Multi-Objective Optimization of Organic Rankine Cycle (ORC) for Tractor Waste Heat Recovery Based on Particle Swarm Optimization
Abstract
:1. Introduction
2. Materials and Methods
2.1. System Description
2.2. ORC Model Description
- (1)
- Ignore the heat dissipated by the evaporator to the environment;
- (2)
- Ignore evaporator fouling factor and material thermal resistance;
- (3)
- Ignore the changes in heat conduction, potential energy and kinetic energy of the evaporator fluid along the axis of the flow channel and pipeline.

2.3. Economic Model
2.4. Multi-Objective Optimization Model
2.5. Multi-Objective Optimization Decision Method
3. Results and Discussion
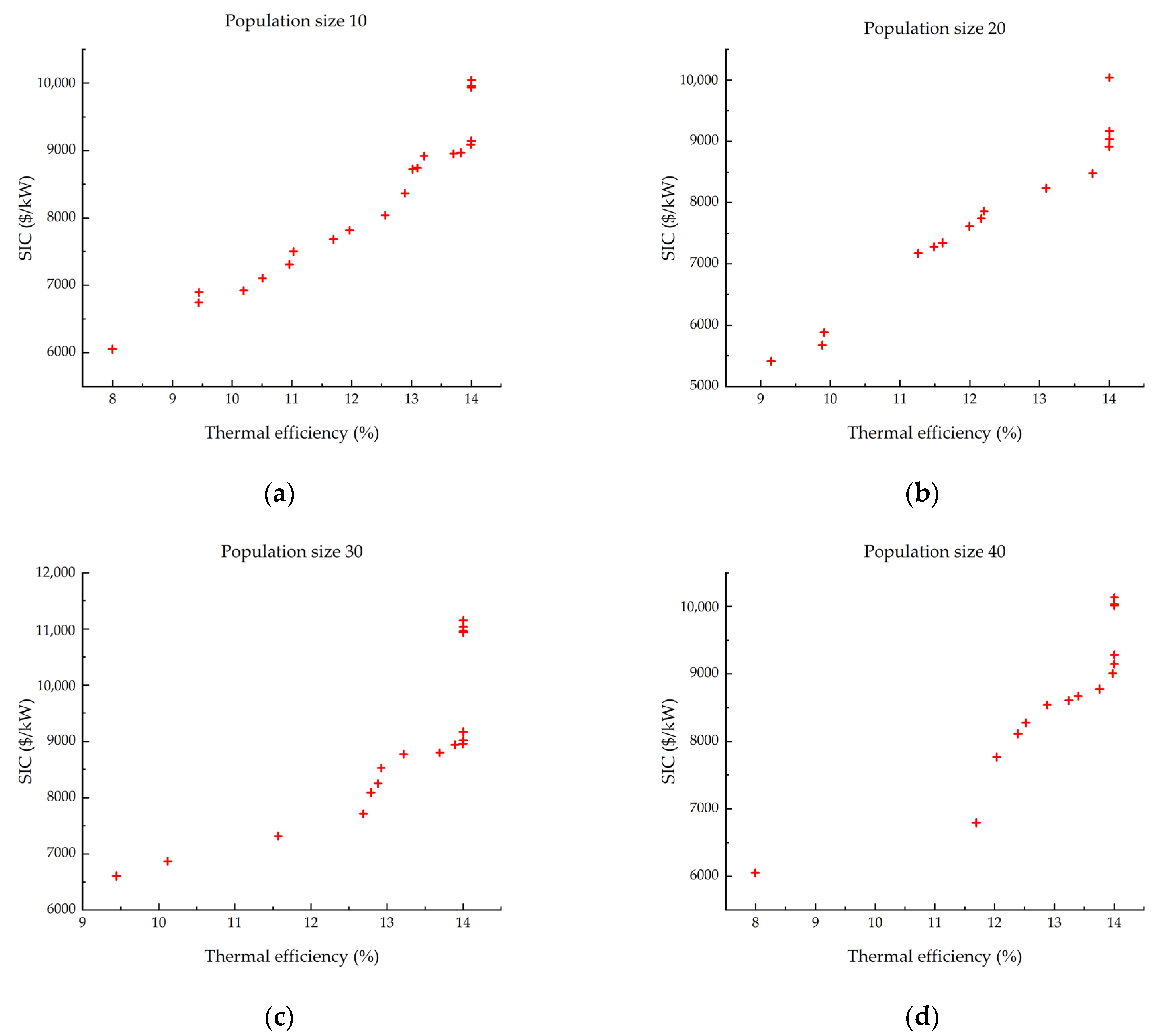
3.1. Single-Operating Condition Optimization Results Analysis
3.2. Multi-Operating Conditions Optimization Results Analysis
3.3. Thermo-Economic Optimization Results Analysis
3.4. Bench Test and Model Validation
4. Conclusions
- The engine–ORC combined system can recover the exhaust energy of a tractor diesel engine. When the engine speed was 3500 rpm and full load torque was 323.8 N-m, the ORC thermal efficiency reached a maximum of 12.76% and the corresponding SIC value was 8539.66 $/kW. When the engine speed was 4500 rpm and the full load torque was 216.7 N m, the net output power of the ORC system was up to 8.31 kW. When the engine speed was 1750 rpm, the full load torque was 354.90 N·m, it had the minimum BSFC value of 238.9 g/(kW·h)−1 with the addition ORC system, and compared to the engine without the ORC system, the BSFC improvement was 8.3%.
- The analysis of a single-case operating condition shows that with the increase in the evaporating pressure, the ORC thermal efficiency and SIC value will continue to increase, and when the condensation pressure is increased, the ORC thermal efficiency will decrease and the SIC value increase; increasing the ORC working fluid superheating had little effect on the thermal efficiency. The SIC value first increased and then decreased while the continuous increase of the degree of subcooling led to a decrease in the thermal efficiency and an increase in the SIC value.
- The multi-objective optimization results showed that the optimal value of the evaporation pressure varied from 1.4 MPa to 3 MPa, the condensing pressure was less affected by the change in the working conditions, and was basically maintained at about 0.1 MPa. The optimized degree of superheating and subcooling were in the ranges of 1–10 K and 0–4.5 K, respectively. The mass flow of the working fluid was mainly affected by the operating conditions of the diesel engine. The optimized ratio of the mass flow rate of the working fluid to the exhaust was between 1.2 and 1.5. Under the conditions of low and medium speed and torque, the exhaust mass flow was small and the temperature was relatively low, and the working fluid mass flow varied between 0 and 0.05 kg/s, which increased with the increase in the engine speed and torque, and reached a maximum value of 0.23 kg/s at 4500 rpm under full load conditions. In most operating conditions, the ORC thermal efficiency remained around 12%. When the engine ran in the medium and high load region, the ORC system showed better thermal economy, and the maximum value was 12.76% under a full load at 3500 rpm.
- For the ORC, the improvement in the thermodynamic performance will inevitably lead to a sacrifice in economic performance, so economic benefits can be improved by reducing a part of the thermal efficiency. The analysis of the Pareto frontier under each operating condition showed that the loss rate of thermal efficiency was between 0 and 0.12, and the improvement rate in the economic benefits was 0 to 0.83. When the loss rate of thermal efficiency was the largest, the corresponding economic improvement rate could also reach the maximum value. At low and medium speeds, there was an obvious conflict between the thermal efficiency and economic benefits, and the economic benefits could be improved by appropriately reducing the thermal efficiency in the process of practical application, while at high speeds, the economic benefits and thermal efficiency reached a balance and showed a better thermal economic performance.
- Through the test rig, the performance parameters of the engine at 850–4500 rpm including 10 different speeds and loads, a total of 210 operating conditions were measured. The net output power and thermal efficiency of the ORC system with all of the operating conditions were obtained by adjusting the mass flow rate and pressure of the working fluid to verify the validity of the developed thermodynamic model. Comparing the test rig collected data with the PSO model optimization and the BPNN prediction results, it was found that, except at 3500 rpm, the maximum relative errors of the thermal efficiency and net power output were 5.3% and 5.585%, respectively, indicating that the PSO optimization model established in this paper has certain validity and usability.
Author Contributions
Funding
Institutional Review Board Statement
Informed Consent Statement
Data Availability Statement
Conflicts of Interest
Abbreviations
| ANFIS | Adaptive neuro-fuzzy inference system |
| BPNN | Back propagation neural network |
| BSFC | Brake specific fuel consumption |
| DRL | Deep reinforcement learning |
| EKF | Extended Kalman filter |
| EMS | Energy management system |
| GA | Genetic algorithm |
| GD-LSE | Gradient-descent least-square estimate |
| LMTD | Log mean temperature difference |
| MOGA | Multi-objective genetic algorithm |
| NETL | National energy technology laboratory |
| NMPC | Nonlinear model predictive controller |
| ORC | Organic Rankine cycle |
| PSO | Particle swarm optimization |
| SIC | Specific investment cost |
| SVR | Support vector regression |
| TC | Total cost |
| TOPSIS | Technique for order of preference by similarity to ideal solution |
| WHR | Waste heat recovery |
| Nomenclature | |
| η | Efficiency |
| a0 | Scaling factor |
| A | Heat transfer area |
| C | Cost |
| D | Hydraulic diameter of the flow channel |
| F | Forced convective heat transfer enhancement factor, function value |
| h | Heat transfer coefficient |
| i | Specific enthalpy |
| k | Thermal conductivity |
| Mass flow rate | |
| Nu | Nusselt number |
| P | Pressure |
| Pr | Prandtl number |
| Heat absorb by the refrigerant | |
| Re | Reynolds number |
| S | Forced convective heat transfer suppression factor |
| T | Temperature |
| U | Total heat transfer coefficient |
| Output power by expander | |
| Subscripts | |
| 1–16 | State point |
| cp | Component cost |
| e | Exhaust |
| ev | Two-phase |
| exp | Expander |
| exp,iso | Isentropic efficiency of the expander |
| hx | Heat exchanger |
| lab | Labor cost |
| motor | Electric motor |
| pool | Pooling boiling transfer coefficient |
| pump | ORC pump |
| pump,iso | Isentropic efficiency of the pump |
| r | Refrigerant |
| wf | Working fluid |
References
- National Bureau of Statistics of China. Available online: https://www.stats.gov.cn/ (accessed on 19 July 2022).
- Lang, J.L.; Tang, J.J.; Zhou, Y.; Li, K.H.; Chen, D.S.; Huang, Q.; Xing, X.F.; Zhang, Y.Y.; Cheng, S.Y. A high temporal-spatial resolution air pollutant emission inventory for agricultural machinery in China. J. Clean. Prod. 2018, 183, 1110–1121. [Google Scholar] [CrossRef]
- Zhang, Y.H.; Lou, D.M.; Tan, P.Q.; Hu, Z.Y.; Fang, L. Emission characteristic of non-road mobile machinery using a catalysed diesel particle filter with different catalyst loadings under actual operating conditions. J. Clean. Prod. 2021, 327, 1–12. [Google Scholar] [CrossRef]
- Bacenetti, J.; Lovarelli, D.; Facchinetti, D.; Pessina, D. An environment comparison of techniques to reduce pollutants emissions related to agricultural tractors. Biosyst. Eng. 2018, 171, 30–40. [Google Scholar] [CrossRef]
- Janulevičius, A.; Šarauskis, E.; Čiplienė, A.; Juostas, A. Estimation of farm tractor performance as a function of time efficiency during ploughing in fields of different sizes. Biosyst. Eng. 2019, 179, 80–93. [Google Scholar] [CrossRef]
- Omar, A.; Saghafifar, M.; Mohammadi, K.; Alashkar, A.; Gadalla, M. A review of unconventional bottoming cycles for waste heat recovery: Part II-Applications. Energy Conv. Manag. 2019, 180, 559–583. [Google Scholar] [CrossRef]
- Punov, P.; Lacour, S.; Périlhon, C.; Podevin, P.; Descombes, G.; Evtimov, T. Numerical study of the waste heat recovery potential of the exhaust gases from a tractor engine. Proc. Inst. Mech. Eng. Part D J. Automob. Eng. 2015, 230, 37–48. [Google Scholar] [CrossRef]
- Hu, S.; Yang, Z.; Li, J.; Duan, Y. A review of multi-objective optimization in organic Rankine cycle (ORC) system design. Energies 2021, 14, 6492. [Google Scholar] [CrossRef]
- Lion, S.; Michos, C.N.; Vlaskos, I.; Rouaud, C.; Taccani, R. A review of waste heat recovery and organic Rankine cycles (ORC) in on-off highway vehicle heavy duty diesel engine applications. Renew. Sust. Energ. Rev. 2017, 79, 691–708. [Google Scholar] [CrossRef]
- Kalinichenko, A.; Havrysh, V.; Hruban, V. Heat recovery systems for agricultural vehicles: Utilization ways and their efficiency. Agriculture 2018, 8, 199. [Google Scholar] [CrossRef]
- Punov, P.; Lacourm, S.; Perilhon, C.; Podevin, P. Possibilities of waste heat recovery on tractor engines. In Proceedings of the International Scientific Conference on Aeronautics, Automotive and Railway Engineering and Technologies, Sofia, Bulgaria, 16–18 October 2013. [Google Scholar]
- Vaupel, Y.; Schulze, J.C.; Mhamdi, A.; Mitsos, A. Nonlinear model predictive control of organic Rankine cycles for automotive waste heat recovery: Is it worth the effort? J. Process Control 2021, 99, 19–27. [Google Scholar] [CrossRef]
- Vaupel, Y.; Huster, W.R.; Mhamdi, A.; Mitsos, A. Optimal operating policies for organic Rankine cycles for waste heat recovery under transient conditions. Energy 2021, 224, 120126. [Google Scholar] [CrossRef]
- Mohammadkhani, F.; Yari, M. A 0D model for diesel engine simulation and employing a transcritical dual loop Organic Rankine Cycle (ORC) for waste heat recovery from its exhaust and coolant: Thermodynamic and economic analysis. Appl. Therm. Eng. 2019, 150, 329–347. [Google Scholar] [CrossRef]
- Wang, Q.; Wu, W.; Li, D.; Wang, J.; He, Z. Thermodynamic analysis and optimization of four organic flash cycle systems for waste heat recovery. Energy Conv. Manag. 2020, 221, 113171. [Google Scholar] [CrossRef]
- Zhang, W.; Yang, F.; Zhang, H.; Ping, X.; Yan, D.; Wang, C. Application of two-phase pulsating flow in organic Rankine cycle system for diesel engine waste heat recovery. Energy 2022, 243, 122776. [Google Scholar] [CrossRef]
- Teng, S.; Feng, Y.-Q.; Hung, T.-C.; Xi, H. Multi-objective optimization and fluid selection of different cogeneration of heat and power systems based on organic Rankine cycle. Energies 2021, 14, 4967. [Google Scholar] [CrossRef]
- Zhou, Y.; Li, S.; Sun, L.; Zhao, S.; Talesh, S.S. Optimization and thermodynamic performance analysis of a power generation system based on geothermal flash and dual-pressure evaporation organic Rankine cycles using zeotropic mixtures. Energy 2020, 194, 116785. [Google Scholar] [CrossRef]
- Welcome to CoolProp. Available online: https://www.coolprop.org/ (accessed on 19 July 2022).
- National Institute of Standards and Technology; US Department of Commerce. NIST Reference Fluid Thermodynamic and Transport Properties Database (REFPROP). Available online: https://www.nist.gov/srd/refprop (accessed on 19 July 2022).
- Redjeb, Y.; Kaabeche-Djerafi, K.; Stoppato, A.; Benato, A. The IRC-PD Tool: A Code to Design Steam and Organic Waste Heat Recovery Units. Energies 2021, 14, 5611. [Google Scholar] [CrossRef]
- Ping, X.; Yang, F.; Zhang, H.; Zhang, W.; Zhang, J.; Song, G.; Wang, C.; Yao, B.; Wu, Y. Prediction and optimization of power output of single screw expander in organic Rankine cycle (ORC) for diesel engine waste heat recovery. Appl. Therm. Eng. 2021, 182, 116048. [Google Scholar] [CrossRef]
- Zhang, W.; Yang, F.; Zhang, H.; Ping, X.; Yan, D. Numerical analysis and optimization design of fin-and-tube evaporator in organic Rankine cycle system for diesel engine waste heat recovery. Int. J. Heat Mass Transf. 2021, 175, 121376. [Google Scholar] [CrossRef]
- Ping, X.; Yang, F.; Zhang, H.; Zhang, J.; Zhang, W.; Song, G. Introducing machine learning and hybrid algorithm for prediction and optimization of multistage centrifugal pump in an ORC system. Energy 2021, 222, 120007. [Google Scholar] [CrossRef]
- Duarte-Forero, J.; Obregón-Quiñones, L.; Valencia-Ochoa, G. Comparative analysis of intelligence optimization algorithms in the thermo-economic performance of an energy recovery system based on organic rankine cycle. J. Energy Resour. Technol-Trans. ASME 2021, 143, 1–18. [Google Scholar] [CrossRef]
- Liu, H.; Zhang, H.; Yang, F.; Hou, X.; Yu, F.; Song, S. Multi-objective optimization of fin-and-tube evaporator for a diesel engine-organic Rankine cycle (ORC) combined system using particle swarm optimization algorithm. Energy Conv. Manag. 2017, 151, 147–157. [Google Scholar] [CrossRef]
- Ren, L.; Liu, J.; Wang, H. Thermodynamic Optimization of a Waste Heat Power System under Economic Constraint. Energies 2020, 13, 3388. [Google Scholar] [CrossRef]
- Feng, Y.-q.; Liu, Y.-Z.; Wang, X.; He, Z.-X.; Hung, T.-C.; Wang, Q.; Xi, H. Performance prediction and optimization of an organic Rankine cycle (ORC) for waste heat recovery using back propagation neural network. Energy Conv. Manag. 2020, 226, 113552. [Google Scholar] [CrossRef]
- Wang, W.; Deng, S.; Zhao, D.; Zhao, L.; Lin, S.; Chen, M. Application of machine learning into organic Rankine cycle for prediction and optimization of thermal and exergy efficiency. Energy Conv. Manag. 2020, 210, 112700. [Google Scholar] [CrossRef]
- Han, Z.; Jia, X.; Li, P. Preliminary design of radial inflow turbine and working fluid selection based on particle swarm optimization. Energy Conv. Manag. 2019, 199, 111933. [Google Scholar] [CrossRef]
- Zhao, M.; Canova, M.; Tian, H.; Shu, G. Design space exploration for waste heat recovery system in automotive application under driving cycle. Energy 2019, 176, 980–990. [Google Scholar] [CrossRef]
- Chowdhury, J.; Nguyen, B.; Thornhill, D.; Hu, Y.; Soulatiantork, P.; Balta-Ozkan, N.; Varga, L. Fuzzy nonlinear dynamic evaporator model in supercritical organic rankine cycle waste heat recovery systems. Energies 2018, 11, 901. [Google Scholar] [CrossRef]
- Enayatollahi, H.; Sapin, P.; Unamba, C.K.; Fussey, P.; Markides, C.N.; Nguyen, B.K. A Control-oriented ANFIS model of evaporator in a 1-kWe organic Rankine cycle prototypr. Electronics 2021, 10, 1535. [Google Scholar] [CrossRef]
- Wang, H.; Zhang, H.; Yang, F.; Song, S.; Chang, Y.; Bei, C.; Yang, K. Parametric optimization of regenerative organic rankine cycle system for diesel engine based on particle swarm optimization. Energies 2015, 8, 9751–9776. [Google Scholar] [CrossRef] [Green Version]
- Fergani, Z.; Morosuk, T.; Touil, D. Exergy-based multi-objective optimization of an organic rankine cycle with a zeotropic mixture. Entropy 2021, 23, 954. [Google Scholar] [CrossRef]
- Luo, H.; Zhou, P.; Shu, L.; Mou, J.; Zheng, H.; Jiang, C.; Wang, Y. Energy performance curves prediction of centrifugal pumps based on constrained PSO-SVR model. Energies 2022, 15, 3309. [Google Scholar] [CrossRef]
- Chowdhury, J.; Nguyen, B.; Thornhill, D. Modelling of evaporator in waste heat recovery system using finite volume method and fuzzy technique. Energies 2015, 8, 14078–14097. [Google Scholar] [CrossRef]
- Wang, X.; Wang, R.; Shu, G.; Tian, H.; Zhang, X. Energy management strategy for hybrid electric vehicle integrated with waste heat recovery system based on deep reinforcement learning. Sci. China Tech. Sci. 2021, 65, 713–725. [Google Scholar] [CrossRef]
- Rathod, D.; Xu, B.; Filipi, Z.; Hoffman, M. An experimentally validated, energy focused, optimal control strategy for an organic Rankine cycle waste heat recovery system. Appl. Energy 2019, 256, 113991. [Google Scholar] [CrossRef]
- Hoffman, M.; Filipi, Z.; Onori, S.; Rathod, D.; Yebi, A.; Xu, B. Experimental validation of nonlinear model predictive control for a heavy-duty diesel engine waste heat recovery system. J. Dyn. Syst. Meas. Control 2020, 142, 51001. [Google Scholar]
- Bejan, A. Convection Heat Transfer, 4th ed.; John Wiley & Sons: New Jersey, NJ, USA, 2013; pp. 106–107. [Google Scholar]
- Liu, Z.; Winterton, R.H.S. A general correlation for saturated and subcooled flow boiling in tubes and annuli, based on a nucleate pooling boiling equation. Int. J. Heat Mass Transfer. 1991, 34, 2759–2766. [Google Scholar] [CrossRef]
- Lecompte, S.; Lemmens, S.; Huisseune, H.; Van den Broek, M.; De Paepe, M. Multi-objective thermo-economic optimization strategy for orcs applied to subcritical and transcritical cycles for waste heat recovery. Energies 2015, 8, 2714–2741. [Google Scholar] [CrossRef]
- Quoilin, S.; Declaye, S.; Tchanche, B.; Lemort, V. Thermo-economic optimization of waste heat recovery organic Rankine cycles. Appl. Therm. Eng. 2011, 31, 2885–2893. [Google Scholar] [CrossRef]
- Pantaleo, A.; Simpson, M.; Rotolo, G.; Distaso, E.; Oyewunmi, O.; Sapin, P.; De Palma, P.; Markides, C. Thermoeconomic optimisation of small-scale organic Rankine cycle systems based on screw vs. piston expander maps in waste heat recovery applications. Energy Conv. Manag. 2019, 200, 112053. [Google Scholar] [CrossRef]
- Astolfi, M. Techno-economic optimization of low temperature CSP systems based on ORC with screw expanders. Energy Proc. 2015, 69, 1100–1112. [Google Scholar] [CrossRef] [Green Version]
- Basílio, M.; Pereira, V.; Costa, H.; Santos, M.; Ghosh, A. A systematic review of the applications of multi-criteria decision aid methods (1977–2022). Electronics 2022, 11, 1720. [Google Scholar] [CrossRef]
















| Parameter | Hot Side | Cold Side |
|---|---|---|
| Pipe diameter/cm | 8.00 | 2.50 |
| Flow channel/cm | 50.00 | 50.00 |
| Fin height/cm | 6.35 | 2.55 |
| Fin thickness/cm | 0.30 | 0.25 |
| Fin space/cm | 0.35 | 1.00 |
| Number of flow channel | 102 | 96 |
| Variables | Lower Limit | Upper Limit |
|---|---|---|
| P1/MPa | 1 | 3 |
| P5/MPa | 0.1 | 0.5 |
| ΔT34/K | 1 | 20 |
| ΔT78/K | 0 | 10 |
| /kg·s−1 | 1 to 1.5 times the corresponding exhaust mass flow rate. | |
| /kg·s−1 | 0.08 | 0.15 |
| Parameter | Value |
|---|---|
| Population numbers | 30 |
| Maximum number of iterations | 300 |
| Archive size | 200 |
| Mutation probability | 0.1 |
| Inertia weight factor | 0.9 |
| Learning Factor | 1.7/1.8 |
Publisher’s Note: MDPI stays neutral with regard to jurisdictional claims in published maps and institutional affiliations. |
© 2022 by the authors. Licensee MDPI, Basel, Switzerland. This article is an open access article distributed under the terms and conditions of the Creative Commons Attribution (CC BY) license (https://creativecommons.org/licenses/by/4.0/).
Share and Cite
Pan, W.; Li, J.; Zhang, G.; Zhou, L.; Tu, M. Multi-Objective Optimization of Organic Rankine Cycle (ORC) for Tractor Waste Heat Recovery Based on Particle Swarm Optimization. Energies 2022, 15, 6720. https://doi.org/10.3390/en15186720
Pan W, Li J, Zhang G, Zhou L, Tu M. Multi-Objective Optimization of Organic Rankine Cycle (ORC) for Tractor Waste Heat Recovery Based on Particle Swarm Optimization. Energies. 2022; 15(18):6720. https://doi.org/10.3390/en15186720
Chicago/Turabian StylePan, Wanming, Junkang Li, Guotao Zhang, Le Zhou, and Ming Tu. 2022. "Multi-Objective Optimization of Organic Rankine Cycle (ORC) for Tractor Waste Heat Recovery Based on Particle Swarm Optimization" Energies 15, no. 18: 6720. https://doi.org/10.3390/en15186720
APA StylePan, W., Li, J., Zhang, G., Zhou, L., & Tu, M. (2022). Multi-Objective Optimization of Organic Rankine Cycle (ORC) for Tractor Waste Heat Recovery Based on Particle Swarm Optimization. Energies, 15(18), 6720. https://doi.org/10.3390/en15186720
