by an Indirect Matrix Converter. Energies 2021, 14, 1325. [Google Scholar] [CrossRef]
- Di, Z.; Xu, D.; Zhang, K. Continuous Control Set Model Predictive Control for an Indirect Matrix Converter. Energies 2021, 14, 4114. [Google Scholar] [CrossRef]
- Dendouga, A. Conventional and Second Order Sliding Mode Control of Permanent Magnet Synchronous Motor Fed by Direct Matrix Converter: Comparative Study. Energies 2020, 13, 5093. [Google Scholar] [CrossRef]
- Bu, H.; Cho, Y. GaN-based matrix converter design with output filters for motor friendly drive system. Energies 2020, 13, 971. [Google Scholar] [CrossRef] [Green Version]
- Feng, S.; Wei, C.; Lei, J. Reduction of Prediction Errors for the Matrix Converter with an Improved Model Predictive Control. Energies 2019, 12, 3029. [Google Scholar] [CrossRef] [Green Version]
- Orcioni, S.; Biagetti, G.; Crippa, P.; Falaschetti, L. A Driving Technique for AC-AC Direct Matrix Converters Based on Sigma-Delta Modulation. Energies 2019, 12, 1103. [Google Scholar] [CrossRef] [Green Version]
- Tuyen, N.D.; Dzung, P.Q. Space Vector Modulation for an Indirect Matrix Converter with Improved Input Power Factor. Energies 2017, 10, 588. [Google Scholar] [CrossRef] [Green Version]
- He, Q.; Liu, L.; Qiu, M.; Luo, Q. A Step-by-Step Design for Low-Pass Input Filter of the Single-Stage Converter. Energies 2021, 14, 7901. [Google Scholar] [CrossRef]
- Trentin, A.; Zanchetta, P.; Clare, J.; Wheeler, P. Automated Optimal Design of Input Filters for Direct AC/AC Matrix Converters. IEEE Trans. Ind. Electron. 2011, 59, 2811–2823. [Google Scholar] [CrossRef]
- Rodriguez, J.; Cortes, P. Predictive Control of Power Converters and Electrical Drives; John Wiley & Sons, Ltd.: West Sussex, UK, 2021. [Google Scholar]
- Wang, L. Model Predictive Control System Design and Implementation Using MATLAB; Springer: London, UK, 2009. [Google Scholar]






















| Input Current Vectors | ||||||
|---|---|---|---|---|---|---|
| 1 | 0 | 0 | 0 | 0 | 1 | |
| 0 | 0 | 1 | 0 | 0 | 1 | |
| 0 | 1 | 1 | 0 | 0 | 0 | |
| 0 | 1 | 0 | 0 | 1 | 0 | |
| 0 | 0 | 0 | 1 | 1 | 0 | |
| 1 | 0 | 0 | 1 | 0 | 0 | |
| 1 | 1 | 0 | 0 | 0 | 0 | |
| 0 | 0 | 1 | 1 | 0 | 0 | |
| 0 | 0 | 0 | 0 | 1 | 1 |
| 5th Harmonic | 7th Harmonic | THD | ||
|---|---|---|---|---|
| Without input filters | 16.26% | 11.61% | 132.14% | |
| Method 1 | 3.73% | 1.87% | 9.55% | |
| Method 2 | 5.87% | 2.09% | 12.08% | |
| Command | PI | One-Step Predictive | Two-Step Predictive | |
|---|---|---|---|---|
| Controller | ||||
| Step speed command 300 r/min | Rise time | 0.15 s | 0.13 s | 0.17 s |
| Settling time | 0.4 s | 0.24 s | 0.26 s | |
| Overshoot | 6.33% | 2% | 1% | |
| Steady state error | 2 r/min | 2 r/min | 1 r/min | |
| Load-disturbance 2 N-m | Recovery time | 0.28 s | 0.17 s | 0.2 s |
| Speed drop | 48 r/min | 24 r/min | 23 r/min |
Publisher’s Note: MDPI stays neutral with regard to jurisdictional claims in published maps and institutional affiliations. |
© 2022 by the authors. Licensee MDPI, Basel, Switzerland. This article is an open access article distributed under the terms and conditions of the Creative Commons Attribution (CC BY) license (https://creativecommons.org/licenses/by/4.0/).
Share and Cite
Liu, T.-H.; Li, J.-H. Design and Implementation of Input AC Filters and Predictive Control for Matrix-Converter Based PMSM Drive Systems. Energies 2022, 15, 748. https://doi.org/10.3390/en15030748
Liu T-H, Li J-H. Design and Implementation of Input AC Filters and Predictive Control for Matrix-Converter Based PMSM Drive Systems. Energies. 2022; 15(3):748. https://doi.org/10.3390/en15030748
Chicago/Turabian StyleLiu, Tian-Hua, and Jia-Han Li. 2022. "Design and Implementation of Input AC Filters and Predictive Control for Matrix-Converter Based PMSM Drive Systems" Energies 15, no. 3: 748. https://doi.org/10.3390/en15030748
APA StyleLiu, T.-H., & Li, J.-H. (2022). Design and Implementation of Input AC Filters and Predictive Control for Matrix-Converter Based PMSM Drive Systems. Energies, 15(3), 748. https://doi.org/10.3390/en15030748

