Evaluation of Internal Stresses in Modified Near-Surface Layer of 20Kh13 Steel during Incubation Period of Water Droplet Impact Erosion
Abstract
1. Introduction
2. Materials and Methods
- -
- ion nitriding (type I for 2.5 h, type II for 5 h and type III for 10 h);
- -
- application of ion plasma coating based on Cr–CrC.
3. Results and Discussion
4. Conclusions
Author Contributions
Funding
Data Availability Statement
Conflicts of Interest
References
- Topolyansky, P.A. Increase of erosion resistance of inlet edges of low pressure stage blades of steam turbines. Technologies of repair, restoration, hardening and renovation of machines, mechanisms, equipment and metal constructions. In Proceedings of the 4th All-Russian Practical Conference, Saint Petersburg, Russia, 16–18 April 2002; pp. 30–49. [Google Scholar]
- Kuznetsov, M.; Turichin, G.; Silevich, V.; Ochkasov, V.; Sorokin, A. Research of technological possibility of increasing erosion resistane of rotor blade using laser cladding. Procedia Manuf. 2019, 36, 163–175. [Google Scholar] [CrossRef]
- Leyzerovich, A.S. Steam Turbines for Modern Fossil-Fuel Power Plants, 1st ed.; Fairmont: Lilburn, Georgia, 2008; 552p. [Google Scholar]
- Di, J.; Wang, S.; Yan, X.; Cai, L.; Xie, Y. Experimental investigation on effect of surface strengthening process and roughness on water droplet erosion behavior in turbomachinery. Tribol. Int. 2021, 153, 106647. [Google Scholar] [CrossRef]
- Zhang, Z.; Zhang, D.; Xie, Y. Experimental study on water droplet erosion resistance of coatings (Ni60 and WC-17Co) sprayed by APS and HVOF. Wear 2019, 432–433, 202950. [Google Scholar] [CrossRef]
- Mahdipoor, M.S.; Tarasi, F.; Moreau, C.; Dolatabadi, A.; Medraj, M. HVOF sprayed coatings of nano-agglomerated tungsten-carbide/cobalt powders for water droplet erosion application. Wear 2015, 330–331, 338–347. [Google Scholar] [CrossRef]
- Batory, D.; Szymanski, W.; Panjan, M.; Zabeida, O.; Klemberg-Sapieha, J.E. Plasma nitriding of Ti6Al4V alloy for improved water erosion resistance. Wear 2017, 374–375, 120–127. [Google Scholar] [CrossRef]
- Seleznev, L.I.; Ryzhenkov, V.A.; Mednikov, A.F. Phenomenology of erosion wear of constructional steels and alloys by liquid particles. Therm. Eng. 2010, 57, 741–745. [Google Scholar] [CrossRef]
- Abdullahi, K.G.; Mahdipoor, M.S.; Medraj, M. Water droplet impingement erosion performance of WC-based coating sprayed by HVAF and HVOF. Wear 2021, 484–485, 203904. [Google Scholar]
- Boghe, M. DLC Coatings. MTZ Worldw. 2007, 68, 12–14. [Google Scholar] [CrossRef]
- Grigoriev, S.; Volosova, M.; Fyodorov, S. DLC-coating Application to Improve the Durability of Ceramic Tools. J. Mater. Eng. Perform. 2019, 28, 4415–4426. [Google Scholar] [CrossRef]
- Liskiewicz, T.; Patnaik, A. DLC Coatings in Oil and Gas Production. J. Coat. Technol. Res. 2014, 1, 59–68. [Google Scholar] [CrossRef]
- Hadinata, S.S.; Lee, M.T.; Pan, S.J.; Tsai, W.T.; Tai, C.Y.; Shih, C.F. Electrochemical performances of diamond-like carbon coatings on carbon steel, stainless steel, and brass. Thin Solid Film. 2013, 529, 412–416. [Google Scholar] [CrossRef]
- Depner-Miller, U.; Ellermeier, J.; Scheerer, H.; Oechsner, M.; Bobzin, K.; Bagcivan, N.; Brögelmann, T.; Weiss, R.; Durst, K.; Schmid, C. Influence of application technology on the erosion resistance of DLC coatings. Surf. Coat. Technol. 2013, 237, 284–291. [Google Scholar] [CrossRef]
- Glang, R.; Holmwood, R.; Rosenfeld, R. Determination of stress in films on single crystalline silicon substrates. Rev. Sci. Instrum. 1965, 36, 7–10. [Google Scholar] [CrossRef]
- Singer, P. Film Stress and How to Measure it. Semicond. Int. 1992, 10, 54–58. [Google Scholar]
- Zayonchkovsky, V.; Zhuo, A.; Milyaev, I.; Perov, N.; Prokhorov, I.; Klimov, A.; Andreev, A. Thin Metal Films with Dispersion-Hardening Magnetic Layers of Fe–Cr–Co Alloy. Condens. Media Interphase Boundaries 2019, 4, 505–518. [Google Scholar]
- Prokhorov, I.; Zakharov, B. X-ray diffraction studies of the features of relaxation and distribution of macrostresses in epitaxial structures. J. Surf. Investig. 1999, 2, 106–109. [Google Scholar]
- Astashenkova, O.; Korlyakov, A. Mechanisms of the formation of mechanical stresses in films of silicon carbide and aluminum nitride obtained by the magnetron method. Mod. Sci. Res. Ideas Results Technol. 2014, 2, 57–61. [Google Scholar]
- Petrova, A.; Mukhametov, R.; Akhmadieva, K. Internal stresses in hardened polyester binders for PCM. Work. VIAM 2019, 5, 12–21. [Google Scholar]
- Ayvazyan, G. On the determination of internal stresses in the film-substrate system. Proc. NAS RA SEUA Tech. Sci. 2000, 1, 63–67. [Google Scholar]
- Danilaev, M.; Theologian, E.; Polsky, Y.; Yanilkin, I.; Vakhitov, I.; Gumarov, A.; Tagirov, L. Internal stresses in polymer film coatings obtained by plasma deposition. Phys. Chem. Mater. 2018, 3, 21–26. [Google Scholar]
- Novak, A.; Novak, V.; Dedkova, A.; Gusev, E. Dependence of mechanical stresses in silicon nitride films on plasma-chemical deposition modes. Izvestiya vuzov. Electron. 2017, 2, 138–146. [Google Scholar] [CrossRef]
- Stoney, G. The tension of metallic films deposited by electrolysis. Proc. R. Soc. Lond. A 1909, 82, 172–175. [Google Scholar]
- Lindroos, V.; Tilli, M.; Lehto, A.; Motooka, T. Handbook of Silicon Based Mems Materials and Technologies; Elsevier: Burlington, UK, 2010. [Google Scholar]
- Dyuzhev, N.; Dedkova, A.; Gusev, E.; Novak, A. A technique for measuring mechanical stresses in thin films on a wafer using an optical profilometer. Izvestiya vuzov. Electron. 2016, 4, 367–372. [Google Scholar]
- Kvashennikov, D.; Vainer, Y.; Zuev, S.; Polkovnikov, V. Internal stresses in Mo/Y multilayer mirrors. J. Surf. Investig. 2019, 3, 14–18. [Google Scholar]
- Mednikov, A.; Ryzhenkov, A.; Zilova, O.; Tkhabisimov, A.; Kachalin, G.; Sidorov, S. Study of stress state changes in steel with Ti-TiC-DLC coating under high speed droplet impact. Tribol. Int. 2022, 173, 107626. [Google Scholar] [CrossRef]
- Tkhabisimov, A.B.; Mednikov, A.F.; Dasaev, M.R.; Kachalin, G.V.; Zilova, O.S. Solid particle erosion resistance of protective ion-plasma coating formed on full-scale objects based on modern additive technologies. Int. J. Innov. Technol. Explor. Eng. 2019, 8, 2295–2302. [Google Scholar]











| Droplet Impact Time t, min | (δ/l)·103 | Stress Value σ, GPa |
|---|---|---|
| 10 | −0.109 ± 0.032 | −0.20 ± 0.06 |
| 195 | 1.88 ± 0.39 | 3.40 ± 0.70 |
| 600 | 2.50 ± 0.50 | 4.60 ± 0.90 |
| Type of Modification | Depth of Modified Layer/Coating Thickness | Surface Defects (Caverns, Chips) | Thickness of Near-Surface Layer (Cavern Depth) |
|---|---|---|---|
| Nitriding type I | 20–28 μm | 2–90 μm | 10–55 μm |
| Nitriding type II | 55–58 μm | 5–150 μm | 5–50 μm |
| Nitriding type III | 98–107 μm | 7–200 μm | 10–95 μm |
| Cr–CrC based coating | 16–20 μm | 3–300 μm | 10–20 μm |
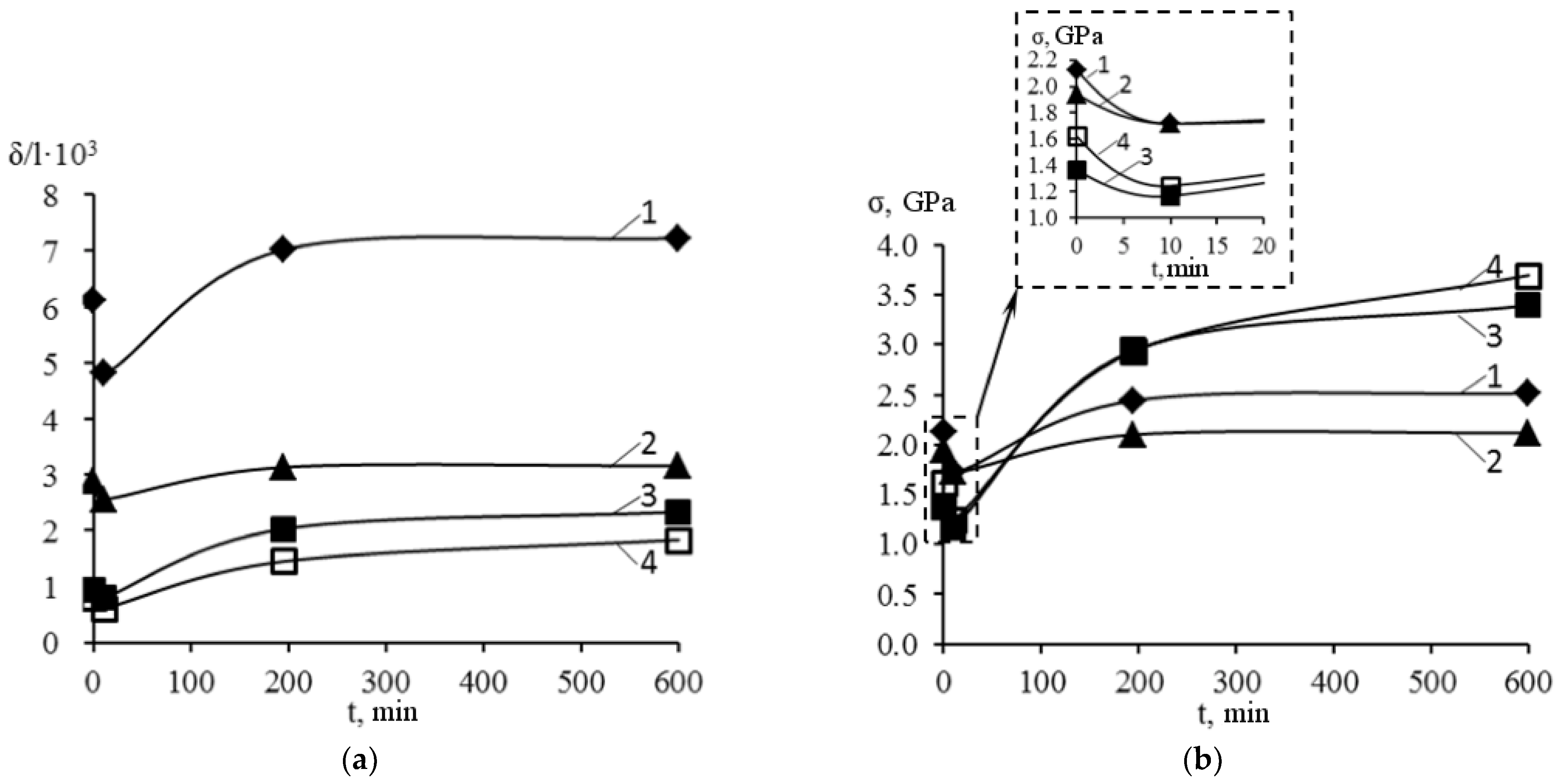
| Type of 20Kh13 Steel Surface Modification | tf, μm | (δ/l)·103 | |||
|---|---|---|---|---|---|
| Modification | Modification + Droplet Impact with Duration: | ||||
| 10 min | 195 min | 600 min | |||
| nitriding (type I) | 24 | 0.95 ± 0.24 | 0.81 ± 0.20 | 2.00 ± 0.40 | 2.30 ± 0.50 |
| nitriding (type II) | 56 | 2.90 ± 0.50 | 2.60 ± 0.04 | 3.10 ± 0.60 | 3.20 ± 0.60 |
| nitriding (type III) | 104 | 6.10 ± 1.00 | 4.80 ± 0.80 | 7.00 ± 0.90 | 7.20 ± 0.90 |
| Cr–CrC based coating | 18 | 0.80 ± 0.13 | 0.62 ± 0.15 | 1.46 ± 0.30 | 1.84 ± 0.30 |
| Type of 20Kh13 Steel Surface Modification | tf, μm | Stress Value σ, GPa | |||
|---|---|---|---|---|---|
| Modification | Modification + Droplet Impact with Duration: | ||||
| 10 min | 195 min | 600 min | |||
| nitriding (type I) | 24 | 1.37 ± 0.36 | 1.17 ± 0.30 | 2.90 ± 0.60 | 3.40 ± 0.70 |
| nitriding (type II) | 56 | 1.94 ± 0.33 | 1.72 ± 0.30 | 2.10 ± 0.40 | 2.10 ± 0.40 |
| nitriding (type III) | 104 | 2.12 ± 0.38 | 1.72 ± 0.32 | 2.44 ± 0.34 | 2.51 ± 0.33 |
| Cr–CrC based coating | 18 | 1.62 ± 0.30 | 1.24 ± 0.32 | 2.90 ± 0.60 | 3.70 ± 0.60 |
Publisher’s Note: MDPI stays neutral with regard to jurisdictional claims in published maps and institutional affiliations. |
© 2022 by the authors. Licensee MDPI, Basel, Switzerland. This article is an open access article distributed under the terms and conditions of the Creative Commons Attribution (CC BY) license (https://creativecommons.org/licenses/by/4.0/).
Share and Cite
Mednikov, A.; Zilova, O.; Tkhabisimov, A.; Kachalin, G.; Ryzhenkov, A.; Grigoriev, S. Evaluation of Internal Stresses in Modified Near-Surface Layer of 20Kh13 Steel during Incubation Period of Water Droplet Impact Erosion. Energies 2022, 15, 9229. https://doi.org/10.3390/en15239229
Mednikov A, Zilova O, Tkhabisimov A, Kachalin G, Ryzhenkov A, Grigoriev S. Evaluation of Internal Stresses in Modified Near-Surface Layer of 20Kh13 Steel during Incubation Period of Water Droplet Impact Erosion. Energies. 2022; 15(23):9229. https://doi.org/10.3390/en15239229
Chicago/Turabian StyleMednikov, Alexey, Olga Zilova, Aleksandr Tkhabisimov, Gennady Kachalin, Artem Ryzhenkov, and Sergey Grigoriev. 2022. "Evaluation of Internal Stresses in Modified Near-Surface Layer of 20Kh13 Steel during Incubation Period of Water Droplet Impact Erosion" Energies 15, no. 23: 9229. https://doi.org/10.3390/en15239229
APA StyleMednikov, A., Zilova, O., Tkhabisimov, A., Kachalin, G., Ryzhenkov, A., & Grigoriev, S. (2022). Evaluation of Internal Stresses in Modified Near-Surface Layer of 20Kh13 Steel during Incubation Period of Water Droplet Impact Erosion. Energies, 15(23), 9229. https://doi.org/10.3390/en15239229
