Minor Actinides Transmutation and 233U Breeding in a Closed Th-U Cycle Based on Molten Chloride Salt Fast Reactor
Abstract
:1. Introduction
2. General Description of MCFR and Analysis Methodology
2.1. Description of the Optimized MCFR and Online Reprocessing
2.2. Simulation Tool
3. Results and Discussion
3.1. Evolution of Neutron Spectrum
3.2. Evolution of Heavy Nuclides Inventories and Mass Flow
3.3. 233U Breeding Performance
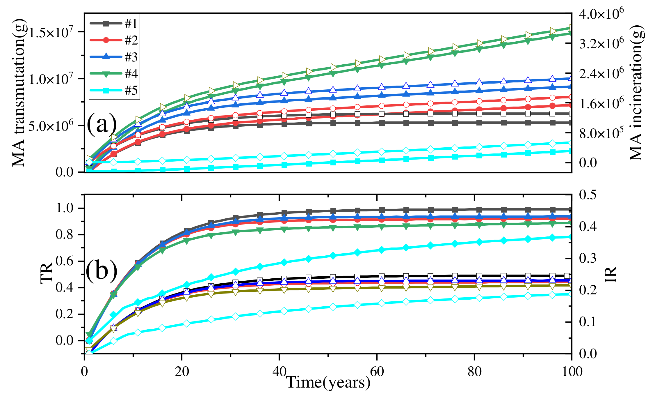
3.4. MA Transmutation Capability
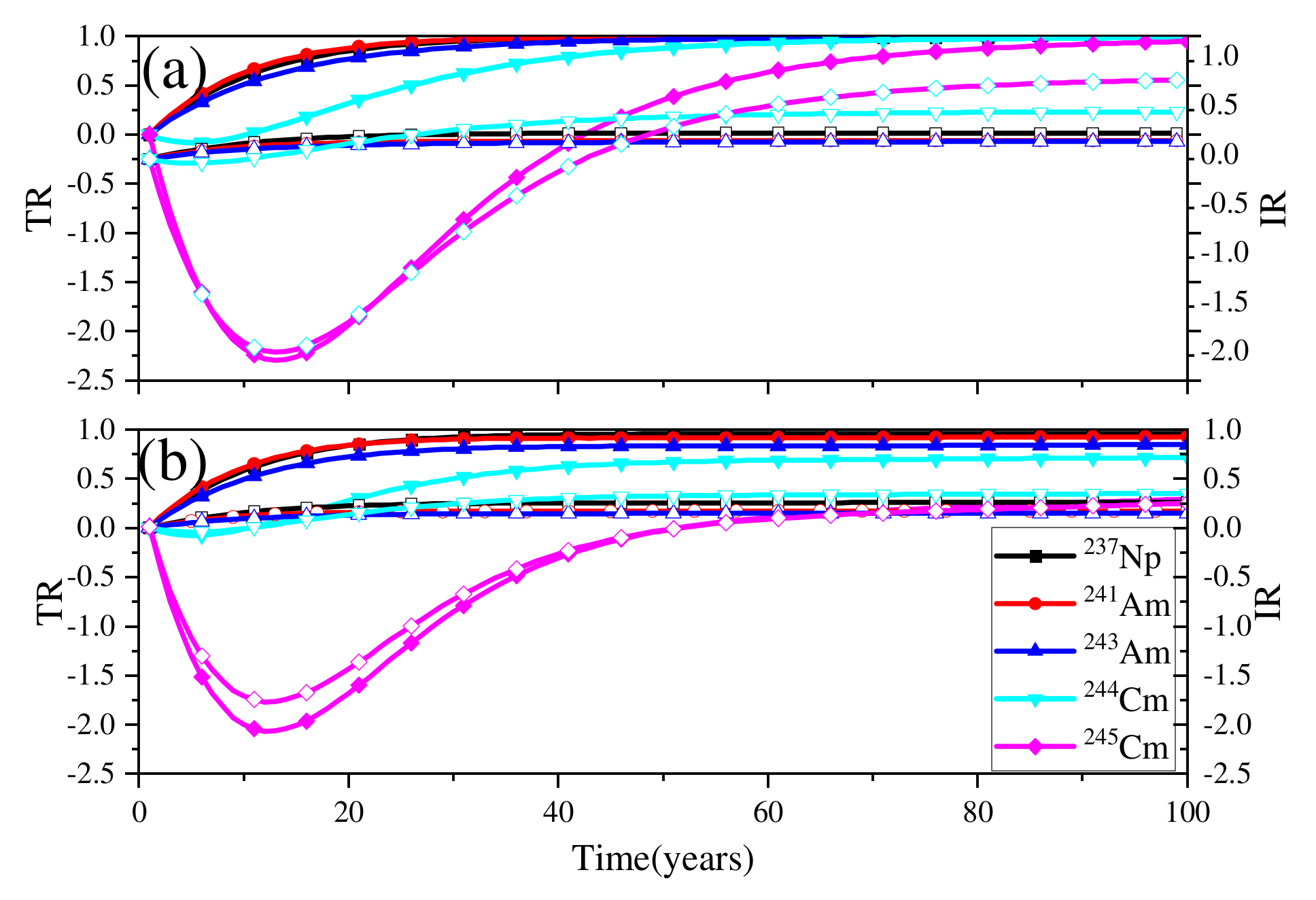
3.5. Radiotoxicity and Safety Performance
4. Conclusions
Author Contributions
Funding
Conflicts of Interest
References
- OECD/NAE/NSC. Overview of Physics Aspects of Different Transmutation Concepts; Nuclear Energy Agency: Paris, France, 1994; p. 118. [Google Scholar]
- Liu, B.; Wang, K.; Tu, J.; Liu, F.; Huang, L.; Hu, W. Transmutation of minor actinides in the pressurized water reactors. Ann. Nucl. Energy 2013, 64, 86–92. [Google Scholar] [CrossRef]
- Martinez, E.; Alonso, G.; Ramirez, R.; Castillo, R. Comparison of BWR fuel assembly options for minor actinide recycling. Ann. Nucl. Energy 2019, 132, 288–298. [Google Scholar] [CrossRef]
- Liu, B.; Han, J.; Liu, F.; Sheng, J.; Li, Z. Minor actinide transmutation in the lead-cooled fast reactor. Prog. Nucl. Energy 2019, 119, 103148. [Google Scholar] [CrossRef]
- Fukuda, T.; Yamaji, A. Conceptual design of Super FR for MA transmutation with axially heterogeneous core. Nucl. Eng. Des. 2020, 363, 110619. [Google Scholar] [CrossRef]
- Liu, F.; Zhang, W.; Liu, B.; Lyu, X.; Wang, J.; Niu, F.; Yan, P. Fuel depletion characteristics of MA transmutation in PWR. Nucl. Mater. Energy. Fuel. 2022, 30, 101119. [Google Scholar] [CrossRef]
- Salvatores, M.; Slessarev, I.; Uematsu, M. A global physics approach to transmutation of radioactive nuclei. Nucl. Sci. Eng. 1994, 116, 1. [Google Scholar] [CrossRef]
- Ahn, S.J.; Ha, K.S.; Chang, W.P.; Kang, S.H.; Lee, K.L.; Choi, C.H.; Lee, S.W.; Yoo, J.; Jeong, J.H.; Jeong, T.Y. Evaluation of a sodium–water reaction event caused by steam generator tubes break in the prototype generation iv sodium-cooled fast reactor. Nucl. Eng. Technol. 2016, 48, 952–964. [Google Scholar] [CrossRef] [Green Version]
- Pope, M.; Lee, J.I.; Hejzlar, P.; Driscoll, M.J. Thermal hydraulic challenges of gas cooled fast reactors with passive safety features. Nucl. Eng. Des. 2009, 239, 840–854. [Google Scholar] [CrossRef]
- Wang, M. Neutronics Design and Study on Subcritical Spent Fuel Burner. Ph.D. Thesis, University of Chinese Academy of Sciences, Beijing, China, 2012. [Google Scholar]
- U.S. DOE. A technology roadmap for generation IV nuclear energy systems. In Nuclear Energy Research Advisory Committee and the Generation IV International Forum; USDOE Office of Nuclear Energy, Science and Technology (NE): Washington, DC, USA, 2002. [Google Scholar] [CrossRef]
- Ashraf, O.; Tikhomirov, G. Thermal-and fast-spectrum molten salt reactors for minor actinides transmutation. Ann. Nucl. Energy 2020, 148, 107751. [Google Scholar] [CrossRef]
- Yu, C.; Li, X.; Cai, X.; Zou, C.; Ma, Y.; Han, J.; Chen, J. Analysis of minor actinides transmutation for a molten salt fast reactor. Ann. Nucl. Energy 2015, 85, 597. [Google Scholar] [CrossRef]
- Ignatiev, V.; Feynberg, O.; Gnidoi, I.; Merzlyakov, A.; Smirnov, V.; Surenkov, A.; Tretiakov, I.; Zakirov, R. Progress in development of Li, Be, Na/F molten salt actinide recycler & transmutation concept. In Proceedings of the ICAPP, Kyoto, Japan, 24–28 April 2017; p. 7548. [Google Scholar]
- Heuer, D.; Merle-Lucotte, E.; Allibert, M.; Brovchenko, M.; Ghetta, V.; Rubiolo, P. Towards the Thorium Fuel Cycle with Molten Salt Fast Reactors. Ann. Nucl. Energy 2014, 64, 421. [Google Scholar] [CrossRef]
- Křepel, J.; Hombourger, B.; Fiorina, C.; Mikityuk, K.; Rohde, U.; Kliem, S.; Pautz, A. Fuel cycle advantages and dynamics features of liquid fueled MSR. Ann. Nucl. Energy 2014, 64, 380–397. [Google Scholar] [CrossRef]
- Rosenthal, M.W.; Kasten, P.R.; Briggs, R.B. Molten-salt reactors–history, status, and potential. Nucl. Appl. Technol. 1970, 8, 107–117. [Google Scholar] [CrossRef]
- Bulmer, J.J.; Gift, E.H.; Holl, R.J.; Jacobs, A.M.; Jaye, S.; Koffman, E.; McVean, R.L.; Oehl, R.G.; A Rossi, R. Reactor Design and Feasibility Study: Fused Salt Fast Breeder; Oak Ridge School of Reactor Technology: Oak Ridge, TN, USA, 1956. [Google Scholar] [CrossRef]
- He, L.-Y.; Xia, S.-P.; Chen, J.-G.; Liu, G.-M.; Zou, Y. Th-U Breeding Performances in an Optimized Molten Chloride Salt Fast Reactor. Nucl. Sci. Eng 2021, 195, 185–202. [Google Scholar] [CrossRef]
- Smith, J.; Simmons, W.E. An Assessment of a 2500 MWe Molten Chloride Salt Fast Reactor; United Kingdom Energy Authority Reactor Group: Winfrith, UK, 1974. [Google Scholar]
- Scott, I.; Abram, T.; Negri, O. Stable Salt Reactor Design Concept. In Proceedings of the International Thorium Energy Conference Gateway to Thorium Energy, Geneva, Switzerland, 27–31 October 2013.
- Merk, B.; Detkina, A.; Atkinson, S.; Litskevich, D.; Cartland-Glover, G. Evaluation of the Breeding Performance of a NaCl-UCl-Based Reactor System. Energies 2019, 12, 3853. [Google Scholar] [CrossRef] [Green Version]
- Mourogov, A.; Bokov, P. Potentialities of the fast spectrum molten salt reactor concept: REBUS-3700. Energy Convers. Manag. 2006, 47, 2761–2771. [Google Scholar] [CrossRef]
- TerraPower’s Molten Chloride Fast Reactor Technology: Nuclear for a Changing Energy Sector. 2022. Available online: https://www.terrapower.com/wp-content/uploads/2022/06/TP_2022_MCFR_Technology.pdf (accessed on 11 October 2022).
- Yu, C.; Li, X.; Cai, X.; Zou, C.; Ma, Y.; Wu, J.; Han, J.; Chen, J. Minor actinide incineration and Th-U breeding in a small FLiNaK Molten Salt Fast Reactor. Ann. Nucl. Energy 2017, 99, 335–344. [Google Scholar] [CrossRef]
- Koshi, M.; Yamamoto, T.; Yoshioka, R. Self-Sustaining Core Design for 200 MWe Molten-Salt Reactor with Thorium-Uranium Fuel: Fuji-u3-(0). In Proceedings of the International Workshop on Thorium Utilization for Sustainable Development of Nuclear Energy (TU2007), Beijing, China, 4–6 December 2007. [Google Scholar]
- He, L.-Y.; Li, G.-C.; Xia, S.-P.; Chen, J.-G.; Zou, Y.; Liu, G.-M. Effect of 37Cl Enrichment on Neutrons in a Molten Chloride Salt Fast Reactor. Nucl. Sci. Tech. 2020, 31, 27. [Google Scholar] [CrossRef]
- He, L.Y.; Xia, S.-P.; Zhou, X.-M.; Chen, J.-G.; Liu, G.-M.; Zou, Y.; Yan, R. Th-U Cycle Performance Analysis Based on Molten Chloride Salt Fast Reactor and Molten Fluoride Salt Fast Reactor. Nucl. Sci. Tech. 2020, 31, 83. [Google Scholar] [CrossRef]
- He, L.Y. Optimal Design and Th-U Cycle Performance Investigation of Molten Chlorine Salt Fast Reactor. Ph.D. Thesis, University of Chinese Academy of Science, Beijing, China, 2020. [Google Scholar]
- Ahmad, A.; McClamrock, E.B.; Glaser, A. Neutronics calculations for denatured molten salt reactors: Assessing resource requirements and proliferation-risk attributes. Ann. Nucl. Energy 2015, 75, 261. [Google Scholar] [CrossRef]
- Cui, D.; Li, X.; Xia, S.; Zhao, X.; Yu, C.; Chen, J.; Cai, X. Possible Scenarios for the Transition to Thorium Fuel Cycle in Molten Salt Reactor by Using Enriched Uranium. Prog. Nucl. Energy 2017, 104, 75. [Google Scholar] [CrossRef]
- Xia, S.P. Research on the High-precision Burnup Calculation Methods and Thorium-Uranium Fuel Breeding for the Liquid-Fueled Molten Salt Reactors. Ph.D. Thesis, University of Chinese Academy of Sciences, Beijing, China, 2019. [Google Scholar]
- ORNL/TM-2005/39; Scale: A Modular Code System for Performing Standardized Computer Analyses for Licensing Evaluations. Version 6.1; National Laboratory: Oak Ridge, TN, USA, 2009.
- Xia, X.; Chen, J.; Guo, W.; Cui, D.; Han, J.; Wu, J.; Cai, X. Development of a Molten Salt Reactor Specific Depletion Code MODEC. Ann. Nucl. Energy 2019, 124, 88. [Google Scholar] [CrossRef]
- Merle-Lucotte, E.; Heuer, D.; le Brun, C.; Mathieu, L.; Brissot, R.; Liatard, E.; Méplan, O.; Nuttin, A. Fast thorium molten salt reactors started with plutonium. In Proceedings of the ICAPP, Chamonix, France, 2–6 October 2006. [Google Scholar]
- Vapirev, E.; Dimitrov, V.; Jordanov, T.; Christoskov, I. Conversion of High Enriched Uranium in Thorium-232-based Oxide Fuel for Light and Heavy Water Reactors: MOX-T Fuel. Nucl. Eng. Des. 1996, 167, 105. [Google Scholar] [CrossRef]
- Zou, C.; Cai, X.; Jiang, D.; Yu, C.; Li, X.; Ma, Y.; Han, J.; Chen, J. Optimization of temperature coefficient and breeding ratio for a graphite-moderated molten salt reactor. Nucl. Eng. Des. 2015, 281, 114–120. [Google Scholar] [CrossRef]
- Li, G.; Zou, Y.; Yu, C.; Sun, J.; Chen, J.; Xu, H. Model Optimization and Analysis of Th-U Breeding Based on MSFR. Nucl. Techniques 2017, 40, 020603. (In Chinese) [Google Scholar] [CrossRef]
- Fiorina, C.; Aufiero, M.; Cammi, A.; Franceschini, F.; Křepel, J.; Luzzi, L.; Mikityuk, K.; Ricotti, M.E. Investigation of the MSFR Core Physics and Fuel Cycle Characteristics. Prog. Nucl. Energy 2013, 68, 153. [Google Scholar] [CrossRef]














| Parameters | MCFR |
|---|---|
| Thermal power density (MWth/m3) | 100 |
| Composition of fuel salt (mol%) | NaCl:(HM) Clx = 55:45 |
| Enrichment of 37Cl (%) | 97 |
| Temperature of fuel salt (K) | 923 |
| Density of molten salt (g·cm3) | 3.60 |
| Density of alloy (g·cm3) | 8.86 |
| Density of B4C (g·cm3) | 2.52 |
| Volume (m3) | 25 |
| Thickness of graphite (cm) | 40 |
| Thickness of B4C (cm) | 35 |
| Thickness of blanket (cm) | 60 |
| Thermal expansion (K−1) | −3.00 × 10−4 |
| Reprocessing System | Nuclides |
|---|---|
| Chemical reprocessing | Zn, Ga, Ge, As, Se, Br, Rb, Sr, Y, Zr, Cd, In, Sn, I, Cs, Ba, La, Ce, Pr, Nd, Pm, Sm, Eu, Gd, Tb, Dy, Ho, Er, Tm, Yb |
| Gaseous bubbling | H, He, N, O, Ne, Ar, Kr, Nb, Mo, Tc, Ru, Rh, Pd, Ag, Sb, Te, Xe, Rn |
| Scenario | 1 | 2 | 3 | 4 | 5 |
|---|---|---|---|---|---|
| Fuel composition | NaCl-MACl3-ThCl4-UCl4 | NaCl-MACl3-ThCl4-UCl4 | NaCl-MACl3-ThCl4-UCl4 | NaCl-MACl3-ThCl4-UCl4 | NaCl-ThCl4-UCl4 |
| Mole ratio | 55%-5%-35.0%-5.0% | 55%-5%-35.0%-5.0% | 55%-7%-33.3%-4.7% | 55%-7%-33.3%-4.7% | 55%-5.2%-39.8% |
| Nuclides feeding in core | 232Th-233U | 232Th-TRU | 232Th-TRU | 232Th-TRU | 232Th-TRU |
| Nuclides extraction from core | 233Pa | 233Pa | 233Pa | 233Pa-233U | 233Pa |
| Scenario | 1 | 2 | 3 | 4 | 5 |
|---|---|---|---|---|---|
| MA loading (kg) | 5308 | 5308 | 7494 | 7494 | 0 |
| MA feeding (kg) | 0 | 2420 | 2265 | 9237 | 2869 |
| MA residue at EQL (kg) | 83 | 612 | 610 | 1880 | 620 |
| MA transmutation mass (kg) | 5222 | 7116 | 9145 | 14,851 | 2255 |
| MA incineration mass (kg) | 1316 | 1759 | 2251 | 3608 | 540 |
| MA transmutation ratio | 98.38% | 92.08% | 93.74% | 88.76% | 78.45% |
| MA incineration ratio | 24.79% | 22.61% | 23.07% | 21.56% | 18.78% |
| Pu residue at EQL (kg) | 59 | 2787 | 2799 | 9076 | 2818 |
| Pu feeding (kg) | 0 | 16,944 | 15,855 | 64,506 | 20,081 |
| 233U loading (kg) | 5220 | 5220 | 4926 | 4926 | 5323 |
| 233U feeding (kg) | 17,872 | 0 | 0 | 0 | 0 |
| 233U produced from core (kg) | 1032 | 4015 | 3985 | 54,659 | 4112 |
| 233U produced from blanket (kg) | 41,312 | 41,881 | 41,711 | 43,667 | 42,351 |
| 233U residue in core (kg) | 4834 | 3575 | 3583 | 834 | 3562 |
| 233U residue in blanket (kg) | 685 | 697 | 697 | 728 | 699 |
| 233U net production (kg) | 24,901 | 45,079 | 45,176 | 95,190 | 45,528 |
| 232Th loading (kg) | 137,054 | 137,054 | 135,276 | 135,276 | 142,148 |
| 232Th feeding (kg) | 124,328 | 122,924 | 124,012 | 122,966 | 119,437 |
| 232Th residue at EQL (kg) | 139,412 | 137,863 | 137,919 | 134,842 | 137,706 |
| 232Th consumption (kg) | 121,970 | 123,733 | 121,369 | 123,400 | 123,879 |
| 232Th conversion ratio | 20.42% | 36.42% | 37.23% | 37.14% | 36.75% |
| Scenario | Time | 233U | 237Np | 241Am | 243Am | 239Pu | 241Pu | 235U |
|---|---|---|---|---|---|---|---|---|
| 1 | 0 | 134 | 110 | 20 | 17 | 0 | 0 | 0 |
| 10 | 174 | 65 | 11 | 12 | 5 | 0 | 5 | |
| 50 | 266 | 3 | 0 | 1 | 2 | 1 | 31 | |
| 100 | 271 | 4 | 0 | 0 | 0 | 0 | 37 | |
| 4 | 0 | 107 | 130 | 24 | 20 | 0 | 0 | 0 |
| 10 | 28 | 93 | 18 | 20 | 66 | 34 | 0 | |
| 50 | 42 | 26 | 11 | 20 | 89 | 68 | 0 | |
| 100 | 42 | 24 | 11 | 23 | 86 | 69 | 0 | |
| 5 | 0 | 291 | 0 | 0 | 0 | 0 | 0 | 0 |
| 10 | 212 | 9 | 3 | 3 | 35 | 20 | 6 | |
| 50 | 188 | 11 | 4 | 8 | 35 | 25 | 24 | |
| 100 | 187 | 12 | 4 | 9 | 31 | 25 | 27 |
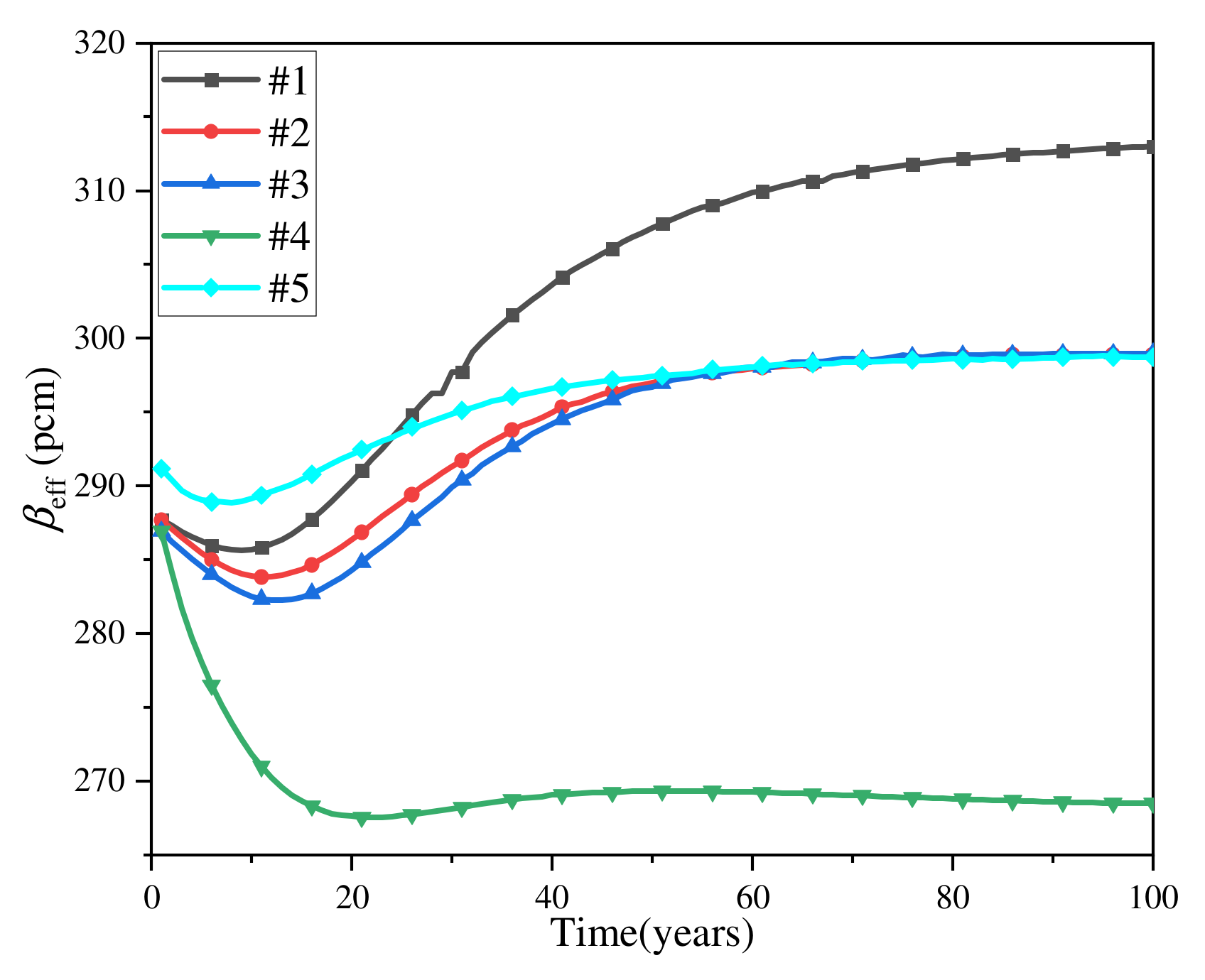
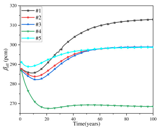
| Scenarios | βeff (pcm) | ||||
|---|---|---|---|---|---|
| BOL | Minimum | Maximum | Fluctuation | EQL | |
| 1 | 288 | 285 | 313 | 28 | 313 |
| 2 | 288 | 284 | 299 | 15 | 299 |
| 3 | 287 | 283 | 299 | 16 | 299 |
| 4 | 287 | 268 | 287 | 19 | 268 |
| 5 | 291 | 289 | 299 | 10 | 299 |
Publisher’s Note: MDPI stays neutral with regard to jurisdictional claims in published maps and institutional affiliations. |
© 2022 by the authors. Licensee MDPI, Basel, Switzerland. This article is an open access article distributed under the terms and conditions of the Creative Commons Attribution (CC BY) license (https://creativecommons.org/licenses/by/4.0/).
Share and Cite
He, L.; Chen, L.; Xia, S.; Zou, Y. Minor Actinides Transmutation and 233U Breeding in a Closed Th-U Cycle Based on Molten Chloride Salt Fast Reactor. Energies 2022, 15, 9472. https://doi.org/10.3390/en15249472
He L, Chen L, Xia S, Zou Y. Minor Actinides Transmutation and 233U Breeding in a Closed Th-U Cycle Based on Molten Chloride Salt Fast Reactor. Energies. 2022; 15(24):9472. https://doi.org/10.3390/en15249472
Chicago/Turabian StyleHe, Liaoyuan, Liang Chen, Shaopeng Xia, and Yang Zou. 2022. "Minor Actinides Transmutation and 233U Breeding in a Closed Th-U Cycle Based on Molten Chloride Salt Fast Reactor" Energies 15, no. 24: 9472. https://doi.org/10.3390/en15249472
APA StyleHe, L., Chen, L., Xia, S., & Zou, Y. (2022). Minor Actinides Transmutation and 233U Breeding in a Closed Th-U Cycle Based on Molten Chloride Salt Fast Reactor. Energies, 15(24), 9472. https://doi.org/10.3390/en15249472

