Skyhook Control Law Extension for Suspension with Nonlinear Spring Characteristics
Abstract
1. Introduction
2. The Research Object under Consideration
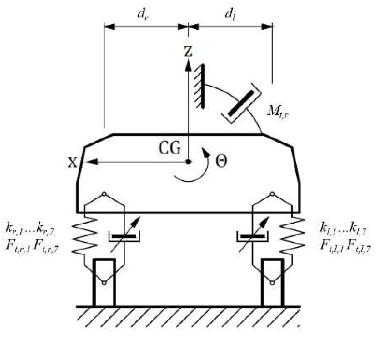
2.1. The Model of the 2S1 Platform
2.2. Continuous Skyhook Control Law for a Suspension System with Linear Stiffness Elements
2.3. Modification of Continuous Skyhook Control Law for a Suspension System with Nonlinear Stiffness Elements
3. Application
4. Results and Discussion
- —displacement of the center of mass;
- —pitch angle—where the vehicle’s front goes up or down about an axis running from wheel to wheel. Transverse tilting axis;
- —roll angle—where the vehicle rotates about an axis running from rear to front of the car. Longitudinal tilting axis.
- Excitation of the front axis (1) by sinusoidal signal—both wheels simultaneously ;
- Excitation of the front axis (1) by sinusoidal signal—delayed by , right wheel in relation to the left wheel , ;
- Excitation of the middle axis (4) by sinusoidal signal—both wheels simultaneously ;
- Excitation of the rear axis (7) by sinusoidal signal—both wheels simultaneously ;
- Excitation of the front (1) and rear (7) axis by sinusoidal signal delayed by relative to each other , .
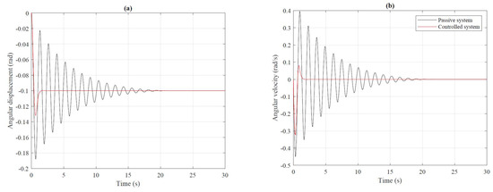
Discussion of the Numerical Investigation Results
5. Conclusions
6. Patents
- A vehicle suspension assembly, especially multi-wheel off-road vehicles;
- Inventors: M. Apostoł; A. Jurkiewicz; T. Cygankiewicz; J. Kowal; J. Konieczny; P. Micek; A. Rusinek; A. Matuła; J. Zając; T. Pieprzny.
- Application P.393407 events
- 2010-12-23 Application filed by AGH University of Science and Technology
- 2011-06-20 Publication of PL 393407 A1
- 2014-03-31 Publication of PL 216343 B1
- 2013-08-21 Application granted
- Status Active
- Hydraulic rotary actuator;
- Inventors: M. Apostoł; A. Jurkiewicz; T. Cygankiewicz; J. Kowal; J. Konieczny; P. Micek; A. Rusinek; A. Matuła; J. Zając; T. Pieprzny.
- Application P.393536 events
- 2010-12-31 Application filed by AGH University of Science and Technology
- 2011-06-20 Publication of PL 393536 A1
- 2014-02-28 Publication of PL 215934 B1
- 2013-06-26 Application granted
- Status Active
- Cumulative, flexible coupling;
- Inventors: M. Apostoł; A. Jurkiewicz; T. Cygankiewicz; J. Kowal; J. Konieczny; P. Micek; A. Rusinek; A. Matuła; J. Zając; T. Pieprzny.
- Application P.393537 events
- 2010-12-31 Application filed by AGH University of Science and Technology
- 2011-08-01 Publication of PL 393537 A1
- 2014-02-28 Publication of PL 216095 B1
- 2013-07-15 Application granted
- Status Active
Author Contributions
Funding
Institutional Review Board Statement
Informed Consent Statement
Data Availability Statement
Conflicts of Interest
Appendix A



References
- Morato, M.M.; Nguyen, M.Q.; Sename, O.; Dugard, L. Design of a fast real-time LPV model predictive control system for semi-active suspension control of a full vehicle. J. Frankl. Inst. 2019, 356, 1196–1224. [Google Scholar] [CrossRef]
- Ghoniem, M.; Awad, T.; Mokhiamar, O. Control of a new low-cost semi-active vehicle suspension system using artificial neural networks. Alex. Eng. J. 2020, 59, 4013–4025. [Google Scholar] [CrossRef]
- Pang, H.; Liu, F.; Xu, Z. Variable universe fuzzy control for vehicle semi-active suspension system with MR damper combining fuzzy neural network and particle swarm optimization. Neurocomputing 2018, 306, 130–140. [Google Scholar] [CrossRef]
- Ma, T.; Bi, F.; Wang, X.; Tian, C.; Lin, J.; Wang, J.; Pang, G. Optimized fuzzy skyhook control for semi-active vehicle suspension with new inverse model of magnetorheological fluid damper. Energies 2021, 14, 1674. [Google Scholar] [CrossRef]
- Aljarbouh, A.; Fayaz, M. Hybrid modelling and sliding mode control of semi-active suspension systems for both ride comfort and road-holding. Symmetry 2020, 12, 1286. [Google Scholar] [CrossRef]
- Konieczny, J.; Sibielak, M.; Rączka, W. Active vehicle suspension with anti-roll system based on advanced sliding mode controller. Energies 2020, 13, 5560. [Google Scholar] [CrossRef]
- Tudon-Martinez, J.C.; Hernandez-Alcantara, D.; Sename, O.; Morales-Menendez, R.; Lozoya-Santos, J.D.J. Parameter-dependent H∞ filter for LPV semi-active suspension systems. IFAC-PapersOnLine 2018, 51, 19–24. [Google Scholar] [CrossRef]
- Vela, A.E.; Alcántara, D.H.; Menendez, R.M.; Sename, O.; Dugard, L. H∞ observer for damper force in a semi-active suspension. IFAC-PapersOnLine 2018, 51, 764–769. [Google Scholar] [CrossRef]
- Sibielak, M.; Raczka, W.; Konieczny, J.; Kowal, J. Optimal control based on a modified quadratic performance index for systems disturbed by sinusoidal signals. Mech. Syst. Signal Process. 2015, 64–65, 498–519. [Google Scholar] [CrossRef]
- Konieczny, J.; Rączka, W.; Sibielak, M.; Kowal, J. Energy consumption of an active vehicle suspension with an optimal controller in the presence of sinusoidal excitations. Shock Vib. 2020, 2020, 6414352. [Google Scholar] [CrossRef]
- Liu, C.; Chen, L.; Yang, X.; Zhang, X.; Yang, Y. General theory of skyhook control and its application to semi-active suspension control strategy design. IEEE Access 2019, 7, 101552–101560. [Google Scholar] [CrossRef]
- Konieczny, J.; Kowal, J.; Raczka, W.; Sibielak, M. Bench tests of slow and full active suspensions in terms of energy consumption. J. Low Freq. Noise Vib. Act. Control 2013, 32, 81–98. [Google Scholar] [CrossRef]
- Sibielak, M.; Konieczny, J.; Kowal, J.; Raczka, W.; Marszalik, D. Optimal control of slow-active vehicle suspension—Results of experimental data. J. Low Freq. Noise Vib. Act. Control 2013, 32, 99–116. [Google Scholar] [CrossRef]
- Jurkiewicz, A.; Kowal, J.; Zając, K. Model studies of the modernized 2S1 tracked vehicle suspension system. In Proceedings of the 31st International Symposium on Science and Technology, Kraków, Poland, 27–28 October 2016; Nawrocka, A., Flaga, S., Eds.; Department of Process Control, Faculty of Mechanical Engineering and Robotics, AGH University of Science and Technology: Kraków, Poland, 2016. [Google Scholar]
- Jurkiewicz, A.; Kowal, J.; ZajĄc, K. Sky-hook control and Kalman filtering in nonlinear model of tracked vehicle suspension system. Acta Mech. Autom. 2017, 11, 222–228. [Google Scholar] [CrossRef][Green Version]
- Jamroziak, K.; Kosobudzki, M.; Ptak, J. Assessment of the comfort of passenger transport in special purpose vehicles. Eksploat. Niezawodn. 2013, 15, 25–30. [Google Scholar]
- Burdzik, R.; Konieczny, Ł. Vibration issues in passenger car. Transp. Probl. 2014, 9, 83–90. [Google Scholar]
- Bajkowski, J.M. Design, analysis and performance evaluation of the linear, magnetorheological damper. Acta Mech. Autom. 2012, 6, 5–9. [Google Scholar]
- Karnopp, D.; Crosby, M.J.; Harwood, R.A. Vibration control using semi-active force generators. J. Manuf. Sci. Eng. Trans. ASME 1974, 96, 619–626. [Google Scholar] [CrossRef]
- Lam, A.H.F.; Liao, W.H. Semi-active control of automotive suspension systems with magneto-rheological dampers. Int. J. Veh. Des. 2003, 33, 50–75. [Google Scholar] [CrossRef]
- Simon, D.; Ahmadian, M. Vehicle evaluation of the performance of magneto rheological dampers for heavy truck suspensions. J. Vib. Acoust. Trans. ASME 2001, 123, 365–375. [Google Scholar] [CrossRef]
- Hyvärinen, J.-P. The Improvement of Full Vehicle Semi-Active Suspension through Kinematical Model; University of Oulu: Oulu, Finland, 2004; ISBN 9514276116. [Google Scholar]
- Nabagło, T.; Jurkiewicz, A.; Kowal, J. Modeling verification of an advanced torsional spring for tracked vehicle suspension in 2S1 vehicle model. Eng. Struct. 2021, 229, 111623. [Google Scholar] [CrossRef]
- Kciuk, M.; Turczyn, R. Properties and application of magnetorheological fluids. J. Achiev. Mater. Manuf. Eng. 2006, 18, 127–130. [Google Scholar]
- Qin, Y.; Xiang, C.; Wang, Z.; Dong, M. Road excitation classification for semi-active suspension system based on system response. J. Vib. Control 2018, 24, 2732–2748. [Google Scholar] [CrossRef]
- Wang, E.K.; Ma, X.Q.; Rakheja, S.; Su, C.Y. Semi-active control of vehicle vibration with MR-dampers. In Proceedings of the 42nd IEEE International Conference on Decision and Control (IEEE Cat. No. 03CH37475), Maui, HI, USA, 9–12 December 2003; Volume 3, pp. 2270–2275. [Google Scholar]
- Guo, S.; Yang, S.; Pan, C. Dynamic modeling of magnetorheological damper behaviors. J. Intell. Mater. Syst. Struct. 2006, 17, 3–14. [Google Scholar] [CrossRef]
- Hu, G.; Liu, Q.; Ding, R.; Li, G. Vibration control of semi-active suspension system with magnetorheological damper based on hyperbolic tangent model. Adv. Mech. Eng. 2017, 9, 1–15. [Google Scholar] [CrossRef]
- Sapiński, B.; Filuś, J. Analysis of parametric models of MR linear damper. J. Theor. Appl. Mech. 2003, 41, 215–240. [Google Scholar]
- Sapiński, B.; Jstrzębski, Ł.; Węgrzynowski, M. Modelling of a self-powered vibration reduction system. Model. Inżynierskie 2011, 10, 353–362. [Google Scholar]
- Yi, K.; Song, B.S. A new adaptive sky-hook control of vehicle semi-active suspensions. Proc. Inst. Mech. Eng. Part D J. Automob. Eng. 1999, 213, 293–303. [Google Scholar] [CrossRef]
- Gopala Rao, L.V.V.; Narayanan, S. Sky-hook control of nonlinear quarter car model traversing rough road matching performance of LQR control. J. Sound Vib. 2009, 323, 515–529. [Google Scholar] [CrossRef]
- Li, H.; Goodall, R.M. Linear and non-linear skyhook damping control laws for active railway suspensions. Control Eng. Pract. 1999, 7, 843–850. [Google Scholar] [CrossRef]
- Kciuk, S.; Duda, S.; Mężyk, A.; Świtoński, E.; Klarecki, K. Tuning the dynamic characteristics of tracked vehicles suspension using controllable fluid dampers. In Innovative Control Systems for Tracked Vehicle Platforms; Studies in Systems, Decision and Control Book Series; Springer: Cham, Switzerland, 2014; Volume 2, pp. 243–258. [Google Scholar]
- Nabagło, T.; Jurkiewicz, A.; Kowal, J. Semi-active suspension system for 2S1 tracked platform in application of improvement of the vehicle body stability. Appl. Mech. Mater. 2015, 759, 77–90. [Google Scholar] [CrossRef]
- Martynowicz, P. Control of a magnetorheological tuned vibration absorber for wind turbine application utilising the refined force tracking algorithm. J. Low Freq. Noise Vib. Act. Control 2017, 36, 339–353. [Google Scholar] [CrossRef]
- Hajdu, F. Sensitivity study of a nonlinear semi-active suspension system. Acta Tech. Jaurinensis 2019, 12, 205–217. [Google Scholar] [CrossRef]
- Tudon-Martinez, J.C.; Hernandez-Alcantara, D.; Amezquita-Brooks, L.; Morales-Menendez, R.; Lozoya-Santos, J.d.J.; Aquines, O. Magneto-rheological dampers—Model influence on the semi-active suspension performance. Smart Mater. Struct. 2019, 28, 105030. [Google Scholar] [CrossRef]















| Exposure Time [s] | Passive System | Controlled System | |||
|---|---|---|---|---|---|
| 12 | 0.50 (0.0828) | 0.0734 | 0.4627 | 0.0727 | 0.4568 |
| 13 | 0.46 (0.0765) | 0.0556 | 0.4319 | 0.0548 | 0.4274 |
| 14 | 0.43 (0.0710) | 0.0453 | 0.4037 | 0.0442 | 0.4004 |
| 15 | 0.40 (0.0663) | 0.0391 | 0.3821 | 0.0377 | 0.3795 |
| 16 | 0.37 (0.0621) | 0.0356 | 0.3600 | 0.0340 | 0.3581 |
| Exposure Time [s] | Passive System | Controlled System | |||
|---|---|---|---|---|---|
| 12 | 0.50 (0.0828) | 0.0416 | 0.2853 | 0.0407 | 0.2849 |
| 13 | 0.46 (0.0765) | 0.0330 | 0.2176 | 0.0320 | 0.2126 |
| 14 | 0.43 (0.0710) | 0.0282 | 0.2126 | 0.0273 | 0.2041 |
| 15 | 0.40 (0.0663) | 0.0253 | 0.2010 | 0.0245 | 0.1920 |
| 16 | 0.37 (0.0621) | 0.0223 | 0.1785 | 0.0216 | 0.1696 |
| Exposure Time [s] | Passive System | Controlled System | |||
|---|---|---|---|---|---|
| 12 | 0.50 (0.0828) | 0.0185 | 0.0804 | 0.0177 | 0.0813 |
| 13 | 0.46 (0.0765) | 0.0144 | 0.0651 | 0.0135 | 0.0643 |
| 14 | 0.43 (0.0710) | 0.0119 | 0.0602 | 0.0110 | 0.0595 |
| 15 | 0.40 (0.0663) | 0.0105 | 0.0567 | 0.0095 | 0.0561 |
| 16 | 0.37 (0.0621) | 0.0096 | 0.0531 | 0.0087 | 0.0528 |
Publisher’s Note: MDPI stays neutral with regard to jurisdictional claims in published maps and institutional affiliations. |
© 2022 by the authors. Licensee MDPI, Basel, Switzerland. This article is an open access article distributed under the terms and conditions of the Creative Commons Attribution (CC BY) license (https://creativecommons.org/licenses/by/4.0/).
Share and Cite
Zając, K.; Kowal, J.; Konieczny, J. Skyhook Control Law Extension for Suspension with Nonlinear Spring Characteristics. Energies 2022, 15, 754. https://doi.org/10.3390/en15030754
Zając K, Kowal J, Konieczny J. Skyhook Control Law Extension for Suspension with Nonlinear Spring Characteristics. Energies. 2022; 15(3):754. https://doi.org/10.3390/en15030754
Chicago/Turabian StyleZając, Kamil, Janusz Kowal, and Jarosław Konieczny. 2022. "Skyhook Control Law Extension for Suspension with Nonlinear Spring Characteristics" Energies 15, no. 3: 754. https://doi.org/10.3390/en15030754
APA StyleZając, K., Kowal, J., & Konieczny, J. (2022). Skyhook Control Law Extension for Suspension with Nonlinear Spring Characteristics. Energies, 15(3), 754. https://doi.org/10.3390/en15030754

