Next Article in Journal
Influence of Injection Pressure and Aluminium Oxide Nano Particle-Added Fish Oil Methyl Ester on the Performance and Emission of Compression Ignition Engine
Next Article in Special Issue
Zero Waste as a Determinant of Shaping Green Economy Processes on the Example of Communes of Eastern Poland in 2010–2020
Previous Article in Journal
Recurrent Neural Network-Based Nonlinear Optimization for Braking Control of Electric Vehicles
Previous Article in Special Issue
Air Pollution and Limitations in Health: Identification of Inequalities in the Burdens of the Economies of the “Old” and “New” EU
 
 
Font Type:
Arial Georgia Verdana
Font Size:
Aa Aa Aa
Line Spacing:
Column Width:
Background:
Article

The Impact of Sustainable Regional Development Policy on Carbon Emissions: Evidence from Yangtze River Delta of China

1
Faculty of Economics and Management, East China Normal University, Shanghai 200062, China
2
School of International Relations & Public Affairs, Fudan University, Shanghai 200062, China
*
Author to whom correspondence should be addressed.
Energies 2022, 15(24), 9492; https://doi.org/10.3390/en15249492
Submission received: 2 November 2022 / Revised: 28 November 2022 / Accepted: 7 December 2022 / Published: 14 December 2022

Abstract

Urban agglomerations are becoming an increasingly important factor in advancing regional development and reshaping a new pattern of regional competition. However, few studies are focused on the impact of expanding urban agglomerations on reducing carbon emissions and its possible mechanism. Based on 285 city-level panel data from 2006 to 2017, this paper uses a staggered Difference-in-Differences (DID) model to explore the reduction effect and its possible mechanism of sustainable regional development policy, characterized by urban agglomeration expansion policy in the Yangtze River Delta, on carbon emissions with policy shocks in 2010 and 2013. The results are as follows: (1) The urban agglomeration expansion policy shows a significant marginal contribution to the reduction of carbon emissions, especially for the later joined (new) cities, and the reduction effect is particularly significant in the first and third years after the expansion, indicating that there are significant short-term and long-term reduction effects of the expansion policy. (2) The heterogeneities of reduction effect among three provinces are significant. Zhejiang Province enjoys the largest proportion carbon emission reduction effect, followed by Anhui and Jiangsu provinces. To be specific, urban agglomeration expansion in Zhejiang Province reduced carbon emissions and carbon emissions intensity in the overall, incumbent cities and new cities, while it only increased the total carbon emissions of the incumbent cities in Jiangsu province. (3) The heterogeneities of reduction effect brought by 2010 and 2013 are also significant. The urban agglomeration expansion policy in 2010 reduced carbon emissions on the whole cities and the incumbent cities with later joined cities excluded, while it had a significant reduction effect on the total, incumbent cities, and the new cities in 2013. (4) There are two possible mechanisms of this reduction effect. One is the strengthening of economic ties and enhanced environmental synergy between governments, called the market integration mechanism, which only has a significant effect on carbon emission reduction in the incumbent cities. Another is through the upgrade of the structure of regional industries, which has a significant effect in both the incumbent and new cities. These findings suggest that when formulating urban agglomerations polices, governments must take into account the carbon emissions effect, and advance the upgrading of industrial structure in the urban agglomeration.

1. Introduction

Carbon emissions are an important theme of global governance. In order to reduce carbon emissions, the Chinese government claimed to peak CO2 emissions by 2030 and work towards carbon neutrality by 2060 in September 2020 during the COVID-19 pandemic, and has continued to introduce new policies to promote sustainable regional development on carbon emissions. For example, the General Office of the State Council issued the “Guiding Opinions on Building a Modern Environmental Governance System” in March 2020, which states that by 2025, clearly oriented, scientific decision-making, with strong implementation, effective incentives, diversified participation, and positive interaction will be formed. The central people’s government stated in March 2021 that CO2 emissions would be reduced by 18% during the 14th Five-Year Plan.
At the same time, China’s economy has made rapid development since the implementation of the reform and the opening-up policy in 1978. According to the statistics of the World Bank, China’s GDP has rapidly increased from 36.439 billion US dollars in 1978 to 15.80 trillion US dollars in 2021. However, the achievement has been built on increasing the input of production factors, which have high consumption, high carbon emissions and low economic benefits, and the economic growth paradigm is becoming increasingly unsustainable. In this context, the Chinese central government has been trying to promote the transformation of the economic growth mode by formulating an urban agglomeration expansion policy, and some progress has been made. According to the World Bank, half of the world’s production activities are concentrated in about 1.5% of the land area of urban agglomerations, while China’s urban agglomerations account for 29.12% of the country’s area and gather 75.19% of the total population, creating 80.05% of the total economic output. Therefore, it is more important for the Chinese government to reduce carbon emissions from the perspective of urban agglomerations.
As the largest urban agglomeration in China, the Yangtze River Delta (YRD) urban agglomeration (Appendix A) is a typical representation of regional integration, which has a long history, and the cities in the YRD have similar geographical conditions and gradually synchronized development rhythms, meanwhile the distribution of carbon emission intensity within the urban agglomerations has changed significantly during the expansion period, which makes it possible to compare and contrast. Furthermore, the formation stages of the YRD urban agglomeration are clear and easy to measure, which is conducive to the empirical analysis. During the development of the YRD, the YRD Urban Economic Coordination Committee (below is referred to as “YRDECC”) is representative of the YRD city economic cooperation organizations and an important mechanism for regional cooperation. The evolution of the Council’s membership reflects spontaneous expansion of the city cluster and demonstrates useful attempts of local governments to engage in inter-governmental cooperation. In 1992, 14 cities, such as Shanghai and Suzhou, co-organized the YRDECC, and later supplemented another two cities in 1997 and 2003. These 16 cities are known as the “Core Cities of the Yangtze River Delta”. This YRDECC has undergone four expansions since 2010. In this paper, we focus on the first two expansions of 2010 and 2013 and define three categories of cities, including whole city, incumbent city, and new (later joined) city (Appendix A).
Over the last two years, carbon emissions from the YRD have grown slightly with a smaller gap between cities despite the expansion of the region’s city cluster scale. Therefore, it is necessary to discuss the optimal size of urban agglomerations and its impact on CO2 emissions. A previous study has discussed the expansion of domestic urban agglomerations and its impact on several economic variables (Appendix A) [1]. Among them, some scholars have discussed the relationship between expansion and carbon emissions on a city level rather than firm level [2,3]. Others have discussed the environmental impacts of regional integration on the YRD without considering the incremental impacts of expansion on the region [4].
The contribution of this paper is as follows: Firstly, it deepens the research on the impact of urban agglomeration expansion on carbon emissions. Previous studies assume that urban agglomerations only drive regional carbon reduction at a certain scale [5], but we find that the larger the scope of urban agglomerations, the larger the positive environmental externalities generated. Previous studies only focus on the short-term relationship between urban agglomerations and carbon emissions and arrive at the conclusions that the relationship is “black or white” [6], but we find that the cooperative governance mechanism of the YRD has an environmental effect, and the urban agglomeration expansion can reduce carbon emissions through regional governments’ cooperation and the upgrading of industrial structure. Secondly, this paper focuses on the interactions among cities in urban agglomerations and the changes in emission reduction effects at different stages, instead of focusing only on the expansion of cities, to clearly explain the siphon and trickle-down effects of the two expansions in 2010 and 2013. Thirdly, the contribution of methodology. Previous studies measure the degree of regional integration through indicators (Wang et al., 2019; Gu et al., 2022), which cannot effectively avoid the subjectivity of indicator selection. In contrast, this paper selects the expansion of the YRD as a quasi-experiment of regional integration, which can more appropriately quantify the net effect of urban agglomeration development and address the problems of measurement error and endogeneity. In addition, differing from the research paradigms of geography and environmental studies, this paper combines the staggered DID approach with the STIRPAT model for the first time, providing a new entry point for the intersection of regional economics and environmental economics.
The rest of the paper is arranged as follows. The second part is the literature review, and the third part is model and data. The fourth and fifth parts are the analysis of empirical results and mechanism testing, respectively. The last part is the conclusion and policy suggestions.

2. Literature Review

2.1. Measurement and Factors of Carbon Emissions

Current research about carbon emissions can be summarized into three aspects, including measurement, influence factors and spatial differentiation of carbon emission.
As for the calculation of carbon emissions, many scholars use an exponential decomposition method based on Kaya’s constant equation to calculate carbon emissions [7,8,9], which is widely used in the log-average partition index (LMDI) [10] and the IPCC carbon emission factor method [11]. However, most of these methods use industry-level and national-level data, while city-level statistics are seriously missing and rarely used. To address the problem of missing data for prefecture-level cities, Guo et al. (2022) combined two types of night-time lighting data, DMSP-OLS and NPP-VIIRS, to measure carbon dioxide emissions, which solve the problem of measuring carbon emissions in small and medium-sized prefecture-level cities.
As for the factors affecting carbon emissions, economic and social factors are significant. Economic factors have urban construction land [12], land transaction [13], financial development [14], industrial structure [15], energy mix, industrialization index, and final consumption rate [16], R&D investment, FDI-related technology spillovers [17], supply chain [18]. Social factors include urban form [19], income inequality [20], demographic factors [21].
As for the spatial differentiation of carbon emission distribution, carbon imbalances have decreased between 2007 and 2010, while disparities in the regional per capita carbon footprint have widened [22], and a cross-regional convergence as well as Matthew effect among 57 cities along the Yellow River Basin are found [23].
From the above review, there are two main types of studies about factors influencing carbon emissions. The first type starts from the macroscopic scale and decompose the causes of carbon emissions in detail, but has disadvantages in both ignoring the differences between development of regions as well as cities and omitting government policies. The second type use spatial measures to analyze carbon emissions at the economic and industrial levels without a detailed assessment at the regional and city levels. In addition, few have focused on the impact of government actions and analysis concerning the evolution of policies.

2.2. Environmental Effects of The Urban Agglomeration Expansion

With regard to the environmental impact of expansion, studies have mainly considered regional integration as an outcome with views divided. Firstly, regional integration reduces CO2 emissions in six South Asian countries [24], enhances openness and transparency among the Central Asian Regional Economic Cooperation (CAREC) member countries, and achieves efficiency optimization of carbon emission reduction [25]. The same results are found in China with the provincial panel data [26], and the inner mechanism is stimulating labor mobility and achieving scaled economy [27]. Secondly, the environmental impacts of expansion are negative. Urbanization negatively affects ecological indicators, such as forests and grasslands, within and around urban agglomerations in the Guangdong–Hong Kong–Macao Greater Bay Area in China [28]. Thirdly, different patterns of expansion in different cities determine their carbon emission levels. Urban agglomerations are an important mainstay of carbon reduction in China, but the polycentric structure of some urban agglomerations does not achieve a certain degree of carbon reduction (Wang, et al., 2022). Urbanization and carbon emissions are related in an inverted u-shaped curve [29].
From the above literature, it can be seen that the effects and mechanisms of expansion on the natural environment have not yet reached a consistent conclusion. According to the Kuznets Curve theory, which pointed out that the relationship between economic growth and income gap is inverted U-shaped, as the income gap would gradually widen at the beginning of economic growth and then start to narrow after reaching an inflection point. Similarly, the initial regional economic development inevitably sacrifices a certain degree of environmental quality. Along with the increase in economic development, the industrial structure of urban agglomerations follows the law of industrial chain development, changing from traditional industries to ones rich in technology, finance, and information. The pattern of change is inverted U-shaped, which in fact indicates that environmental problems will be significantly improved when the level of economic development reaches a certain level, so we can make the following assumption:
Hypothesis 1.
The environmental quality of urban agglomerations will be significantly improved when they expand to a certain size.

2.3. Mechanisms between Urban Agglomeration Expansion and Carbon Emissions

2.3.1. Expansion, Market Consolidation, and Carbon Emissions

Market segmentation caused by administrative barriers is an important cause of inefficient carbon emissions and loss of energy efficiency. On the one hand, the drivers of carbon emission intensity from domestic industrial land are significant with spatial agglomeration and spatial dependence [30], the relationship between market segmentation and urban carbon emissions is a U-shaped relationship [31], and cross-provincial cooperation in carbon reduction is needed. On the other hand, market segmentation can lead to negligent management at administrative boundaries where high-energy and high-polluting enterprises often concentrate, which make the total carbon emissions increase and lead to a “green paradox” [32]. The carbon trading policy was indeed effective in curbing carbon emissions. However, this policy effect was not achieved through the government intervention not the market mechanisms [33].
The government intervention, like the agglomeration expansion policy, generates substantial environmental benefits. After expansion, the barriers to trade, investment, and taxation among members within the region are broken down, the fragmented markets within the agglomerations are strongly integrated and economic ties are significantly strengthened, and environmental regulations inside the region tend to be unified (Shao et al.,2019). According to Porter’s hypothesis, increased environmental regulation will lead to technological innovation among high-emitting firms, resulting in increased productivity, lower energy consumption, and lower production costs [34].
Based on the above analysis, we can raise the Hypothesis 2.
Hypothesis 2.
Urban agglomerations expansion can increase economic linkages among cities and thus reduce the total amount and intensity of regional carbon emissions.

2.3.2. Expansion, Industrial Upgrade, and Carbon Emissions

Industrial structure is an important factor affecting carbon emissions, the rationalization and upgrading of industrial structure in the Beijing–Tianjin–Hebei city cluster significantly suppressed carbon emissions, and compared with the rationalization of industrial structure, the upgrading of industrial structure demonstrated a better effect on carbon emission reduction [35]. However, there is a clear dynamic imbalance between carbon emission efficiency and industrial structure upgrading in China, and that the “low level trap” of regional carbon emission efficiency is more serious than the “low level trap” of regional industrial structure upgrading [36]. Therefore, strengthen the relationship between industrial structure upgrading and carbon emissions reduction is important.
Urban agglomeration expansion broke through administrative barriers, optimized the labor of division, smooth the flow of production factors within the urban agglomerations, and brought significant impact on the industrial structure. The center cities of urban agglomeration achieved industrial renewal and iteration, and other cities assumed some of the spillover capacity, promoting the formation of complementary industrial chains and rationalizing the industrial structure [37]. At the same time, the degree of coupling between carbon emissions and industrial structure and regional innovation tended to increase from 2000–2017 [38]. As a result, production factors flow into new low-carbon industries with higher knowledge and technology inputs, which change the intensity and efficiency of energy consumption. On the other hand, the transfer of industries between cities also promotes the rational allocation of resources, making the “trickle-down effect” stronger. Under the influence of the “trickle-down effect”, the economic expansion effect increases significantly, and capital is better allocated and more efficiently utilized in the market. In addition, the efficiency of social energy use increases and the loss of energy decreases, thus reducing the level of carbon emissions. So we can make the Hypothesis 3:
Hypothesis 3.
Expansion leads to industrial division of labor and industrial upgrade, thereby reducing the level of carbon emissions in urban agglomerations.
The process of urban agglomeration expansion has the following effects on the carbon emission of different city types: for incumbent cities, the expansion exerts the industrial effect, the scale effect, and the innovation effect. The industrial effect means that the redistribution of regional industries provides space for the transformation of original industries into ones abundant with information and service and transfers traditional energy-intensive firms out of the city, which is helpful to foster new industrial forms. The scale effect refers to the fact that intra-regional interconnection reduces production, distribution, and transaction costs, optimizes efficiency of resource allocation, promotes production capacity of energy consumption, and reduces carbon emissions. The innovation effect refers to the fact that the upgrade of industrial structure drives the development of productive services, optimizes the allocation of production factors, such as capital as well as labor, and promotes the continuous progress and application of new technologies in industrial sectors, which as a result improves carbon efficiency [39]. For new cities, the expansion will show a pollution transfer effect and a technology spillover effect. In the early stages of expansion, the transfer of high-carbon industries from original cities may lead to an increase in carbon emissions. In the later stages of expansion, the upgrade of the industrial structure can drive the development of industries through the transfer of industries, capital, and labor, improving the division of labor and collaboration between industries and facilitating the promotion and use of clean energy together with the improvement of energy efficiency.
Hypothesis 4.
The high-emission industries move from incumbent cities to new cities in the early stages of expansion, and the incumbent cities spill technology to the new cities in the later stages, thereby reducing the carbon emissions of the new cities.
In summary, based on the environmental Kuznets curve and the central periphery model, we focus on the changes in carbon emission levels that occur at different stages of YRD expansion. At the early stage of expansion, production factors flow into the incumbent cities, which generates the siphon effect of new cities. Polluting enterprises move from the incumbent cities to new cities because of less control, which relieves the carbon emission of incumbent cities, but increases the level of carbon emissions in the new city. At the later stage of the expansion, the incumbent cities achieve industrial renewal and iteration, and the improvement of technology utilizes the efficiency of energy consumption. When high-carbon industries are eliminated in large numbers, the environmental effect of economic growth emerges, thus producing a trickle-down effect, please see Figure 1.

3. Model and Data

3.1. Data Sources

This paper selects panel data from 285 prefecture-level cities in China during the period 2006–2017 as a sample, with full coverage of policy time points. The YRDECC has experienced four expansions in 2010, 2013, 2018, and 2019, respectively, of which the 2010 expansion and 2013 expansions were the largest and most influential. Thus, the period selected in this paper not only covers the two major expansions, leaving sufficient time intervals for studying the long-term effects of the policy, but also avoids the disruption of the following expansion in 2018 and 2019. The expansion policy will also avoid confounding the results of the study. Moreover, different tiers of cities are covered to ensure the robustness of the analysis.
The data of carbon emissions were obtained from the CEADS database compiled by Tsinghua University [40] and collated by summing the county-level data. The CEADs Centre used a particle swarm optimization-back propagation (PSO-BP) algorithm to unify the scale of DMSP/OLS and NPP/VIIRS satellite imagery to estimate carbon emissions from 2735 counties in China since 1997, with data currently available until 2017.
This paper discusses the impact of the expansion of urban agglomerations on the carbon emissions from both incumbent and new cities. In order to meet the requirements of empirical analysis, the county-level data are summed up into city-level. The control variables in this paper include gross urban product and its index, output value and number of people employed in the three types of industries, total population of urban residents, road paved area, number of foreign direct investment, fiscal expenditure from local government, amount of fixed asset investment, amount of investment in real estate development, and PM2.5 emissions, which were all originally obtained from the China Statistical Yearbook of previous years, the China Urban Statistical Yearbook, and the China Population and Employment Statistical Yearbook. Meanwhile, energy data are collected from the China Industrial Statistical Yearbook. The missing data are supplemented by extracts from provincial statistical yearbooks or the statistical bulletins, statistical yearbooks, and local chronicles of each city.

3.2. Variables

(1)
Dependent variable
This paper focuses on the impact of the expansion of the Yangtze River Delta urban agglomeration on carbon emissions in 2010 and 2013. Total carbon emissions and carbon emissions efficiency are the key indicators of interest in the carbon field [41], which are discussed as explained variables in this paper, and the indicators of total carbon emissions and intensity are taken in logarithmic form. The mentioned GDP in this paper is deflated using 2006 as the base year to remove the effects of inflation, and it is also deflated in the subsequent ratio data related to GDP.
(2)
Independent variable
The independent variable in this paper is the YRD expansion policy, which is divided into three categories according to the sub-category of whole city, incumbent city, and new city.
(3)
Control variable
rdgp denotes urban affluence, which is characterized by total urban GDP and a quadratic term of GDP to test the hypothesis of the environmental Kuznets curve which indicates that urban affluence affects the environment. Wage denotes income levels, which reflects the standard of living and spending power of urban residents and is a fundamental expression of economic development. Zhang et al. (2021) found that the growth of residents’ income drives the use of clean energy, which in turn affects the level of carbon emissions [42]. pden denotes the population density, which is measured according to the size of the resident population within each square kilometer of land area. Zhang et al. (2021) found that the migration of population produces a population density effect, which in turn affects the level of urban carbon emissions. tech indicates the amount of science and technology expenditure of each local government, which represents the innovative input. patent denotes the number of patents granted for inventions, which represents the innovative output. Albitar et al. (2022) found that corporate environmental technology innovation drives cleaner production and reduces carbon emissions, and that government environmental management plays an important role in the carbon reduction process [43]. FDI indicates the level of foreign direct investment of each city. Apergis et al. (2022) confirmed the pollution haven hypothesis of FDI flows on developing countries [44]. We use foreign direct investment to represent the level of openness of cities to the outside world to address the missing data of total import and export of some cities. Road denotes the infrastructure construction, which is used to represent the paved road area per capita of urban built-up areas. fai denotes the fixed asset investment per city. rei denotes property development investment per city. energy denotes the level of urban energy consumption. Sun et al. (2020) describe the trend of simultaneous growth of energy consumption and carbon emissions, which are strongly correlated [45]. mkt denotes the level of marketization, which reflects the degree of market activity in the city and is characterized by the Fan‘s Marketization Index, which is broadly used to measure the marketization level in China [46].
(4)
Mechanism variable
Connect denotes economic linkages referring to Liu et al. (2017) [14] and Hou et al. (2009) [47], which is measured by applying the modified gravity model and calculated by the formula c o n i t = W i j , t · P i , t · G D P i , t · P j , t · G D P j , t / D 2 j , t , where W i j , t = G D P i , t / ( G D P i , t + G D P j , t ) , P denotes population and D denotes the distance between cities, measured by the shortest road distance between the centers of the two cities. The linkage intensity of resources and economy is denoted by c o n i t = j = 21 c o n i j , t , which represents the intensity of linkages between city i and other cities within the expansion of urban agglomeration (21 cities in total after 2010 and 29 after 2013) at the level of G D P , population size, and road distance in year t .
t s denotes industrial upgrade, which measures the advanced industrial structure, is calculated by the share of tertiary industry output in secondary one
P M 2.5 denotes air quality of cities, which is the measure of how many micrograms of P M 2.5 per cubic meter of air is found in cities. Dong et al. (2019) confirmed the synergistic variation between P M 2.5 and CO2 emissions, and that the synergistic variation trends differed across regions [48]. Exploring the variation trends of P M 2.5 and CO2 in the expansion process can help us to understand the environmental benefits of expansion in depth.
Similarly, SO2 denotes the level of local air pollutant emission. Zheng et al. (2011) found a stable long-term equilibrium relationship between SO2 and CO2 emissions [49], but this equilibrium relationship can be deviated by external shocks. We can therefore observe the synergistic effects of capacity expansion shocks on SO2 and CO2.
The descriptive statistics for the variables in this paper are in Table 1.

3.3. Baseline Regression Model

The STRIPAT model proposed by Dietz et al. (1994) [50], which states that population size, level of economic development, and technological progress are the three main factors influencing the environment, has been widely used in the study of various environmental indicators, especially in the extended analysis of the factors influencing carbon emissions. The standard form of the model is as follows:
I = α P β 1 A β 2 T β 3 e
where I is the environmental variable, P β 1 refers to the population size, A β 2 refers to the level of economic development, T β 3 refers to the level of technology, and e represents other technological variables. Taking logarithms of both sides at the same time, we can obtain the influence coefficients of β 1 , β 2 , β 3 , etc. The economic significance of β 1 , β 2 , β 3 is the elasticity of carbon emission level (total, intensity) to the population size, economic development level, and technological progress of a city, respectively.
Based on the STRIPAT model, this paper introduces the policy variable of the expansion in the YRD urban agglomeration to enrich the model.
In recent years, the “Durbin counterfactual framework” has been commonly used as the analytical framework in the field of policy evaluation. The difference between the two is the “treatment effect”. The difficulty of this analysis is to find a control group that is highly consistent with the treatment group before the policy occurs. The difference-in-differences method is the most classic and mature policy evaluation method under the Durbin counterfactual framework. Its basic idea is to use exogenous interventions to divide the treatment and control groups, to differentiate the differences between the groups before and after the policy intervention, in order to solve the problem of heterogeneity between the experimental and control groups. If the policy occurs at different times for each sample within the treatment group, the staggered DID method is applied. Since the cities in the Yangtze River Delta in this paper experienced two expansions within the time window, each city was not subject to the disposition at the same time. In order to mitigate the potential bias due to omitted variables that vary with individuals and time on the analysis results, and to solve the problem of nuisance terms clustering, we use a two-way fixed staggered DID model and add control variables to solve the problem of heteroskedasticity, autocorrelation, and clustering of nuisance terms.
The model is set up as follows.
Y i t = β 0 + β 1 d i d i t + β 2 c o n t r o l i t + η i + γ t + ε i t
where the subscript i represents the city ( i = 1, 2, …, 285) and t represents the t year of policy implementation.   Y i t is the explanatory variable and is characterised by total carbon emissions, and carbon efficiency (carbon emissions of GDP per unit) (expressed as l n c e i t , l n c e g d p i t ). β 0 is the constant term. d i d i t is the core explanatory variable, which represents the staggered DID variable of the multi-period expansion policy. d i d i t = t r e a t i t × p o s t i t , where t r e a t i t denotes the treatment indicator. t r e a t i t equals 1 if city i is included in the YRD agglomeration in year i , or else it equals 0. p o s t i t refers to the timing of policy implementation, where yes = 1 and no = 0.
The regression coefficient β 1 reflects the carbon reduction effect of expansion and is the coefficient we focus on. The size of total carbon emissions and efficiency are not major factors in the city joining the YRDECC since there is no reverse causality issue. Thus, the causality expressed by the model holds.
c o n t r o l i t denotes other control variables that affect total carbon emissions as well as carbon efficiency and varies with changes in time and cities. Considering that the expansion policy is gradually rolled out at the city level, the order of new cities entering the YRD urban agglomeration may be endogenous to the socioeconomic factors of the cities, so this paper controls as much as possible for socioeconomic variables that may affect the order of city entrance. According to the STRIPAT model proposed by Dietz et al. (1994), population size, technology level, and economic development level are the main factors affecting the environment. In addition, combined with the existing literature, investment and energy variables are also the main factors influencing carbon emissions. Based on the above argument, this paper controls for several categories of factors such as population, technology, economy, investment, and energy. First, the population variable is set as population agglomeration ( p d e n i t ). Secondly, the technological variables are set as the level of urban technology ( t e c h i t ) and innovation ( p a t e n t i t ). Thirdly, economic variables are set as urban affluence ( r g d p i t ), income level ( w a g e i t ), and marketisation level ( m k t i t ). Fourthly, we use energy consumption ( e n e r g y i t ) to characterize the variable of energy. Fifth, the investment variable includes real estate development investment ( r e i i t ), fixed asset investment ( r a i i t ), and foreign investment ( f d i i t ) . The specific meanings of variables have been described above.
In addition, η i represents city fixed effects, while γ t represents year fixed effects. ε i t represents the random error term. We report robust standard errors with city clustering.

3.4. Moderating Effect Model

Based on the theoretical analysis section, this paper adds an interaction term to verify the two types of impact mechanisms of expansion on carbon reduction. The model is set up as follows.
Y i t = β 0 + β 1 d i d i t + β 2 c o n t r o l i t + β 3 d i d i t ×   moderate   i t + η i + γ t + ε i t
where moderate   i t is an indicator of mechanism variables, and also a more specific and detailed description of the expansion policy variables, including economic linkages, industrial upgrade, etc. Economic linkages ( l n c o n n e c t i t ) refers to Liu et al. (2017) and Hou et al. (2009), measured by applying the modified gravity model and calculated by the formula c o n i t = W i j , t · P i , t · G D P i , t · P j , t · G D P j , t / D 2 j , t , where W i j , t = G D P i , t / ( G D P i , t + G D P j , t ) , P denotes population, and D denotes the distance between cities, measured by the shortest road distance between the centers of the two cities. The linkage intensity of resources and economy is denoted by c o n i t = j = 21 c o n i j , t , which represents the intensity of linkages between city i and other cities within the expansion of urban agglomeration (21 cities in total after 2010 and 29 after 2013) at the level of G D P , population size, and road distance in year t . Industrial upgrade ( t s i t ) is calculated according to the method proposed by Gan et al. (2011) to measure the advanced industrial structure, i.e., the share of tertiary industry output in the secondary one.
The   coefficient   β 1 captures the effect of carbon emissions reductions triggered solely by the urban agglomeration expansion policy itself when other mechanisms do not exist. β 3 is the coefficient of the interaction term, which measures the effect of expansion on carbon emissions through the mechanism variables. Meanings of the other symbols are the same as in Equation (2).

4. Empirical Results

4.1. Baseline

First, this paper adopts a two-way fixed staggered DID model for the panel data to examine the carbon emission reduction effects of the two expansions in 2010 and 2013 and divides the sample into three groups which are the whole cities, incumbent cities, and new cities to explore the carbon emission performance of different groups after the expansions. Table 2 shows the effect of the expansion in the Yangtze River Delta urban agglomeration on the total carbon emissions and carbon emissions intensity of different cities. The regression results show that the two expansion policies in 2010 and 2013 generally had significant emission reduction effects on the whole cities and new cities. Both the coefficients of carbon emission reduction (−0.0297) and carbon emissions intensity (−0.026) for the whole city expansion are significantly negative at the 95% confidence level, indicating that there is a significant marginal contribution of the expansion to the YRD’s carbon emission reduction. Thus, Hypothesis 1 is validated.
The coefficients of carbon reduction (−0.021) and carbon emissions intensity (−0.017) for incumbent city are negative but insignificant. The coefficients of carbon reduction (−0.0323) and carbon emissions intensity (−0.0296) for new cities expansion are significantly negative at the 90% confidence interval. It can be seen that the expansion policy has a significant reduction effect on carbon emission on both the whole cities and new cities, among which new cities perform more significantly, indicating a difference in the carbon emission reduction effect between the two city types. Thus, Hypothesis 2 is verified.

4.2. Heterogeneity of Provinces

The expansion of the urban agglomerations into the three directions of northern Jiangsu Province, southern Zhejiang Province, and eastern Anhui Province corresponds precisely to the three directions of expansion in the Yangtze River Delta urban agglomerations to the north, west, and south [14]. Table 3, Table 4 and Table 5 present the regression results for Jiangsu Province, Zhejiang Province, and Anhui Province, respectively.
For Jiangsu Province, the expansion of the Yangtze River Delta urban agglomeration only increases the total carbon emissions of the incumbent city and has a statistically insignificant effect on the other two categories of cities. For Zhejiang Province, the expansion has a significant effect on carbon emissions reduction in both the whole city, incumbent city, and new city, and contributes to both a decrease in total carbon emissions and an increase in unit carbon efficiency. For Anhui Province, there were no incumbent cities before the expansion, and cities entering the Yangtze River Delta all achieved carbon reductions after the expansion. In a cross-sectional comparison, the carbon reduction effect of incumbent city is ranked from largest to smallest, as Zhejiang Province and Jiangsu Province, respectively, while the carbon reduction effect of new city is ranked from largest to smallest as Zhejiang Province, Anhui Province, and Jiangsu Province, respectively.

4.3. Heterogeneity of Two Expansion Polices

Next, the paper changes the model to a standard DID and explores the differences in the effects of the two expansion policies separately.
First, the whole period of sample is cut into two segments. The first is set to 2006–2012 to examine the effect of the 2010 expansion policy, and the second is set to 2012−2017 to examine the effect of the 2013 expansion policy. New cities of 2010 expansion are removed to ensure that the policy effect obtained is unrelated to the first expansion.
Second, the two expansion policies are discussed separately for the whole, incumbent, and new city. Table 6 presents the regression results for the first expansion of the YRD urban agglomeration in 2010. The effects of policy shocks on both total carbon emission and carbon efficiency in columns (1)–(4) are positive and significant at 5% level, indicating that the expansion has increased the carbon emission levels of both the whole and incumbent cities. After the first expansion, the siphoning effect of the 16 incumbent cities in the Yangtze River Delta emerged, with industries and firms flocking to the incumbent cities with higher economic strength and capacity expansion in the short term, but without achieving significant improvement in efficiency, which results in an increase in total carbon emissions.
Table 7 presents the regression results for the second expansion of the Yangtze River Delta city cluster in 2013. Columns (1)–(6) show that the expansion has a significant carbon emission reduction effect on all three types of cities, and brings a reduction in total volume and intensity as well as a significant increase in carbon emission efficiency. In particular, the second expansion has a stronger effect on carbon reduction in the incumbent cities than whole cities and new cities. This indicates that the economic ties between the cities in the region have become closer by the time of the second expansion. The incumbent cities have a trickle-down effect on the new cities, driving them to transform and upgrade their industries in a low-carbon direction and promoting the development of the overall low-carbon economy in the region.

4.4. Robustness Tests

4.4.1. Parallel Trend Test

One of the classical assumptions of the DID model is that the control group satisfies common Trends before and after the implementation of the policy, i.e., the control and treatment groups have the same path before the policy occurs, in order to exclude the interference of omitted variables that vary with the group to the regression results. In Standard DID, the individual samples entering the treatment group and the time are fixed, and the time dummy variables generated by the combined Event Study Analysis (ESA) method are absolute time points, which can directly observe the effect of the policy in a certain sample period, while in staggered DID, the samples enter the treatment group at different times. In the time-varying DID, the samples enter the treatment group at different times, and the ESA method requires individualized dummy variables for each sample to observe the change in policy effects in the first N periods and the last N periods of the treatment. This paper uses the idea of event analysis to set up year dummy variables to test the parallel trend hypothesis. The model is set up as follows.
Y i t = β 0 + s = 1 7 β p r e _ n d p r e _ n + β current d current + s = 1 7 β p o s t _ n d p o s t _ n + β 2 c o n t r o l i t + η i + γ t + ε i t
In Equation (4), d p r e n ,   d current   and   d   p o s t n denote the cross-product terms of the policy dummy variable and the year dummy variable before, during, and after the implementation of the expansion policy, respectively. β p r e n ,   β current   , β p o s t n are the corresponding coefficients.
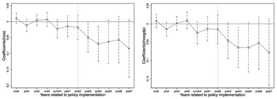
Take the group of new cities as an example. As is shown in Figure 2, the confidence intervals for the seven years before the expansion policy shock all pass through 0, indicating that there is no carbon reduction effect before the policy implementation, while the coefficients are significantly negative in the period when the policy occurs, and the regression results perform well. The coefficients of regression show a significant trend away from the origin after the policy occurs, which shows that the research design of this paper satisfies the key premise assumptions of the staggered DID method.

4.4.2. Placebo Test

To ensure the robustness of the effects of the expansion policy obtained from the baseline regression, this paper conducts a placebo test using a non-reference replacement [51]. The idea of placebo test is derived from the medical term “placebo”, a randomized experiment in which a real drug is given to the experimental group and a placebo is given to the control group to avoid the effect of psychological effects on the efficacy of the drug. Economists introduced the idea of placebo test to observe the robustness of regression results by fictitious experimental and control groups. A repeated random sample of 285 sample cities and their corresponding policy incidence times are used to obtain a pseudo-treatment group and a pseudo-control group. This process is repeated 500 times to judge whether the results for the policy treatment variable are significant. As is shown in Figure 3, the estimated coefficient on the pseudo-expansion policy variable for new cities has a mean value of 0 and is normally distributed, meanwhile the distribution of the expansion policy coefficient from the baseline regression is at the low tail of the distribution, indicating that the results pass the placebo test, and confirming that the carbon reduction effect in the target cities are indeed brought about by the expansion policy.

4.4.3. Excluding the Effects of Other Carbon Reduction Policies

The period from 2006 to 2017 is a window of transition from crude economy to low-carbon intensive economy in China, during which many environmental policies were intensively introduced by the state, interfering with the identification of the effects of the expansion policy. To address this issue, cities in the treatment and control groups that were affected by other carbon emission reduction policies are removed separately in this paper.
First, we excluded cities that are disturbed by other emission reduction policies in Table 8. For example, the 2010 low-carbon city pilot policy [52] includes the five provinces of Guangdong, Hubei, Shaanxi, Liaoning, and Yunnan and the eight cities of Tianjin, Hangzhou, Chongqing, Shenzhen, Guiyang, Xiamen, Nanchang, and Baoding. The official pilot regions of the carbon market introduced in 2011 and 2013 [53] both include Shanghai. These cities have taken other stringent mitigation actions that may affect the identification of the expansion policy.
Other carbon-related policies were not treated in this paper. The reasons are as follows. The 12th five-year plan for air pollution prevention and control introduced in 2012 covers a total of 47 cities, including 14 cities in the Yangtze River Delta region which contains Shanghai, Suzhou, Wuxi, Nanjing, Changzhou, Yangzhou, Zhenjiang, Taizhou, Nantong, Hangzhou, Jiaxing, Ningbo, Huzhou, and Shaoxing. The above samples were not chosen to be excluded because the results of the parallel trend test analysis showed that there was a significant emission reduction effect in the period when the expansion occurred in 2010. In addition, the emissions trading pilot introduced in 2007 covers both Jiangsu and Zhejiang provinces, and its common time trend has been controlled for using fixed effects in the benchmark regression. Therefore, this trading pilot was not tested.
Table 9 shows the robustness tests for the exclusion of regional core cities. Firstly, the impact of other emission reduction policies involving the 30 member cities of the Yangtze River Delta Economic Coordination Council were excluded, such as the low carbon city pilot policy in 2010, the seven official carbon market pilot areas introduced in 2011, and the 2013 carbon trading pilot cities.
Secondly, central cities with a high level of economic development in the city cluster were excluded, such as Shanghai, Nanjing, Hangzhou, and Hefei.
Finally, the effects of other city clusters within the time window are excluded in Table 10. The PRD urban agglomeration experienced an expansion during the sample period, if cities in the Beijing–Tianjin–Hebei and Pearl River Delta city clusters are included as control groups, the effect of the YRD integration policy may be weakened, so the 14 cities in the PRD urban agglomeration are excluded. The regression results for the above key coefficients still hold.

5. Mechanism Testing

5.1. Market Consolidation Effect of the Expansion Policy

Table 11 shows the regression results of market consolidation effect. Columns (1) and (2) show the results of the market integration effect for whole city with a negative coefficient on the interaction term between the policy and economic linkage mechanisms, which is the same sign in the baseline regression, indicating the existence of a heterogeneous carbon reduction effect caused by enhanced economic linkages, further verifying Hypothesis 2. For whole city, the implementation of the expansion policy can achieve the carbon reduction effect by enhancing the economic linkages between cities. By breaking down the barriers to mobility between cities in the Yangtze River Delta and strengthening cooperation between governments, the expansion promotes the free flow and optimal allocation of production factors, such as capital and labor, and ultimately achieves carbon emission efficiency.
In terms of the results of incumbent city, the coefficient on the interaction term between expansion and economic linkages is significantly negative for both total carbon emission and carbon emissions intensity, and both the coefficients on total carbon (−0.236) and carbon emissions intensity (−0.263) are significantly higher than the results for the whole city sample. This indicates that the incumbent cities reap the greatest environmental benefits in a tight network of economic linkages after expansion. On the one hand, the original cities absorb the labor resources of the new city to accelerate the pace of innovation and upgrade its own low-carbon industries, while on the other hand, the incumbent cities shift out some of their high-carbon industries. Correspondingly, the results of the interaction between the expansion of new cities and economic linkages are significantly positive, which is different from the baseline regression results. This indicates that the increase in economic linkages within the initial urban agglomeration weakens the carbon reduction effect of new cities, which confirms Hypothesis 4.

5.2. Industrial Upgrading Effect

Table 12 shows the results of the interaction term regression for the industrial upgrading mechanism. The interaction term coefficient of the whole city is positive and insignificant. It is noteworthy that the interaction term coefficient of industrial upgrade (−0.0533) is significantly negative for the carbon emissions intensity of the incumbent cities, indicating that the carbon emission efficiency of the YRD incumbent cities has been significantly improved after the expansion, since incumbent cities seize the opportunity to actively promote industrial transformation and upgrade, by releasing outdated production capacity, reducing emissions from per unit of production capacity, and achieving synergistic development of industry and the environment. For the new cities, the impact coefficients of carbon emission reduction and carbon efficiency of industrial upgrade are significantly negative, indicating that the technology spillover effect of capacity expansion on the new cities is greater than the pollution transfer effect as the cities’ industrial structures continue to upgrade.
In summary, the expansion of urban agglomerations can affect total carbon emissions and carbon emissions intensity through the effects of market integration and industrial transformation as well as upgrade, and there are significant differences in the effects of different mechanisms on the three types of cities. First, the market integration mechanism of the YRD expansion has heterogeneous effects on different types of cities. For the cities as a whole, the expansion unifies the regional market and strengthens the economic ties between cities, thereby reducing total carbon emissions and carbon emissions intensity. For the new cities, the economic linkages brought about by the expansion have a pollution transfer effect on the new cities. Secondly, the industrial upgrading mechanism of the expansion brings economic and environmental effects to the city of origin, contributing to the reduction in emissions in the new city. The results of the baseline regression and the mechanism test show that the technology spillover effect of the expansion on the new cities is greater than the pollution transfer effect, and furthermore reduces the carbon emissions of the new cities.

5.3. Explore Further: Can Carbon Reduction and Pollution Reduction Be Achieved Together

The above empirical results suggest that there is a carbon emission reduction effect of the expansion in the Yangtze River Delta urban agglomerations and illustrate the operational mechanism of the carbon emission reduction effect. In addition, carbon emissions and emissions of other pollutants, such as PM2.5 (air quality) and SO2 (sulfur dioxide concentration), have a synergistic emission effect [54]. Therefore, this paper again uses 285 cities as an example to further explore how the levels of urban pollution change after the expansion of urban agglomerations.
From the results in Table 13, it can be seen that the expansion has a positive but insignificant effect on air quality and SO2 emissions in the city as a whole, and a negative but insignificant effect on air quality and SO2 emissions in the incumbent city. However, the effect of expansion on air quality and sulfur dioxide emissions in the new cities is significantly positive at the 1% level, indicating that the relocation of highly polluting industries to the new cities during the expansion process has increased PM2.5 and sulfur dioxide pollution in the new cities. Despite the significant reduction in total carbon emissions and intensity, the pollution levels in the new cities have increased significantly. It can be argued that during the expansion process, the core cities squeezed out some of the pollution-intensive industries, and the new cities increased the total amount of pollution in the process of taking over these polluting industries. In addition, the level of pollution treatment did not undergo significant improvement, but the total amount and intensity of carbon emissions decreased, indicating that the new cities also made trade-offs and compromises in the development process. The declining carbon emissions intensity of new cities indicates that the expansion energy mix of the cities is still being optimized and the unit carbon efficiency is improving. As the economy continues to grow, it is expected to continue reducing pollution and achieve synergy between carbon reduction and pollution reduction.

6. Conclusions and Implications

6.1. Research Findings

This paper empirically examined the impact of expansions in the Yangtze River Delta urban agglomeration on the total carbon emissions and its efficiency with the data from 285 cities over the period of 11 years since 2006. Specifically, incumbent and new cities are both discussed in the sample with the use of a staggered DID model. Results mentioned in the paper are concluded as follows.
Firstly, overall, the expansion of the Yangtze River Delta has produced a significant marginal contribution to the reduction of carbon emissions, which is evidenced by a reduction in total carbon emissions as the YRDECC continues to expand. From the structural point of view, the carbon reduction effect is more pronounced for new cities and less for incumbent ones. Moreover, the reduction effect is particularly significant in the first and third years after the expansion, indicating that there are significant short-term and long-term effects of the expansion policy.
Secondly, provincial heterogeneity shows that inter-provincial heterogeneity exists in the carbon reduction effect over the expansion in three provinces and most significantly in the prefecture-level cities of Zhejiang Province. Specifically, expansion in Jiangsu province only increases the total carbon emissions of the incumbent cities. On the contrary, effects on the three types of cities in Zhejiang are significant, which contributes to both a decrease in total carbon emissions and carbon emissions intensity. Cities in Anhui Province were not be included in incumbent cities before the 2013 expansion, but new cities entering the Yangtze River Delta have successfully achieved carbon reductions. Although the expansion has promoted environmental cooperation among governments, the effect of emission reduction is still closely related to provincial specificity, such as resource endowment and industrial structure. The inter-provincial boundaries of YRD are still not completely broken.
Thirdly, the heterogeneity of the 2010 expansion and 2013 expansion show that the first expansion in 2010 has significantly driven the carbon emissions reduction effect on the whole cities and the incumbent cities with new cities excluded, while the second in 2013 had the same effect on all three types of cities, among which the incumbent cities had a trickle-down effect on the new ones. As a result, new cities are driven to transform and upgrade their industries in the low-carbon direction and the development of the overall low-carbon economy in the region is promoted. The carbon emission reduction effect of the new cities only appears in the second expansion, which shows that the initial environmental costs are burdened by the new cities in the YRDECC, and the incumbent cities enjoy the dividends of the expansion first. This indicates that the dilemma of corporate action still exists in the process of YRD regional integration, and cities still treat their own economic goals as the primary consideration.
Fourthly, with respect to mechanisms, the expansion of the YRD urban agglomeration contributes directly to carbon emission reduction by strengthening economic ties, breaking regional trade barriers, and enhancing environmental synergy between governments. Meanwhile, the expansion indirectly suppresses total carbon emissions through the transformation and upgrade of regional industries. Moreover, the market integration mechanism only has a significant effect on carbon emission reduction in the incumbent cities, while the industrial upgrading mechanism has a significant effect in both the incumbent and new cities. The significant moderating effect of industrial upgrading suggests that the Yangtze River Delta urban agglomeration should remain steadfast in vigorously developing a low-carbon industrial system. In particular, the development of cross-administrative industrial chains should be strongly supported.
The above conclusions differ from the current studies, since we focused mainly on the environmental effect from the macro perspective of YRD governmental cooperation, which is different from most current research focusing on the measurement of carbon emissions. Moreover, we compared the policy effect of the two expansions in 2010 and 2013, respectively to show the short-term shocks and long-term changes, thus unveiling the deep interaction among cities and finding unique development paths for each type of city.

6.2. Policy Implications

Based on the findings above, this paper makes the following policy recommendations.
Firstly, policymakers should adhere to the development strategy of urban agglomeration that brings about the environmental effects of expansion. The Yangtze River Delta Urban Economic Coordination Council should continue taking advantage of its institution to integrate carbon reduction goals into the overall plan for the YRD and actively promote intercity cooperation in various fields. It also needs to make good use of the new momentum of regional development originating from the expansion to promote synergy among member cities in urban agglomeration at the environmental protection level and promote joint optimization of energy structures between the regional center and peripheral cities, in such a way that long-term sustainable carbon reduction may be achieved.
Secondly, the resource endowments of each city in the YRD are used to develop differentiated industries and utilize the complementary advantages across regions. It is important to build a differentiated development strategy, so as to make full use of the resource endowments of cities and regions in urban agglomerations to develop differentiated industries and promote the cleanness of industrial energy. For example, Jiangsu Province, whose industrial structure is dominated by secondary industry, should cultivate strategic emerging industries, and promote industrial energy cleanup. It is also necessary to reduce the path dependence on coal consumption and strengthen economic cooperation with the new cities in Anhui Province. At the same time, while promoting local low-carbon development, it is also required to strengthen inter-regional cooperation of industrial planning. For incumbent cities, it is necessary to maximize the industrial upgrading innovation spillover effect and drive the development of low-energy and high-efficiency industries, thus promoting synergy among member cities. Additionally, the negative environment impacts being brought to new cities should not be ignored. For new cities, it is necessary to fully utilize their location advantages with low governance costs, low labor prices, and good business environment, but also to limit the scale of traditional polluting industries, actively introduce the core technologies of the city of origin, and stimulate the incumbent cities to vigorously develop environmental industries with clean technology, energy-saving technology, and product recycling.
Third, regional economic cooperation should be guaranteed by optimizing top-level design to promote market integration. It is necessary to strengthen the cooperation among the member cities within the urban agglomeration in the fields of industrial regulation, carbon emission policy, high-carbon industry supervision and carbon legislation, and promote the regional central cities and peripheral cities to jointly optimize the energy structure and create a good regional development ecology. Local governments are required to form organic synergistic relationships in the above aspects to break the regional circulation barrier. In detail, cities are able to promote the development of regional central cities and peripheral cities to jointly optimize the energy structure and create a better regional developing ecology. For example, the discussion of incumbent cities and new cities in this paper demonstrates the necessity of establishing a regional carbon market. The incumbent cities enjoy the achievements of carbon emission reduction earlier, and new cities gain the environmental benefits in the later stage of expansion. The trade of regional carbon quota is conducive to broadening the circulation channels of carbon elements and enabling new cities to share the fruits of regional carbon reduction development through monetary compensation.

6.3. Limitations and Future Research

First, the industry-related indicators selected in this paper cannot provide a detailed description of the changes in each segmented industry within the 30 cities. We will describe the changes of urban industries and firms before and after the expansion by conducting detailed analysis of the migration in specific firms.
Second, the expansion as an administrative order is regarded as an exogenous shock in this paper without considering the subjectivity of each selected city. For example, cities in the sample are not selected randomly and highly correlated with its economic development level. Therefore, problems, such as missing socioeconomic factors that should be included into the control group, are unavoidable. One of the solutions is to use data at a lower administrative level, which requires precision improvement at the city, country and even district level.
Third, the specific environmental impacts of the expansion on the whole cities and new cities need to be tested in the longer term.

Author Contributions

Conceptualization, J.H. and C.S.; methodology, J.H. and C.S.; software, C.S.; validation, J.H. and C.S.; formal analysis, J.H. and C.S.; investigation, J.H. and C.S.; resources, J.H. and C.S.; data curation, J.H. and C.S.; writing—original draft preparation, C.S.; writing—review and editing, J.H., C.S. and Z.Z.; visualization, C.S.; supervision, J.H.; project administration, J.H. All authors have read and agreed to the published version of the manuscript.

Funding

This research was funded by the National Natural Science Foundation of China, grant number 72003067; the Shanghai Municipal Foundation for Philosophy and Social Science, grant number 2018ECK007; Pujiang Talent Program, grant number 18PJC033; Fundamental Research Funds for the Central Universities, grant numbers 2021QKT009, 2018ECNU-HLYT005, 2021ECNU-YYJ024.

Institutional Review Board Statement

Not applicable.

Informed Consent Statement

Not applicable.

Data Availability Statement

The data presented in this study are available on request from the corresponding author.

Acknowledgments

Many thanks for good advice and help from Chaohai Shen and Xiaolan Zhou during the writing and revise, and the authors wish it to be known that, in their opinion, the first two authors should be regarded as Joint First Authors.

Conflicts of Interest

The authors declare no conflict of interest.

Appendix A

  • The Yangtze River Delta urban agglomeration began in the Shanghai Economic Zone. Initially, it was founded by 15 cities in the region, namely Shanghai, Wuxi, Ningbo, Zhoushan, Suzhou, Yangzhou, Hangzhou, Shaoxing, Nanjing, Nantong, Taizhou, Changzhou, Huzhou, Jiaxing, and Zhenjiang. Taizhou was added in 2003. The 10th meeting of the YRDECC first added six cities, including Hefei, Yancheng, Ma’anshan, Jinhua, Huai’an, and Quzhou, to reach 22 cities, while the 13th meeting in 2013 corporated eight cities, including Wuhu, Lianyungang, Xuzhou, Chuzhou, Huainan, Lishui, Suqian, and Wenzhou, to reach 30 cities. In 2018, the Yangtze River Delta integration elevated to the status of a national strategy for China. Later in 2018 and 2019, it absorbed 11 cities, including Tongling, Chizhou, Huangshan, and Lu’an. By that time, all 41 cities in YRD have been included in the YRDECC. By the end of 2020, resident population of the urban agglomeration had reached 235 million, which ranked first domestically.
  • Whole city is defined as the sum of all cities that were in the YRDECC at the time of 2010 or 2013, with the number of 22 cities in 2010 and 30 cities in 2013. Incumbent city represents cities that were already in place prior to each expansion, with 16 cities in 2010 and 22 cities in 2013. New city indicates cities that entered the YRDECC at the time of expansions, with 6 cities in 2010 and 8 cities in 2013. Take Hefei as an example, it is treated as the new city of YRDECC in 2010, but in 2013, it is an incumbent city.
  • Economic variables mainly include regional economic performance, urban innovation, balanced regional development, labor mismatch, and foreign direct investment.

References

  1. Huan, H.; Zhu, Y.; Liu, J. A quasi-natural experiment research regarding the impact of regional integration expansion in the Yangtze River Delta on foreign direct investment. Growth Chang. 2022, 53, 1–23. [Google Scholar] [CrossRef]
  2. Luo, H.; Qian, Y.; Zeng, J.; Wei, X.; Guang, X. An Empirical Analysis of Logistics Corridors and Regional Economic Spatial Patterns from the Perspective of Compressive Transportation between Urban Agglomerations. Land 2022, 11, 726. [Google Scholar] [CrossRef]
  3. Zeng, C.; Wu, S.; Zhou, H.; Cheng, M. The Impact of Urbanization Growth Patterns on Carbon Dioxide Emissions: Evidence from Guizhou, West of China. Land 2022, 11, 1211. [Google Scholar] [CrossRef]
  4. Guo, R.; Leng, H.; Yuan, Q.; Song, S. Impact of Urban Form on CO2 Emissions under Different Socioeconomic Factors: Evidence from 132 Small and Medium-Sized Cities in China. Land 2022, 11, 713. [Google Scholar] [CrossRef]
  5. Yang, Y.; Li, Y.; Guo, Y. Impact of the differences in carbon footprint driving factors on carbon emission reduction of urban agglomerations given SDGs: A case study of the Guanzhong in China. Sustain. Cities Soc. 2022, 85, 104024. [Google Scholar] [CrossRef]
  6. Wang, Y.; Niu, Y.; Li, M.; Yu, Q.; Chen, W. Spatial structure and carbon emission of urban agglomerations: Spatiotemporal characteristics and driving forces. Sustain. Cities Soc. 2022, 78, 103600. [Google Scholar] [CrossRef]
  7. Andreoni, V.; Galmarini, S. Decoupling Economic Growth from Carbon Dioxide Emissions: A Decomposition Analysis of Italian Energy Consumption. Energy 2012, 44, 682–691. [Google Scholar] [CrossRef]
  8. Cheng, Z.; Li, L.; Liu, J.; Zhang, H. Total-factor carbon emission efficiency of China’s provincial industrial sector and its dynamic evolution. Renew. Sust. Energ. Rev. 2018, 94, 330–339. [Google Scholar] [CrossRef]
  9. Yang, Y.; He, F.; Ji, J.; Liu, X. Peaking Carbon Emissions in a Megacity through Economic Restructuring: A Case Study of Shenzhen, China. Energies 2022, 15, 6932. [Google Scholar] [CrossRef]
  10. Li, R.; Sun, T. Research on Measurement of Regional Differences and Decomposition of Influencing Factors of Carbon Emissions of China’s Logistics Industry. Pol. J. Environ. Stud. 2021, 30, 3137–3150. [Google Scholar] [CrossRef]
  11. Zhong, X.; Li, X.; Li, Y. Urban Expansion and Carbon Emission Logistic Curve Hypothesis and Its Verification: A Case Study of Jiangsu Province. Land 2022, 11, 1066. [Google Scholar] [CrossRef]
  12. Andersson, F.N.G.; Karpestam, P. CO2 Emissions and Economic Activity: Short- and Long-Run Economic Determinants of Scale, Energy Intensity and Carbon Intensity. Energy Policy 2013, 61, 1285–1294. [Google Scholar] [CrossRef]
  13. Zeng, L.; Wang, Y.; Deng, Y. How Land Transactions Affect Carbon Emissions: Evidence from China. Land 2022, 11, 751. [Google Scholar] [CrossRef]
  14. Liu, H.; Gong, G. Heterogeneous Impacts of Financial Development on Carbon Emissions: Evidence from China’s Provincial Data. Environ. Sci. Pollut. Res. 2022, 29, 37565–37581. [Google Scholar] [CrossRef] [PubMed]
  15. Alves, M.R.; Moutinho, V. Decomposition Analysis and Innovative Accounting Approach for Energy-Related CO2 (Carbon Dioxide) Emissions Intensity over 1996–2009 in Portugal. Energy 2013, 57, 775–787. [Google Scholar] [CrossRef]
  16. Feng Dong, Bolin Yu, Tergel Hadachin, Yuanju Dai, Ying Wang, Shengnan Zhang, Ruyin Long, Drivers of carbon emission intensity change in China. Resour. Conserv. Recycl. 2018, 129, 187–201. [CrossRef]
  17. Yang, X.; Jia, Z.; Yang, Z.; Yuan, X. The effects of technological factors on carbon emissions from various sectors in China—A spatial perspective. J. Clean. Prod. 2021, 301, 126949. [Google Scholar] [CrossRef]
  18. Du, Q.; Pang, Q.; Bao, T.; Guo, X.; Deng, Y. Critical factors influencing carbon emissions of prefabricated building supply chains in China. J. Clean. Prod. 2021, 280, 124398. [Google Scholar] [CrossRef]
  19. Zheng, S.; Huang, Y.; Sun, Y. Effects of Urban Form on Carbon Emissions in China: Implications for Low-Carbon Urban Planning. Land 2022, 11, 1343. [Google Scholar] [CrossRef]
  20. Liu, C.; Jiang, Y.; Xie, R. Does income inequality facilitate carbon emission reduction in the US? J. Clean. Prod. 2019, 217, 380–387. [Google Scholar] [CrossRef]
  21. Zhao, K.; Cui, X.; Zhou, Z.; Huang, P.; Li, D. Exploring the Dependence and Influencing Factors of Carbon Emissions from the Perspective of Population Development. Int. J. of Environ. Res.. Public Health 2021, 18, 11024. [Google Scholar] [CrossRef] [PubMed]
  22. Shao, L.; Li, Y.; Feng, K.; Meng, J.; Shan, Y.; Guan, D. Carbon emission imbalances and the structural paths of Chinese regions. Appl. Energy 2018, 215, 396–404. [Google Scholar] [CrossRef]
  23. Chen, X.; Meng, Q.; Shi, J.; Liu, Y.; Sun, J.; Shen, W. Regional Differences and Convergence of Carbon Emissions Intensity in Cities along the Yellow River Basin in China. Land 2022, 11, 1042. [Google Scholar] [CrossRef]
  24. Murshed, M.; Ahmed, R.; Kumpamool, C.; Bassim, M.; Elheddad, M. The Effects of Regional Trade Integration and Renewable Energy Transition on Environmental Quality: Evidence from South Asian Neighbors. Bus. Strateg. Environ. 2021, 30, 4154–4170. [Google Scholar] [CrossRef]
  25. Qadir, S.; Dosmagambet, Y. CAREC Energy Corridor: Opportunities, Challenges, and IMPACT of Regional Energy Trade Integration on Carbon Emissions and Energy Access. Energy Policy 2020, 147, 111427. [Google Scholar] [CrossRef]
  26. Li, J.; Lin, B. Does Energy and CO2 Emissions Performance of China Benefit from Regional Integration? Energy Policy 2017, 101, 366–378. [Google Scholar] [CrossRef]
  27. He, W.; Wang, B.; Wang, Z. Will Regional Economic Integration Influence Carbon Dioxide Marginal Abatement Costs? Evidence from Chinese Panel Data. Energy Econ. 2018, 74, 263–274. [Google Scholar] [CrossRef]
  28. Zhang, Q.; Cai, X.; Liu, X.; Yang, X.; Wang, Z. The Influence of Urbanization to the Outer Boundary Ecological Environment Using Remote Sensing and GIS Techniques—A Case of the Greater Bay Area. Land 2022, 11, 1426. [Google Scholar] [CrossRef]
  29. Wang, F.; Fan, W.; Liu, J.; Wang, G.; Chai, W. The effect of urbanization and spatial agglomeration on carbon emissions in urban agglomeration. Environ. Sci. Pollut. Res. 2020, 27, 24329–24341. [Google Scholar] [CrossRef]
  30. Zeng, L.; Li, C.; Liang, Z.; Zhao, X.; Hu, H.; Wang, X.; Yuan, D.; Yu, Z.; Yang, T.; Lu, J.; et al. The Carbon Emission Intensity of Industrial Land in China: Spatiotemporal Characteristics and Driving Factors. Land 2022, 11, 1156. [Google Scholar] [CrossRef]
  31. Shao, S.; Chen, Y.; Li, K.; Yang, L. Market Segmentation and Urban CO2 Emissions in China: Evidence from the Yangtze River Delta Region. J. Environ. Manage. 2019, 248, 109324. [Google Scholar] [CrossRef] [PubMed]
  32. Lai, A.; Wang, Q.; Cui, L. Can Market Segmentation Lead to Green Paradox? Evidence from China. Energy 2022, 254, 124390. [Google Scholar] [CrossRef]
  33. Lin, B.; Huang, C. Analysis of emission reduction effects of carbon trading: Market mechanism or government intervention? Sustain. Prod. Consum. 2022, 33, 28–37. [Google Scholar] [CrossRef]
  34. Porter, M.; Vanderlinde, C. Toward a New Conception of the Environment- Competitiveness Relationship. J. Econ. Perspect. 1995, 9, 97–118. [Google Scholar] [CrossRef]
  35. Gu, R.; Li, C.; Li, D.; Yang, Y.; Gu, S. The Impact of Rationalization and Upgrading of Industrial Structure on Carbon Emissions in the Beijing-Tianjin-Hebei Urban Agglomeration. Int. J. of Environ. Res. Public Health 2022, 19, 7997. [Google Scholar] [CrossRef]
  36. Zhou, D.; Zhang, X.; Wang, X. Research on coupling degree and coupling path between China’s carbon emission efficiency and industrial structure upgrading. Environ. Sci. Pollut. Res. 2020, 27, 25149–25162. [Google Scholar] [CrossRef]
  37. Cai, X.; Fan, C.; Lin, J. Can Regional Integration Enlargement Promote High-quality Development. A Quasi—Natural Experimental Research Based on Practice in the Yangtze River Delta. Econ. Inq. 2022, 1, 84–99. [Google Scholar]
  38. Wang, J.; Wang, C.; Yu, S.; Li, M.; Cheng, Y. Coupling coordination and spatiotemporal evolution between carbon emissions, industrial structure, and regional innovation of counties in Shandong province. Sustainability 2022, 14, 7484. [Google Scholar] [CrossRef]
  39. Gao, P.; Wang, Y.; Zou, Y.; Su, X.; Che, X.; Yang, X. Green technology innovation and carbon emissions nexus in China: Does industrial structure upgrading matter? Front. Psychol. 2022, 13, 95117. [Google Scholar] [CrossRef]
  40. Chen, J.; Gao, M.; Cheng, S.; Hou, W.; Song, M.; Liu, X.; Liu, Y.; Shan, Y. County- Level CO2 Emissions and Sequestration in China during 1997 –2017. Sci. Data 2020, 7, 391. [Google Scholar] [CrossRef]
  41. Dong, F.; Hu, M.; Gao, Y.; Liu, Y.; Zhu, J.; Pan, Y. How does digital economy affect carbon emissions? Evidence from global 60 countries. Sci. Total Environ. 2022, 852, 158401. [Google Scholar] [CrossRef] [PubMed]
  42. Zhang, H.; Zhang, X.; Yuan, J. Driving forces of carbon emissions in China: A provincial analysis. Environ. Sci. Pollut. Res. 2021, 28, 21455–21470. [Google Scholar] [CrossRef] [PubMed]
  43. Albitar, K.; Borgi, H.; Khan, M.; Zahra, A. Business Environmental Innovation and CO2 Emissions: The Moderating Role of Environmental Governance. Bus Strat Env. 2022, bse.3232. [Google Scholar] [CrossRef]
  44. Apergis, N.; Pinar, M.; Unlu, E. How Do Foreign Direct Investment Flows Affect Carbon Emissions in BRICS Countries? Revisiting the Pollution Haven Hypothesis Using Bilateral FDI Flows from OECD to BRICS Countries. Environ. Sci. Pollut. Res. 2022. [Google Scholar] [CrossRef] [PubMed]
  45. Sun, L.; Cao, X.; Alharthi, M.; Zhang, J.; Farhad, T.; Muhammad, M. Carbon emission transfer strategies in supply chain with lag time of emission reduction technologies and low-carbon preference of consumers. J. Clean. Prod. 2020, 264, 121664. [Google Scholar] [CrossRef]
  46. Fan, G.; Ma, G.; Wang, X. Institutional Reform and Economic Growth of China: 40-Year Progress Toward Marketization. Acta Oecol. 2009, 69, 7–20. [Google Scholar] [CrossRef]
  47. Hou, Y.; Liu, Z.; Yue, Z. Analysis over the Process of Economic Integration in the Yangtze River Delta. China Soft Sci. 2015, 12, 90–101. [Google Scholar] [CrossRef]
  48. Dong, F.; Yu, B.; Pan, Y. Examining the Synergistic Effect of CO2 Emissions on PM2.5 Emissions Reduction: Evidence from China. J. Clean. Prod. 2019, 223, 759–771. [Google Scholar] [CrossRef]
  49. Zheng, X.; Zhang, L.; Yu, Y.; Lin, S. On the Nexus of SO2 and CO2 Emissions in China: The Ancillary Benefits of CO2 Emission Reductions. Reg. Environ. Chang. 2011, 11, 883–891. [Google Scholar] [CrossRef]
  50. Dietz, T.; Rosa, E.A. Rethinking the Environmental Impacts of Population, Affluence and Technology. Hum. Ecol. Rev. 2009, 1, 277–300. [Google Scholar] [CrossRef]
  51. Chetty, R.; Looney, A.; Kroft, K. Salience and Taxation: Theory and Evidence. Am. Econ. Rev. 2009, 99, 1145–1177. [Google Scholar] [CrossRef]
  52. Zou, C.; Huang, Y.; Wu, S.; Hu, S. Does “Low-Carbon City” Accelerate Urban Innovation? Evidence from China. Sust. Cities Soc. 2022, 83, 103954. [Google Scholar] [CrossRef]
  53. Zhou, J.; Huo, X.; Jin, B.; Yu, X. The Efficiency of Carbon Trading Market in China: Evidence from Variance Ratio Tests. Environ. Sci. Pollut. Res. 2019, 26, 14362–14372. [Google Scholar] [CrossRef] [PubMed]
  54. Chen, L.; Wang, D.; Shi, R. Can China’s Carbon Emissions Trading System Achieve the Synergistic Effect of Carbon Reduction and Pollution Control? Int. J. Environ. Res. Public Health 2022, 19, 8932. [Google Scholar] [CrossRef]
Figure 1. Research Model.
Figure 1. Research Model.
Energies 15 09492 g001
Figure 2. Parallel trend test results.
Figure 2. Parallel trend test results.
Energies 15 09492 g002
Figure 3. Probability density distribution of placebo test coefficients.
Figure 3. Probability density distribution of placebo test coefficients.
Energies 15 09492 g003
Table 1. Descriptive statistics of variables.
Table 1. Descriptive statistics of variables.
CategoryVariablesMeaningUnitObservationsMeanVarianceMinimumMaximum
Dependent variableceTotal urban carbon emissionsmillion tons334727.0624.11.85230.71
cegdpUrban Carbon Emission Intensitytons/hundred dollars33470.030.0200.18
Independent variabledid1Whole city, yes = 1, no = 0
did2Incumbent city, yes = 1, no = 0
did3New city, yes = 1, no = 0
Control variablesrgdp2Real GDP squared 34205.190 × 10142.186 × 10158.910 × 10104.810 × 1016
rgdpActual Gross productionbillion34201336.971842.529.8422,000
pdenPopulation densitypeople/km23413426.39326.5102648.11
techScience and technology expendituremillion342065,118.84240,266.660.134,000,000
FDIForeign Direct Investmentmillion324979,021.58190,548.5433,100,000
faiFixed asset investmentmillion340811,900,00014,500,0003307031.750 × 108
reiProperty development investmentmillion34162,230,0004,310,000535442,000,000
roadRoad areasquare kilometers32971669.842218.04021,490
patentNumber of patents granted for inventionsPieces3420465.831941.9046,061
energyEnergy consumptionbillion tons of standard coal33961.650.870.094.01
wageAverage wage of employeesYuan339639,269.0717,912.294958320,626
mktLevel of marketability 33966.661.622.3711.11
Mechanism variablesconnectEconomic links 3601143.951770.311.849232.18
pubgdpFinancial expendituremillion34150.250.170.042.06
divIndustrial division of labor 36010.145.846.1382.71
tsIndustrial upgrading 3418.860.440.094.26
pm2.5pm2.5µg/m3339637.0216.574.6890.86
so2Industrial sulfur dioxide emissionsmillion tons334354,929.155,988.982682,922
Table 2. Results for the carbon reduction effect of expansion.
Table 2. Results for the carbon reduction effect of expansion.
Whole CityIncumbent CityNew City
lncelncegdplncelncegdplncelncegdp
did1−0.0297 **−0.026 **
(0.013)(0.0127)
did2 −0.021−0.017
(0.0166)(0.0155)
did3 −0.0323 *−0.0296 *
(.0181)(.0178)
lnrgdp2−0.0218 ***−0.0218 ***−0.0223 ***−0.0223 ***−0.0231 ***−0.0229 ***
(0.0053)(0.0055)(0.0054)(0.0056)(0.0052)(0.0053)
lnrgdp0.5031 ***−0.3573 ***0.5226 ***−0.3388 ***0.5322 ***−0.3323 ***
(0.1059)(0.1129)(0.1077)(0.1146)(0.1036)(0.1099)
lnpden0.01340.01440.01190.01290.01020.0117
(0.0093)(0.0089)(0.0092)(0.0088)(0.0092)(0.0088)
lntech0.0004−0.0007−0.0004−0.00150.0001−0.0009
(0.0048)(0.0048)(0.0048)(0.0048)(0.0048)(0.0048)
lnfdi−0.0042−0.005−0.0045−0.0053−0.0041−0.005
(0.0035)(0.0036)(0.0035)(0.0036)(0.0035)(0.0036)
lnfai0.01960.01060.020.01090.02060.0115
(0.0129)(0.0132)(0.013)(0.0132)(0.013)(0.0132)
lnrei−0.00220.0003−0.00170.0007−0.00210.0003
(0.01)(0.0104)(0.01)(0.0104)(0.0101)(0.0104)
lnroad0.0199 **0.0177 *0.0195 **0.0174 *0.0194 **0.0173 *
(0.0097)(0.0098)(0.0097)(0.0098)(0.0097)(0.0098)
lnpatent−0.009 *−0.0098 **−0.01 **−0.0107 **−0.0097 **−0.0104 **
(0.0046)(0.0047)(0.0046)(0.0047)(0.0046)(0.0046)
lnenergy0.457 ***0.4338 ***0.4505 ***0.4281 ***0.4557 ***0.433 ***
(0.0652)(0.0666)(0.0652)(0.0666)(0.0656)(0.0669)
lnwage0.02730.02060.02920.02230.02930.0222
(0.0306)(0.0313)(0.0309)(0.0316)(0.0307)(0.0313)
lnmkt0.02250.00770.02040.00560.01580.0019
(0.0353)(0.0369)(0.0355)(0.0371)(0.0349)(0.0365)
_cons−0.2774−911−0.379−1.0061 *−0.4015−1.0167 *
(0.516)(0.5541)(0.5198)(0.5568)(0.5053)(0.5405)
Year fixedYesYesYesYesYesYes
City fixedYesYesYesYesYesYes
Observations307330733073307330733073
R-squared0.86110.90290.86060.90270.86090.9028
Note: Coefficients followed by ***, ** and * each represent coefficients significant at the 1%, 5%, and 10% levels. Robust standard errors are reported in parentheses below, clustered to the city level.
Table 3. Results of the effect of expansion on carbon emission reduction in Jiangsu Province.
Table 3. Results of the effect of expansion on carbon emission reduction in Jiangsu Province.
Whole CityIncumbent CityNew City
(1)(2)(3)(4)(5)(6)
lncelncegdplncelncegdplncelncegdp
did10.02120.0205
(0.0139)(0.0142)
did2 0.0233 *0.0213
(0.0133)(0.0138)
did3 0.01510.0165
(0.0236)(0.0246)
Control variablesControlControlControlControlControlControl
_cons−0.5382−1.2965−0.5353−1.2901−0.4527−1.2129
(0.8493)(0.9038)(0.8569)(0.9111)(0.8294)(0.8833)
City fixedYesYesYesYesYesYes
Year fixedYesYesYesYesYesYes
Observations287128712871287128712871
R-squared0.86390.89980.86390.89980.86380.8997
Note: * represent coefficients significant at the 10% levels. Robust standard errors are reported in parentheses below, clustered to the city level.
Table 4. Results of the effect of expansion on carbon emission reduction in Zhejiang Province.
Table 4. Results of the effect of expansion on carbon emission reduction in Zhejiang Province.
Whole CityIncumbent CityNew City
(1)(2)(3)(4)(5)(6)
lncelncegdplncelncegdplncelncegdp
did1−0.0808 ***−0.0706 ***
(0.0138)(0.014)
did2 −0.0664 ***−0.0571 ***
(0.014)(0.0139)
did3 −0.0906 ***−0.0806 ***
(0.0192)(0.0199)
_cons−0.8603−1.5473 *−1.071−1.7345 *−1.1414−1.7867 *
(0.8753)(0.9276)(0.8841)(0.9343)(0.8806)(0.9262)
Control variablesControlControlControlControlControlControl
City fixedYesYesYesYesYesYes
Year fixedYesYesYesYesYesYes
Observations284728472847284728472847
R-squared0.85660.89890.85560.89830.85580.8984
Note: Coefficients followed by *** and *, each represent coefficients significant at the 1% and 10% levels. Robust standard errors are reported in parentheses below, clustered to the city level.
Table 5. Results of the effect of expansion on carbon emission reduction in Anhui Province.
Table 5. Results of the effect of expansion on carbon emission reduction in Anhui Province.
Whole CityIncumbent CityNew City
(1)(2)(3)(4)(5)(6)
lncelncegdplncelncegdplncelncegdp
did1−0.0409 *−0.0429 *
(0.0246)(0.0251)
did2
did3 −0.0409 *−0.0429 *
(0.0246)(0.0251)
Control variablesControlControlControlControlControlControl
_cons−0.4202−1.0757−0.2323−0.8768−0.4202−1.0757
(0.7101)(0.7506)(0.6716)(0.7074)(0.7101)(0.7506)
City fixedYesYesYesYesYesYes
Year fixedYesYesYesYesYesYes
Observations277527752775277527752775
R-squared0.86060.89760.86040.89740.86060.8976
Note: Coefficients * represents coefficients significant at the 10% levels. Robust standard errors are reported in parentheses below, clustered to the city level.
Table 6. First expansion standard DID results.
Table 6. First expansion standard DID results.
Whole CityIncumbent CityNew City
(1)(2)(3)(4)(5)(6)
lncelncegdplncelncegdplncelncegdp
did40.0218 **0.0244 **
(0.0102)(0.0101)
did6 0.0349 ***0.0372 ***
(0.0117)(0.0119)
did8 −0.00030.0052
(0.0241)(0.0231)
Control variablesControlControlControlControlControlControl
_cons1.1972−0.66520.9664−0.90931.2323−0.6045
(0.8307)(1.0389)(0.8347)(1.0515)(0.7647)(0.9796)
City fixedYesYesYesYesYesYes
Year fixedYesYesYesYesYesYes
Observations179917991799179917991799
R-squared0.88870.7140.88890.71440.88830.7129
Note: Coefficients followed by ***, ** each represent coefficients significant at the 1%, 5% levels. Robust standard errors are reported in parentheses below, clustered to the city level.
Table 7. Second expansion standard DID results.
Table 7. Second expansion standard DID results.
Whole CityIncumbent CityNew City
(1)(2)(3)(4)(5)(6)
lncelncegdplncelncegdplncelncegdp
did5−0.0624 ***−0.0637 ***
(0.011)(0.0107)
did7 −0.0725 ***−0.0745 ***
(0.0133)(0.0124)
did9 −0.0297 **−0.0297 **
(0.0136)(0.0146)
Control variablesControlControlControlControlControlControl
_cons1.9557 **−0.11831.9661 **−0.10481.4772 *−0.6079
(0.8742)(0.8915)(0.8764)(0.8915)(0.877)(0.8976)
City fixedYesYesYesYesYesYes
Year fixedYesYesYesYesYesYes
Observations149114911491149114911491
R-squared0.2490.91450.24780.91440.22990.9123
Note: Coefficients followed by ***, ** and * each represent coefficients significant at the 1%, 5%, and 10% levels. Robust standard errors are reported in parentheses below, clustered to the city level.
Table 8. Robustness tests excluding other policies.
Table 8. Robustness tests excluding other policies.
Whole CityIncumbent CityNew City
(1)(2)(3)(4)(5)(6)
lncelncegdplncelncegdplncelncegdp
did1−0.0417 ***−0.0381 ***
(0.0139)(0.0138)
did2 −0.021−0.017
(0.0166)(0.0155)
did3 −0.0323 *−0.0296 *
(0.0181)(0.0178)
Control variablesControlControlControlControlControlControl
_cons−0.8357−1.601 **−0.962−1.7225 **−0.8156−1.4402 **
(0.7324)(0.7369)(0.7679)(0.7722)(0.6507)(0.6817)
City fixedYesYesYesYesYesYes
Year fixedYesYesYesYesYesYes
Observations225922593073307330733073
R-squared0.87780.90470.86060.90270.86090.9028
Note: Coefficients followed by ***, ** and * each represent coefficients significant at the 1%, 5%, and 10% levels. Robust standard errors are reported in parentheses below, clustered to the city level.
Table 9. Robustness tests for the exclusion of regional core cities.
Table 9. Robustness tests for the exclusion of regional core cities.
Whole CityIncumbent CityNew City
(1)(2)(3)(4)(5)(6)
lncelncegdplncelncegdplncelncegdp
did1−0.0289 **−0.026 *
(0.014)(0.0136)
did2 −0.0153−0.0122
(0.0174)(0.0163)
did3 −0.0357 *−0.0334 *
(0.0192)(0.0188)
Control variablesControlControlControlControlControlControl
_cons−0.5319−1.191 *−0.6026−1.2649 *−0.6847−1.3296 *
(0.6633)(0.7009)(0.6839)(0.7221)(0.6693)(0.7031)
City fixedYesYesYesYesYesYes
Year fixedYesYesYesYesYesYes
Observations302530253025302530253025
R-squared0.86090.90150.86050.90130.86090.9015
Note: Coefficients followed by ** and *, each represent coefficients significant at the 5%, and 10% levels. Robust standard errors are reported in parentheses below, clustered to the city level.
Table 10. Robustness tests for excluding other expanding urban agglomerations.
Table 10. Robustness tests for excluding other expanding urban agglomerations.
Whole CityIncumbent CityNew City
(1)(2)(3)(4)(5)(6)
lncelncegdplncelncegdplncelncegdp
did1−0.0369 ***−0.0324 **
(0.0137)(0.0135)
did2 −0.0289−0.0241
(0.0176)(0.0167)
did3 −0.0359 *−0.0328 *
(0.0183)(0.0181)
Control variablesControlControlControlControlControlControl
_cons−0.5202−1.147−0.5675−1.2016−0.7983−1.3956 *
(0.6867)(0.72)(0.7141)(0.7488)(0.7012)(0.7282)
City fixedYesYesYesYesYesYes
Year fixedYesYesYesYesYesYes
Observations290729072907290729072907
R-squared0.85930.89950.85870.89920.85890.8993
Note: Coefficients followed by ***, ** and * each represent coefficients significant at the 1%, 5%, and 10% levels. Robust standard errors are reported in parentheses below, clustered to the city level.
Table 11. Market consolidation effects of the expansion.
Table 11. Market consolidation effects of the expansion.
Whole CityIncumbent CityNew City
(1)(2)(3)(4)(5)(6)
lncelncegdplncelncegdplncelncegdp
did10.0831 *0.0936 **
(0.0425)(0.0369)
did2 0.1505 ***0.1682 ***
(0.0501)(0.0474)
did3 −0.0892−0.0917
(0.0581)(0.0602)
lnconnect0.0335 **0.0296 **0.0303 *0.0251 *0.0045−0.0019
(0.0141)(0.0118)(0.0163)(0.0137)(0.016)(0.0166)
d1lnconnect−0.0113 *−0.0131**
(0.0066)(0.0059)
d2lnconnect −0.0236 ***−0.0263 ***
(0.0077)(0.0072)
d3lnconnect 0.0194 *0.0199 *
(0.0108)(0.0111)
_cons−1.6474−4.7486 ***−1.4164−4.5403 ***−1.475−4.6238 ***
(1.1707)(1.1128)(1.1266)(1.0601)(1.0972)(1.0699)
Observations356356356356356356
R-squared0.96270.98570.96410.98650.96310.9858
Note: Coefficients followed by ***, ** and * each represent coefficients significant at the 1%, 5%, and 10% levels. Robust standard errors are reported in parentheses below, clustered to the city level.
Table 12. Expanded industries Upgrading effects.
Table 12. Expanded industries Upgrading effects.
Whole CityIncumbent CityNew City
(1)(2)(3)(4)(5)(6)
lncelncegdplncelncegdplncelncegdp
did10.01960.0187
(0.0255)(0.0263)
did2 0.03380.0408
(0.0286)(0.0276)
did3 −0.0251−0.0469
(0.041)(0.0353)
ts−0.0136−0.03210.0096−0.00420.0545 *0.0697 **
(0.0454)(0.0421)(0.0425)(0.0389)(0.0268)(0.026)
d1ts0.00070.0018
(0.0364)(0.036)
d2ts −0.0453−0.0533 *
(0.0275)(0.029)
d3ts −1.8591−4.8604 ***
(1.1493)(1.1066)
_cons−2.2115 *−5.1822 ***−2.1499−5.1608 ***356356
(1.2507)(1.196)(1.2849)(1.216)0.96250.9858
Observations356356356356−0.0251−0.0469
R-squared0.96170.98530.96190.9855(0.041)(0.0353)
Note: Coefficients followed by ***, ** and * each represent coefficients significant at the 1%, 5%, and 10% levels. Robust standard errors are reported in parentheses below, clustered to the city level.
Table 13. Carbon reduction and pollution reduction synergies of capacity expansion.
Table 13. Carbon reduction and pollution reduction synergies of capacity expansion.
Whole CityIncumbent CityNew City
(1)(2)(3)(4)(5)(6)
lnpm25lnso2lnpm25lnso2lnpm25lnso2
did10.02110.1243
(0.013)(0.077)
did2 −0.0181−0.1078
(0.0132)(0.0885)
did3 0.057 ***0.3342 ***
(0.0181)(0.0849)
Control variablesControlControlControlControlControlControl
_cons4.9429 ***9.479 ***5.1602 ***10.7987 ***5.1191 ***10.5313 ***
(0.9393)(2.8933)(0.9592)(3.0413)(0.9201)(2.8523)
City fixedYesYesYesYesYesYes
Year fixedYesYesYesYesYesYes
Observations307030003070300030703000
R-squared0.24380.53070.24340.53010.24570.5337
Note: Coefficients *** represents coefficients significant at the 1% levels. Robust standard errors are reported in parentheses below, clustered to the city level.
Publisher’s Note: MDPI stays neutral with regard to jurisdictional claims in published maps and institutional affiliations.

Share and Cite

MDPI and ACS Style

Hu, J.; Shao, C.; Zhang, Z. The Impact of Sustainable Regional Development Policy on Carbon Emissions: Evidence from Yangtze River Delta of China. Energies 2022, 15, 9492. https://doi.org/10.3390/en15249492

AMA Style

Hu J, Shao C, Zhang Z. The Impact of Sustainable Regional Development Policy on Carbon Emissions: Evidence from Yangtze River Delta of China. Energies. 2022; 15(24):9492. https://doi.org/10.3390/en15249492

Chicago/Turabian Style

Hu, Jinxing, Cuiying Shao, and Zhaolong Zhang. 2022. "The Impact of Sustainable Regional Development Policy on Carbon Emissions: Evidence from Yangtze River Delta of China" Energies 15, no. 24: 9492. https://doi.org/10.3390/en15249492

APA Style

Hu, J., Shao, C., & Zhang, Z. (2022). The Impact of Sustainable Regional Development Policy on Carbon Emissions: Evidence from Yangtze River Delta of China. Energies, 15(24), 9492. https://doi.org/10.3390/en15249492

Note that from the first issue of 2016, this journal uses article numbers instead of page numbers. See further details here.

Article Metrics

Back to TopTop