Multi-Objective Optimal Scheduling of a Microgrid Using Oppositional Gradient-Based Grey Wolf Optimizer
Abstract
1. Introduction
1.1. Literature Review
1.2. Research Gap and Objective of the Paper
1.3. Contributions
- i.
- At first, OGGWO was implemented as an optimization tool to overcome the problem. Further, the efficiency and robustness of the proposed model were determined and contrasted against GGWO and conventional GWO.
- ii.
- The authors compared the outcomes of the proposed method under three different scenarios to identify the optimization algorithm that produces the best compromised solution between generation cost and the emission of pollutants.
- iii.
- Multi-objective optimization was carried out under all the case studies considered so as to find the best-compromised solution for the multi-objective energy management problem.
2. Problem Formulation
2.1. Objective Functions
2.1.1. Mitigation of Operating Cost
2.1.2. Mitigation of Emission
2.1.3. Constraints and Limitations
- (a)
- Power Balance constraints
- (b)
- Ramp Rate Constraints
- (c)
- Inequality constraints
3. Oppositional Gradient-Based Grey Wolf Optimizer
4. Fuzzy Logic-Based Collection of the Finest Compromise Solution
5. Modeling of the Microgrid
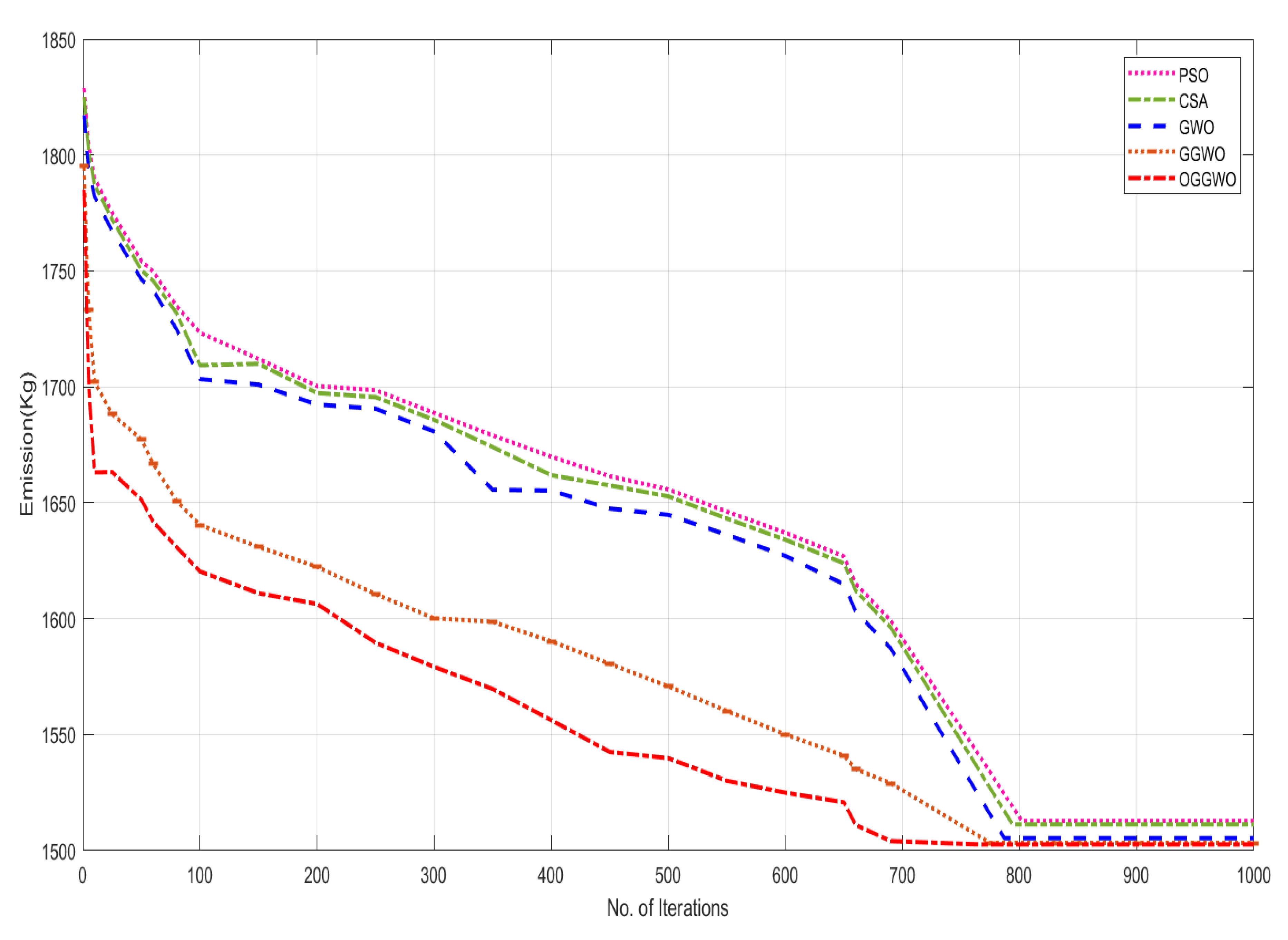
6. Results and Discussion
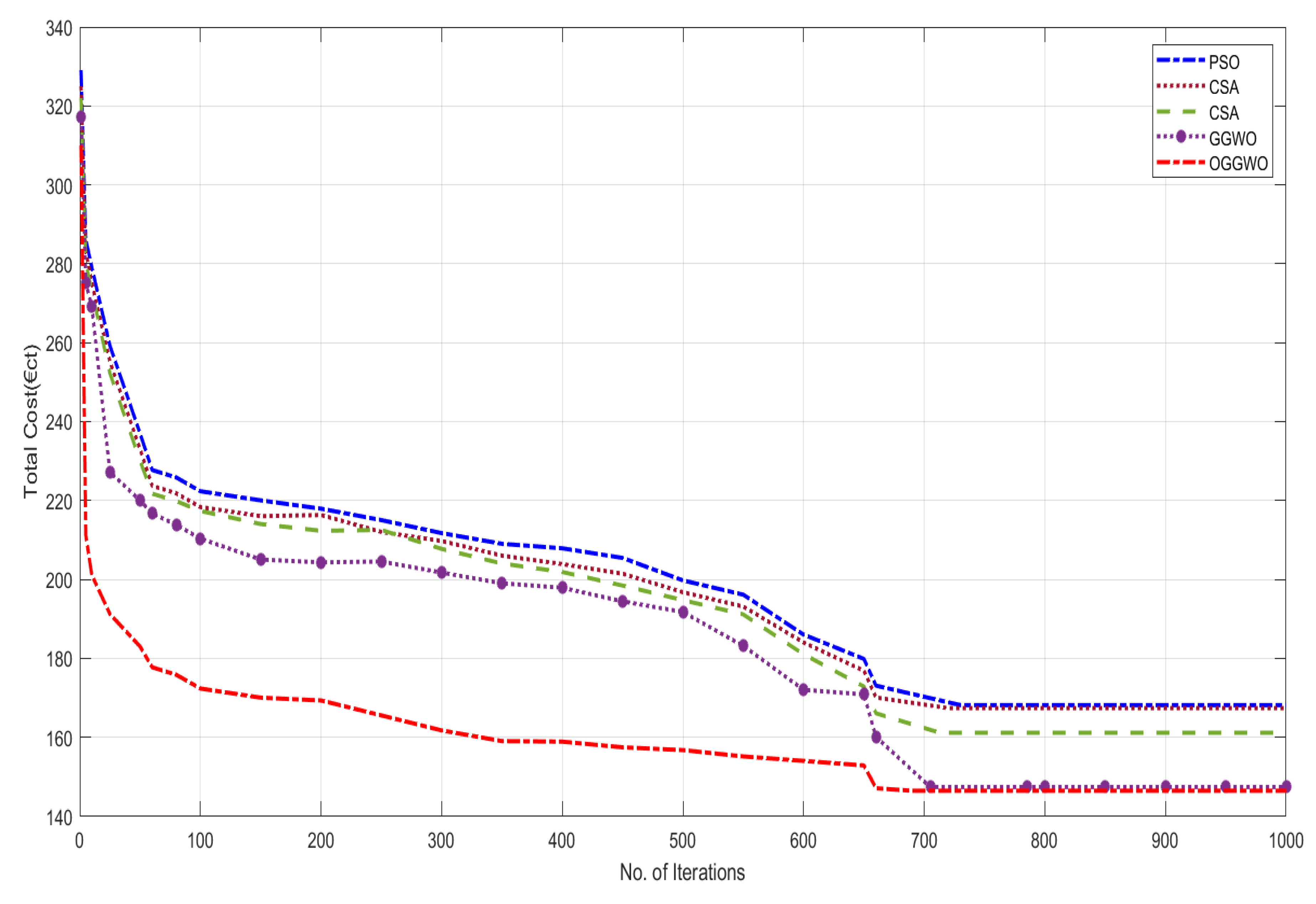
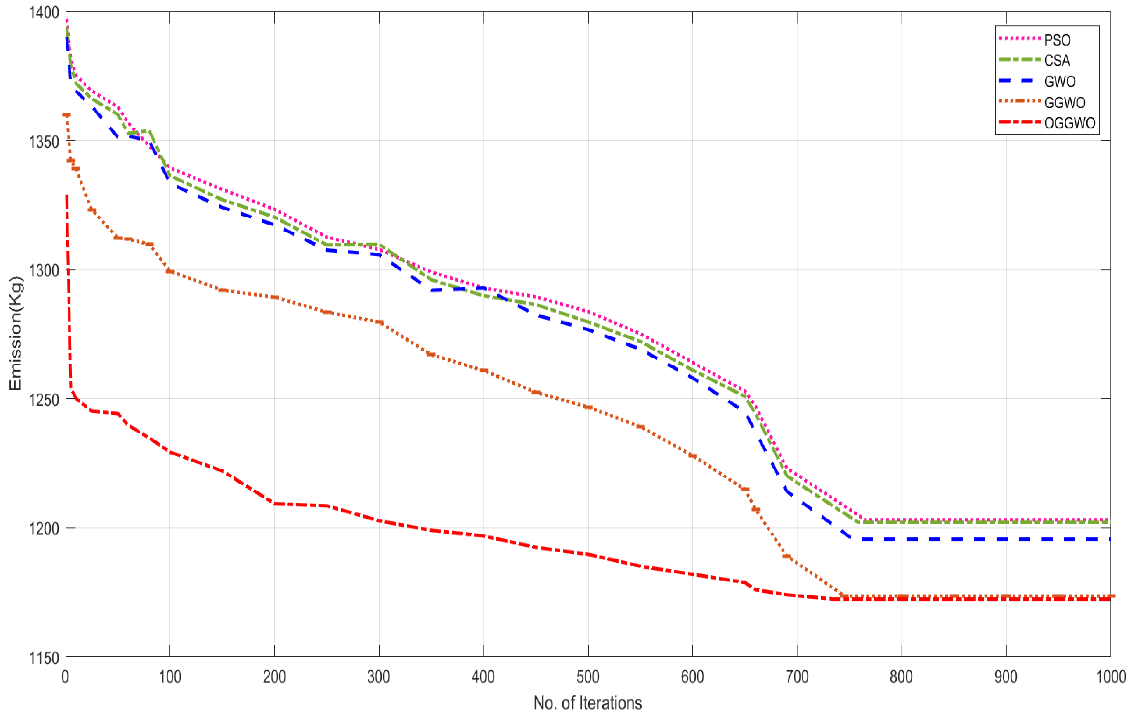
6.1. Case I: Operation of Distributed Energy Sources with Specified Limits
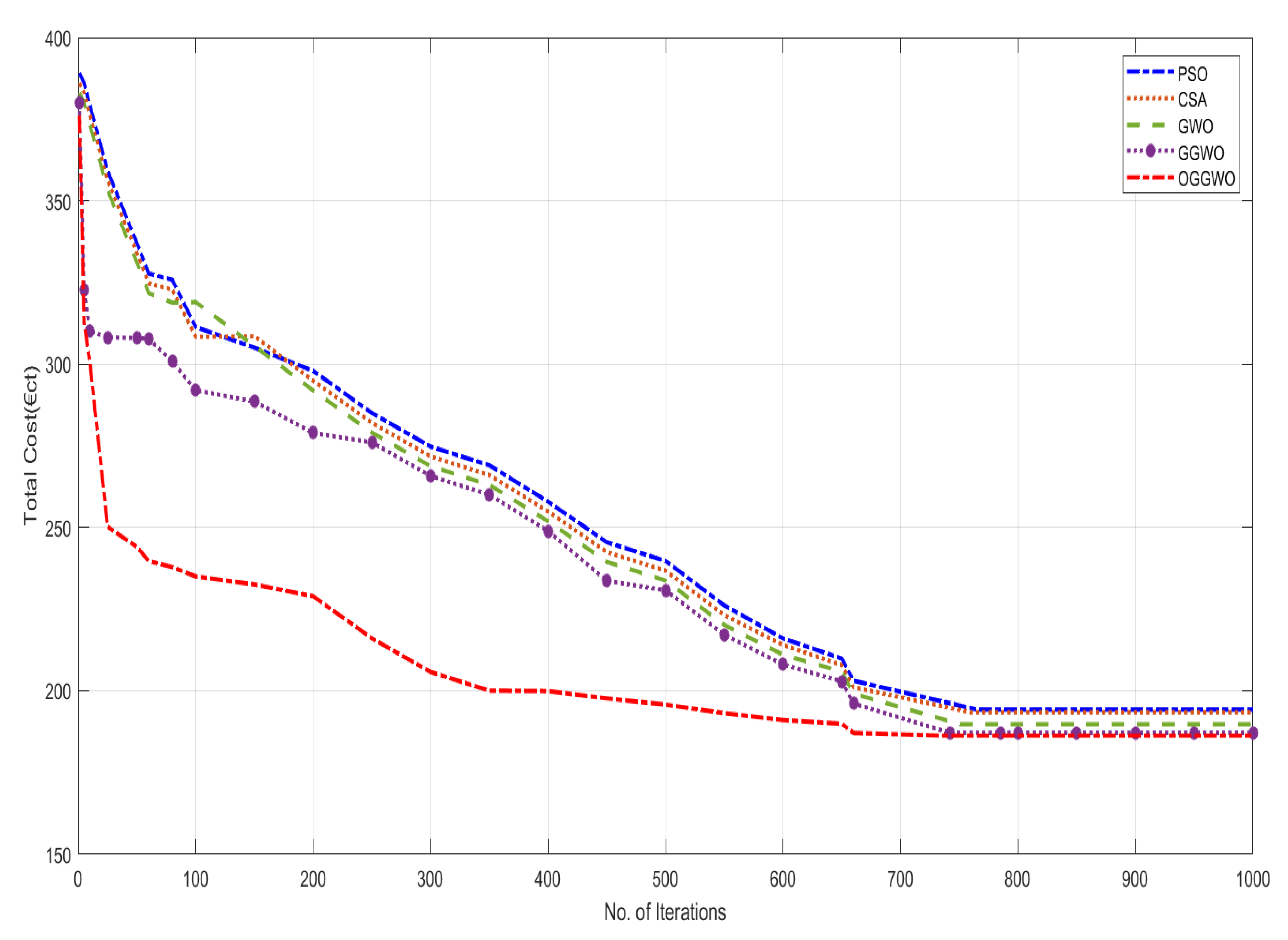
6.2. Case II: Operation of Renewable Energy Sources at Maximum Limits
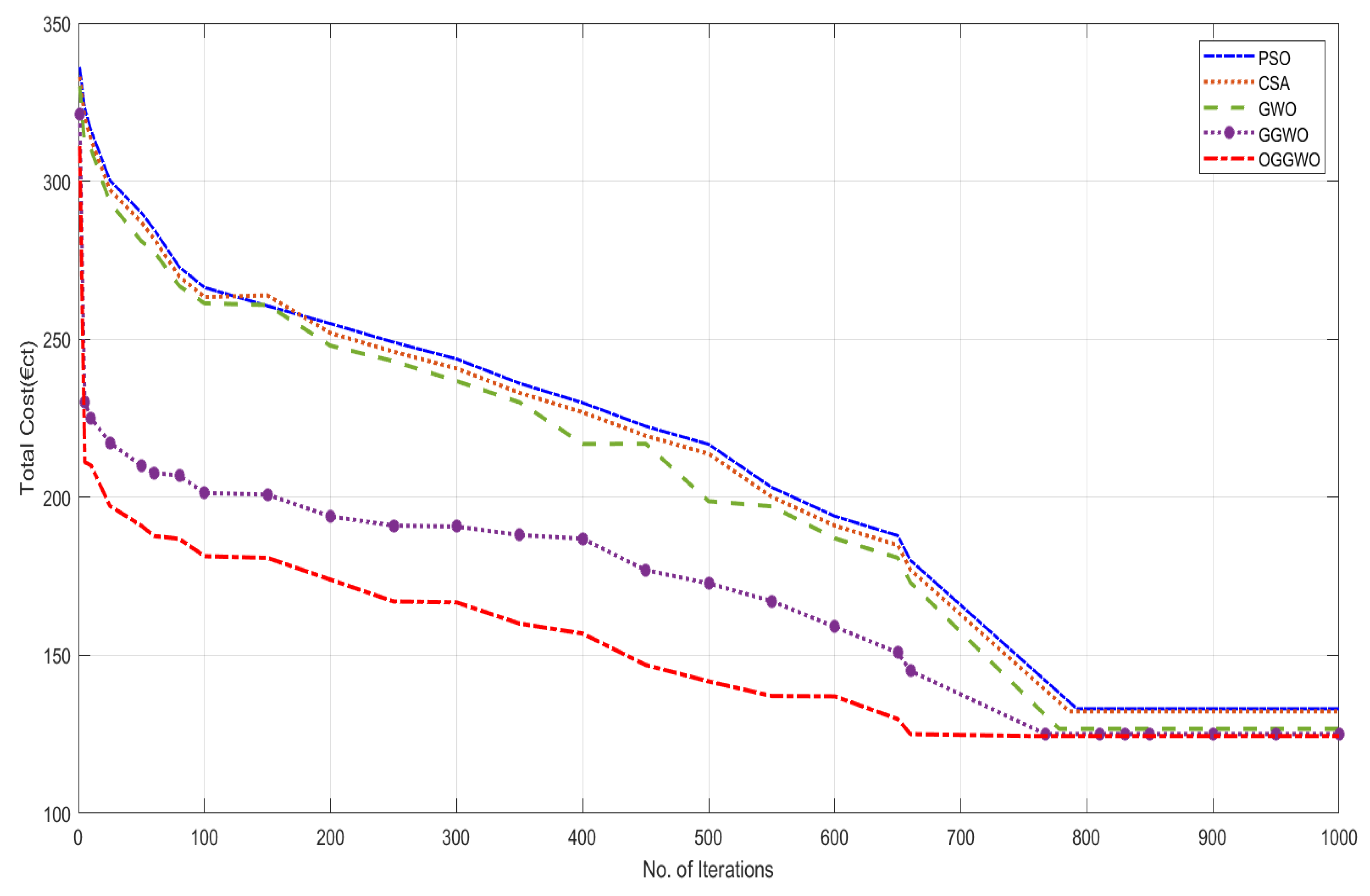
6.3. Case III: Unlimited Power Exchange between LV and MV
7. Conclusions
Author Contributions
Funding
Data Availability Statement
Conflicts of Interest
Abbreviations
| ANN | Artificial Neural Network |
| BARON | Branch and Reduce Optimization Navigator |
| BBSA | Backtracking search algorithm |
| BESS | Battery Energy Storage System |
| BPSO | Binary Particle Search Algorithm |
| CSA | Cuckoo Search Algorithm |
| DER | Distributed Energy Resources |
| DG | Distributed Generator |
| DR | Demand Response |
| DSM | Demand Side Management |
| EDNSGA-II | Economic Dispatch based Non-Dominated Sorting Genetic Algorithm |
| EO | Equilibrium Optimizer |
| EV | Electric Vehicle |
| FC | Fuel Cell |
| GAMS | General Algebraic Modeling System |
| GBDT | Gradient Boosting Decision Tree |
| GGWO | Gradient based Grey Wolf Optimizer |
| GOA | Grasshopper Optimization Algorithm |
| GPPM | Generalized Power Prediction Model |
| GRG | Generalized reduced-gradient |
| GWO | Grey Wolf Optimizer |
| LEMS | Local Energy Management System |
| LF | Levy Flight |
| LV | Low Voltage |
| MBA | Modified Bat Algorithm |
| MG | Microgrid |
| MGCC | Microgrid Central Controller |
| MGEM | Microgrid Energy Management |
| MOPSO | Multi-Objective Particle Search Algorithm |
| MSFOA | Muddy Soil Fish Optimization Algorithm |
| MT | Microturbine |
| MV | Medium Voltage |
| NA | Not Available |
| NSGA-II | Non-Dominated Sorting Genetic Algorithm |
| OBL | Opposition Based Learning |
| OGGWO | Oppositional Gradient based Grey Wolf Optimizer |
| PAFC | Phosphoric Acid Fuel Cell |
| PAR | Peak-to-Average Ratio |
| PMORL | Preference-based multi-objective reinforcement learning |
| PSO | Particle Search Algorithm |
| PV | Photovoltaic |
| QPSO | Quantum Particle Search Algorithm |
| RES | Renewable Energy Sources |
| SOA | Sandpiper Optimization Algorithm |
| WT | Wind Turbine |
References
- Nagarajan, K.; Rajagopalan, A.; Angalaeswari, S.; Natrayan, L.; Mammo, W.D. Combined Economic Emission Dispatch of Microgrid with the Incorporation of Renewable Energy Sources Using Improved Mayfly Optimization Algorithm. Comput. Intell. Neurosci. 2022, 15, 1–22. [Google Scholar] [CrossRef] [PubMed]
- Karthik, N.; Parvathy, A.K.; Arul, R. A review of optimal operation of microgrids. Int. J. Electr. Comput. Eng. 2020, 10, 3. [Google Scholar] [CrossRef]
- Konstantinopoulos, S.A.; Anastasiadis, A.G.; Vokas, G.A.; Kondylis, G.P.; Polyzakis, A. Optimal management of hydrogen storage in stochastic smart microgrid operation. Int. J. Hydrogen Energy 2018, 43, 1. [Google Scholar] [CrossRef]
- Aghajani, G.; Yousefi, N. Multi-objective optimal operation in a micro-grid considering economic and environmental goals. Evol. Syst. 2019, 10, 239–248. [Google Scholar] [CrossRef]
- Kamarposhti, M.A.; Colak, I.; Shokouhandeh, H.; Iwendi, C.; Padmanaban, S.; Band, S.S. Optimum operation management of microgrids with cost and environment pollution reduction approach considering uncertainty using Multi-objective NSGAII algorithm. IET Renew. Power Gener. 2022, 16, 1–13. [Google Scholar] [CrossRef]
- Lv, T.; Ai, Q.; Zhao, Y. A bi-level multi-objective optimal operation of grid-connected microgrids. Electr. Power Syst. Res. 2016, 131, 60–70. [Google Scholar] [CrossRef]
- Lu, X.; Zhou, K.; Yang, S. Multi-objective optimal dispatch of microgrid containing electric vehicles. J. Clean. Prod. 2017, 165, 1572–1581. [Google Scholar] [CrossRef]
- Kim, H.J.; Kim, M.K.; Lee, J.W. A two-stage stochastic p-robust optimal energy trading management in microgrid operation considering uncertainty with hybrid demand response. Int. J. Electr. Power Energy Syst. 2021, 124, 106422. [Google Scholar] [CrossRef]
- Arumugam, P.; Kuppan, V. A GBDT-SOA approach for the system modelling of optimal energy management in grid connected micro-grid system. Int. J. Energy Res. 2020, 45, 6765–6783. [Google Scholar] [CrossRef]
- Gad, Y.; Diab, H.; Abdelsalam, M.; Galal, Y. Smart Energy Management System of Environmentally Friendly Microgrid Based on Grasshopper Optimization Technique. Energies 2020, 13, 5000. [Google Scholar] [CrossRef]
- Veluchamy, K.; Veluchamy, M. A new energy management technique for microgrid system using muddy soil fish optimization algorithm. Int. J. Energy Res. 2021, 45, 14824–14844. [Google Scholar] [CrossRef]
- Jain, D.K.; Tyagi, S.K.S.; Neelakandan, S.; Prakash, M.; Natrayan, L. Metaheuristic optimization-based resource allocation technique for cybertwin-driven 6G on IoE environment. IEEE Trans. Ind. Inform. 2021, 18, 4884–4892. [Google Scholar] [CrossRef]
- Aghajani, G.; Ghadimi, N. Multi-objective energy management in a micro-grid. Energy Rep. 2018, 4, 218–225. [Google Scholar] [CrossRef]
- Ahmed, D.; Ebeed, M.; Ali, A.; Alghamdi, A.S.; Kamel, S. Multi-Objective Energy Management of a Micro-Grid Considering Stochastic Nature of Load and Renewable Energy Resources. Electronics 2021, 10, 403. [Google Scholar] [CrossRef]
- Mansouri, S.A.; Ahmarinejad, A.; Nematbakhsh, E.; Javadi, M.S.; Jordehi, A.R.; Catalao, J.P. Energy management in microgrids including smart homes: A multi-objective approach. Sustain. Cities Soc. 2021, 69, 102852. [Google Scholar] [CrossRef]
- Tabar, V.S.; Jirdehi, M.A.; Hemmati, R. Energy management in microgrid based on the multi objective stochastic programming incorporating portable renewable energy resource as demand response option. Energy 2017, 118, 827–839. [Google Scholar] [CrossRef]
- Mandal, S.; Mandal, K.K. Optimal energy management of microgrids under environmental constraints using chaos enhanced differential evolution. Renew. Energy Focus 2020, 34, 129–141. [Google Scholar] [CrossRef]
- GM Abdolrasol, M.; Hannan, M.A.; Hussain, S.M.S.; Ustun, T.S.; Sarker, M.R.; Ker, P.J. Energy Management Scheduling for Microgrids in the Virtual Power Plant System Using Artificial Neural Networks. Energies 2021, 14, 6507. [Google Scholar] [CrossRef]
- Majumder, I.; Dash, P.K.; Dhar, S. Real-time Energy Management for PV–battery–wind based microgrid using on-line sequential Kernel Based Robust Random Vector Functional Link Network. Appl. Soft Comput. 2021, 101, 107059. [Google Scholar] [CrossRef]
- Karthik, N.; Parvathy, A.K.; Arul, R.; Jayapragash, R.; Narayanan, S. Economic load dispatch in a microgrid using Interior Search Algorithm. In 2019 Innovations in Power and Advanced Computing Technologies (i-PACT); IEEE: Piscataway, NJ, USA, 2019; pp. 1–6. [Google Scholar]
- Esapour, K.; Abbasian, M.; Saghafi, H. Intelligent energy management in hybrid microgrids considering tidal, wind, solar and battery. Int. J. Electr. Power Energy Syst. 2021, 127, 106615. [Google Scholar] [CrossRef]
- Aghajani, G.R.; Shayanfar, H.A.; Shayeghi, H. Demand side management in a smart micro-grid in the presence of renewable generation and demand response. Energy 2017, 126, 622–637. [Google Scholar] [CrossRef]
- Jasim, A.M.; Jasim, B.H.; Kraiem, H.; Flah, A. A Multi-Objective Demand/Generation Scheduling Model-Based Microgrid Energy Management System. Sustainability 2022, 14, 10158. [Google Scholar] [CrossRef]
- Yin, N.; Abbassi, R.; Jerbi, H.; Rezvani, A.; Müller, M. A day-ahead joint energy management and battery sizing framework based on θ-modified krill herd algorithm for a renewable energy-integrated microgrid. J. Clean. Prod. 2021, 282, 124435. [Google Scholar] [CrossRef]
- Han, Y.; Yang, H.; Li, Q.; Chen, W.; Zare, F.; Guerrero, J.M. Mode-triggered droop method for the decentralized energy management of an islanded hybrid PV/hydrogen/battery DC microgrid. Energy 2020, 199, 117441. [Google Scholar] [CrossRef]
- Han, Y.; Zhang, G.; Li, Q.; You, Z.; Chen, W.; Liu, H. Hierarchical energy management for PV/hydrogen/battery island DC microgrid. Int. J. Hydrogen Energy 2019, 44, 11. [Google Scholar] [CrossRef]
- Kafetzis, A.; Ziogou, C.; Panopoulos, K.D.; Papadopoulou, S.; Seferlis, P.; Voutetakis, S. Energy management strategies based on hybrid automata for islanded microgrids with renewable sources, batteries and hydrogen. Renew. Sustain. Energy Rev. 2020, 134, 110118. [Google Scholar] [CrossRef]
- Xu, J.; Li, K.; Abusara, M. Preference based multi-objective reinforcement learning for multi-microgrid system optimization problem in smart grid. Memetic Comp. 2022, 14, 225–235. [Google Scholar] [CrossRef]
- Jordehi, A.R.; Javadi, M.S.; Catalão, J.P. Energy management in microgrids with battery swap stations and var compensators. J. Clean. Prod. 2020, 272, 122943. [Google Scholar] [CrossRef]
- Sedighizadeh, M.; Esmaili, M.; Mohammadkhani, N. Stochastic multi-objective energy management in residential microgrids with combined cooling, heating, and power units considering battery energy storage systems and plug-in hybrid electric vehicles. J. Clean. Prod. 2018, 195, 301–317. [Google Scholar] [CrossRef]
- Yaghi, M.; Luo, F.; El Fouany, H.; Junfeng, L.; Jiajian, H.; Jun, Z. Multi-Objective optimization for Microgrid Considering Demand Side Management. In Proceedings of the 2019 Chinese Control Conference (CCC), Guangzhou, China, 27–30 July 2019; pp. 7398–7403. [Google Scholar] [CrossRef]
- Luo, L.; Abdulkareem, S.S.; Rezvani, A.; Miveh, M.R.; Samad, S.; Aljojo, N.; Pazhoohesh, M. Optimal scheduling of a renewable based microgrid considering phototaic system and battery energy storage under uncertainty. J. Energy Storage 2020, 28, 101306. [Google Scholar] [CrossRef]
- Farinis, G.K.; Kanellos, F.D. Integrated energy management system for Microgrids of building prosumers. Electr. Power Syst. Res. 2021, 198, 107357. [Google Scholar] [CrossRef]
- Kakran, S.; Chanana, S. Operation management of a renewable microgrid supplying to a residential community under the effect of incentive-based demand response program. Int. J. Energy Environ. Eng. 2019, 10, 121–135. [Google Scholar] [CrossRef]
- Mosa, M.A.; Ali, A.A. Energy management system of low tage dc microgrid using mixed-integer nonlinear programing and a global optimization technique. Electr. Power Syst. Res. 2021, 192, 106971. [Google Scholar] [CrossRef]
- Hasankhani, A.; Hakimi, S.M. Stochastic energy management of smart microgrid with intermittent renewable energy resources in electricity market. Energy 2021, 219, 119668. [Google Scholar] [CrossRef]
- De, M.; Das, G.; Mandal, K.K. An effective energy flow management in grid-connected solar–wind-microgrid system incorporating economic and environmental generation scheduling using a meta-dynamic approach-based multiobjective flower pollination algorithm. Energy Rep. 2021, 7, 2711–2726. [Google Scholar] [CrossRef]
- Dey, B.; Bhattacharyya, B.; Márquez, F.P.G. A hybrid optimization-based approach to solve environment constrained economic dispatch problem on microgrid system. J. Clean. Prod. 2021, 307, 127196. [Google Scholar] [CrossRef]
- Dey, B.; Bhattacharyya, B.; Srivastava, A.; Shivam, K. Solving energy management of renewable integrated microgrid systems using crow search algorithm. Soft Comput. 2020, 24, 10433–10454. [Google Scholar] [CrossRef]
- Paliwal, N.K.; Singh, A.K.; Singh, N.K. Energy scheduling optimisation of an islanded microgrid via artificial bee colony guided by global best, personal best and asynchronous scaling factors. Int. J. Sustain. Energy 2020, 39, 6. [Google Scholar] [CrossRef]
- Sarshar, J.; Moosapour, S.S.; Joorabian, M. Multi-objective energy management of a micro-grid considering uncertainty in wind power forecasting. Energy 2017, 139, 680–693. [Google Scholar] [CrossRef]
- Mirjalili, S.; Mirjalili, S.M.; Lewis, A. Grey Wolf Optimizer. Adv. Eng. Softw. 2014, 69, 46–61. [Google Scholar] [CrossRef]
- Abdel-Basset, M.; El-Shahat, D.; El-henawy, I.; de Albuquerque, V.H.C.; Mirjalili, S. A new fusion of grey wolf optimizer algorithm with a two-phase mutation for feature selection. Expert Syst. Appl. 2020, 139, 112824. [Google Scholar] [CrossRef]
- Dhargupta, S.; Ghosh, M.; Mirjalili, S.; Sarkar, R. Selective opposition based grey wolf optimization. Expert Syst. Appl. 2020, 151, 113389. [Google Scholar] [CrossRef]
- Pradhan, M.; Roy, P.K.; Pal, T. Grey wolf optimization applied to economic load dispatch problems. Int. J. Electr. Power Energy Syst. 2016, 83, 325–334. [Google Scholar] [CrossRef]
- Khalilpourazari, S.; Doulabi, H.H.; Çiftçioğlu, A.Ö.; Weber, G.W. Gradient-based grey wolf optimizer with Gaussian walk: Application in modelling and prediction of the COVID-19 pandemic. Expert Syst. Appl. 2021, 177, 114920. [Google Scholar] [CrossRef] [PubMed]
- Pahnehkolaei, S.M.A.; Alfi, A.; Sadollah, A.; Kim, J.H. Gradient-based water cycle algorithm with evaporation rate applied to chaos suppression. Appl. Soft Comput. 2017, 53, 420–440. [Google Scholar] [CrossRef]
- Karthik, N.; Parvathy, A.K.; Arul, R.; Padmanathan, K. Multi-objective optimal power flow using a new heuristic optimization algorithm with the incorporation of renewable energy sources. Int. J. Energy Environ. Eng. 2021, 12, 641–678. [Google Scholar] [CrossRef]










| Reference No. | Objectives | Control Algorithm | System Description | Storage Technology | RES | Year |
|---|---|---|---|---|---|---|
| [21] | Operation cost | Modified bat algorithm | Hybrid AC and DC microgrid | Battery | PV, WT, tidal | 2021 |
| [22] | Operation cost and Emission | Multi-Objective Particle Swarm Optimization (MOPSO) | Grid connected microgrid | Battery | PV, WT | 2017 |
| [23] | Operation cost, Emission | Binary Orientation Search Algorithm | Grid connected microgrid | Battery | PV, WT | 2022 |
| [24] | Operation cost | Θ-modified krill algorithm | Grid connected microgrid | Battery | WT, PV | 2021 |
| [25] | Decentralized energy management | HOMER Software | Islanded DC microgrid | Hydrogen, Battery | PV | 2020 |
| [26] | Hierarchical energy management Strategy | HOMER pro Software | Islanded DC microgrid | Hydrogen, BESS | PV | 2019 |
| [27] | Energy Management System | Hybrid automata algorithm | Islanded Microgrid | Hydrogen, BESS | PV, WT, biomass | 2020 |
| [28] | Multi-microgrids energy management | Preference-based multi-objective reinforcement learning (PMORL) technique | Grid connected Microgrid | Battery | PV, WT, tidal | 2022 |
| [29] | Optimal power flow with reactive power cost of MG as objective function | Generalized reduced-gradient (GRG) algorithm | Grid connected Microgrid | BESS | PV, WT | 2020 |
| [30] | Stochastic optimal energy management of MG with operation cost and emission as objectives | GAMS using CPLEX solver | Grid connected Microgrid | BESS, PHEV, TES | PV | 2018 |
| [31] | Energy Management System | NSGA-II | Grid connected Microgrid | Battery | PV, WT | 2019 |
| [32] | Energy Management System | Modified bat algorithm (MBA) | Grid connected Microgrid | BESS | PV, WT | 2020 |
| [33] | Energy Management System | Particle swarm optimization (PSO) | Grid conncted and autonomous Microgrid | BESS, PEV | PV, WT | 2021 |
| [34] | Energy Management in Microgrid | Mixed integer linear programing technique using CPLEX solver | Grid connected Microgrid with PV, FC, MT, battery | Battery | PV, WT | 2019 |
| [35] | Energy Management System of DC microgrid | Branch and reduce optimization navigator (BARON) algorithm | Microgrid with PV, FC, MT, DE, battery | Battery | PV, WT | 2021 |
| [36] | Stochastic energy management of smart microgrid | Quantum Particle Swarm Optimization (QPSO) | Grid connected Microgrid | Battery | PV, WT | 2021 |
| [37] | Energy management in microgrid | meta-dynamic-approach-based multiobjective flower pollination algorithm | Grid connected Microgrid | Battery | PV, WT | 2021 |
| [38] | Economic Emission Dispatch in Microgrid | Hybrid Modified version of GWO | 3-unit RES integrated low voltage microgrid system | - | PV, WT | 2021 |
| [39] | Energy management System | Crow Search Algorithm | 3,5,6,7,11, 38-units microgrid test system | BESS | PV, WT | 2019 |
| [40] | Energy management System | Modified version of artificial bee colony algorithm | Islanded Microgrid with stationary and the dynamic energy Bid | BESS | PV, WT | 2020 |
| Hour | MT | FC | PV | WT | ESS | Grid |
|---|---|---|---|---|---|---|
| 1 | 16.17 | 30 | 0 | 8.84 | −30 | 36.99 |
| 2 | 19.74 | 26.98 | 0 | 10.62 | −4.79 | 7.45 |
| 3 | 6 | 22.01 | 0 | 8.01 | −20.05 | 44.03 |
| 4 | 6.75 | 30 | 0 | 12.44 | −12.38 | 24.19 |
| 5 | 8.68 | 23.02 | 0 | 12.01 | −19.98 | 43.27 |
| 6 | 25.28 | 0 | 0 | 13.56 | −18.13 | 54.29 |
| 7 | 25.02 | 23.9 | 0 | 12.03 | −25.57 | 48.62 |
| 8 | 0 | 30 | 0 | 13.37 | 2.34 | 44.29 |
| 9 | 27.39 | 27.03 | 0.17 | 15.19 | −27.23 | 48.45 |
| 10 | 29.99 | 30 | 2.04 | 19.34 | 29.05 | −14.42 |
| 11 | 30 | 29.51 | 8.03 | 24.26 | 26.18 | −24.98 |
| 12 | 29.18 | 28.03 | 9.72 | 22.03 | 11.03 | −11.99 |
| 13 | 30 | 29.86 | 11.03 | 19.2 | −29.98 | 25.89 |
| 14 | 0 | 30 | 8.91 | 24.09 | 29.13 | −6.13 |
| 15 | 30 | 30 | 8.44 | 24.99 | 27.24 | −29.67 |
| 16 | 22.48 | 24.66 | 3.99 | 19.98 | −20.23 | 45.12 |
| 17 | 30 | 30 | 1.98 | 23.47 | −29.98 | 46.53 |
| 18 | 30 | 0 | 0 | 18.98 | 9.81 | 46.21 |
| 19 | 30 | 22.19 | 0 | 19.01 | 1.02 | 35.78 |
| 20 | 30 | 30 | 0 | 22.31 | −0.59 | 22.28 |
| 21 | 17.99 | 19.79 | 0 | 12.99 | 6.94 | 35.29 |
| 22 | 1.02 | 28.93 | 0 | 21.08 | 27.98 | 5.99 |
| 23 | 22.05 | 0 | 9 | 13.09 | −8.16 | 42.02 |
| 24 | 0 | 0 | 0 | 20.11 | 29.41 | 17.48 |
| Optimization Algorithm | Parameter | Cost Euro | Emission Kg |
|---|---|---|---|
| EDNSGA-II [41] | Min Cost | 148.67 | 1230.66 |
| Min Emission | 163.97 | 1175.99 | |
| BCS | 158.81 | 1212.7 | |
| Std Dev | 2.9 | 5.08 | |
| NSGA-II [41] | Min Cost | 165.49 | 1236.5 |
| Min Emission | 173.77 | 1199.08 | |
| BCS | 168.27 | 1216.54 | |
| Std Dev | 3.15 | 7.08 | |
| PSO | Min Cost | 168.15 | 1241.29 |
| Min Emission | 176.04 | 1203.12 | |
| BCS | 171.38 | 1220.07 | |
| Std Dev | 4.28 | 8.14 | |
| CSA | Min Cost | 167.38 | 1239.86 |
| Min Emission | 175.42 | 1202.18 | |
| BCS | 170.46 | 1219.14 | |
| Std Dev | 4.06 | 7.99 | |
| GWO | Min Cost | 161.14 | 1234.08 |
| Min Emission | 170.78 | 1195.64 | |
| BCS | 164.26 | 1214.31 | |
| Std Dev | 3.09 | 6.87 | |
| GGWO | Min Cost | 147.39 | 1228.14 |
| Min Emission | 162.04 | 1173.67 | |
| BCS | 157.13 | 1212.03 | |
| Std Dev | 2.71 | 4.88 | |
| OGGWO | Min Cost | 146.44 | 1226.71 |
| Min Emission | 161.28 | 1172.48 | |
| BCS | 156.31 | 1211.28 | |
| Std Dev | 2.55 | 4.72 |
| Optimization Algorithm | Parameter | Cost Euro | Emission Kg |
|---|---|---|---|
| EDNSGA-II [41] | Min Cost | 190.6 | NA |
| Min Emission | NA | 1162.4 | |
| BCS | NA | NA | |
| Std Dev | NA | NA | |
| PSO | Min Cost | 194.24 | 1205.29 |
| Min Emission | 203.15 | 1168.12 | |
| BCS | 198.57 | 1184.89 | |
| Std Dev | 5.98 | 7.63 | |
| CSA | Min Cost | 193.38 | 1203.14 |
| Min Emission | 201.08 | 1166.58 | |
| BCS | 196.78 | 1183.28 | |
| Std Dev | 5.79 | 7.58 | |
| GWO | Min Cost | 189.73 | 1200.23 |
| Min Emission | 198.29 | 1160.25 | |
| BCS | 192.04 | 1179.27 | |
| Std Dev | 4.76 | 6.64 | |
| GGWO | Min Cost | 187.13 | 1197.38 |
| Min Emission | 202.87 | 1158.03 | |
| BCS | 190.48 | 1177.49 | |
| Std Dev | 4.43 | 4.63 | |
| OGGWO | Min Cost | 186.27 | 1210.24 |
| Min Emission | 201.89 | 1156.79 | |
| BCS | 188.23 | 1175.82 | |
| Std Dev | 4.26 | 4.46 |
| Hour | MT | FC | PV | WT | Battery | Grid |
|---|---|---|---|---|---|---|
| 1 | 29.98 | 0 | 0 | 9.15 | −28.13 | 51 |
| 2 | 17.22 | 16.89 | 0 | 10.84 | −16.93 | 31.98 |
| 3 | 6.75 | 21.56 | 0 | 11.56 | −18.31 | 38.44 |
| 4 | 23.15 | 3 | 0 | 12.68 | −20.89 | 43.06 |
| 5 | 6.23 | 19.23 | 0 | 13.29 | −29.98 | 58.23 |
| 6 | 26.99 | 3.73 | 0 | 13.41 | −25.12 | 55.99 |
| 7 | 26.86 | 24.91 | 0 | 14.78 | −24.89 | 42.34 |
| 8 | 6.91 | 25.99 | 0 | 13.95 | −14.98 | 58.13 |
| 9 | 0 | 30 | 0.45 | 19.12 | 24.31 | 17.12 |
| 10 | 30 | 30 | 2.29 | 19.25 | 27.45 | −12.99 |
| 11 | 30 | 30 | 8.02 | 24.11 | 30 | −29.13 |
| 12 | 29.98 | 0 | 10.23 | 22.43 | 29.92 | −4.56 |
| 13 | 0 | 21.56 | 10.75 | 18.79 | −5.99 | 40.89 |
| 14 | 30 | 30 | 10.18 | 24.12 | 23.11 | −31.41 |
| 15 | 0 | 0 | 9.78 | 24.87 | 19.23 | 37.12 |
| 16 | 30 | 30 | 5.09 | 24.92 | −29.98 | 35.97 |
| 17 | 24.35 | 28.15 | 0.56 | 23.12 | −26.99 | 52.81 |
| 18 | 11.98 | 20.03 | 0 | 20.54 | 18.22 | 34.23 |
| 19 | 29.95 | 30 | 0 | 20.79 | −29.98 | 57.24 |
| 20 | 29.95 | 3.56 | 0 | 22.59 | −8.34 | 56.24 |
| 21 | 30 | 30 | 0 | 22.34 | −30 | 40.66 |
| 22 | 27.98 | 0 | 0 | 23.89 | 29.73 | 3.4 |
| 23 | 19.98 | 19.45 | 0 | 22.57 | −19.23 | 35.23 |
| 24 | 8.78 | 20.12 | 0 | 20.61 | −20.48 | 37.97 |
| Optimization Algorithm | Parameter | Cost Euro | Emission Kg |
|---|---|---|---|
| EDNSGA-II [41] | Min Cost | 127.3 | NA |
| Min Emission | NA | 1506.9 | |
| BCS | NA | NA | |
| Std Dev | NA | NA | |
| PSO | Min Cost | 133.12 | 1552.48 |
| Min Emission | 142.39 | 1512.83 | |
| BCS | 137.03 | 1530.25 | |
| Std Dev | 3.78 | 9.83 | |
| CSA | Min Cost | 132.28 | 1549.28 |
| Min Emission | 140.59 | 1511.35 | |
| BCS | 135.25 | 1528.94 | |
| Std Dev | 3.59 | 9.64 | |
| GWO | Min Cost | 126.74 | 1545.85 |
| Min Emission | 135.38 | 1505.37 | |
| BCS | 132.06 | 1526.12 | |
| Std Dev | 2.61 | 8.57 | |
| GGWO | Min Cost | 125.13 | 1556.29 |
| Min Emission | 140.56 | 1503.32 | |
| BCS | 130.27 | 1522.48 | |
| Std Dev | 2.34 | 6.69 | |
| OGGWO | Min Cost | 124.46 | 1556.73 |
| Min Emission | 139.59 | 1502.68 | |
| BCS | 129.06 | 1520.83 | |
| Std Dev | 2.18 | 6.52 |
| Hour | MT | FC | PV | WT | Battery | Grid |
|---|---|---|---|---|---|---|
| 1 | 6 | 0 | 0 | 4.97 | −13.99 | 65.02 |
| 2 | 12.23 | 3.18 | 0 | 0.34 | −10.99 | 55.24 |
| 3 | 0 | 0 | 0.27 | 10.98 | −29.23 | 77.98 |
| 4 | 0 | 0 | 0 | 5.65 | −13.99 | 69.34 |
| 5 | 0 | 0 | 0 | 11.98 | −30 | 85.02 |
| 6 | 0 | 3 | 0 | 13.21 | −28.23 | 87.02 |
| 7 | 0 | 3.25 | 0 | 12.99 | −25.12 | 92.78 |
| 8 | 6 | 0 | 0 | 8.28 | −17.23 | 92.95 |
| 9 | 30 | 30 | 0.13 | 18.12 | −15.29 | 28.04 |
| 10 | 30 | 30 | 1.68 | 19.23 | 29.76 | −14.67 |
| 11 | 30 | 29.99 | 7.13 | 23 | 30 | −27.12 |
| 12 | 30 | 30 | 9.89 | 22.23 | 30 | −34.12 |
| 13 | 30 | 0 | 11.03 | 16.02 | 27.03 | 1.92 |
| 14 | 9.56 | 9.32 | 2.99 | 7.94 | 9.89 | 46.3 |
| 15 | 30 | 30 | 8.07 | 24.29 | 18.99 | −20.35 |
| 16 | 11.23 | 11.28 | 1.86 | 8.75 | 8.76 | 53.12 |
| 17 | 29.74 | 3.93 | 1.03 | 22.27 | −30 | 75.03 |
| 18 | 0 | 0 | 0 | 18.99 | −30 | 116.01 |
| 19 | 6.93 | 15.24 | 0 | 12.96 | −20.12 | 92.99 |
| 20 | 7.12 | 3 | 0 | 15.38 | −21.11 | 99.61 |
| 21 | 30 | 30 | 0 | 20.03 | 29.89 | −16.92 |
| 22 | 0 | 0 | 0 | 22.34 | −29.99 | 92.65 |
| 23 | 0 | 3.23 | 0 | 8.03 | 12.02 | 54.72 |
| 24 | 0 | 0 | 0 | 20.01 | −30 | 76.99 |
Publisher’s Note: MDPI stays neutral with regard to jurisdictional claims in published maps and institutional affiliations. |
© 2022 by the authors. Licensee MDPI, Basel, Switzerland. This article is an open access article distributed under the terms and conditions of the Creative Commons Attribution (CC BY) license (https://creativecommons.org/licenses/by/4.0/).
Share and Cite
Rajagopalan, A.; Nagarajan, K.; Montoya, O.D.; Dhanasekaran, S.; Kareem, I.A.; Perumal, A.S.; Lakshmaiya, N.; Paramasivam, P. Multi-Objective Optimal Scheduling of a Microgrid Using Oppositional Gradient-Based Grey Wolf Optimizer. Energies 2022, 15, 9024. https://doi.org/10.3390/en15239024
Rajagopalan A, Nagarajan K, Montoya OD, Dhanasekaran S, Kareem IA, Perumal AS, Lakshmaiya N, Paramasivam P. Multi-Objective Optimal Scheduling of a Microgrid Using Oppositional Gradient-Based Grey Wolf Optimizer. Energies. 2022; 15(23):9024. https://doi.org/10.3390/en15239024
Chicago/Turabian StyleRajagopalan, Arul, Karthik Nagarajan, Oscar Danilo Montoya, Seshathiri Dhanasekaran, Inayathullah Abdul Kareem, Angalaeswari Sendraya Perumal, Natrayan Lakshmaiya, and Prabhu Paramasivam. 2022. "Multi-Objective Optimal Scheduling of a Microgrid Using Oppositional Gradient-Based Grey Wolf Optimizer" Energies 15, no. 23: 9024. https://doi.org/10.3390/en15239024
APA StyleRajagopalan, A., Nagarajan, K., Montoya, O. D., Dhanasekaran, S., Kareem, I. A., Perumal, A. S., Lakshmaiya, N., & Paramasivam, P. (2022). Multi-Objective Optimal Scheduling of a Microgrid Using Oppositional Gradient-Based Grey Wolf Optimizer. Energies, 15(23), 9024. https://doi.org/10.3390/en15239024

