Experimental and Numerical Study of a Two-Stage Swirl Burner
Abstract
:1. Introduction
2. Experimental Setup and Methodology
3. Numerical Method
3.1. Realizable k-ε Turbulence Model
3.2. Radiative Transfer Model
3.3. NOx Formation Model
3.4. Combustion Reaction Model
3.5. Numerical Meshes
3.6. Numerical Solution Methods
4. Simulation and Analysis
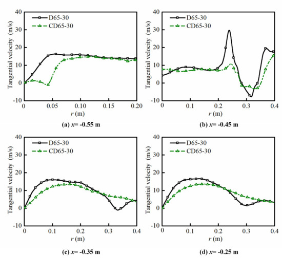
4.1. The Effect of a Gas Classification Strategy with a Central Nozzle on the Flow Field and Combustion Characteristics
4.2. The Influence of the Angle of the Two-Stage Swirl Blade on the Flow and Combustion Characteristics
4.3. The Influence of Bluff Body on Flow and Combustion Characteristics
5. Conclusions
Author Contributions
Funding
Institutional Review Board Statement
Informed Consent Statement
Data Availability Statement
Conflicts of Interest
References
- Wang, Y.; Sun, X.; Wang, B.; Liu, X. Energy saving, GHG abatement and industrial growth in OECD countries: A green productivity approach. Energy 2020, 194, 116833.1–116833.9. [Google Scholar] [CrossRef]
- Edland, R.; Normann, F.; Fredriksson, C.; Andersson, K. Implications of fuel choice and burner settings for combustion efficiency and NOx formation in PF-Fired iron ore rotary kilns. Energy Fuels 2017, 31, 3253–3261. [Google Scholar] [CrossRef]
- Filipponi, M.; Rossi, F.; Presciutti, A.; Ciantis, S.D.; Castellani, B.; Carpinelli, A. Thermal analysis of an industrial furnace. Energies 2016, 9, 833. [Google Scholar] [CrossRef] [Green Version]
- Xu, M.; Tu, Y.; Yu, W.; Yang, W.; Prabakaran, S. On the combination of fuel-rich/lean burner with MILD combustion for further NOx emission reduction. Energy Procedia 2019, 158, 1672–1677. [Google Scholar] [CrossRef]
- Wang, Y.; Zhou, Y.; Bai, N.; Han, J. Experimental investigation of the characteristics of NOx emissions with multiple deep air-staged combustion of lean coal. Fuel 2020, 280, 118416. [Google Scholar] [CrossRef]
- Li, J.; Chen, J.; Jin, W.; Yuan, L.; Hu, G. The design and performance of a RP-3 fueled high temperature rise combustor based on RQL staged combustion. Energy 2020, 209, 118480. [Google Scholar] [CrossRef]
- Li, X.R.; Zhao, W.H.; Gao, H.B.; Liu, F.S. Fuel and air mixing characteristics of wall-flow-guided combustion systems under a low excess air ratio condition in direct injection diesel engines. Energy 2019, 175, 554–566. [Google Scholar]
- Yu, Z.; Fan, X.; Gan, M.; Chen, X.; Lv, W. NOx reduction in the iron ore sintering process with flue gas recirculation. J. Oper. Manag. 2017, 69, 1570–1574. [Google Scholar]
- Fan, X.; Yu, Z.; Gan, M.; Chen, X.; Chen, Q.; Liu, S.; Huang, Y. Elimination behaviors of NOx in the sintering process with flue gas recirculation. ISIJ Int. 2015, 55, 2074–2081. [Google Scholar] [CrossRef] [Green Version]
- Qian, F.; Chyang, C.; Yeh, C.; Tso, J. Characteristics of a pilot-scale vortexing fluidized-bed combustor with flue gas recirculation (FGR): Effect of operating conditions on the combustion behavior. Energy Fuels 2010, 24, 6257–6265. [Google Scholar] [CrossRef]
- Dulin, V.; Chikishev, L.; Sharaborin, D.; Lobasov, A.; Tolstoguzov, R.; Liu, Z.; Shi, X.; Li, Y.; Markovich, D. On the flow structure and dynamics of methane and syngas lean flames in a model gas-turbine combustor. Energies 2021, 14, 8267. [Google Scholar] [CrossRef]
- Gao, W.; Yan, Y.; Shen, K.; Huang, L.; Gao, B. Combustion characteristic of premixed H2/air in the micro cavity combustor with guide vanes. Energy 2021, 239, 121975. [Google Scholar] [CrossRef]
- Liu, W.; Ouyang, Z.; Cao, X.; Na, Y. The influence of air-stage method on flameless combustion of coal gasification fly ash with coal self-preheating technology. Fuel 2019, 235, 1368–1376. [Google Scholar] [CrossRef]
- Khidr, K.I.; Eldrainy, Y.A.; El-Kassaby, M.M. Towards lower gas turbine emissions: Flameless distributed combustion. Renew. Sustain. Energy Rev. 2017, 67, 1237–1266. [Google Scholar] [CrossRef]
- Zhao, H.; Li, G.; Zhao, D.; Zhang, Z.; Sun, D.; Yang, W.; Li, S.; Lu, Z.; Zheng, Y. Experimental study of equivalence ratio and fuel flow rate effects on nonlinear thermoacoustic instability in a swirl combustor. Appl. Energy 2017, 208, 123–131. [Google Scholar] [CrossRef] [Green Version]
- Zhang, Z.; Liu, X.; Gong, Y.; Li, Z.; Zheng, H. Investigation on flame characteristics of industrial gas turbine combustor with different mixing uniformities. Fuel 2020, 259, 116297. [Google Scholar] [CrossRef]
- Hadef, R.; Lenze, B. Effects of co- and counter-swirl on the droplet characteristics in a spray flame. Chem. Eng. Process. 2008, 47, 2209–2217. [Google Scholar] [CrossRef]
- De Rosa, A.J.; Peluso, S.J.; Quay, B.D.; Santavicca, D.A. The effect of confinement on the structure and dynamic response of lean-premixed, swirl-stabilized flames. J. Eng. Gas. Turbine Power 2015, 138, 061507. [Google Scholar] [CrossRef]
- Legrand, M.; Nogueira, J.; Lecuona, A.; Nauri, S.; Rodríguez, P. Atmospheric low swirl burner flow characterization with stereo PIV. Exp. Fluids 2010, 48, 901–913. [Google Scholar] [CrossRef]
- Rosec, I.; Katranik, T.; Bakovi, U.V.; Seljak, T. Exhaust gas recirculation with highly oxygenated fuels in gas turbines. Fuel 2020, 278, 118285. [Google Scholar] [CrossRef]
- Yafei, Z.; Rui, L.; Yihua, D.; Qulan, Z. Combustion characteristics and NOx emission through a swirling burner with adjustable flaring angle. Energies 2018, 11, 2173. [Google Scholar]
- Daood, S.S.; Yelland, T.S.; Szuhanszki, J.; Pourkashanian, M.; Nimmo, W. Experimental investigation of NO reburning during oxy-coal burner staging. Energy Fuels 2019, 33, 1590–1602. [Google Scholar] [CrossRef]
- Zhou, L.X. Comparison of studies on flow and flame structures in different swirl combustors. Aerosp. Sci. Technol. 2018, 80, 29–37. [Google Scholar] [CrossRef]
- Wu, S.; Che, D.; Wang, Z.; Su, X. NOx emissions and nitrogen fate at high temperatures in staged combustion. Energies 2020, 13, 3557. [Google Scholar] [CrossRef]
- Zhu, X.; Li, R.; Li, D.; Peng, Z.; Qian, R. Experimental study and RANS calculation on velocity and temperature of a kerosene-fueled swirl laboratory combustor with and without centerbody air injection. Int. J. Heat Mass Transf. 2015, 89, 964–976. [Google Scholar] [CrossRef]
- Chen, S.; Xing, Y.; Li, A. CFD investigation on Low-NOX strategy of folded flame pattern based on fuel-staging natural gas burner. Appl. Therm. Eng. 2017, 112, 1487–1496. [Google Scholar] [CrossRef]
- Huang, L.; Kumar, K.; Mujumdar, A.S. Simulation of a spray dryer fitted with a rotary disk atomizer using a three-dimensional Computional Fluid Dynamic Model. Dry 2004, 22, 1489–1515. [Google Scholar] [CrossRef]
- Hinojosa, J.F.; Orozco, D.A.; Xaman, J. Experimental and numerical study of a ventilated room with located heat sources. Energy Sci. Eng. 2020, 146, 4020024. [Google Scholar] [CrossRef]
- Bidi, M.; Hosseini, R.; Nobari, M.R.H. Numerical analysis of methane–air combustion considering radiation effect. Energy Convers. Manag. 2008, 49, 3634–3647. [Google Scholar] [CrossRef]
- Li, S.; Xu, M.; Jia, L.; Tan, L.; Lu, Q. Influence of operating parameters on N2O emission in O2/CO2 combustion with high oxygen concentration in circulating fluidized bed. Appl. Energy 2016, 173, 197–209. [Google Scholar] [CrossRef]
- Fan, X.; Liu, C.; Xu, G.; Zhang, C.; Wang, J.; Lin, Y. Experimental investigations of the spray structure and interactions between sectors of a double-swirl low-emission combustor. Chin. J. Aeronaut. 2020, 33, 204–212. [Google Scholar] [CrossRef]






















| Parameters | Values |
|---|---|
| Diameter of combustor exit (mm) | 830 |
| Blade number of first stage blade | 28 |
| Blade number of secondary stage blade | 30 |
| Install angel of first stage blade (°) | 60 |
| Install angel of secondary stage blade (°) | 65 |
| Vane thickness (mm) | 1 |
| Parameters | Values |
|---|---|
| Velocity of air inlet (m/s) | 18.92 |
| Diameter of air inlet (m) | 0.35 |
| Velocity of gas inlet (m/s) | 28 |
| Diameter of gas inlet (m) | 0.141 |
| Atmospheric temperature (K) | 298 |
| Air inlet temperature (K) | 298 |
| Excess air coefficient | 1.18 |
| Outlet pressure (Pa) | −70 |
| Thermocouple Number | Experiment | Simulation | Error |
|---|---|---|---|
| T1 | 798 °C | 827 °C | 3.6% |
| T2 | 1092 °C | 998 °C | 8.6% |
| T3 | 985 °C | 956 °C | 2.9% |
| T4 | 967 °C | 1008 °C | 4.2% |
| Name | NOx Concentration (ppm) |
|---|---|
| D65-30 | 70.8 |
| CD65-30 | 57.3 |
| Name | NOx Concentration (ppm) |
|---|---|
| CD65-30 | 57.3 |
| CD55-30 | 76.2 |
| CD45-30 | 84.6 |
| Name | NOx Concentration (ppm) |
|---|---|
| D65-C45 | 64.9 |
| D65-C35 | 58.4 |
| D65-C25 | 57.9 |
Publisher’s Note: MDPI stays neutral with regard to jurisdictional claims in published maps and institutional affiliations. |
© 2022 by the authors. Licensee MDPI, Basel, Switzerland. This article is an open access article distributed under the terms and conditions of the Creative Commons Attribution (CC BY) license (https://creativecommons.org/licenses/by/4.0/).
Share and Cite
Lin, J.; Li, H.; Zhang, Y.; Yang, J. Experimental and Numerical Study of a Two-Stage Swirl Burner. Energies 2022, 15, 1097. https://doi.org/10.3390/en15031097
Lin J, Li H, Zhang Y, Yang J. Experimental and Numerical Study of a Two-Stage Swirl Burner. Energies. 2022; 15(3):1097. https://doi.org/10.3390/en15031097
Chicago/Turabian StyleLin, Jiming, Haozhen Li, Yong Zhang, and Jianhong Yang. 2022. "Experimental and Numerical Study of a Two-Stage Swirl Burner" Energies 15, no. 3: 1097. https://doi.org/10.3390/en15031097
APA StyleLin, J., Li, H., Zhang, Y., & Yang, J. (2022). Experimental and Numerical Study of a Two-Stage Swirl Burner. Energies, 15(3), 1097. https://doi.org/10.3390/en15031097

