Experimental Rock Characterisation of Upper Pannonian Sandstones from Szentes Geothermal Field, Hungary
Abstract
1. Introduction
2. Szentes Geothermal Field
2.1. Field History
2.2. Geological Setting
2.3. Geothermal Reservoir Characterisation
3. Sample Collection and Experimental Methods
3.1. Core Sample Collection and Description
3.2. Sample Preparation
3.3. Laboratory Experiment Methods
3.3.1. Petrographical Characterisation
3.3.2. Petrophysical Experiments
Grain Density
Porosity and Permeability
Ultrasonic Velocity
Experimental Setup for Porosity, Permeability, and Ultrasonic Velocity Measurements
3.3.3. Data Processing
Petrophysical Rock Typing
- Methods that utilise permeability–porosity relationship and connate water saturation to some extent, excluding the so-called cut-off based methods [40];
- Methods that are based on capillary pressure data (or J-function) and measured R35, e.g., Winland’s R35 method, where R35 is the calculated pore-throat radius at 35% mercury saturation from a mercury-injection capillary pressure test [41];
- Methods that rely on formation zone index (FZI), which is a modification of Kozeny–Carman equation, and its derivates, e.g., the spontaneous imbibition rate-driven method of FZI [42].
- —effective fractional porosity is the ratio between pore volume and grain volume
- k—permeability in mD
Statistical Methods
4. Results and Discussion
4.1. Pre-Petrophysical Thin Section Analysis
4.2. Petrophysical Measurement and Analysis Results
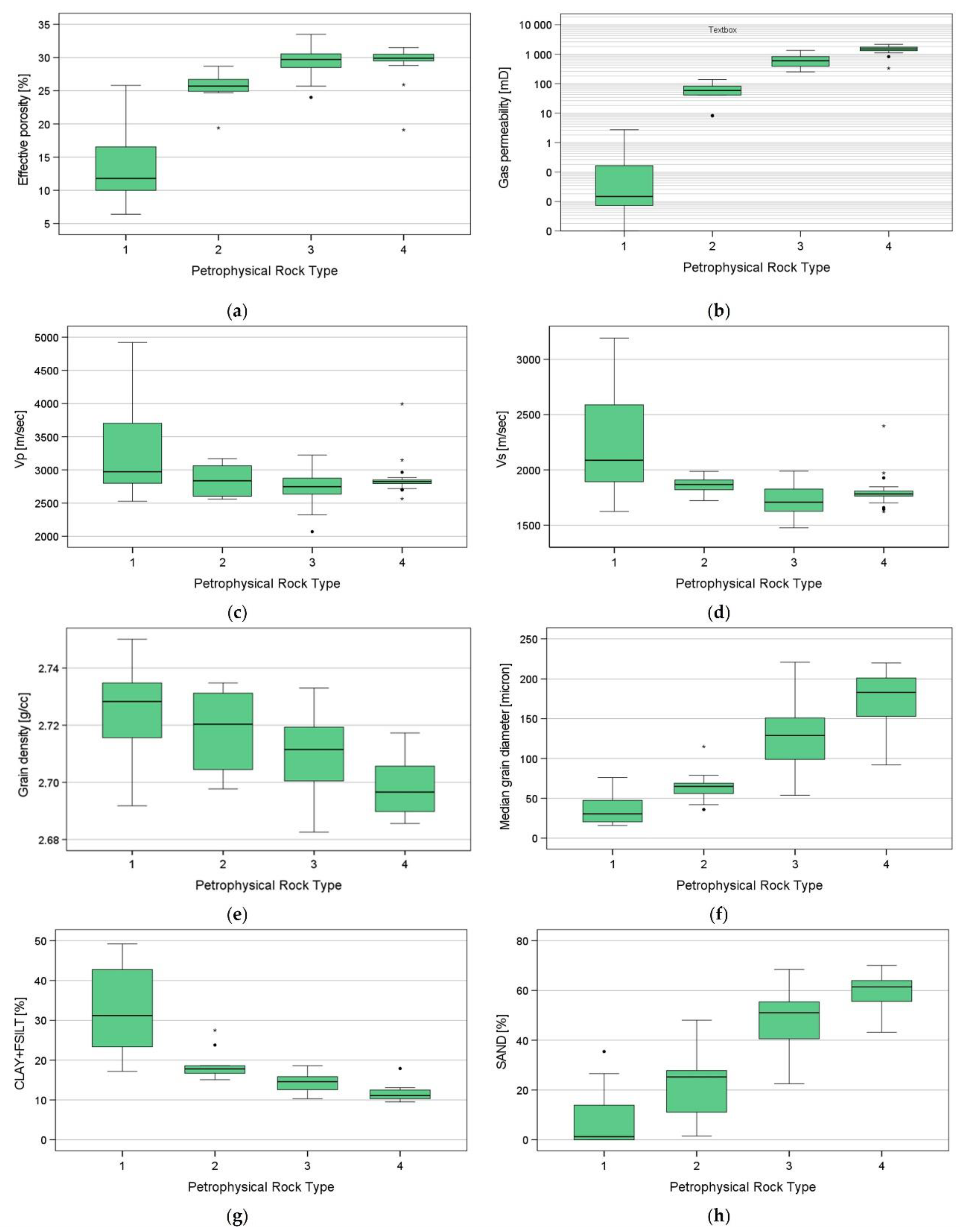
4.3. Characterisation of Petrophysical Rock Types
4.4. SEM and XRD Analysis of Petrophysical Rock Types
4.5. Discussion
5. Conclusions
Author Contributions
Funding
Data Availability Statement
Acknowledgments
Conflicts of Interest
References
- Bálint, A.; Szanyi, J. A Half Century of Reservoir Property Changes in the Szentes Geothermal Field, Hungary. Cent. Eur. Geol. 2015, 58, 28–49. [Google Scholar] [CrossRef]
- Szanyi, J.; Kovács, B. Utilization of Geothermal Systems in South-East Hungary. Geothermics 2010, 39, 357–364. [Google Scholar] [CrossRef]
- Szanyi, J.; Nádor, A.; Madarász, T. A Geotermikus Energia Kutatása És Hasznosítása Magyarországon Az Elmúlt 150 Év Tükrében (Geothermal Energy Exploration and Utilization in Hungary in the Past 150 Years). Földt. Közl. 2021, 151, 79. [Google Scholar] [CrossRef]
- Szőcs, T.; Rman, N.; Rotár-Szalkai, Á.; Tóth, G.; Lapanje, A.; Černák, R.; Nádor, A. The Upper Pannonian Thermal Aquifer: Cross Border Cooperation as an Essential Step to Transboundary Groundwater Management. J. Hydrol. Reg. Stud. 2018, 20, 128–144. [Google Scholar] [CrossRef]
- Toth, A. Hungarian country update 2010–2014. In Proceedings of the World Geothermal Congress, Melbourne, Australia, 19–25 April 2015. [Google Scholar]
- Markó, Á.; Mádl-Szőnyi, J.; Brehme, M. Injection Related Issues of a Doublet System in a Sandstone Aquifer—A Generalized Concept to Understand and Avoid Problem Sources in Geothermal Systems. Geothermics 2021, 97, 102234. [Google Scholar] [CrossRef]
- Szanyi, J.; Medgyes, T.; Kóbor, B.; Tari, C.; Balint, A. Experiences with geothermal water injection into porous aquifers. Tech. Poszuk. Geol. 2014, 53, 3–18. [Google Scholar]
- Seibt, P.; Kellner, T. Practical Experience in the Reinjection of Cooled Thermal Waters Back into Sandstone Reservoirs. Geothermics 2003, 32, 733–741. [Google Scholar] [CrossRef]
- Ungemach, P. Reinjection of Cooled Geothermal Brines into Sandstone Reservoirs. Geothermics 2003, 32, 743–761. [Google Scholar] [CrossRef]
- Boch, R.; Leis, A.; Haslinger, E.; Goldbrunner, J.E.; Mittermayr, F.; Fröschl, H.; Hippler, D.; Dietzel, M. Scale-Fragment Formation Impairing Geothermal Energy Production: Interacting H2S Corrosion and CaCO3 Crystal Growth. Geotherm Energy 2017, 5, 4. [Google Scholar] [CrossRef]
- Varga, A.; Bozsó, G.; Garaguly, I.; Raucsik, B.; Bencsik, A.; Kóbor, B. Cements, Waters, and Scales: An Integrated Study of the Szeged Geothermal Systems (SE Hungary) to Characterize Natural Environmental Conditions of the Thermal Aquifer. Geofluids 2019, 2019, 4863814. [Google Scholar] [CrossRef]
- Szanyi, J.; Medgyes, T.; Kóbor, B.; Pál-Molnár, E. Technologies of Injection into Sandstone Reservoirs: Best Practices, Case Studies; Institute of Geosciences, University of Szeged, GeoLitera: Szeged, Hungary, 2015; ISBN 978-963-306-370-5. [Google Scholar]
- Osvald, M.; Maróti, G.; Pap, B.; Szanyi, J. Biofilm Forming Bacteria during Thermal Water Reinjection. Geofluids 2017, 2017, 9231056. [Google Scholar] [CrossRef]
- Renard, P.; Glenz, D.; Mejias, M. Understanding Diagnostic Plots for Well-Test Interpretation. Hydrogeol. J. 2009, 17, 589–600. [Google Scholar] [CrossRef]
- Farkas, M.P.; Magyar, G.; Hofmann, H.; Zimmermann, G. The construction of tailored reinjection well with gravel pack completion and the recompletion of existing well for reinjection using Frac & Pack technology. Presented at the Final Conference of the GINOP-2.2.1 Project, Pécs, Hungary, 27 October 2022. [Google Scholar]
- Mádl-Szőnyi, J.; Simon, S. Involvement of Preliminary Regional Fluid Pressure Evaluation into the Reconnaissance Geothermal Exploration—Example of an Overpressured and Gravity-Driven Basin. Geothermics 2016, 60, 156–174. [Google Scholar] [CrossRef]
- Mádlné Szőnyi, J. Felszínalatti Vízáramlások Mintázata Fedetlen és Kapcsolódó Fedett Karbonátos Víztartó Rendszerekben a Budai-Termálkarszt Tágabb Környezetéenek Példéján. Ph.D. Thesis, Hungarian Academy of Sciences, ELTE, Budapest, Hungary, 2020. [Google Scholar]
- Brehme, M.; Zimmermann, G.; Weinzierl, W.; Aldaz, S.; Markó, Á.; Thiem, S.; Huenges, E. Deliverable [D 4.1]: Report on Hydraulic, Thermal and Chemical Parameters, before and after Stimulation. WP [4]: Demonstration of Combined Hydraulic-Thermal-Chemical Treatments in Sandstones, Carbonatic Rocks and Granites; Report for the European Union H2020 Project “Demonstration of Soft Stimulation Treatments of Geothermal Reservoirs” (DESTRESS), Helmholtz Centre Potsdam, Potsdam, Germany. 2021. Available online: http://www.destress-h2020.eu/en/what-we-do/wp4/ (accessed on 16 August 2022).
- Koroncz, P.; Fedor, F.; Vizhányó, Z.; Kuncz, M.; Ács, P.; Fedor-Szász, A.; Farkas, M.; Sendula, E.; Pernyeszi, T.; Magyar, G.; et al. Laboratory R&D related to the development of technology for water re-injection in poorly consolidated Upper Pannonian rocks. In Proceedings of the European Geothermal Congress, Berlin, Germany, 17–21 October 2022. [Google Scholar]
- Willems, C.; Cheng, C.; Watson, S.; Minto, J.; Williams, A.; Walls, D.; Milsch, H.; Burnside, N.; Westaway, R. Permeability and Mineralogy of the Újfalu Formation, Hungary, from Production Tests and Experimental Rock Characterization: Implications for Geothermal Heat Projects. Energies 2021, 14, 4332. [Google Scholar] [CrossRef]
- Horváth, J.; Koroncz, P.; Fedor, F.; Hlatki, M. Petrophysical and geomechanical analysis of Upper Pannonian unconsolidated sandstones. In Civil Engineering and Rock Mechanics; Török, Á., Görög, P., Vásárhelyi, B., Eds.; Hantken: Budapest, Hungary, 2013; pp. 229–240. (In Hungarian) [Google Scholar]
- Bélteky, L.; Budai, L.; Kassai, L.; Konyor, L.; Korim, K.; Mayerszky, B.; Szpiriev, B. Különleges Geotermikus Adottságaink Kiaknázási Lehetőségeinek Vizsgálata; 7. Számú Kiegészítés: Szentes és Környékén Mélyített Hévízkutak Vizsgálata Egymásrahatás és Vízkészletszámítás Szempontjából (Investigation of Exploitation of Hungarian Geothermal Energy; Addition No. 7. Investigation of Thermal Wells in the Surroundings of Szentes); Manuscript; Research Institute of Water Management: Szeged, Hungary, 1970; 99p. (In Hungarian) [Google Scholar]
- Korim, K.; Liebe, P. A szentesi hévíztároló rendszer (The Szentes Geothermal Field). Vízügyi Közlemények 1973, 55, 290–311. (In Hungarian) [Google Scholar]
- Korim, K. A szentesi hévízmező feltárásának és termelésének három évtizedes története (Three decades of research and utilization in the Szentes Geothermal Field). Bányászati Kohászati Lapok 1991, 124, 179–184. (In Hungarian) [Google Scholar]
- Szanyi, J. Felső-Pannon Korú Rétegek Mélységének Meghatározása Magfúrás Kijelölése Szempontjából a GINOP-2.2.1-15-2015-00102 Azonosítójú Projekthez (Determining the Depths of Upper Pannonian Sediments for Core Sampling); Project Report; Institute of Geosciences, University of Szeged: Szeged, Hungary, 2020; 15p. (In Hungarian) [Google Scholar]
- Babinszki, E. (Ed.) Magyarország Litosztratigráfiai Egységeinek Leírása II. Kainozoos Képződmények (Litostratigraphic Units of Hungary II. Cainozoic Formations); Szabályozott Tevékenységek Felügyeleti Hatósága: Budapest, Hungary, 2022. (In press)
- Sztanó, O.; Szafián, P.; Magyar, I.; Horányi, A.; Bada, G.; Hughes, D.W.; Hoyer, D.L.; Wallis, R.J. Aggradation and Progradation Controlled Clinothems and Deep-Water Sand Delivery Model in the Neogene Lake Pannon, Makó Trough, Pannonian Basin, SE Hungary. Glob. Planet. Chang. 2013, 103, 149–167. [Google Scholar] [CrossRef]
- Juhász, G. A Szentesi Geotermikus Mező Regionális Geológiai Modellje (Regional Geological Model of the Szentes Geothermal Field); Magyar Szénhidrogénipari Kutató-Fejlesztő Intézet: Százhalombatta, Hungary, 1989; 34p. (In Hungarian) [Google Scholar]
- Bereczki, L.; Zilahi-Sebess, L.; Markos, G.; Kemény, M.; Takács, E. Szentes Környéki Geotermikus Visszasajtoló Kutak Környezetének Vizsgálata 2D Szeizmikus Szelvények Alapján (Investigation of the Szentes Geothermal Wells Based on 2D Seismic Sections); Project Report 2020; Mining and Geological Survey of Hungary: Budapest, Hungary, 2020. (In Hungarian) [Google Scholar]
- Castro, C.; Geiger, J. Stratigraphical model of the Upper Pannonian sequence in the Szentes Region. Presented at the Final Conference of the GINOP-2.2.1 Project, Pécs, Hungary, 27 October 2022. [Google Scholar]
- ASTM D 2845; Standard Test Method for Laboratory Determination of Pulse Velocities and Ultrasonic Elastic Constants of Rock. ASTM: West Conshohocken, PA, USA, 2000; Volume 04.08. Available online: https://www.astm.org/d2845-00.html (accessed on 23 September 2022).
- Aydin, A. Upgraded ISRM Suggested Method for Determining Sound Velocity by Ultrasonic Pulse Transmission Technique. Rock Mech. Rock Eng. 2014, 47, 255–259. [Google Scholar] [CrossRef]
- EPA (U.S. Environmental Protection Agency). Guidance on Choosing a Sampling Design for Environmental Data Collection. EPA/240/R-02/005; Office of Environmental Information: Washington, DC, USA, 2002; p. 20460.
- API RP40—American Petroleum Institute. Recommended Practices for Core Analysis; API Publishing Services: Washington, DC, USA, 1998. [Google Scholar]
- Spencer, C.W.; Szalay, Á.; Tatár, É. Abnormal pressure and hydrocarbon migration in the Békés Basin. In Basin Analysis in Petroleum Exploration: A Case Study from the Békés Basin, Hungary; Teleki, P.G., Mattick, R.E., Kokai, J., Eds.; Kluwer: Dordrecht, The Netherlands, 1994; pp. 201–219. [Google Scholar]
- Almási, I. Petroleum Hydrogeology of the Great Hungarian Plain, Eastern Pannonian Basin, Hungary. Ph.D. Thesis, University of Alberta, Edmonton, AB, Canada, 2001; p. 312. [Google Scholar]
- Koroncz, P.; Fedor, F. Experimental investigation of stress-dependent petrophysical behaviour of reservoir rocks. In Proceedings of the 8th Croatian-Hungarian and 19th Hungarian Geomathematical Congress, Trakošćan, Croatia, 26–28 May 2016. [Google Scholar]
- Zang, A.; Stephansson, O. Stress Field of the Earth’s Crust, 1st ed.; Springer: Dordrecht, Netherlands, 2010; pp. 198–245. [Google Scholar]
- Hearn, C.L.; Ebanks, W.J.; Tye, R.S.; Ranganathan, V. Geological Factors Influencing Reservoir Performance of the Hartzog Draw Field, Wyoming. J. Pet. Technol. 1984, 36, 1335–1344. [Google Scholar] [CrossRef]
- Kadkhodaie-Ilkhchi, A.; Kadkhodaie-Ilkhchi, R. A Review of Reservoir Rock Typing Methods in Carbonate Reservoirs: Relation between Geological, Seismic, and Reservoir Rock Types. IJOGST 2018, 7, 13–35. [Google Scholar] [CrossRef]
- Guo, G.; Diaz, M.A.; Paz, F.; Smalley, J.; Waninger, E.A. Rock Typing as an Effective Tool for Permeability and Water-Saturation Modeling: A Case Study in a Clastic Reservoir in the Oriente Basin. SPE Reserv. Eval. Eng. 2007, 10, 730–739. [Google Scholar] [CrossRef]
- Mohammadian, E.; Kheirollahi, M.; Liu, B.; Ostadhassan, M.; Sabet, M. A Case Study of Petrophysical Rock Typing and Permeability Prediction Using Machine Learning in a Heterogenous Carbonate Reservoir in Iran. Sci. Rep. 2022, 12, 4505. [Google Scholar] [CrossRef]
- Man, H.Q.; Hien, D.H.; Thong, K.D.; Dung, B.V.; Hoa, N.M.; Hoa, T.K.; Kieu, N.V.; Ngoc, P.Q. Hydraulic Flow Unit Classification and Prediction Using Machine Learning Techniques: A Case Study from the Nam Con Son Basin, Offshore Vietnam. Energies 2021, 14, 7714. [Google Scholar] [CrossRef]
- Kolodzie, S. Analysis of Pore Throat Size and Use of the Waxman-Smits Equation to Determine Ooip in Spindle Field, Colorado. In All Days; SPE: Dallas, TX, USA, 1980; p. SPE-9382-MS. [Google Scholar] [CrossRef]
- Amaefule, J.O.; Altunbay, M.; Tiab, D.; Kersey, D.G.; Keelan, D.K. Enhanced Reservoir Description: Using Core and Log Data to Identify Hydraulic (Flow) Units and Predict Permeability in Uncored Intervals/Wells. In All Days; SPE: Houston, TX, USA, 1993; p. SPE-26436-MS. [Google Scholar] [CrossRef]
- Ebanks, W.J., Jr. Flow Unit Concept-Integrated Approach to Reservoir Description for Engineering Projects. AAPG Bull. 1987, 71, 551–552. [Google Scholar]
- Sharifi-Yazdi, M.; Rahimpour-Bonab, H.; Nazemi, M.; Tavakoli, V.; Gharechelou, S. Diagenetic Impacts on Hydraulic Flow Unit Properties: Insight from the Jurassic Carbonate Upper Arab Formation in the Persian Gulf. J. Petrol. Explor. Prod. Technol. 2020, 10, 1783–1802. [Google Scholar] [CrossRef]
- Krumbein, W.C. The Probable Error of Sampling Sediments for Mechanical Analysis. Am. J. Sci. 1934, s5–27, 204–214. [Google Scholar] [CrossRef]
- McDonald, J.H. Handbook of Biological Statistics, 3rd ed.; Sparky House Publishing: Baltimore, MD, USA, 2014. [Google Scholar]
- Hammer, O. PAST—PAleontological Statistics, Version 2.17. Reference Manual. Natural History Museum, University of Oslo: Oslo, Norway, 2012. Available online: https://www.yumpu.com/en/document/view/4573945/past-paleontological-statistics-version-217-reference-manual (accessed on 28 November 2012).
- Akaike, H. Information theory and an extension of the maximum likelihood principle. In Proceedings of the 2nd International Symposium on Information Theory, Tsahkadsor, Armenia, USSR, 2–8 September 1971; Petrov, B.N., Csáki, F., Eds.; Akadémiai Kiadó: Budapest, Hungary; pp. 267–281. [Google Scholar]
- IBM Corp. IBM SPSS Statistics for Windows, Version 28.0; Armonk: New York, NY, USA, 2021.
- Zhou, S.; Sun, F. Sand Production Management for Unconsolidated Sandstone Reservoirs; Wiley: Singapore, 2016. [Google Scholar]
- Zhang, F.; Wang, T.; Liu, F.; Peng, M.; Bate, B.; Wang, P. Hydro-mechanical coupled analysis of near-wellbore fines migration from unconsolidated reservoirs. Acta Geotech. 2022, 17, 3535–3551. [Google Scholar] [CrossRef]















| Local Well ID | National Well ID | EOV Y (m) | EOV X (m) | Drilling Year | Depth (m) | Production Interval (m) | Bottom-Hole Temperature (°C) | Production Rate (m3/year) |
|---|---|---|---|---|---|---|---|---|
| SZT-I | K-498 | 747,458 | 149,539 | 1964 | 1995 | 1800–1975 | 85 | 154,860 |
| SZT-II | K-562 | 747,489 | 149,493 | 1970 | 1800 | 1640–1793 | 82 | 150,850 |
| SZT-III | K-563 | 746,484 | 148,355 | 1970 | 1992 | 1678–1936 | 78 | 170,150 |
| SZT-IV | K-586 | 747,234 | 149,283 | 1972 | 2303 | 2060–2235 | 96 | 178,604 |
| SZT-V/1 | K-640 | 747,855 | 150,857 | 1979 | 2240 | 2040–2210 | 94 | 134,800 |
| SZT-V/2 | K-641 | 747,800 | 150,800 | 1979 | 2000 | 1785–1993 | 84 | 155,100 |
| SZT-VI/1 | K-642 | 749,981 | 150,148 | 1978 | 2398 | 2046–2255 | 97 | 172,500 |
| SZT-VI/2 | K-643 | 749,982 | 151,063 | 1978 | 1998 | 1694–1989 | 86 | 189,000 |
| SZT-VII/1 | K-644 | 747,112 | 152,442 | 1979 | 2257 | 2053–2205 | 96 | 156,900 |
| SZT-VII/2 | K-639 | 747,111 | 152,480 | 1979 | 1806 | 1534–1754 | 76 | 174,300 |
| SZT-VII/3 | K-645 | 747,101 | 152,539 | 1980 | 1998 | 1800–1998 | 80 | 194,100 |
| SZT-VIII | K-666 | 749,166 | 151,854 | 1988 | 2300 | 2004–2143 | 90 | 128,900 |
| AL/1 | K-561 | 741,347 | 151,764 | 1969 | 2050 | 1801–2019 | 85 | 256,000 |
| AL/2 | K-578 | 742,231 | 151,198 | 1971 | 2401 | 2135–2401 | 94 | 256,000 |
| Local Well ID | SZT-1 | SZSZT-IX | ||
| National Well ID | K-712 | K-707 | ||
| EOV Y (m) | 748,464 | 747,995 | ||
| EOV X (m) | 149,886 | 149,416 | ||
| Drilling year | 2020 | 2020 | ||
| Total depth—MD (m) | 2000 | 2009.2 | ||
| Bottom-holetemperature (°C) | 92.8 | 88.0 | ||
| Screen intervals (m) | Top | 1934.0 | 1932.4 | |
| Bottom | 1981.4 | 1997.3 | ||
| Coring intervals | 1 | Top | 1740 m | 1742.5 m |
| Bottom | 1749.25 m | 1755.38 m | ||
| 2 | Top | 1930 m | 1835 m | |
| Bottom | 1972.5 m | 1840.33 m | ||
| Average core recovery | 85.2% | 85.1% | ||
| Parameter | Unit | Mean | Median | Std. Deviation | Minimum | Maximum |
|---|---|---|---|---|---|---|
| Depth (RHO) | (m) | 1882 | 1938 | 93.5 | 1741 | 1971 |
| Grain density (RHO_grain) | (g/cm3) | 2.710 | 2.709 | 0.015 | 2.683 | 2.750 |
| Porosity (PHI) | (-) | 0.27 | 0.29 | 0.06 | 0.06 | 0.34 |
| Permeability (K_Klink) | (mD) | 698 | 596 | 599 | 0.001 | 2157 |
| FZI | (-) | 0.315 | 0.332 | 0.176 | 0.003 | 0.615 |
| P-wave velocity (VP) | (m/sec) | 2878 | 2823 | 416 | 2070 | 4921 |
| S-wave velocity (VS) | (m/sec) | 1840 | 1791 | 284 | 1477 | 3193 |
| Median grain diameter (d50) | (micron) | 119 | 124 | 56 | 16 | 221 |
| Clay + fine silt content (CLAY+FSILT) | (%) | 16.9 | 14.7 | 8.2 | 9.5 | 49.2 |
| Sand content (SAND) | (%) | 42.3 | 49.7 | 20.9 | 0.0 | 70.1 |
| Statistical Parameter | PRT | RHO_grain | PHI | K_Klink | FZI | VP | VS | d50 | CLAY+FSILT | SAND |
|---|---|---|---|---|---|---|---|---|---|---|
| [g/cc] | [%] | [mD] | [-] | [m/sec] | [m/sec] | [micron] | [%] | [%] | ||
| Mean | 1 | 2.725 | 13.34 | 0.36 | 0.017 | 3347 | 2264 | 36 | 32.0 | 7.8 |
| 2 | 2.718 | 25.48 | 61.9 | 0.131 | 2840 | 1867 | 65 | 18.9 | 22.5 | |
| 3 | 2.709 | 29.53 | 649 | 0.340 | 2746 | 1720 | 128 | 14.3 | 48.3 | |
| 4 | 2.698 | 29.46 | 1499 | 0.527 | 2862 | 1805 | 173 | 11.5 | 59.9 | |
| Std. Deviation | 1 | 0.015 | 5.30 | 0.77 | 0.015 | 763 | 456 | 19 | 10.7 | 11.7 |
| 2 | 0.013 | 2.43 | 39.9 | 0.044 | 222 | 77 | 22 | 3.8 | 13.4 | |
| 3 | 0.014 | 1.70 | 283 | 0.055 | 213 | 127 | 37 | 1.8 | 11.5 | |
| 4 | 0.009 | 2.42 | 419 | 0.048 | 258 | 144 | 33 | 1.7 | 6.6 |
Publisher’s Note: MDPI stays neutral with regard to jurisdictional claims in published maps and institutional affiliations. |
© 2022 by the authors. Licensee MDPI, Basel, Switzerland. This article is an open access article distributed under the terms and conditions of the Creative Commons Attribution (CC BY) license (https://creativecommons.org/licenses/by/4.0/).
Share and Cite
Koroncz, P.; Vizhányó, Z.; Farkas, M.P.; Kuncz, M.; Ács, P.; Kocsis, G.; Mucsi, P.; Fedorné Szász, A.; Fedor, F.; Kovács, J. Experimental Rock Characterisation of Upper Pannonian Sandstones from Szentes Geothermal Field, Hungary. Energies 2022, 15, 9136. https://doi.org/10.3390/en15239136
Koroncz P, Vizhányó Z, Farkas MP, Kuncz M, Ács P, Kocsis G, Mucsi P, Fedorné Szász A, Fedor F, Kovács J. Experimental Rock Characterisation of Upper Pannonian Sandstones from Szentes Geothermal Field, Hungary. Energies. 2022; 15(23):9136. https://doi.org/10.3390/en15239136
Chicago/Turabian StyleKoroncz, Péter, Zsanett Vizhányó, Márton Pál Farkas, Máté Kuncz, Péter Ács, Gábor Kocsis, Péter Mucsi, Anita Fedorné Szász, Ferenc Fedor, and János Kovács. 2022. "Experimental Rock Characterisation of Upper Pannonian Sandstones from Szentes Geothermal Field, Hungary" Energies 15, no. 23: 9136. https://doi.org/10.3390/en15239136
APA StyleKoroncz, P., Vizhányó, Z., Farkas, M. P., Kuncz, M., Ács, P., Kocsis, G., Mucsi, P., Fedorné Szász, A., Fedor, F., & Kovács, J. (2022). Experimental Rock Characterisation of Upper Pannonian Sandstones from Szentes Geothermal Field, Hungary. Energies, 15(23), 9136. https://doi.org/10.3390/en15239136

