Cs Extraction from Chloride Media by Calixarene Crown-Ethers
Abstract
1. Introduction
2. Materials and Methods
2.1. Chemicals
2.2. Extraction
3. Results
3.1. Study of the Organic Phase
3.1.1. Diluent Study
3.1.2. Extractant Comparison
3.1.3. Complex Stoichiometry
3.2. Study of the Aqueous Phase
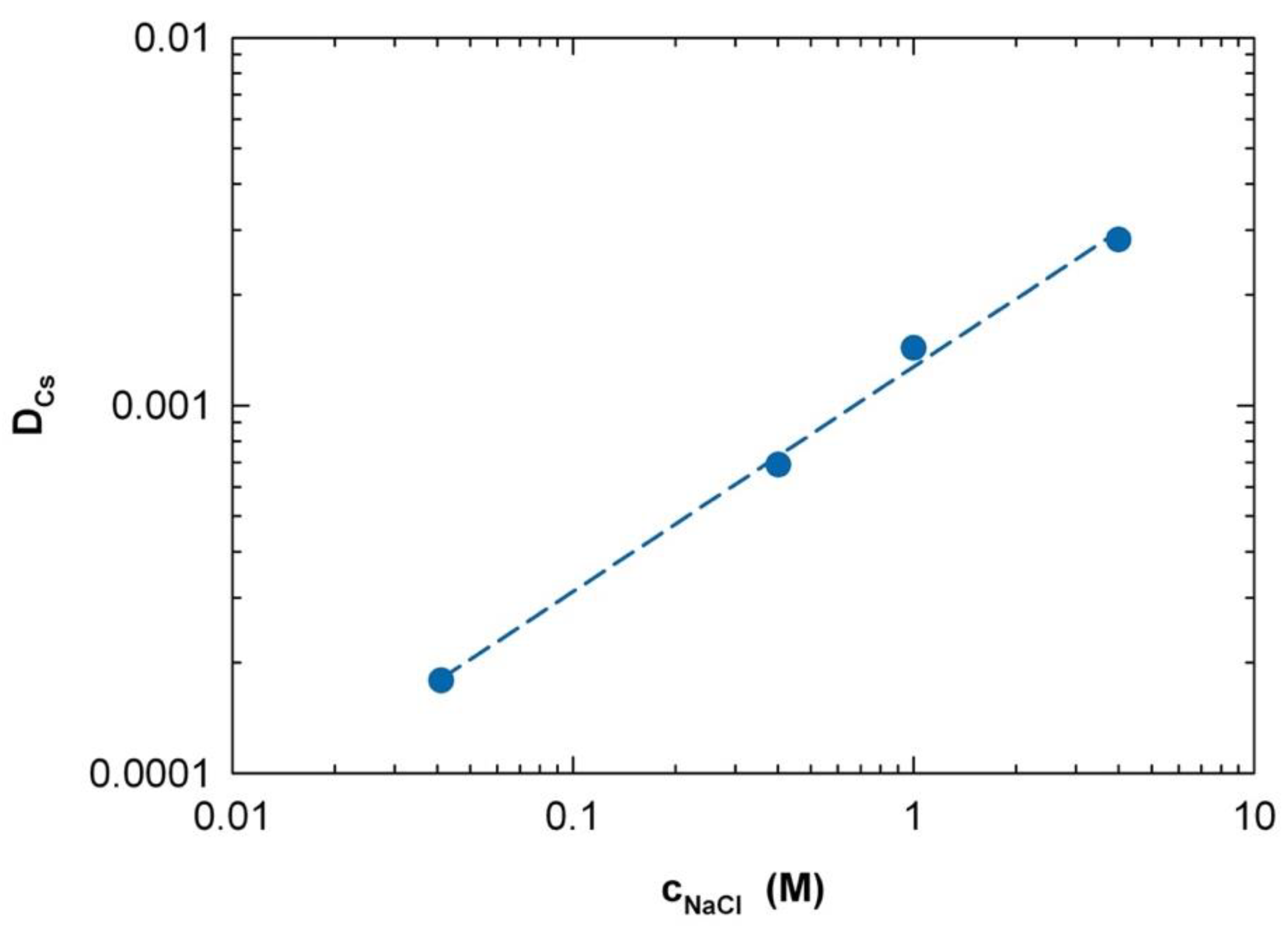
3.2.1. NaCl and HCl Effects
3.2.2. Effect of Other Cations
4. Conclusions
Supplementary Materials
Author Contributions
Funding
Acknowledgments
Conflicts of Interest
References
- Geschichte der Schachtanlage Asse II. Available online: https://www.bge.de/de/asse/kurzinformationen/geschichte-der-schachtanlage-asse-ii/ (accessed on 23 September 2022).
- Wang, J.; Zhuang, S. Removal of cesium ions from aqueous solutions using various separation technologies. Rev. Environ. Sci. Bio/Technol. 2019, 18, 231–269. [Google Scholar] [CrossRef]
- Wang, J.; Zhuang, S.; Liu, Y. Metal hexacyanoferrates-based adsorbents for cesium removal. Coord. Chem. Rev. 2018, 374, 430–438. [Google Scholar] [CrossRef]
- Noguchi, Y.; Kida, T.; Kato, E.; Shimizu, K.; Akashi, M. Effective extraction of radioactive cesium from various pollutants with a detergent solution including Mg2+ and K+. Radiat. Saf. Manag. 2015, 14, 15–17. [Google Scholar] [CrossRef][Green Version]
- Delchet, C.; Tokarev, A.; Dumail, X.; Toquer, G.; Barré, Y.; Guari, Y.; Guerin, C.; Larionova, J.; Grandjean, A. Extraction of radioactive cesium using innovative functionalized porous materials. RSC Adv. 2012, 2, 5707–5716. [Google Scholar] [CrossRef]
- Rauwel, P.; Rauwel, E. Towards the extraction of radioactive cesium-137 from water via graphene/CNT and nanostructured Prussian Blue hybrid nanocomposites: A review. Nanomaterials 2019, 9, 682. [Google Scholar] [CrossRef]
- Kaneko, M.; Iwata, H.; Shiotsu, H.; Masaki, S.; Kawamoto, Y.; Yamasaki, S.; Nakamatsu, Y.; Imoto, J.; Furuki, G.; Ochiai, A.; et al. Radioactive Cs in the severely contaminated soils near the Fukushima Daiichi nuclear power plant. Front. Energy Res. 2015, 3, 37. [Google Scholar] [CrossRef]
- Mimura, H.; Lehto, J.; Harjula, R. Selective removal of cesium from simulated high-level liquid wastes by insoluble ferrocyanides. J. Nucl. Sci. Technol. 1997, 34, 607–609. [Google Scholar] [CrossRef]
- Rahman, R.O.A.; Ibrahium, H.A.; Hung, Y.-T. Liquid radioactive wastes treatment: A review. Water 2011, 3, 551–565. [Google Scholar] [CrossRef]
- Rais, J.; Tachimori, S.; Yoo, E.; Alexová, J.; Bubeníková, M. Extraction of radioactive Cs and Sr from nitric acid solutions with 25,27-bis(1-octyloxy)calix [4]-26,28-crown-6 and dicyclohexyl-18-crown-6: Effect of nature of the organic solvent. Sep. Sci. Technol. 2015, 50, 1202–1212. [Google Scholar] [CrossRef]
- Bond, G.; Eccles, H.; Kavi, P.C.; Holdsworth, A.F.; Rowbotham, D.; Mao, R. Removal of cesium from simulated spent fuel dissolver liquor. J. Chromatogr. Sep. Tech. 2019, 10, 8. [Google Scholar]
- Kumar, V.; Sharma, J.N.; Achuthan, P.V.; Hubli, R.C. Selective separation of cesium from simulated high level liquid waste solution using 1,3-dioctyloxy calix [4]arene-benzo-crown-6. J. Radioanal. Nucl. Chem. 2014, 299, 1547–1553. [Google Scholar] [CrossRef]
- Riddle, C.L.; Baker, J.D.; Law, J.D.; McGrath, C.A.; Meikrantz, D.H.; Mincher, B.J.; Peterman, D.R.; Todd, T.A. Fission Product Extraction (FPEX): Development of a novel solvent for the simultaneous separation of strontium and cesium from acidic solutions. Solvent Extr. Ion Exch. 2005, 23, 449–461. [Google Scholar] [CrossRef]
- Romanovskiy, V.N.; Smirnov, I.V.; Babain, V.A.; Todd, T.A.; Herbst, R.S.; Law, J.D.; Brewer, K.N. The Universal Solvent Extraction (UNEX) process. I. Development of the UNEX process solvent for the separation of cesium, strontium, and the actinides from acidic radioactive waste. Solvent Extr. Ion Exch. 2001, 19, 1–21. [Google Scholar] [CrossRef]
- Simonnet, M.; Miyazaki, Y.; Suzuki, S.; Yaita, T. Quantitative analysis of Cs extraction by some dialkoxycalix [4]arene-crown-6 extractants. Solvent Extr. Ion Exch. 2019, 37, 81–95. [Google Scholar] [CrossRef]
- Sun, T.; Zheng, Z.; Chen, J.; Wang, J.; Xu, C. Efficient co-extraction of strontium and cesium from nitric acid medium by mixtures of di-tert-butylcyclohexano-18-crown-6 and 1,3-di(2-propoxy)calix [4]arene-crown-6 in n-octanol. Sep. Sci. Technol. 2018, 53, 503–512. [Google Scholar] [CrossRef]
- Wang, J. Co-Extraction of strontium and cesium from simulated high-level liquid waste (HLLW) by calixcrown and crown ether. J. Nucl. Sci. Technol. 2014, 52, 171–177. [Google Scholar] [CrossRef]
- Smirnov, I.V.; Karavan, M.D.; Kenf, E.V.; Tkachenko, L.I.; Timoshenko, V.V.; Brechalov, A.A.; Maltseva, T.V.; Ermolenko, Y.E. Extraction of cesium, strontium, and stable simulated HLW components with substituted crown ethers in new fluorinated diluents. Solvent Extr. Ion Exch. 2022, 1–21. [Google Scholar] [CrossRef]
- Dijkstra, P.J.; Brunink, J.A.J.; Bugge, K.E.; Reinhoudt, D.N.; Harkema, S.; Ungaro, R.; Ugozzoli, F.; Ghidini, E. Kinetically stable complexes of alkali cations with rigidified calix [4]arenes: Synthesis, x-ray structures, and complexation of calixcrowns and calixspherands. J. Amer. Chem. Soc. 1989, 111, 7567–7575. [Google Scholar] [CrossRef]
- Dozol, J.F.; Asfari, Z.; Arnaud-Neu, F.; Vicens, J.; Thuéry, P. Extraction of rubidium and caesium from strongly alkaline media. Radiochim. Acta 2004, 92, 175–182. [Google Scholar] [CrossRef]
- Jankowski, C.K.; Allain, F.; Dozol, J.F.; Virelizier, H.; Tabet, J.C.; Moulin, C.; Lamouroux, C. Preliminary Study of the Stability of Calix [4]Arene Crown Compounds under Radiolysis. Rapid Commun. Mass Spectrom. 2003, 17, 1247–1255. [Google Scholar] [CrossRef]
- Ungaro, R.; Casnati, A.; Ugozzoli, F.; Pochini, A.; Dozol, J.-F.; Hill, C.; Rouquette, H. 1,3-Dialkoxycalix [4]arenecrowns-6 in 1,3-alternate conformation: Cesium-selective ligands that exploit cation-arene interactions. Angew. Chem. Int. Ed. 1994, 33, 1506–1509. [Google Scholar] [CrossRef]
- Wang, J.; Zhuang, S. Cesium separation from radioactive waste by extraction and adsorption based on crown ethers and calixarenes. Nucl. Eng. Technol. 2020, 52, 328–336. [Google Scholar] [CrossRef]
- Xing, H.; Yang, L.; Wang, L.; Li, M.; Yu, J.; Lu, D.; Ye, G.; Liu, H. Ion effects on the extraction of cesium(I) by 1,3-diisopropoxycalix [4] arene-crown-6(BPC6) and the highly efficient extraction under neutral conditions. Solvent Extr. Ion Exch. 2022, 40, 333–348. [Google Scholar] [CrossRef]
- Custelcean, R.; Moyer, B. Anion separation with metal-organic frameworks. Eur. J. Inorg. Chem. 2007, 2007, 1321–1340. [Google Scholar] [CrossRef]
- Moyer, B.A.; Bonnesen, P.V.; Delmau, L.H.; Sloop, F.V., Jr.; Williams, N.J.; Birdwell, J.F., Jr.; Lee, D.L.; Leonard, R.A.; Fink, S.D.; Peters, B.; et al. Development of the Next-Generation Caustic-Side Solvent Extraction (NG-CSSX) process for cesium removal from high-level tank waste. In Proceedings of the Waste Management Symposia, Phoenix, AZ, USA, 27 February–3 March 2011. [Google Scholar]
- Leonard, R.; Aase, S.B.; Arafat, H.A.; Conner, C.; Chamberlain, D.B.; Falkenberg, J.R.; Regalbuto, M.C.; Vandegrift, G. Experimental verification of Caustic-Side Solvent Extraction for removal of cesium from tank waste. Solvent Extr. Ion Exch. 2003, 21, 505–526. [Google Scholar] [CrossRef]
- Walker, D.D.; Norato, M.A.; Campbell, S.G.; Crowder, M.L.; Fink, S.D.; Fondeur, F.F.; Geeting, M.W.; Kessinger, G.F.; Pierce, R.A. Cesium removal from Savannah River Site radioactive waste using the Caustic-Side Solvent Extraction (CSSX) process. Sep. Sci. Technol. 2005, 40, 297–309. [Google Scholar] [CrossRef]
- Geeting, M.W.; Brass, E.A.; Brown, S.J.; Campbell, S.G. Scale-up of Caustic-Side Solvent Extraction process for removal of cesium at Savannah River Site. Sep. Sci. Technol. 2008, 43, 2786–2796. [Google Scholar] [CrossRef][Green Version]
- Delmau, L.H.; Haverlock, T.J.; Levitskaia, T.G.; Sloop, F.V.; Moyer, B.A. Caustic-Side Solvent Extraction Chemical and Physical Properties: Equilibrium Modeling of Distribution Behavior; ORNL/TM-2001/267; Oak Ridge National Laboratory: Oak Ridge, TN, USA, 2011. [Google Scholar]
- Kajan, I.; Florianová, M.; Ekberg, C.; Matyskin, A.V. Effect of diluent on the extraction of europium(III) and americium(III) with N,N,N′,N′-tetraoctyl diglycolamide (TODGA). RSC Adv. 2021, 11, 36707–36718. [Google Scholar] [CrossRef]







| Number of Benzene Rings Chain Length R | 0 (crown-6) | 1 (benzo-crown-6) | 2 (dibenzo-crown-6) |
|---|---|---|---|
| di-octyloxy (8 C) | DOC[4]C6 | DOC[4]BC6 | – |
| di-dodecyloxy (12 C) | DDC[4]C6 | DDC[4]BC6 | DDC[4]DBC6 |
| di-(3,7-methyl)octyloxy (10 C) | – | MAXCalix | – |
| BOBCalix | MAXCalix | |
|---|---|---|
| 1-octanol | 4.6–1.6 | 3.3–1.2 |
| 1-octanol/kerosene 3:7 | 0.44–0.022 | 0.25–0.034 |
| 2-octanol | 0.83–0.23 | 0.38–0.13 |
| 2-ethyl-hexan-1-ol | n/a | 0.62–0.22 |
| Cation | Mg2+ | Na+ | K+ | Cs+ |
|---|---|---|---|---|
| D | 7.8 × 10−4 ± 150% | 1.9 × 10−3 ± 100% | 2.3 × 10−2 ± 25% | 1.44 ± 15% |
| Diluent | 25% Kerosene 75% 1-Octanol | 25% Kerosene 75% 1-Octanol | 25% Kerosene 5% NPO 70% 1-Octanol |
|---|---|---|---|
| MAXCalix Concentration | 0.02 M | 0.025 M | 0.025 M |
| DCs extraction | 1.23 | 1.22 | 1.45 |
| DCs stripping | 0.10 | 0.12 | 0.15 |
Publisher’s Note: MDPI stays neutral with regard to jurisdictional claims in published maps and institutional affiliations. |
© 2022 by the authors. Licensee MDPI, Basel, Switzerland. This article is an open access article distributed under the terms and conditions of the Creative Commons Attribution (CC BY) license (https://creativecommons.org/licenses/by/4.0/).
Share and Cite
Simonnet, M.; Sittel, T.; Weßling, P.; Geist, A. Cs Extraction from Chloride Media by Calixarene Crown-Ethers. Energies 2022, 15, 7724. https://doi.org/10.3390/en15207724
Simonnet M, Sittel T, Weßling P, Geist A. Cs Extraction from Chloride Media by Calixarene Crown-Ethers. Energies. 2022; 15(20):7724. https://doi.org/10.3390/en15207724
Chicago/Turabian StyleSimonnet, Marie, Thomas Sittel, Patrik Weßling, and Andreas Geist. 2022. "Cs Extraction from Chloride Media by Calixarene Crown-Ethers" Energies 15, no. 20: 7724. https://doi.org/10.3390/en15207724
APA StyleSimonnet, M., Sittel, T., Weßling, P., & Geist, A. (2022). Cs Extraction from Chloride Media by Calixarene Crown-Ethers. Energies, 15(20), 7724. https://doi.org/10.3390/en15207724

